Accurate Spectral Collocation Computation of High Order Eigenvalues for Singular Schrödinger Equations
Abstract
1. Introduction
- reduction to a finite interval;
- discretization;
- application of a numerical eigenvalue solver.
2. Regular and Singular Schrödinger Eigenproblems
3. Chebfun vs. Spectral Collocation (ChC, LGRC, SiC)
3.1. Chebfun
3.2. ChC, LGRC, and SiC Methods
3.3. The Drift of Eigenvalues
4. Numerical Benchmark Problems and Discussions
4.1. Bounded Potentials
4.1.1. A Regular Schrödinger Eigenproblem with Oscillatory Coefficients
4.1.2. A Morse Potential with Deep Well
4.2. Two Half Range Singular Schrödinger Eigenproblems
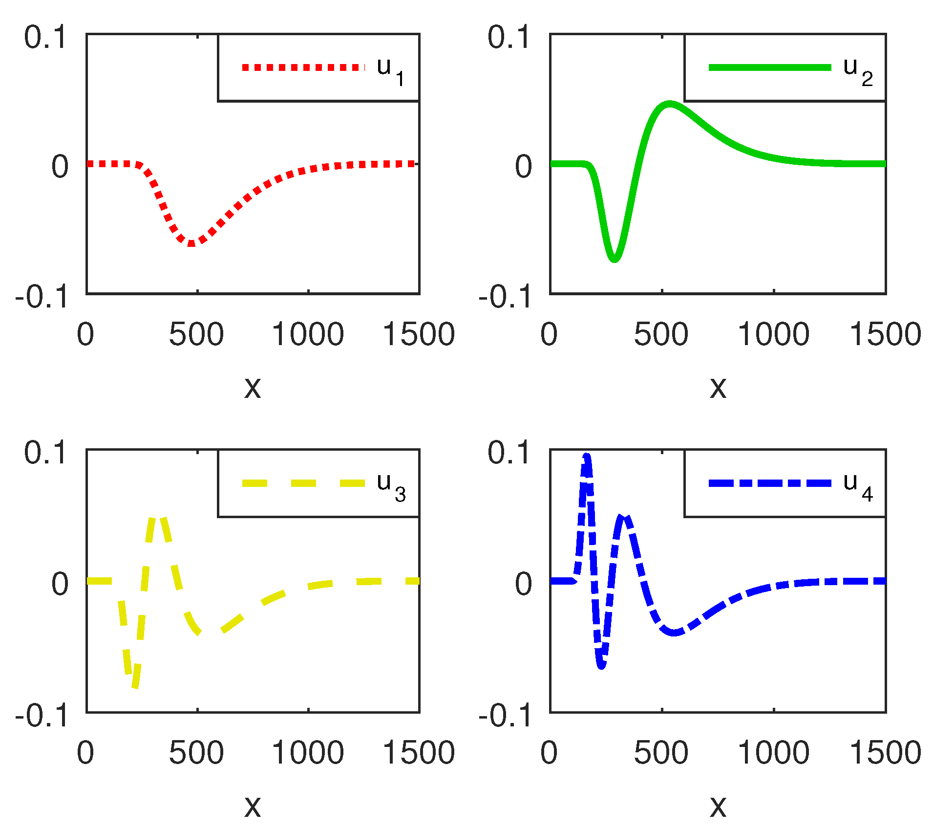
4.2.1. Hydrogen Atom Equation
- improve the decaying rate of the coefficients of spectral expansions.
- find as orthogonal as possible eigenvectors to an eigenproblem;
4.2.2. Potential with a Coulomb Type Decay
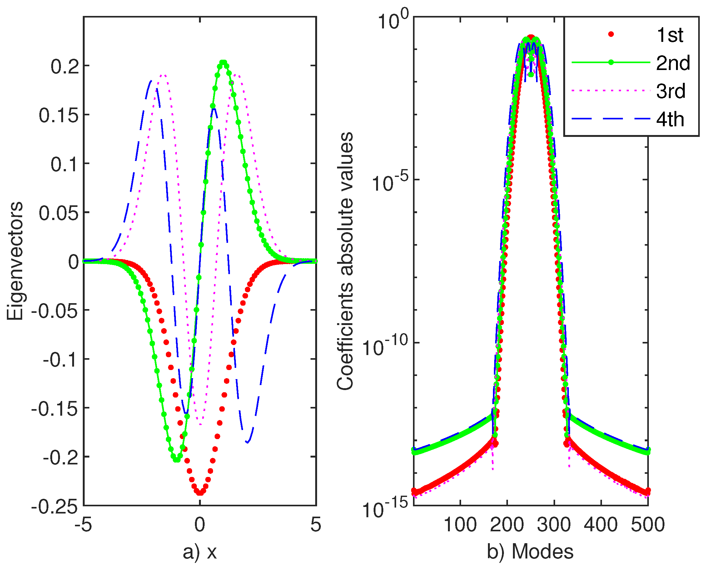
4.3. A Singular Schrödinger Eigenproblem on the Real Line—the Anharmonic Oscillator
4.4. The Sixth Order Hamiltonian
5. Concluding Remarks and Open Problems
Funding
Conflicts of Interest
Abbreviations
| c | scaling factor for unbounded domains |
| f. e. m. | finite element method |
| f. d. | finite difference method |
| GPS | generalized pseudospectral method |
| SL | Sturm–Liouville eigenproblem |
| ChC | Chebyshev collocation |
| LGRC | Laguerre–Gauss–Radau Collocation |
| SiC | sinc collocation |
| MATSLISE | Matlab package for SL and Schrödinger equations |
| MEP | multiparameter eigenvalue problem |
| N | the order of approximation of spectral method (cutting-off parameter) |
| SLEDGE | SL Estimates Determined by Global Errors |
| SLEIGN | FORTRAN package for numerical solution to SL eigenproblem |
| SLDRIVER | interactive package for the previous packages |
References
- Driscoll, T.A.; Bornemann, F.; Trefethen, L.N. The CHEBOP System for Automatic Solution of Differential Equations. BIT 2008, 48, 701–723. [Google Scholar] [CrossRef]
- Driscoll, T.A.; Hale, N.; Trefethen, L.N. Chebfun Guide; Pafnuty Publications: Oxford, UK, 2014. [Google Scholar]
- Driscoll, T.A.; Hale, N.; Trefethen, L.N. Chebfun-Numerical Computing with Functions. Available online: http://www.chebfun.org (accessed on 15 November 2019).
- Olver, S.; Townsend, A. A fast and well-conditioned spectral method. SIAM Rev. 2013, 55, 462–489. [Google Scholar] [CrossRef]
- Trefethen, L.N.; Birkisson, A.; Driscoll, T.A. Exploring ODEs; SIAM: Philadelphia, PA, USA, 2018. [Google Scholar]
- Trefethen, L.N. Approximation Theory and Approximation Practice; Extended Edition; SIAM: Philadelphia, PA, USA, 2019. [Google Scholar]
- Gheorghiu, C.I. Spectral Methods for Non-Standard Eigenvalue Problems. Fluid and Structural Mechanics and Beyond; Springer: Cham, Switzerland; Heidelberg, Germany; New York, NY, USA; Dordrecht, The Netherlands; London, UK, 2014. [Google Scholar]
- Gheorghiu, C.I. Spectral Collocation Solutions to Problems on Unbounded Domains; Casa Cărţii de Ştiinţă Publishing House: Cluj-Napoca, Romania, 2018. [Google Scholar]
- Weideman, J.A.C.; Reddy, S.C. A MATLAB Differentiation Matrix Suite. ACM Trans. Math. Softw. 2000, 26, 465–519. [Google Scholar] [CrossRef]
- Roy, A.K. The generalized pseudospectral approach to the bound states of the Hulthén and the Yukawa potentials. PRAMANA J. Phys. 2005, 65, 1–15. [Google Scholar] [CrossRef]
- Shizgal, B.D. Pseudospectral Solution of the Fokker–Planck Equation with Equilibrium Bistable States: The Eigenvalue Spectrum and the Approach to Equilibrium. J. Stat. Phys. 2016. [Google Scholar] [CrossRef]
- Birkhoff, G.; Rota, G.-C. Ordinary Differential Equations, 4th ed.; John Willey and Sons: New York, NY, USA, 1989; pp. 336–343. [Google Scholar]
- Cesarano, C.; Fornaro, C.; Vazquez, L. Operational results in bi-orthogonal Hermite functions. Acta Math. Univ. Comen. 2016, 85, 43–68. [Google Scholar]
- Cesarano, C. A Note on Bi-Orthogonal Polynomials and Functions. Fluids 2020, 5, 105. [Google Scholar] [CrossRef]
- Pruess, S.; Fulton, C.T. Mathematical Software for Sturm–Liouville Problem. ACM Trans. Math. Softw. 1993, 19, 360–376. [Google Scholar] [CrossRef]
- Pruess, S.; Fulton, C.T.; Xie, Y. An Asymptotic Numerical Method for a Class of Singular Sturm–Liouville Problems. SIAM J. Numer. Anal. 1995, 32, 1658–1676. [Google Scholar] [CrossRef]
- Pryce, J.D. A Test Package for Sturm–Liouville Solvers. ACM Trans. Math. Softw. 1999, 25, 21–57. [Google Scholar] [CrossRef]
- Pryce, J.D.; Marletta, M. A new multi-purpose software package for Schrödinger and Sturm–Liouville computations. Comput. Phys. Comm. 1991, 62, 42–54. [Google Scholar] [CrossRef]
- Bailey, P.B.; Everitt, W.N.; Zettl, A. Computing Eigenvalues of Singular Sturm–Liouville Problems. Results Math. 1991, 20, 391–423. [Google Scholar] [CrossRef]
- Bailey, P.B.; Garbow, B.; Kaper, H.; Zettl, A. Algorithm 700: A FORTRAN software package for Sturm–Liouville problems. ACM Trans. Math. Softw. 1991, 17, 500–501. [Google Scholar] [CrossRef]
- Ledoux, V.; Van Daele, M.; Vanden Berghe, G. MATSLISE: A MATLAB Package for the Numerical Solution of Sturm–Liouville and Schrödinger Equations. ACM Trans. Math. Softw. 2005, 31, 532–554. [Google Scholar] [CrossRef]
- Solomonoff, A.; Turkel, E. Global Properties of Pseudospectral Methods. J. Comput. Phys. 1989, 81, 230–276. [Google Scholar] [CrossRef]
- Hoepffner, J. Implementation of Boundary Conditions. Available online: http://www.lmm.jussieu.fr/hoepffner/boundarycondition.pdf (accessed on 25 August 2012).
- Gheorghiu, C.I.; Pop, I.S. A Modified Chebyshev-Tau Method for a Hydrodynamic Stability Problem. In Proceedings of the International Conference on Approximation and Optimization (Romania)—ICAOR, Cluj-Napoca, Romania, 29 July–1 August 1996; Volume II, pp. 119–126. [Google Scholar]
- Gheorghiu, C.I. On the numerical treatment of the eigenparameter dependent boundary conditions. Numer. Algor. 2018, 77, 77–93. [Google Scholar] [CrossRef]
- Gheorghiu, C.I.; Hochstenbach, M.E.; Plestenjak, B.; Rommes, J. Spectral collocation solutions to multiparameter Mathieu’s system. Appl. Math. Comput. 2012, 218, 11990–12000. [Google Scholar] [CrossRef]
- Plestenjak, B.; Gheorghiu, C.I.; Hochstenbach, M.E. Spectral collocation for multiparameter eigenvalue problems arising from separable boundary value problems. J. Comput. Phys. 2015, 298, 585–601. [Google Scholar] [CrossRef]
- Boyd, J.P. Traps and Snares in Eigenvalue Calculations with Application to Pseudospectral Computations of Ocean Tides in a Basin Bounded by Meridians. J. Comput. Phys. 1996, 126, 11–20. [Google Scholar] [CrossRef]
- Ledoux, V.; Van Daele, M.; Vanden Berghe, G. Efficient computation of high index Sturm–Liouville eigenvalues for problems in physics. Comput. Phys. Commun. 2009, 180, 241–250. [Google Scholar] [CrossRef]
- Ledoux, V.; Ixaru, L.Gr.; Rizea, M.; Van Daele, M.; Vanden Berghe, G. Solution of the Schrödinger equation over an infinite integration interval by perturbation methods, revisited. Comput. Phys. Commun. 2006, 175, 612–619. [Google Scholar] [CrossRef]
- Schonfelder, J.L. Chebyshev Expansions for the Error and Related Functions. Math. Comput. 1978, 32, 1232–1240. [Google Scholar] [CrossRef]
- Von Winckel, G. Fast Chebyshev Transform (1D). Available online: https://www.mathworks.com/matlabcentral/fileexchange/4591-fast-chebyshev-transform-1d (accessed on 15 May 2015).
- Mitra, A.K. On the interaction of the type . J. Math. Phys. 1978, 19, 2018–2022. [Google Scholar] [CrossRef]
- Simos, T.E. Some embedded modified Runge–Kutta methods for the numerical solution of some specific Schrödinger equations. J. Math. Chem. 1998, 24, 23–37. [Google Scholar] [CrossRef]
- Simos, T.E. An accurate finite difference method for the numerical solution of the Schrödinger equation. J. Comput Appl. Math. 1998, 91, 47–61. [Google Scholar] [CrossRef][Green Version]
- Trif, D. Matlab package for the Schrödinger equation. J. Math. Chem. 2008, 43, 1163–1176. [Google Scholar] [CrossRef]
- Szalay, V.; Czakó, G.; Nagy, A.; Furtenbacher, T.; Császár, A.G. On one-dimensional discrete variable representations with general basis functions. J. Chem. Phys. 2003, 119, 10512–10518. [Google Scholar] [CrossRef]













| by Chebfun | According to [29] | by ChC | |
|---|---|---|---|
| 10,653.52543568510 | 10,653.525435875921 | 10,653.52543587600 | |
| 40,851.63764596094 | 40,851.637646050455 | 40,851.63764605047 |
| Computed by LGRC in [8] | According to [30] | by Mapped ChC | |
|---|---|---|---|
Publisher’s Note: MDPI stays neutral with regard to jurisdictional claims in published maps and institutional affiliations. |
© 2020 by the author. Licensee MDPI, Basel, Switzerland. This article is an open access article distributed under the terms and conditions of the Creative Commons Attribution (CC BY) license (http://creativecommons.org/licenses/by/4.0/).
Share and Cite
Gheorghiu, C.-I. Accurate Spectral Collocation Computation of High Order Eigenvalues for Singular Schrödinger Equations. Computation 2021, 9, 2. https://doi.org/10.3390/computation9010002
Gheorghiu C-I. Accurate Spectral Collocation Computation of High Order Eigenvalues for Singular Schrödinger Equations. Computation. 2021; 9(1):2. https://doi.org/10.3390/computation9010002
Chicago/Turabian StyleGheorghiu, Călin-Ioan. 2021. "Accurate Spectral Collocation Computation of High Order Eigenvalues for Singular Schrödinger Equations" Computation 9, no. 1: 2. https://doi.org/10.3390/computation9010002
APA StyleGheorghiu, C.-I. (2021). Accurate Spectral Collocation Computation of High Order Eigenvalues for Singular Schrödinger Equations. Computation, 9(1), 2. https://doi.org/10.3390/computation9010002
