Computational Performance of Disparate Lattice Boltzmann Scenarios under Unsteady Thermal Convection Flow and Heat Transfer Simulation
Abstract
1. Introduction
2. Governing Mathematical Remarks and Principal Dimensionless Groups
3. Lattice Boltzmann Expressions from Distinct Truncation Order
4. Recovery of the Macroscopic Thermo-Hydrodynamics Expressions from Disparate LBM Arrangements in Natural Convection Heat Transfer Modelling
5. Numerical Results and Discussions
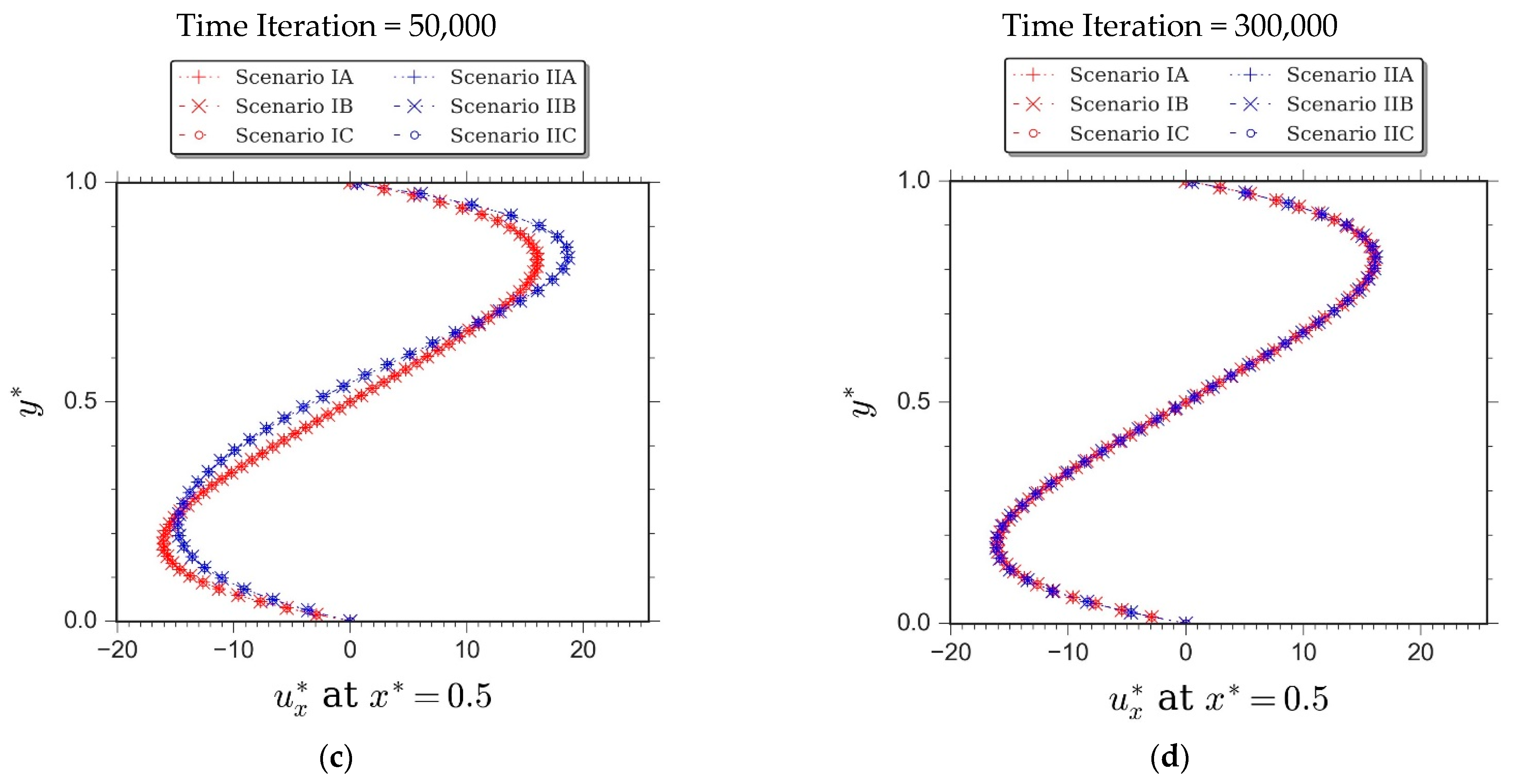
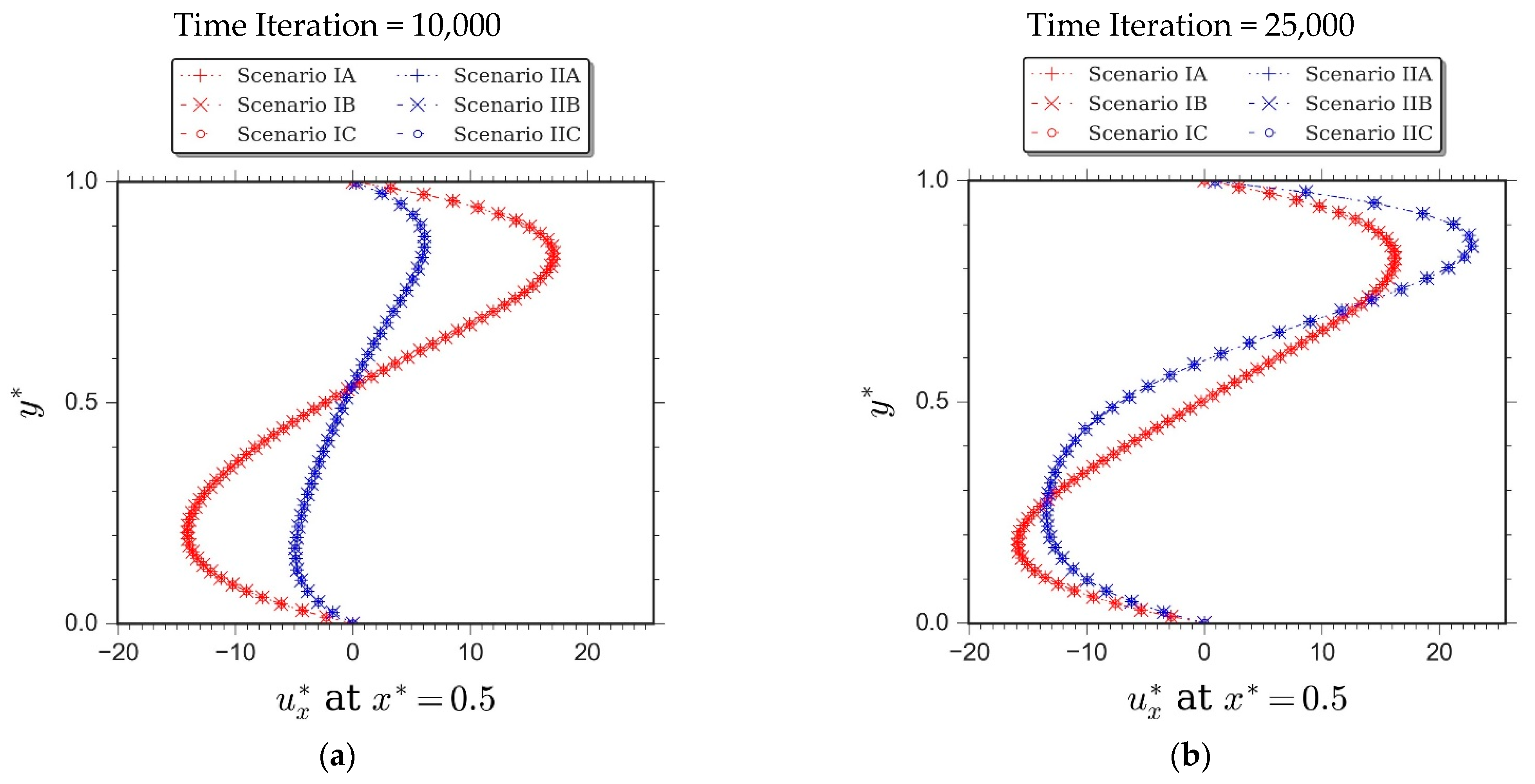
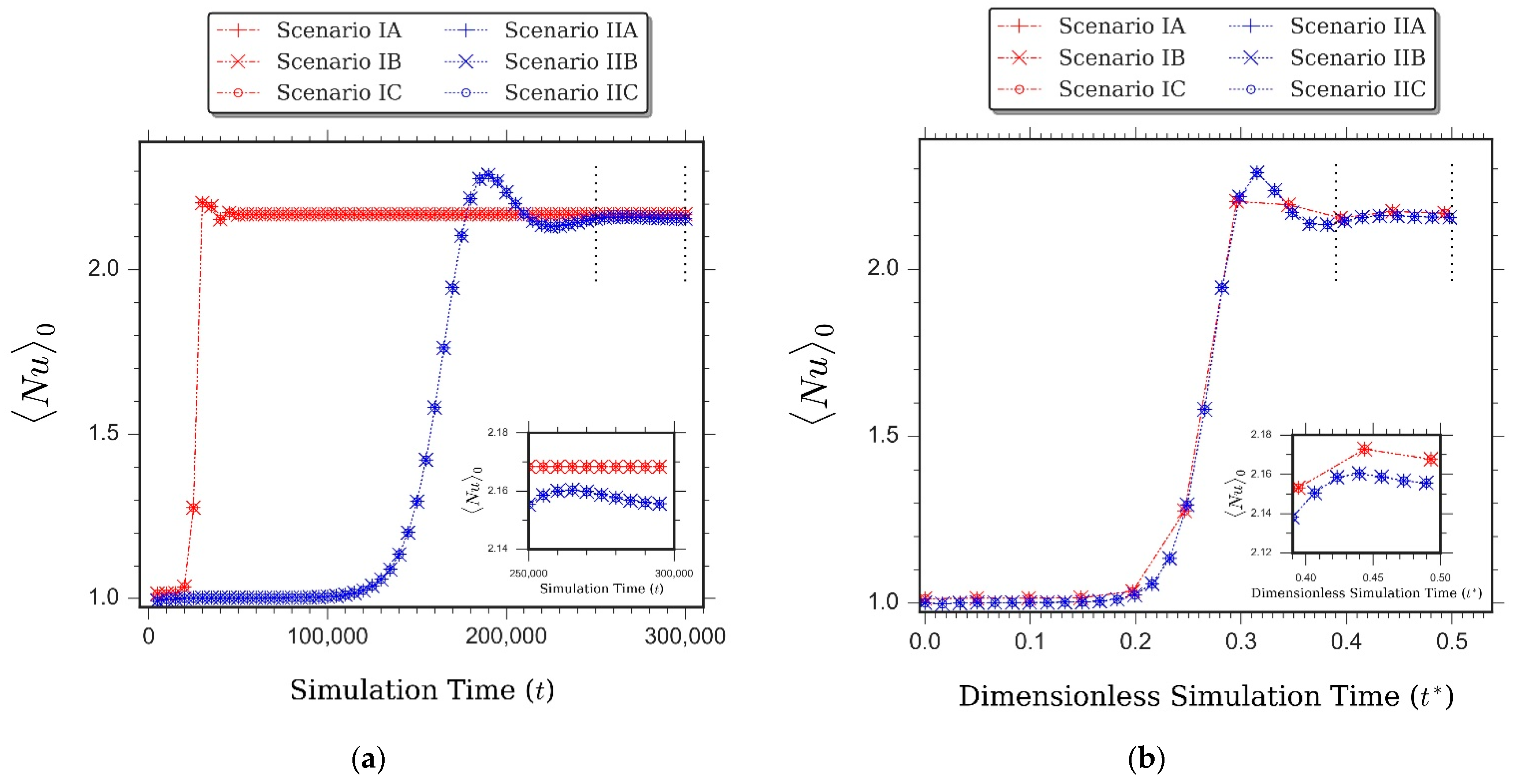
5.1. Simulation of Natural Convection in a Differentially-Heated Cavity
5.2. Simulation of Rayleigh-Bènard Convection
6. Conclusions
- 1
- The presence of considerable discrepancy in computational characteristics of disparate LBM schemes was seen during the unsteady period of the simulation, which diminished gradually as the simulation advanced towards a steady-state condition.
- 2
- Variation in the associated discrete lattice Boltzmann expression was identified as the predominant factor inherent to discrepancy in computational characteristics.
- 3
- The contribution of distinct forcing models upon the heterogeneity in computational behaviour was found to be trivial.
- 4
- At a steady-state condition, the LBM schemes which administer a second-order lattice BGK model recovered better numerical accuracy than those scenarios which comprise a first-order lattice BGK model. However, the scheme is challenged by higher computational demand.
Author Contributions
Funding
Data Availability Statement
Acknowledgments
Conflicts of Interest
Nomenclature
| spatial coordinates vector | |||
| temperature, K; | |||
| lattice speed of sound | |||
| hot temperature, K; | characteristic velocity | ||
| cold temperature, K; | Nu | Nusselt number, dimensionless | |
| h | average Nusselt number for the entire simulation domain | ||
| average Nusselt number at the hot wall | |||
| L | characteristic length, m; | Pr | Prandtl number, dimensionless |
| simulation time step, lattice unit; | Ra | Rayleigh number, dimensionless | |
| fluid population; | Mach number, dimensionless | ||
| equilibrium fluid population; | dimensionless horizontal length | ||
| thermal population; | dimensionless vertical length | ||
| equilibrium thermal population; | dimensionless fluid velocity | ||
| discrete forcing term; | number of lattice nodes in the horizontal direction | ||
| weighting coefficients for fluid population; | number of lattice nodes in the vertical direction | ||
| weighting coefficients for thermal population; | local heat flux; | ||
| Greek symbols | |||
| discrete velocity for fluid particles; | relaxation time for fluid population | ||
| discrete velocity for thermal particles; | relaxation time for thermal population | ||
| dimensionless temperature; | delta Kronecker | ||
| dimensionless hot temperature; | Knudsen number, dimensionless | ||
| dimensionless cold temperature; | |||
| Subscript | |||
| number of discrete velocities | |||
| direction of spatial coordinates (Einstein notation). | |||
Appendix A. The Chapman-Enskog Analysis for Fluid Populations
| Forcing Model | Zeroth-Order Moment | First-Order Moment | Second-Order Moment |
|---|---|---|---|
| Luo (Equation (14)) | 0 | 0 | |
| Guo, et al. (Equation (15)) | 0 | ||
| Kupershtokh, et al. (Equation (16)) | 0 |
Appendix B. The Chapman-Enskog Analysis for Thermal Populations
References
- He, X.; Doolen, G.D. Thermodynamic foundations of kinetic theory and lattice Boltzmann models for multiphase flows. J. Stat. Phys. 2002, 107, 309–328. [Google Scholar] [CrossRef]
- Kruger, T.; Kusumaatmaja, H.; Kuzmin, A.; Shardt, O.; Goncalo, S.; Viggen, E.M. The Lattice Boltzmann Method, Principles and Practice; Springer: Cham, Switzerland, 2017; ISBN 9783319446479. [Google Scholar]
- Trouette, B. Lattice Boltzmann simulations of a time-dependent natural convection problem. Comput. Math. Appl. 2013, 66, 1360–1371. [Google Scholar] [CrossRef]
- Mezrhab, A.; Amine Moussaoui, M.; Jami, M.; Naji, H.; Bouzidi, M. Double MRT thermal lattice Boltzmann method for simulating convective flows. Phys. Lett. Sect. A Gen. Solid State Phys. 2010, 374, 3499–3507. [Google Scholar] [CrossRef]
- Jami, M.; Moufekkir, F.; Mezrhab, A.; Fontaine, J.P.; Bouzidi, M. New thermal MRT lattice Boltzmann method for simulations of convective flows. Int. J. Sci. 2016, 100, 98–107. [Google Scholar] [CrossRef]
- Ubertini, S.; Asinari, P.; Succi, S. Three ways to lattice Boltzmann: A unified time-marching picture. Phys. Rev. E-Stat. Nonlinear Soft Matter Phys. 2010, 81, 1–11. [Google Scholar] [CrossRef]
- Silva, G.; Semiao, V. First and Second-order forcing expressions in a lattice Boltzmann method reproducing isothermal hydrodynamics in artificial compressibility form. J. Fluid Mech. 2012, 698, 282–303. [Google Scholar] [CrossRef]
- Guo, Z.; Zheng, C.; Shi, B. Discrete lattice effects on the forcing term in the lattice Boltzmann method. Phys. Rev. E-Stat. Phys. Plasmas Fluids Relat. Interdiscip. Top. 2002, 65, 6. [Google Scholar] [CrossRef]
- Luo, L.S. Theory of the lattice Boltzmann method: Lattice Boltzmann models for nonideal gases. Phys. Rev. E-Stat. Phys. Plasmas Fluids Relat. Interdiscip. Top. 2000, 62, 4982–4996. [Google Scholar] [CrossRef] [PubMed]
- He, X.; Chen, S.; Doolen, G.D. A novel thermal model for the lattice Boltzmann method in incompressible limit. J. Comput. Phys. 1998, 146, 282–300. [Google Scholar] [CrossRef]
- Guo, Z.; Zhao, T.S. Lattice Boltzmann model for incompressible flows through porous media. Phys. Rev. E-Stat. Phys. Plasmas Fluids Relat. Interdiscip. Top. 2002, 66, 1–9. [Google Scholar] [CrossRef] [PubMed]
- Kupershtokh, A.L.; Medvedev, D.A.; Karpov, D.I. On equations of state in a lattice Boltzmann method. Comput. Math. Appl. 2009, 58, 965–974. [Google Scholar] [CrossRef]
- Mohamad, A.A.; Kuzmin, A.A. Critical evaluation of force term in lattice Boltzmann method, natural convection problem. Int. J. Heat Mass Transf. 2010, 53, 990–996. [Google Scholar] [CrossRef]
- Krivovichev, G.V. Stability analysis of body force action models used in the single-relaxation-time single-phase lattice Boltzmann method. Appl. Math. Comput. 2019, 348, 25–41. [Google Scholar] [CrossRef]
- Zheng, L.; Zheng, S.; Zhai, Q. Analysis of force treatment in lattice Boltzmann equation method. Int. J. Heat Mass Transf. 2019, 139, 747–750. [Google Scholar] [CrossRef]
- Mayne, D.A.; Usmani, A.S.; Crapper, M. H-adaptive finite element solution of high Rayleigh number thermally driven cavity problem. Int. J. Numer. Methods Heat Fluid Flow 2000, 10, 598–615. [Google Scholar] [CrossRef]
- Du, R.; Liu, W. A new multiple-relaxation-time lattice Boltzmann method for natural convection. J. Sci. Comput. 2013, 56, 122–130. [Google Scholar] [CrossRef]
- He, X.; Luo, L.S. Theory of the lattice Boltzmann method: From the Boltzmann equation to the lattice Boltzmann equation. Phys. Rev. E-Stat. Phys. Plasmas Fluids Relat. Interdiscip. Top. 1997, 55, 6811–6820. [Google Scholar] [CrossRef]
- Zou, Q.; He, X. On pressure and velocity boundary conditions for the lattice Boltzmann BGK model. Phys. Fluids 1997, 9, 1591–1596. [Google Scholar] [CrossRef]
- Shu, C.; Peng, Y.; Chew, Y.T. Simulation of natural convection in a square cavity by Taylor series expansion and least squares-based lattice Boltzmann method. Int. J. Mod. Phys. C 2002, 13, 1399–1414. [Google Scholar] [CrossRef]
- Dixit, H.N.; Babu, V. Simulation of high Rayleigh number natural convection in a square cavity using the lattice Boltzmann method. Int. J. Heat Mass Transf. 2006, 49, 727–739. [Google Scholar] [CrossRef]
- Yu, P.X.; Tian, Z.F. Compact computations based on a stream-function-velocity formulation of two-dimensional steady laminar natural convection in a square cavity. Phys. Rev. E-Stat. Nonlinear Soft Matter Phys. 2012, 85, 1–12. [Google Scholar] [CrossRef] [PubMed]
- De Vahl Davis, G. Natural convection of air in a square cavity: A bench mark numerical solution. Int. J. Numer. Methods Fluids 1983, 3, 249–264. [Google Scholar] [CrossRef]
- Syrjälä, S. Higher order penalty-galerkin finite element approach to laminar natural convection in a square cavity. Numer. Heat Transf. Part A Appl. 1996, 29, 197–210. [Google Scholar] [CrossRef]
- Goldhirsch, I.; Pelz, R.B.; Orszag, S.A. Numerical simulation of thermal convection in a two-dimensional finite box. J. Fluid Mech. 1989, 199, 1–28. [Google Scholar] [CrossRef]
- Shan, X. Simulation of Rayleigh-Bénard convection using a lattice Boltzmann method. Phys. Rev. E-Stat. Phy. Plasmas Fluids Relat. Interdiscip. Top. 1997, 55, 2780–2788. [Google Scholar] [CrossRef]
- Ouertatani, N.; Ben Cheikh, N.; Ben Beya, B.; Lili, T. Numerical simulation of two-dimensional Rayleigh-Bénard convection in an enclosure. Comptes Rendus Mécanique 2008, 336, 464–470. [Google Scholar] [CrossRef]












| LBM Scheme | Lattice BGK Model for Fluid Displacement | Discrete Forcing Model |
|---|---|---|
| IA | First-Order Lattice BGK Model (Equation (7)) | Luo [9] (Equation (14)) |
| IB | Guo et al. [8] (Equation (15)) | |
| IC | Kupershtokh et al. [12] (Equation (16)) | |
| IIA | Second-Order Lattice BGK Model (Equation (8)) | Luo [9] (Equation (14)) |
| IIB | Guo et al. [8] (Equation (15)) | |
| IIC | Kupershtokh et al. [12] (Equation (16)) |
| LBM Scheme | Residual Fractions in the Restored Continuity Equation | Residual Fractions in the Restored Navier-Stokes Equation |
|---|---|---|
| IA | ||
| IB | ||
| IC | ||
| IIA | 0 | |
| IIB | 0 | 0 |
| IIC | 0 |
| Simulation Parameters | LBM Scheme (Present Study) | FDM [23] | FEM [24] | |||||
|---|---|---|---|---|---|---|---|---|
| IA | IB | IC | IIA | IIB | IIC | |||
| 2.2341 | 2.2339 | 2.2339 | 2.2424 | 2.2423 | 2.2424 | 2.243 | 2.2448 | |
| 16.0678 | 16.0619 | 16.0619 | 16.1742 | 16.1732 | 16.1742 | 16.178 | 16.1853 | |
| 19.3927 | 19.3864 | 19.3864 | 19.6011 | 19.5999 | 19.6011 | 19.617 | 19.6316 | |
| 0.8116 | 0.8116 | 0.8116 | 0.8204 | 0.8204 | 0.8204 | 0.823 | 0.8230 | |
| 0.1159 | 0.1159 | 0.1159 | 0.1189 | 0.1189 | 0.1189 | 0.119 | 0.1188 | |
| Simulation Parameter | LBM Scheme (Present Study) | FVM [27] | |||||
|---|---|---|---|---|---|---|---|
| IA | IB | IC | IIA | IIB | IIC | ||
| 2.1681 | 2.1684 | 2.1684 | 2.1554 | 2.1555 | 2.1554 | 2.1581 | |
Publisher’s Note: MDPI stays neutral with regard to jurisdictional claims in published maps and institutional affiliations. |
© 2021 by the authors. Licensee MDPI, Basel, Switzerland. This article is an open access article distributed under the terms and conditions of the Creative Commons Attribution (CC BY) license (https://creativecommons.org/licenses/by/4.0/).
Share and Cite
Hartono, A.D.; Sasaki, K.; Sugai, Y.; Nguele, R. Computational Performance of Disparate Lattice Boltzmann Scenarios under Unsteady Thermal Convection Flow and Heat Transfer Simulation. Computation 2021, 9, 65. https://doi.org/10.3390/computation9060065
Hartono AD, Sasaki K, Sugai Y, Nguele R. Computational Performance of Disparate Lattice Boltzmann Scenarios under Unsteady Thermal Convection Flow and Heat Transfer Simulation. Computation. 2021; 9(6):65. https://doi.org/10.3390/computation9060065
Chicago/Turabian StyleHartono, Aditya Dewanto, Kyuro Sasaki, Yuichi Sugai, and Ronald Nguele. 2021. "Computational Performance of Disparate Lattice Boltzmann Scenarios under Unsteady Thermal Convection Flow and Heat Transfer Simulation" Computation 9, no. 6: 65. https://doi.org/10.3390/computation9060065
APA StyleHartono, A. D., Sasaki, K., Sugai, Y., & Nguele, R. (2021). Computational Performance of Disparate Lattice Boltzmann Scenarios under Unsteady Thermal Convection Flow and Heat Transfer Simulation. Computation, 9(6), 65. https://doi.org/10.3390/computation9060065

