A Graphics Process Unit-Based Multiple-Relaxation-Time Lattice Boltzmann Simulation of Non-Newtonian Fluid Flows in a Backward Facing Step
Abstract
1. Introduction
2. Governing Equations on the Macro Scale
3. Formulation of the Problem in LBM
Multiple-Relaxation-Time Lattice Boltzmann Method
4. Non-Newtonian Viscosity Model for the Lattice Boltzmann Method
4.1. Power-Law Viscosity Model (PL)
4.2. Modified Power-Law Viscosity Model (MPL)
5. Boundary Conditions for the Flow in a Backward-Facing Step
6. GPU Implementation for Lattice Boltzmann Method
CUDA Programming Interface
7. Results and Discussion
7.1. Grid Sensitivity Test and Code Validation with Lid-Driven Cavity Flow
7.2. Validation with Channel Flow
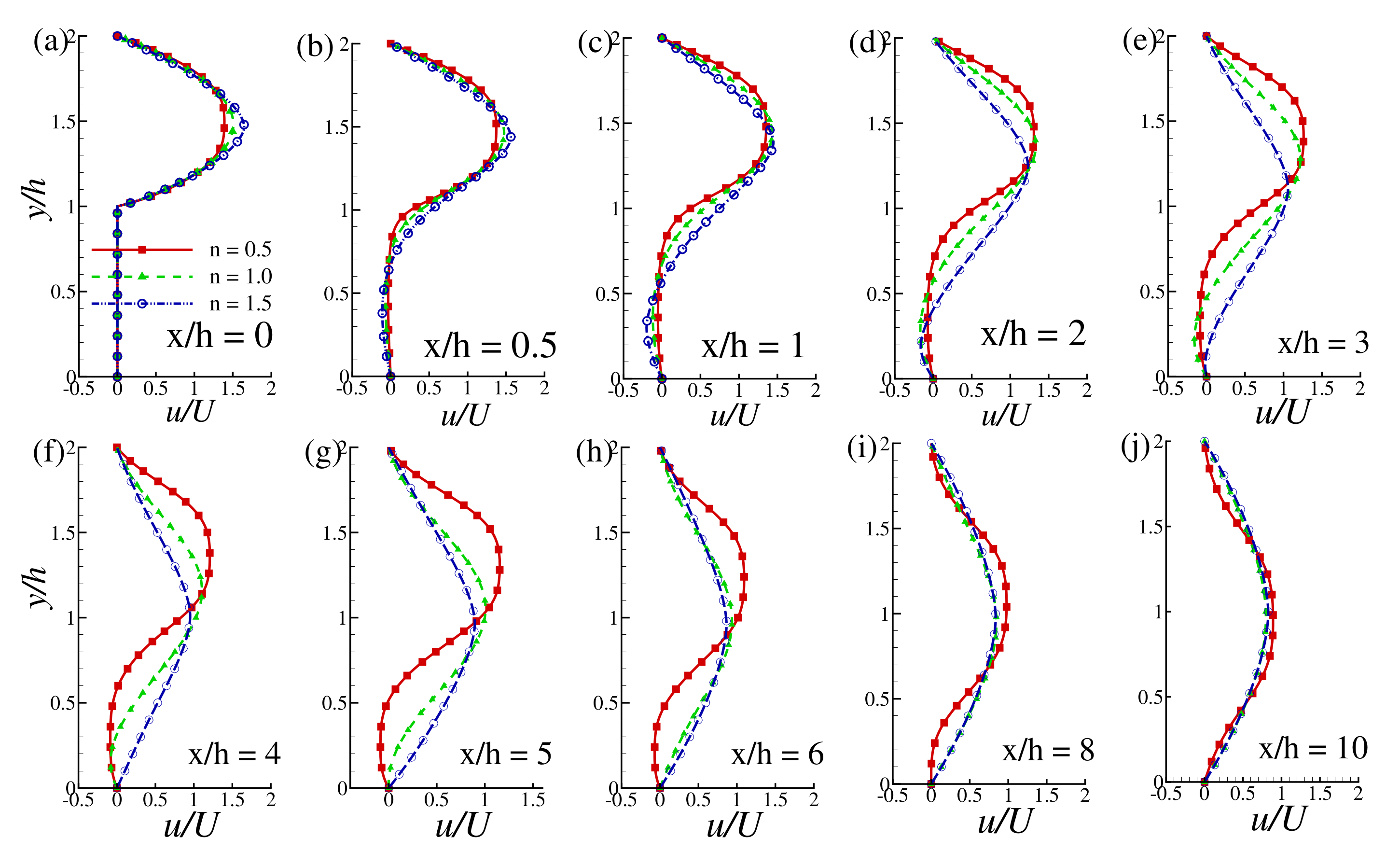
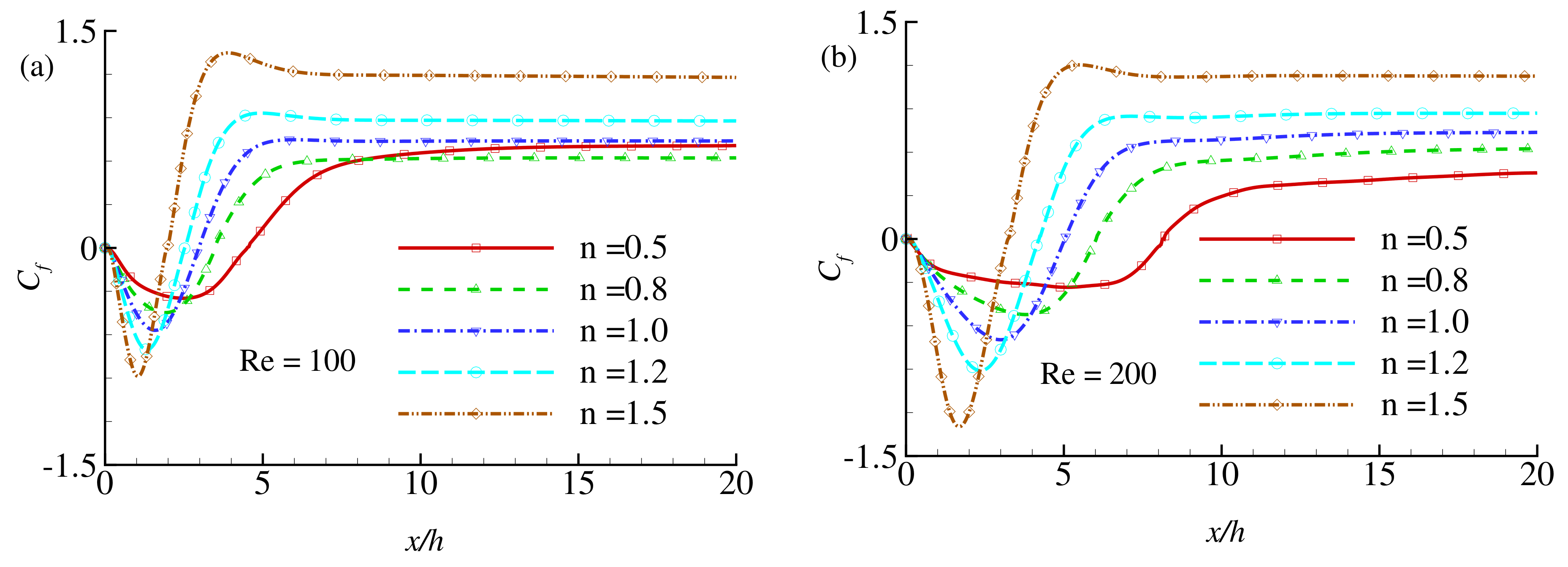
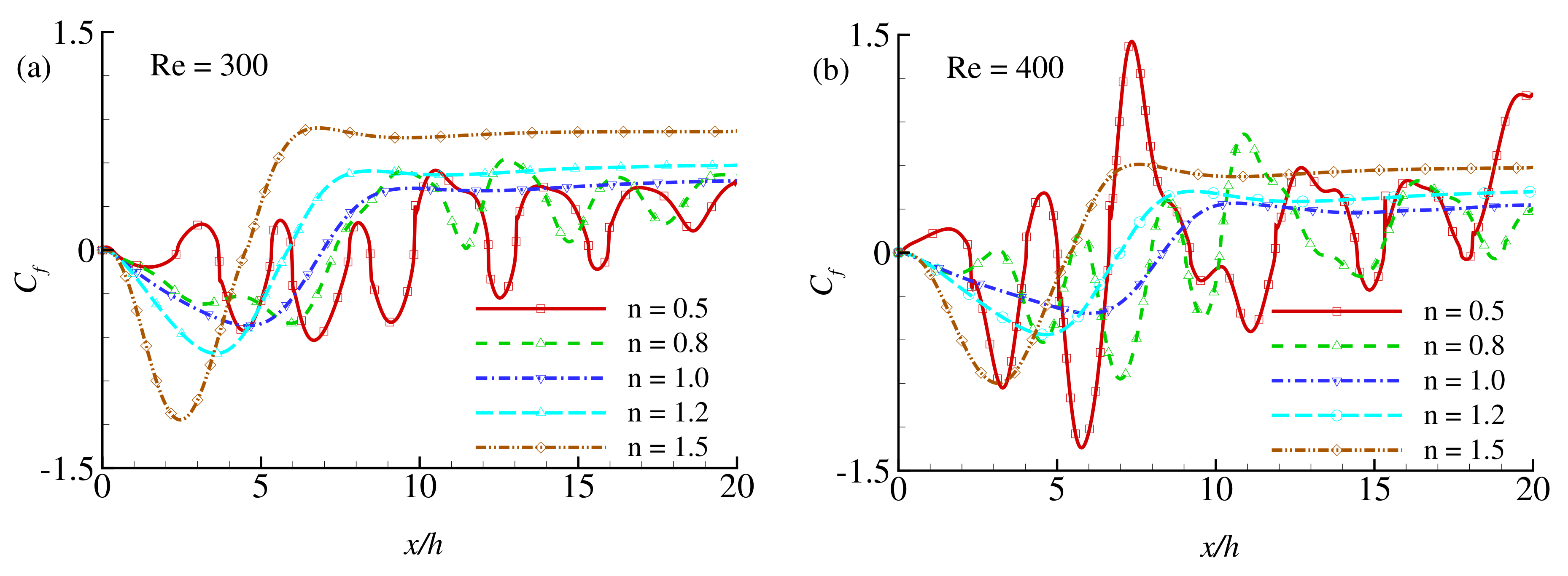
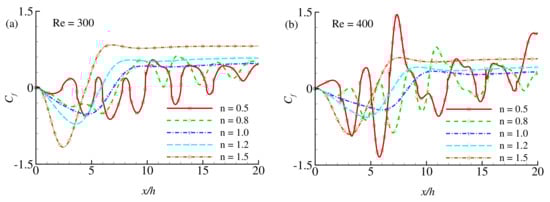
7.3. Flow in a Backward-Facing Step
8. Conclusions
Author Contributions
Funding
Acknowledgments
Conflicts of Interest
Appendix A
References
- Chhabra, R.P.; Richardson, J.F. Non-Newtonian Flow in the Process Industries: Fundamentals and Engineering Applications; Butterworth-Heinemann: Oxford, UK, 1999. [Google Scholar]
- Bell, B.C.; Surana, K.S. p-version least squares finite element formulation for two-dimensional, incompressible, non-Newtonian isothermal and non-isothermal fluid flow. Int. J. Numer. Methods Fluids 1994, 18, 127–162. [Google Scholar] [CrossRef]
- Neofytou, P. A 3rd order upwind finite volume method for generalised Newtonian fluid flows. Adv. Eng. Softw. 2005, 36, 664–680. [Google Scholar] [CrossRef]
- Rafiee, A. Modelling of generalized Newtonian lid-driven cavity flow using an SPH method. ANZIAM J. 2008, 49, 411–422. [Google Scholar] [CrossRef]
- Syrjälä, S. Finite-element analysis of fully developed laminar flow of power-law non-Newtonian fluid in a rectangular duct. Int. Commun. Heat Mass Transf. 1995, 22, 549–557. [Google Scholar] [CrossRef]
- Bose, A.; Carey, G. Least-squares pr finite element methods for incompressible non-Newtonian flows. Comput. Methods Appl. Mech. Eng. 1999, 180, 431–458. [Google Scholar] [CrossRef]
- Benzi, R.; Succi, S.; Vergassola, M. The lattice Boltzmann equation: Theory and applications. Phys. Rep. 1992, 222, 145–197. [Google Scholar] [CrossRef]
- Succi, S. The Lattice Boltzmann Equation: For Fluid Dynamics and Beyond; Oxford University Press: Oxford, UK, 2001. [Google Scholar]
- Wolf-Gladrow, D.A. Lattice-Gas Cellular Automata and Lattice Boltzmann Models: An Introduction; Springer: Berlin/Heidelberg, Germany, 2004. [Google Scholar]
- Higuera, F.; Succi, S.; Benzi, R. Lattice gas dynamics with enhanced collisions. EPL Europhys. Lett. 1989, 9, 345. [Google Scholar] [CrossRef]
- Succi, S.; Foti, E.; Higuera, F. Three-dimensional flows in complex geometries with the lattice Boltzmann method. EPL Europhys. Lett. 1989, 10, 433. [Google Scholar] [CrossRef]
- Lavallée, P.; Boon, J.P.; Noullez, A. Boundaries in lattice gas flows. Phys. Nonlinear Phenom. 1991, 47, 233–240. [Google Scholar] [CrossRef]
- Ziegler, D.P. Boundary conditions for lattice Boltzmann simulations. J. Stat. Phys. 1993, 71, 1171–1177. [Google Scholar] [CrossRef]
- D’Humieres, D. Generalized lattice Boltzmann Equations, Rarefied Gas Dynamics: Theory and Simulations. Prog. Astronaut. Aeronaut. 1992, 159, 450–458. [Google Scholar]
- Lallemand, P.; Luo, L.S. Theory of the lattice Boltzmann method: Dispersion, dissipation, isotropy, Galilean invariance, and stability. Phys. Rev. E 2000, 61, 6546. [Google Scholar] [CrossRef] [PubMed]
- D’Humieres, D. Multiple–relaxation–time lattice Boltzmann models in three dimensions. Philos. Trans. R. Soc. Lond. Ser. A Math. Phys. Eng. Sci. 2002, 360, 437–451. [Google Scholar]
- Du, R.; Shi, B.; Chen, X. Multi-relaxation-time lattice Boltzmann model for incompressible flow. Phys. Lett. A 2006, 359, 564–572. [Google Scholar] [CrossRef]
- Liu, Y.; So, R.; Cui, Z. Bluff body flow simulation using lattice Boltzmann equation with multiple relaxation time. Comput. Fluids 2006, 35, 951–956. [Google Scholar] [CrossRef]
- Mezrhab, A.; Moussaoui, M.A.; Jami, M.; Naji, H.; Bouzidi, M. Double MRT thermal lattice Boltzmann method for simulating convective flows. Phys. Lett. A 2010, 374, 3499–3507. [Google Scholar] [CrossRef]
- Li, Z.; Yang, M.; Zhang, Y. Lattice Boltzmann method simulation of 3-D natural convection with double MRT model. Int. J. Heat Mass Transf. 2016, 94, 222–238. [Google Scholar] [CrossRef]
- Liu, Q.; Feng, X.B.; He, Y.L.; Lu, C.W.; Gu, Q.H. Three-dimensional multiple-relaxation-time lattice Boltzmann models for single-phase and solid-liquid phase-change heat transfer in porous media at the REV scale. Appl. Therm. Eng. 2019, 152, 319–337. [Google Scholar] [CrossRef]
- Mai, H.C.; Lin, K.H.; Yang, C.H.; Lin, C.A. A thermal lattice Boltzmann model for flows with viscous heat dissipation. Comput. Model Eng. Sci. 2010, 61, 45–62. [Google Scholar]
- Bao, Y.B.; Meskas, J. Lattice Boltzmann Method for Fluid Simulations; Department of Mathematics, Courant Institute of Mathematical Sciences, New York University: New York, NY, USA, 2011. [Google Scholar]
- Kuznik, F.; Obrecht, C.; Rusaouen, G.; Roux, J.J. LBM based flow simulation using GPU computing processor. Comput. Math. Appl. 2010, 59, 2380–2392. [Google Scholar] [CrossRef]
- Tölke, J. Implementation of a lattice Boltzmann kernel using the Compute Unified Device Architecture developed by nVIDIA. Comput. Vis. Sci. 2010, 13, 29–39. [Google Scholar] [CrossRef]
- Ren, Q.; Chan, C.L. Numerical study of double-diffusive convection in a vertical cavity with Soret and Dufour effects by lattice Boltzmann method on GPU. Int. J. Heat Mass Transf. 2016, 93, 538–553. [Google Scholar] [CrossRef]
- Phillips, T.N.; Roberts, G.W. Lattice Boltzmann models for non-Newtonian flows. IMA J. Appl. Math. 2011, 76, 790–816. [Google Scholar] [CrossRef]
- Nejat, A.; Abdollahi, V.; Vahidkhah, K. Lattice Boltzmann simulation of non-Newtonian flows past confined cylinders. J. Non-Newton. Fluid Mech. 2011, 166, 689–697. [Google Scholar] [CrossRef]
- Chai, Z.; Shi, B.; Guo, Z.; Rong, F. Multiple-relaxation-time lattice Boltzmann model for generalized Newtonian fluid flows. J. Non-Newton. Fluid Mech. 2011, 166, 332–342. [Google Scholar] [CrossRef]
- Mendu, S.S.; Das, P.K. Flow of power-law fluids in a cavity driven by the motion of two facing lids- simulation by lattice Boltzmann method. J. Non-Newton. Fluid Mech. 2012, 175–176, 10–24. [Google Scholar] [CrossRef]
- Delouei, A.M.; Nazari, M.; Kayhani, M.H.; Succi, S. Non-Newtonian unconfined flow and heat transfer over a heated cylinder using the direct-forcing immersed boundary–thermal lattice Boltzmann method. Phys. Rev. E 2014, 89, 053312. [Google Scholar] [CrossRef]
- Li, Q.; Hong, N.; Shi, B.; Chai, Z. Simulation of power-law fluid flows in two-dimensional square cavity using multi-relaxation-time lattice boltzmann method. Commun. Comput. Phys. 2014, 15, 265–284. [Google Scholar] [CrossRef]
- Riesinger, C.; Bakhtiari, A.; Schreiber, M.; Neumann, P.; Bungartz, H.J. A holistic scalable implementation approach of the lattice Boltzmann method for CPU/GPU heterogeneous clusters. Computation 2017, 5, 48. [Google Scholar] [CrossRef]
- Geier, M.; Schoenherr, M. Esoteric twist: An efficient in-place streaming algorithmus for the lattice Boltzmann method on massively parallel hardware. Computation 2017, 5, 19. [Google Scholar] [CrossRef]
- Franco, E.E.; Barrera, H.M.; Laín, S. 2D lid-driven cavity flow simulation using GPU-CUDA with a high-order finite difference scheme. J. Braz. Soc. Mech. Sci. Eng. 2015, 37, 1329–1338. [Google Scholar] [CrossRef]
- Molla, M.M.; Haque, M.J.; Khan, A.; Saha, S.C. GPU Accelerated Multiple-Relaxation-Time Lattice Boltzmann Simulation of Convective Flows in a Porous Media. Front. Mech. Eng. 2018, 4, 1–17. [Google Scholar] [CrossRef]
- Jin, K.; Vanka, S.; Agarwal, R.; Thomas, B. GPU accelerated simulations of three-dimensional flow of power-law fluids in a driven cube. Int. J. Comput. Fluid Dyn. 2017, 31, 36–56. [Google Scholar] [CrossRef]
- Rahim, K.Z.; Ahmed, J.; Nag, P.; Molla, M.M. Lattice Boltzmann simulation of natural convection and heat transfer from multiple heated blocks. Heat Transf. 2020, 49, 1877–1894. [Google Scholar] [CrossRef]
- Bird, R.B.; Armstrong, R.C.; Hassager, O. Dynamics of Polymeric Liquids, Vol. 1: Fluid Mechanics; John Wiley and Sons Inc.: New York, NY, USA, 1987. [Google Scholar]
- Chhabra, R.P.; Richardson, J.F. Non-Newtonian Flow and Applied Rheology: Engineering Applications, 2nd ed.; Butterworth Heinemann: Oxford, UK, 2008. [Google Scholar]
- Bird, R.B.; Stewart, W.E.; Lightfoot, W.E. Transport Phenomena; JohnWiley & Sons: New York, NY, USA, 2002. [Google Scholar]
- Yao, L.S.; Molla, M.M. Forced convection of non-Newtonian fluids on a heated flat plate. Int. J. Heat Mass Transf. 2008, 51, 5154–5159. [Google Scholar] [CrossRef]
- Boger, D.V. Demonstration of upper and lower Newtonian fluid behaviour in a pseudoplastic fluid. Nature 1977, 265, 126–128. [Google Scholar] [CrossRef]
- Molla, M.M.; Yao, L.S. The flow of non-newtonian fluids on a flat plate with a uniform heat flux. J. Heat Transf. 2009, 131, 011702. [Google Scholar] [CrossRef]
- Chen, L.; Asai, K.; Nonomura, T.; Xi, G.; Liu, T. A review of Backward-Facing Step (BFS) flow mechanisms, heat transfer and control. Therm. Sci. Eng. Prog. 2018, 6, 94–216. [Google Scholar] [CrossRef]
- Lee, T.; Mateescu, D. Experimental and numerical investigation of 2-D backward-facing step flow. J. Fluids Struct. 1998, 12, 703–716. [Google Scholar] [CrossRef]
- Armaly, B.F.; Durst, F.; Pereira, J.; Schönung, B. Experimental and theoretical investigation of backward-facing step flow. J. Fluid Mech. 1983, 127, 473–496. [Google Scholar] [CrossRef]
- Erturk, E. Numerical solutions of 2-D steady incompressible flow over a backward-facing step, Part I: High Reynolds number solutions. Comput. Fluids 2008, 37, 633–655. [Google Scholar] [CrossRef]
- Xiong, W.; Zhang, J. A two-dimensional lattice Boltzmann model for uniform channel flows. Comput. Math. Appl. 2011, 61, 3453–3460. [Google Scholar] [CrossRef][Green Version]
- Zhou, J.G.; Liu, H.; Shafiai, S.; Peng, Y.; Burrows, R. Lattice boltzmann method for open-channel flows. Proc. Inst. Civ. Eng.-Eng. Comput. Mech. 2010, 163, 243–249. [Google Scholar] [CrossRef]
- Wu, J.S.; Shao, Y.L. Simulation of lid-driven cavity flows by parallel lattice Boltzmann method using multi-relaxation-time scheme. Int J. Numer. Methods Fluids 2004, 46, 921–937. [Google Scholar] [CrossRef]
- Velivelli, A.C.; Bryden, K.M. Domain decomposition based coupling between the lattice Boltzmann method and traditional CFD methods—Part II: Numerical solution to the backward facing step flow. Adv. Eng. Softw. Thomson Reuters 2015, 82, 65–74. [Google Scholar] [CrossRef]
- Ameur, H.; Menni, Y. Non-Newtonian fluid flows through backward-facing steps. SN Appl. Sci. 2019, 1, 1717. [Google Scholar] [CrossRef]
- Shupti, S.P.; Molla, M.M.; Mia, M. Pulsatile non-Newtonian fluid flows in a model aneurysm with oscillating wall. Front. Mech. Eng. 2017, 3, 12. [Google Scholar] [CrossRef]
- Siddiki, M.N.A.A.; Molla, M.M.; Thohura, S.; Saha, S.C. Lattice Boltzmann simulation of Non-Newtonian power-law fluid flows in a bifurcated channel. In AIP Conference Proceedings; AIP Publishing LLC: New York, NY, USA, 2018; Volume 1980, p. 040023. [Google Scholar]
- Thohura, S.; Molla, M.M.; Sarker, M. Natural convection of non-Newtonian shear-thinning fluid flow inside a skewed cavity. In AIP Conference Proceedings; AIP Publishing LLC: New York, NY, USA, 2019; Volume 2121, p. 030014. [Google Scholar]
- Thohura, S.; Molla, M.M.; Sarker, M.M.A. Numerical simulation of non-Newtonian power-law fluid flow in a lid-driven skewed cavity. Int. J. Appl. Comput. Math. 2019, 5, 14. [Google Scholar] [CrossRef]
- Thohura, S.; Molla, M.M.; Sarker, M. Bingham fluid flow simulation in a lid-driven skewed cavity using the finite-volume method. Int. J. Comput. Math. 2020, 97, 1212–1233. [Google Scholar] [CrossRef]
- Chai, Z.; Shi, B.; Guo, Z. A multiple-relaxation-time lattice Boltzmann model for general nonlinear anisotropic convection–diffusion equations. J. Sci. Comput. 2016, 69, 355–390. [Google Scholar] [CrossRef]
- Molla, M.M.; Yao, L.S. Non-Newtonian natural convection along a vertical heated wavy surface using a modified Power-Law Viscosity Model. J. Heat Transf. 2009, 131, 012501. [Google Scholar] [CrossRef]
- Zou, Q.; He, X. On pressure and velocity boundary conditions for the lattice Boltzmann BGK model. Phys. Fluids 1997, 9, 1591–1598. [Google Scholar] [CrossRef]
- Nvidia, C. C Programming Guide Version 4.0; Nvidia Corporation: Clara, CA, USA, 2011. [Google Scholar]
- Jahidul Haque, M.; Mamun Molla, M.; Amirul Islam Khan, M.; Ahsan, K. Graphics process unit accelerated lattice Boltzmann simulation of indoor air flow: Effects of sub-grid scale model in large-eddy simulation. Proc. Inst. Mech. Eng. Part C J. Mech. Eng. Sci. 2020, 234, 4024–4040. [Google Scholar] [CrossRef]
- Ghia, U.G.; Ghia, K.N.; Shin, C.T. High-Re solutions for incompressible flow using the Navier-Stokes equations and a multigrid method. J. Comp. Phys. 1982, 48, 387–411. [Google Scholar] [CrossRef]
- Ilio, G.D.; Chiappini, D.; Bella, G. A comparison of numerical methods for non-Newtonian fluid flows in a sudden expansion. Int. J. Mod. Phys. C 2016, 27, 1650139. [Google Scholar] [CrossRef]















| Lattice Size | Average Time (s)/Step: | Speed up = | ||||
|---|---|---|---|---|---|---|
| 512 × 32 | 4.3 | |||||
| 1024 × 64 | 3.3 | |||||
| 2048 × 128 | 3.1 |
| Center of Primary Vortex | ||||
|---|---|---|---|---|
| Neoftou [3] | 0.5731 | 0.5494 | 0.5495 | |
| Li et al. [32] | 0.5793 | 0.5467 | 0.5495 | |
| Present | 0.5762 | 0.5449 | 0.5469 | |
| Neoftou [3] | 0.5490 | 0.5935 | 0.6380 | |
| Li et al. [32] | 0.5497 | 0.5947 | 0.6378 | |
| Present | 0.5449 | 0.5938 | 0.6367 |
| Grid Size | |||
|---|---|---|---|
| 512 × 32 | 11.774 (time-mean) | 8.182 | 5.181 |
| 1024 × 64 | 9.601 (time-mean) | 8.219 | 5.667 |
| 2048 × 128 | 10.258 (time-mean) | 8.231 | 5.412 |
| (Erturk [48]) | |||||
|---|---|---|---|---|---|
| 100 | 4.501 | 3.512 | 2.984 (2.922) | 2.539 | 1.943 |
| 200 | 8.171 | 6.032 | 5.032 (4.921) | 4.213 | 3.229 |
| 300 | – | 7.332 | 6.951 (6.751) | 5.853 | 4.530 |
| 400 | – | – | 8.231 (8.237) | 6.974 | 5.412 |
| n = 0.5 | n = 1.0 | n = 1.5 | ||||||||||
|---|---|---|---|---|---|---|---|---|---|---|---|---|
| 0.0 | 0.0000 | 0.0000 | 0.0000 | 0.0000 | 0.0000 | 0.0000 | 0.0000 | 0.0000 | 0.0000 | 0.0000 | 0.0000 | 0.0000 |
| 0.2 | −0.3055 | −0.1299 | −0.1668 | −0.1786 | −0.1441 | −0.2448 | −0.1785 | |||||
| 0.4 | −0.3067 | −0.1003 | −0.1467 | −0.1481 | −0.1008 | −0.1870 | −0.1544 | 2.3625 | 0.2547 | |||
| 0.6 | 0.1626 | 0.1388 | 0.3697 | 0.5906 | ||||||||
| 0.8 | 0.1593 | 0.3514 | 0.2331 | 0.3718 | 0.3712 | 0.5431 | 0.5349 | 0.7686 | 0.9284 | |||
| 1.0 | 0.3123 | 0.4578 | 0.4463 | 0.80259 | 0.4771 | 0.6674 | 0.8231 | 0.9627 | 0.7183 | 0.9881 | 1.1310 | 1.1668 |
| 1.2 | 1.0666 | 1.1125 | 1.0396 | 1.1888 | 1.1104 | 1.1846 | 1.2351 | 1.2488 | 1.2863 | 1.3904 | 1.3391 | 1.1122 |
| 1.4 | 1.3821 | 1.3420 | 1.2854 | 1.3895 | 1.4705 | 1.4295 | 1.3542 | 1.2265 | 1.6628 | 1.4538 | 1.1298 | 0.8389 |
| 1.6 | 1.3583 | 1.3033 | 1.2564 | 1.2903 | 1.3764 | 1.2506 | 1.0873 | 0.8813 | 1.3926 | 1.0624 | 0.7338 | 0.4911 |
| 1.8 | 0.9275 | 0.8582 | 0.8651 | 0.7826 | 0.8378 | 0.6930 | 0.5435 | 0.3868 | 0.7577 | 0.5172 | 0.3165 | 0.1888 |
| 2.0 | 0.0000 | 0.0000 | 0.0000 | 0.0000 | 0.0000 | 0.0000 | 0.0000 | 0.0000 | 0.0000 | 0.0000 | 0.0000 | 0.0000 |
| n = 0.5 | n = 1.0 | n = 1.5 | ||||||||||
|---|---|---|---|---|---|---|---|---|---|---|---|---|
| 0.0 | 0.0000 | 0.0000 | 0.0000 | 0.0000 | 0.0000 | 0.0000 | 0.0000 | 0.0000 | 0.0000 | 0.0000 | 0.0000 | 0.0000 |
| 0.2 | −0.1114 | −0.4377 | −0.1073 | −0.1440 | −0.1697 | −0.1066 | −0.2209 | −0.2415 | −0.1359 | |||
| 0.4 | −0.1399 | −0.4377 | −0.1334 | −0.1525 | −0.1464 | −0.1626 | −0.1908 | |||||
| 0.6 | −0.1411 | 0.1766 | 0.2302 | 0.4469 | ||||||||
| 0.8 | 0.1036 | 0.3798 | 0.6877 | 0.1586 | 0.2653 | 0.3859 | 0.1778 | 0.4136 | 0.6304 | 0.8303 | ||
| 1.0 | 0.2437 | 0.3805 | 0.9326 | 1.0827 | 0.4214 | 1.1430 | 0.7124 | 0.8338 | 0.6241 | 0.8702 | 1.0475 | 1.1564 |
| 1.2 | 0.8616 | 0.8558 | 1.3894 | 1.2368 | 1.0801 | 1.1846 | 1.1938 | 1.2318 | 1.2100 | 1.3259 | 1.3617 | 1.2435 |
| 1.4 | 1.3162 | 1.3480 | 1.4705 | 1.0493 | 1.4635 | 1.4403 | 1.3998 | 1.3348 | 1.6266 | 1.5137 | 1.2763 | 0.9784 |
| 1.6 | 1.3205 | 1.3520 | 1.1135 | 0.5684 | 1.3900 | 1.3028 | 1.1941 | 1.0572 | 1.4076 | 1.1568 | 0.8707 | 0.5929 |
| 1.8 | 0.8676 | 0.8775 | 0.4677 | 0.8634 | 0.7518 | 0.6393 | 0.5169 | 0.7793 | 0.5822 | 0.3914 | 0.2297 | |
| 2.0 | 0.0000 | 0.0000 | 0.0000 | 0.0000 | 0.0000 | 0.0000 | 0.0000 | 0.0000 | 0.0000 | 0.0000 | 0.0000 | 0.0000 |
© 2020 by the authors. Licensee MDPI, Basel, Switzerland. This article is an open access article distributed under the terms and conditions of the Creative Commons Attribution (CC BY) license (http://creativecommons.org/licenses/by/4.0/).
Share and Cite
Molla, M.M.; Nag, P.; Thohura, S.; Khan, A. A Graphics Process Unit-Based Multiple-Relaxation-Time Lattice Boltzmann Simulation of Non-Newtonian Fluid Flows in a Backward Facing Step. Computation 2020, 8, 83. https://doi.org/10.3390/computation8030083
Molla MM, Nag P, Thohura S, Khan A. A Graphics Process Unit-Based Multiple-Relaxation-Time Lattice Boltzmann Simulation of Non-Newtonian Fluid Flows in a Backward Facing Step. Computation. 2020; 8(3):83. https://doi.org/10.3390/computation8030083
Chicago/Turabian StyleMolla, Md. Mamun, Preetom Nag, Sharaban Thohura, and Amirul Khan. 2020. "A Graphics Process Unit-Based Multiple-Relaxation-Time Lattice Boltzmann Simulation of Non-Newtonian Fluid Flows in a Backward Facing Step" Computation 8, no. 3: 83. https://doi.org/10.3390/computation8030083
APA StyleMolla, M. M., Nag, P., Thohura, S., & Khan, A. (2020). A Graphics Process Unit-Based Multiple-Relaxation-Time Lattice Boltzmann Simulation of Non-Newtonian Fluid Flows in a Backward Facing Step. Computation, 8(3), 83. https://doi.org/10.3390/computation8030083

