Variability in the Precision of Children’s Spatial Working Memory
Abstract
1. Introduction
1.1. Models of Visual Working Memory Capacity
1.2. Variability in Working Memory Performance
1.3. Development of Children’s Working Memory
1.4. Research Questions and Approach
2. Materials and Methods
2.1. Participants
2.2. Procedure
2.3. Spatial Working Memory Updating Task
2.4. Data Analysis
2.5. Scoring Behavioral Performance
3. Results
3.1. Relationship between Mean Spatial Precision and Mean Response Accuracy
3.2. Daily Measures of Spatial Precision
3.3. Variability in Spatial Precision
3.3.1. Effects of Working Memory Load on Mean and Variability of Spatial Precision
3.3.2. Individual Differences in Mean and Variability of Spatial Precision
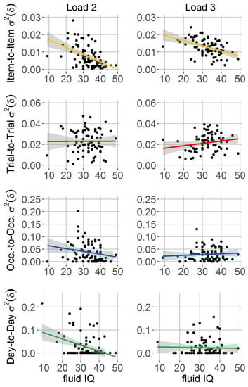
3.3.3. Relationship between Spatial Precision Components, Fluid Intelligence and School Achievement
4. Discussion
4.1. Spatial Precision as Continuous Quantitative Measure of Children’s Updating Performance
4.2. Systematic Variability in Children’s Spatial Precision
4.3. Individual Differences and Developmental Changes in Variability of Spatial Precision
4.4. Future Perspectives and Limitations
Supplementary Materials
Acknowledgments
Author Contributions
Conflicts of Interest
References
- Baddeley, A.D.; Hitch, G. Working memory. Psychol. Learn. Motiv. 1974, 8, 47–89. [Google Scholar]
- Cowan, N. The magical number 4 in short-term memory: A reconsideration of mental storage capacity. Behav. Brain Sci. 2001, 24, 87–185. [Google Scholar] [CrossRef] [PubMed]
- Ma, W.J.; Husain, M.; Bays, P.M. Changing concepts of working memory. Nat. Neurosci. 2014, 17, 347–356. [Google Scholar] [CrossRef] [PubMed]
- Palmer, J. Attentional limits on the perception and memory of visual information. J. Exp. Psychol. Hum. Percept. Perform. 1990, 16, 332–350. [Google Scholar] [CrossRef] [PubMed]
- Pashler, H. Familiarity and visual change detection. Percept. Psychophys. 1988, 44, 369–378. [Google Scholar] [CrossRef] [PubMed]
- Alloway, T.P.; Passolunghi, M.C. The relationship between working memory, IQ and mathematical skills in children. Learn. Individ. Differ. 2011, 21, 133–137. [Google Scholar] [CrossRef]
- Logie, R.H.; Gilhooly, K.J.; Wynn, V. Counting on working memory in arithmetic problem solving. Mem. Cognit. 1994, 22, 395–410. [Google Scholar] [CrossRef] [PubMed]
- Swanson, H.L.; Beebe-Frankenberger, M. The relationship between working memory and mathematical problem solving in children at risk and not at risk for serious math difficulties. J. Educ. Psychol. 2004, 96, 471–491. [Google Scholar] [CrossRef]
- Miyake, A.; Shah, P. Models of Working Memory: Mechanisms of Active Maintenance and Executive Control; Cambridge University Press: Cambridge, UK, 1999; ISBN 9780521587211. [Google Scholar]
- Shah, P.; Miyake, A. The separability of working memory resources for spatial thinking and language processing: An individual differences approach. J. Exp. Psychol. Gen. 1996, 125, 4–27. [Google Scholar] [CrossRef] [PubMed]
- Fukuda, K.; Vogel, E.; Mayr, U.; Awh, E. Quantity, not quality: The relationship between fluid intelligence and working memory capacity. Psychon. Bull. Rev. 2010, 17, 673–679. [Google Scholar] [CrossRef] [PubMed]
- Giofrè, D.; Mammarella, I.C.; Cornoldi, C. The structure of working memory and how it relates to intelligence in children. Intelligence 2013, 41, 396–406. [Google Scholar] [CrossRef]
- Swanson, H.L. Intellectual growth in children as a function of domain specific and domain general working memory subgroups. Intelligence 2011, 39, 481–492. [Google Scholar] [CrossRef]
- Alloway, T.P.; Alloway, R.G. Investigating the predictive roles of working memory and IQ in academic attainment. J. Exp. Child Psychol. 2010, 106, 20–29. [Google Scholar] [CrossRef] [PubMed]
- Bays, P.M.; Husain, M. Dynamic shifts of limited working memory resources in human vision. Science 2008, 321, 851–854. [Google Scholar] [CrossRef] [PubMed]
- Zhang, W.; Luck, S.J. Discrete fixed-resolution representations in visual working memory. Nature 2008, 453, 233–235. [Google Scholar] [CrossRef] [PubMed]
- Bays, P.M.; Catalao, R.F.; Husain, M. The precision of visual working memory is set by allocation of a shared resource. J. Vis. 2009, 9, 7. [Google Scholar] [CrossRef] [PubMed]
- Oberauer, K. Binding and inhibition in working memory: Individual and age differences in short-term recognition. J. Exp. Psychol. Gen. 2005, 134, 368–387. [Google Scholar] [CrossRef] [PubMed]
- Wilken, P.; Ma, W.J. A detection theory account of change detection. J. Vis. 2004, 4, 11. [Google Scholar] [CrossRef] [PubMed]
- Fougnie, D.; Suchow, J.W.; Alvarez, G.A. Variability in the quality of visual working memory. Nat. Commun. 2012, 3, 1229. [Google Scholar] [CrossRef] [PubMed]
- Van den Berg, R.; Shin, H.; Chou, W.C.; George, R.; Ma, W.J. Variability in encoding precision accounts for visual short-term memory limitations. Proc. Natl. Acad. Sci. USA 2012, 109, 8780–8785. [Google Scholar] [CrossRef] [PubMed]
- Van den Berg, R.; Awh, E.; Ma, W.J. Factorial comparison of working memory models. Psychol. Rev. 2014, 121, 124–149. [Google Scholar] [CrossRef] [PubMed]
- Lara, A.H.; Wallis, J.D. Capacity and precision in an animal model of visual short-term memory. J. Vis. 2012, 12, 13. [Google Scholar] [CrossRef] [PubMed][Green Version]
- Li, S.C.; Lindenberger, U.; Sikström, S. Aging cognition: From neuromodulation to representation. Trends Cogn. Sci. 2001, 5, 479–486. [Google Scholar] [CrossRef]
- Cools, R.; D’Esposito, M. Inverted-U—Shaped dopamine actions on human working memory and cognitive control. Biol. Psychiatry 2011, 69, e113–e125. [Google Scholar] [CrossRef] [PubMed]
- Müller, U.; Yves von Cramon, D.; Pollmann, S. D1-versus D2-receptor modulation of visuospatial working memory in humans. J. Neurosci. 1998, 18, 2720–2728. [Google Scholar] [PubMed]
- Lecerf, T.; Ghisletta, P.; Jouffray, C. Intraindividual variability and level of performance in four visuo-spatial working memory tasks. Swiss J. Psychol. 2004, 63, 261–272. [Google Scholar] [CrossRef]
- Li, S.C.; Aggen, S.H.; Nesselroade, J.R.; Baltes, P.B. Short-term fluctuations in elderly people’s sensorimotor functioning predict text and spatial memory performance: The MacArthur Successful Aging Studies. Gerontology 2001, 47, 100–116. [Google Scholar] [CrossRef] [PubMed]
- Riediger, M.; Wrzus, C.; Schmiedek, F.; Wagner, G.G.; Lindenberger, U. Is seeking bad mood cognitively demanding? Contra-hedonic orientation and working-memory capacity in everyday life. Emotion 2011, 11, 656–665. [Google Scholar] [CrossRef] [PubMed]
- Schmiedek, F.; Lövdén, M.; Lindenberger, U. On the relation of mean reaction time and intraindividual reaction time variability. Psychol. Aging 2009, 24, 841–857. [Google Scholar] [CrossRef] [PubMed]
- Schmiedek, F.; Lövdén, M.; Lindenberger, U. Keeping It Steady Older Adults Perform More Consistently on Cognitive Tasks Than Younger Adults. Psychol. Sci. 2013, 24, 1747–1754. [Google Scholar] [CrossRef] [PubMed]
- Sliwinski, M.J.; Smyth, J.M.; Hofer, S.M.; Stawski, R.S. Intraindividual coupling of daily stress and cognition. Psychol. Aging 2006, 21, 545–557. [Google Scholar] [CrossRef] [PubMed]
- Brose, A.; Schmiedek, F.; Lövdén, M.; Molenaar, P.C.; Lindenberger, U. Adult age differences in covariation of motivation and working memory performance: Contrasting between-person and within-person findings. Res. Hum. Dev. 2010, 7, 61–78. [Google Scholar] [CrossRef]
- Brose, A.; Lövdén, M.; Schmiedek, F. Daily fluctuations in positive affect positively co-vary with working memory performance. Emotion 2014, 14, 1–6. [Google Scholar] [CrossRef] [PubMed]
- Mella, N.; Fagot, D.; De Ribaupierre, A. Dispersion in cognitive functioning: Age differences over the lifespan. J. Clin. Exp. Neuropsychol. 2016, 38, 111–126. [Google Scholar] [CrossRef] [PubMed]
- Astle, D.E.; Luckhoo, H.; Woolrich, M.; Kuo, B.C.; Nobre, A.C.; Scerif, G. The neural dynamics of fronto-parietal networks in childhood revealed using magnetoencephalography. Cereb. Cortex 2015, 25, 3868–3876. [Google Scholar] [CrossRef] [PubMed]
- Dirk, J.; Schmiedek, F. Fluctuations in elementary school children’s working memory performance in the school context. J. Educ. Psychol. 2016, 108, 722–739. [Google Scholar] [CrossRef]
- Könen, T.; Dirk, J.; Schmiedek, F. Cognitive benefits of last night’s sleep: Daily variations in children’s sleep behavior are related to working memory fluctuations. J. Child Psychol. Psychiatry 2015, 56, 171–182. [Google Scholar] [CrossRef] [PubMed]
- Mella, N.; Fagot, D.; Lecerf, T.; De Ribaupierre, A. Working memory and intraindividual variability in processing speed: A lifespan developmental and individual-differences study. Mem. Cognit. 2015, 43, 340–356. [Google Scholar] [CrossRef] [PubMed]
- Burnett Heyes, S.; Zokaei, N.; van der Staaij, I.; Bays, P.M.; Husain, M. Development of visual working memory precision in childhood. Dev. Sci. 2012, 15, 528–539. [Google Scholar] [CrossRef] [PubMed]
- Burnett Heyes, S.; Zokaei, N.; Husain, M. Longitudinal development of visual working memory precision in childhood and early adolescence. Cogn. Dev. 2016, 39, 36–44. [Google Scholar] [CrossRef] [PubMed]
- Sarigiannidis, I.; Crickmore, G.; Astle, D.E. Developmental and individual differences in the precision of visuospatial memory. Cogn. Dev. 2016, 39, 1–12. [Google Scholar] [CrossRef] [PubMed]
- Simmering, V.R.; Miller, H.E. Developmental improvements in the resolution and capacity of visual working memory share a common source. Atten. Percept. Psychophys. 2016, 78, 1538–1555. [Google Scholar] [CrossRef] [PubMed]
- Simmering, V.R.; Patterson, R. Models provide specificity: Testing a proposed mechanism of visual working memory capacity development. Cogn. Dev. 2012, 27, 419–439. [Google Scholar] [CrossRef] [PubMed][Green Version]
- Zokaei, N.; Burnett Heyes, S.; Gorgoraptis, N.; Budhdeo, S.; Husain, M. Working memory recall precision is a more sensitive index than span. J. Neuropsychol. 2015, 9, 319–329. [Google Scholar] [CrossRef] [PubMed]
- Baltes, P.B. Theoretical propositions of life-span developmental psychology: On the dynamics between growth and decline. Dev. Psychol. 1987, 23, 611–626. [Google Scholar] [CrossRef]
- Siegler, R.S. Microgenetic analyses of learning. In Handbook of Child Psychology, 6th ed.; Kuhn, D., Siegler, R.S., Eds.; Wiley: Hoboken, NJ, USA, 2006. [Google Scholar]
- Sliwinski, M.J.; Mogle, J.A.; Hyun, J.; Munoz, E.; Smyth, J.M.; Lipton, R.B. Reliability and validity of ambulatory cognitive assessments. Assessment 2018, 25, 14–30. [Google Scholar] [CrossRef] [PubMed]
- Leonhardt, A.; Könen, T.; Dirk, J.; Schmiedek, F. How differentiated do children experience affect? An investigation of the within-and between-person structure of children’s affect. Psychol. Assess. 2016, 28, 575–585. [Google Scholar] [CrossRef] [PubMed]
- Könen, T.; Dirk, J.; Leonhardt, A.; Schmiedek, F. The interplay between sleep behavior and affect in elementary school children’s daily life. J. Exp. Child Psychol. 2016, 150, 1–15. [Google Scholar] [CrossRef] [PubMed]
- Kühnhausen, J.; Leonhardt, A.; Dirk, J.; Schmiedek, F. Physical activity and affect in elementary school children’s daily lives. Front. Psychol. 2013, 4. [Google Scholar] [CrossRef] [PubMed]
- Jacobs, C.; Petermann, F.; Weiß, R. Grundintelligenztest (CFT 20-R)[German Culture Fair Intelligence Test]. Diagnostica 2007, 53, 109–113. [Google Scholar] [CrossRef]
- Gölitz, D.; Roick, T.; Hasselhorn, M. Deutscher Mathematiktest für Vierte Klassen (DEMAT 4) [German Mathematics Test for Fourth Grades (DEMAT 4)]; Beltz: Göttingen, Germany, 2006. [Google Scholar]
- Lenhard, W.; Schneider, W. ELFE 1–6: Ein Leseverständnistest für Erst- bis Sechstklässer [A Reading Comprehension Test for First to Sixth Graders]; Hogrefe: Göttingen, Germany, 2006. [Google Scholar]
- Göthe, K.; Esser, G.; Gendt, A.; Kliegl, R. Working memory in children: Tracing age differences and special educational needs to parameters of a formal model. Dev. Psychol. 2012, 48, 459–476. [Google Scholar] [CrossRef] [PubMed]
- Bates, D.; Maechler, M.; Bolker, B. Linear mixed-effects models using S4 classes. R package version 0999375-42. In R: A Language and Environment for Statistical Computing; The R Foundation for Statistical: Vienna, Austria, 2011. [Google Scholar]
- Noack, H.; Lövdén, M.; Schmiedek, F.; Lindenberger, U. Age-related differences in temporal and spatial dimensions of episodic memory performance before and after hundred days of practice. Psychol. Aging 2013, 28, 467–480. [Google Scholar] [CrossRef] [PubMed]
- Luck, S.J.; Vogel, E.K. The capacity of visual working memory for features and conjunctions. Nature 1997, 390, 279–281. [Google Scholar] [CrossRef] [PubMed]
- Oberauer, K.; Kliegl, R. A formal model of capacity limits in working memory. J. Mem. Lang. 2006, 55, 601–626. [Google Scholar] [CrossRef]
- Salthouse, T.A.; Babcock, R.L.; Shaw, R.J. Effects of adult age on structural and operational capacities in working memory. Psychol. Aging 1991, 6, 118–127. [Google Scholar] [CrossRef] [PubMed]
- Galeano Weber, E.M.; Peters, B.; Hahn, T.; Bledowski, C.; Fiebach, C.J. Superior intraparietal sulcus controls the variability of visual working memory precision. J. Neurosci. 2016, 36, 5623–5635. [Google Scholar] [CrossRef] [PubMed]
- Bunce, D.; MacDonald, S.W.; Hultsch, D.F. Inconsistency in serial choice decision and motor reaction times dissociate in younger and older adults. Brain Cogn. 2004, 56, 320–327. [Google Scholar] [CrossRef] [PubMed]
- Dixon, R.A.; Garrett, D.D.; Lentz, T.L.; MacDonald, S.W.S.; Strauss, E.; Hultsch, D.F. Neurocognitive markers of cognitive impairment: Exploring the roles of speed and inconsistency. Neuropsychology 2007, 21, 381–399. [Google Scholar] [CrossRef] [PubMed]
- Fozard, J.L.; Vercruyssen, M.; Reynolds, S.L.; Hancock, P.A.; Quilter, R.E. Age differences and changes in reaction time: The Baltimore Longitudinal Study of Aging. J. Gerontol. B Psychol. Sci. Soc. Sci. 1994, 49, 179–189. [Google Scholar] [CrossRef]
- MacDonald, S.W.; Nyberg, L.; Bäckman, L. Intra-individual variability in behavior: Links to brain structure, neurotransmission and neuronal activity. Trends Neurosci. 2006, 29, 474–480. [Google Scholar] [CrossRef] [PubMed]
- Adam, K.C.; Vogel, E.K.; Awh, E. Clear evidence for item limits in visual working memory. Cogn. Psychol. 2017, 97, 79–97. [Google Scholar] [CrossRef] [PubMed]
- Luck, S.J.; Vogel, E.K. Visual working memory capacity: From psychophysics and neurobiology to individual differences. Trends Cogn. Sci. 2013, 17, 391–400. [Google Scholar] [CrossRef] [PubMed]
- Dirk, J.; Schmiedek, F. Variability in children’s working memory is coupled with perceived disturbance: An ambulatory assessment study in the school and out-of-school context. Res. Hum. Dev. 2017, 14, 200–218. [Google Scholar] [CrossRef]
- Goris, R.L.; Movshon, J.A.; Simoncelli, E.P. Partitioning neuronal variability. Nat. Neurosci. 2014, 17, 858–865. [Google Scholar] [CrossRef] [PubMed]
- Nesselroade, J.R.; Salthouse, T.A. Methodological and theoretical implications of intraindividual variability in perceptual-motor performance. J. Gerontol. B Psychol. Sci. Soc. Sci. 2004, 59, 49–55. [Google Scholar] [CrossRef]
- Ram, N.; Brinberg, M.; Pincus, A.L.; Conroy, D.E. The questionable ecological validity of ecological momentary assessment: Considerations for design and analysis. Res. Hum. Dev. 2017, 14, 253–270. [Google Scholar] [CrossRef]
- Williams, B.R.; Hultsch, D.F.; Strauss, E.H.; Hunter, M.A.; Tannock, R. Inconsistency in reaction time across the life span. Neuropsychology 2005, 19, 88–96. [Google Scholar] [CrossRef] [PubMed]
- Hultsch, D.F.; MacDonald, S.W.; Dixon, R.A. Variability in reaction time performance of younger and older adults. J. Gerontol. B Psychol. Sci. Soc. Sci. 2002, 57, 101–115. [Google Scholar] [CrossRef]
- Lövdén, M.; Li, S.C.; Shing, Y.L.; Lindenberger, U. Within-person trial-to-trial variability precedes and predicts cognitive decline in old and very old age: Longitudinal data from the Berlin Aging Study. Neuropsychologia 2007, 45, 2827–2838. [Google Scholar] [CrossRef] [PubMed]
- Bellgrove, M.A.; Hawi, Z.; Kirley, A.; Gill, M.; Robertson, I.H. Dissecting the attention deficit hyperactivity disorder (ADHD) phenotype: Sustained attention, response variability and spatial attentional asymmetries in relation to dopamine transporter (DAT1) genotype. Neuropsychologia 2005, 43, 1847–1857. [Google Scholar] [CrossRef] [PubMed]
- Kuntsi, J.; Oosterlaan, J.; Stevenson, J. Psychological mechanisms in hyperactivity: I response inhibition deficit, working memory impairment, delay aversion, or something else? J. Child Psychol. Psychiatry 2001, 42, 199–210. [Google Scholar] [CrossRef] [PubMed]
- Schutte, A.R.; Spencer, J.P.; Schöner, G. Testing the dynamic field theory: Working memory for locations becomes more spatially precise over development. Child Dev. 2003, 74, 1393–1417. [Google Scholar] [CrossRef] [PubMed]
- Barrett, L.F.; Tugade, M.M.; Engle, R.W. Individual differences in working memory capacity and dual-process theories of the mind. Psychol. Bull. 2004, 130, 553–573. [Google Scholar] [CrossRef] [PubMed]
- Debener, S.; Emkes, R.; De Vos, M.; Bleichner, M. Unobtrusive ambulatory EEG using a smartphone and flexible printed electrodes around the ear. Sci. Rep. 2015, 5. [Google Scholar] [CrossRef] [PubMed]





© 2018 by the authors. Licensee MDPI, Basel, Switzerland. This article is an open access article distributed under the terms and conditions of the Creative Commons Attribution (CC BY) license (http://creativecommons.org/licenses/by/4.0/).
Share and Cite
Galeano Weber, E.M.; Dirk, J.; Schmiedek, F. Variability in the Precision of Children’s Spatial Working Memory. J. Intell. 2018, 6, 8. https://doi.org/10.3390/jintelligence6010008
Galeano Weber EM, Dirk J, Schmiedek F. Variability in the Precision of Children’s Spatial Working Memory. Journal of Intelligence. 2018; 6(1):8. https://doi.org/10.3390/jintelligence6010008
Chicago/Turabian StyleGaleano Weber, Elena M., Judith Dirk, and Florian Schmiedek. 2018. "Variability in the Precision of Children’s Spatial Working Memory" Journal of Intelligence 6, no. 1: 8. https://doi.org/10.3390/jintelligence6010008
APA StyleGaleano Weber, E. M., Dirk, J., & Schmiedek, F. (2018). Variability in the Precision of Children’s Spatial Working Memory. Journal of Intelligence, 6(1), 8. https://doi.org/10.3390/jintelligence6010008

