Computation of the Radius of Curvature R in Any Avian Egg and Identification of the Location of Potential Load Application That Forms Its Unique Asymmetric Shape: A Theoretical Hypothesis
Abstract
1. Introduction
2. Theory and Methodology
2.1. Radius of Egg Curvature
- For the blunt end (yb):
- For the pointed end (yp):
2.2. Radius of Curvature of the Pointed Egg End
2.3. Methods for Evaluation of the Extremum and Tangent
3. Results
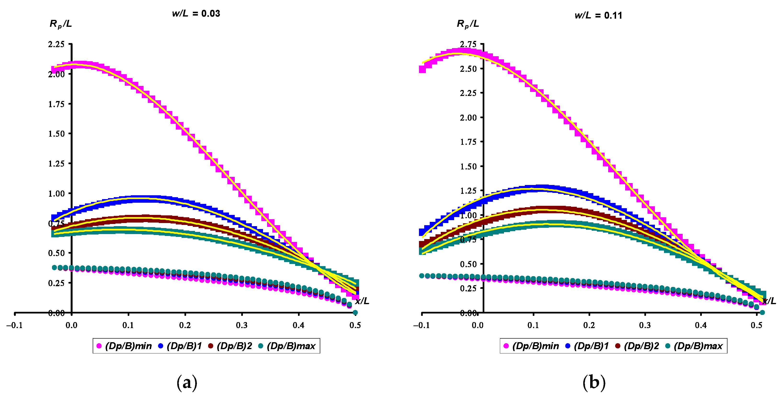
3.1. Graphical Dependencies of Rp/L
3.2. Extremum Points of the Rp/L Function and Correlation Between (x/L)ext, (Rp/L)ext, α and Corresponding Indices
3.3. Location of the Load Application That Forms an Egg
3.4. Simplification of the Formulae Through the Use of 2nd Order Polynomials
4. Discussion
5. Conclusions
Supplementary Materials
Author Contributions
Funding
Data Availability Statement
Acknowledgments
Conflicts of Interest
Abbreviations
| CAD/CAM | Computer-Aided Design and Computer-Aided Manufacturing |
| MIJ | magnum–isthmus junction |
| Nomenclature | |
| B | Egg maximum breadth |
| Bp | An auxiliary parameter characterizing the conditional maximum breadth of an egg in a mathematical model for the shape of its pointed part and calculated according to Equation (5) |
| Dp | Egg diameter at a point located at a distance of L/4 from the pointed end |
| L | Egg length |
| R | Radius of egg curvature |
| RMSE | Root-mean-square error |
| r | Correlation coefficient |
| w | Distance by which the maximum breadth of the egg is shifted from its center, i.e., from the point x = L/2 |
| wp | An auxiliary parameter characterizing the conditional distance of the shift in the middle axis of the egg in the mathematical model for the shape of its pointed part and calculated according to Equation (6) |
| x | Horizontal coordinate |
| y | Vertical coordinate |
| p, b, j, ext | The corresponding indices denote the pointed part of the egg, its blunt part, the connecting function and the extreme point |
| α | Angle of inclination of the tangent to a point on the egg contour |
References
- Hsu, F.H.; Liu, C.S.; Li, Y.C. Design of a measurement system for the radius of curvature, thickness, and refractive index of spherical transparent materials. Appl. Phys. B 2025, 131, 112. [Google Scholar] [CrossRef]
- Zhong, T.; Guo, G.; Chow, Y.; Yang, Y.; Zhang, T.; Yang, J.; Lu, M.; Wang, Y.; Zhu, Y.; Jia, T.; et al. Measurement method of refractive index for optical lenses based on curvature radius fitting of small-sized aspheric surfaces. Optics 2025, 6, 4. [Google Scholar] [CrossRef]
- Wu, Y.; Hou, X.; Zhang, S.; Zhao, Y.; Hu, X. High-precision interferometric measurement method for the radius of curvature with a computer-aided adjustment model. Opt. Express 2025, 33, 18791–18809. [Google Scholar] [CrossRef] [PubMed]
- Zhang, J.; Zhang, B.; Yang, Y.; Liu, Z.; Pan, H. Influence mechanism of cathode curvature radius on corona discharge at microscale. Energies 2024, 17, 3411. [Google Scholar] [CrossRef]
- Więcek, T.; Warsza, Z.L.; Puchalski, J.; Bubela, T. Theoretical basis of the laser reflection method of measuring the radius of curvature of circular-symmetrical lenses. Phys. Economy 2024, 6, 47–59. [Google Scholar] [CrossRef]
- Santos, A.V.; Canavarro, D.; Horta, P.; Collares-Pereira, M. Assessment of the optimal curvature radius of linear Fresnel primary mirrors. Sol. Energy 2024, 270, 112376. [Google Scholar] [CrossRef]
- Ali, A.; Amer, M.; Nada, N. Error analysis of laser interferometric system for measuring radius of curvature. J. Opt. 2024, 53, 1360–1373. [Google Scholar] [CrossRef]
- Singer, W.; Totzeck, M.; Gross, H. Handbook of Optical Systems: Vol. 2. Physical Image Formation; Gross, H., Ed.; Wiley-VCH Verlag GmbH: Weinheim, Germany, 2006; Available online: https://d-nb.info/971960925/04 (accessed on 16 June 2025).
- Wang, J.; Zhou, J. Relationship between the axial length/corneal radius of curvature ratio and hyperopia reserve in preschool children aged 3–6 years. BMC Ophthalmol. 2025, 25, 198. [Google Scholar] [CrossRef]
- Jerban, S.; Tabbaa, S.M.; Caldwell, P.E., III; Jones, K.J.; Bugbee, W.; Crawford, D.C.; Chang, E.Y. Evaluation of the femoral condyle radius of curvature at the chondral surface shows significant correlation with the anterior-posterior length. Cartilage 2025, 19476035251314109. [Google Scholar] [CrossRef]
- Wu, S.; Liu, S.; Huang, M.; Liu, Z.; Shi, J.; Ling, M. Different radius of curvature at the talus trochlea from northern Chinese population measured using 3D model. J. Orthop. Surg. Res. 2024, 19, 266. [Google Scholar] [CrossRef]
- Park, S.; Park, K.; Yang, S.; Byon, I.S.; Lee, J.E.; Park, S.W. Diagnosis of posterior staphyloma using the radius of steepest curvature among retinal pigment epithelium segmentation line measured by optic coherent tomography. BMC Ophthalmol. 2024, 24, 58. [Google Scholar] [CrossRef]
- Chan, C.; Sueyoshi, T.; Maruyama, M.; Nissen, C.; Shea, K. Poster 174: Is articular width or epicondylar width superior to age to optimize radius of curvature matching in capitellar osteochondral allografts? Orthop. J. Sports Med. 2024, 12 (Suppl. S2), 2325967124S00143. [Google Scholar] [CrossRef]
- Griswold, B.G.; Steflik, M.J.; Adams, B.G.; Hebert-Davies, J.; Tokish, J.M.; Parada, S.A.; Galvin, J.W. Radius of curvature of the radial head matches the capitellum: A magnetic resonance imaging analysis. JSES Int. 2023, 7, 668–672. [Google Scholar] [CrossRef] [PubMed]
- Narushin, V.G.; Volkova, N.A.; Dzhagaev, A.Y.; Griffin, D.K.; Romanov, M.N.; Zinovieva, N.A. Coupling artificial intelligence with proper mathematical algorithms to gain deeper insight into the biology of birds’ eggs. Animals 2025, 15, 292. [Google Scholar] [CrossRef] [PubMed]
- Narushin, V.G.; Volkova, N.A.; Vetokh, A.N.; Sotnikov, D.A.; Volkova, L.A.; Griffin, D.K.; Romanov, M.N.; Zinovieva, N.A. ‘Eggology’ and mathematics of a quail egg: An innovative non-destructive technology for evaluating egg parameters in Japanese quail. Food Bioprod. Process. 2024, 146, 49–57. [Google Scholar] [CrossRef]
- Narushin, V.G.; Romanov, M.N.; Griffin, D.K. Egg-inspired engineering in the design of thin-walled shelled vessels: A theoretical approach for shell strength. Front. Bioeng. Biotechnol. 2022, 10, 995817. [Google Scholar] [CrossRef]
- Preston, F.W. The shapes of birds’ eggs. Auk 1953, 70, 160–182. [Google Scholar] [CrossRef]
- Carter, T.C. The hen’s egg: A mathematical model with three parameters. Br. Poult. Sci. 1968, 9, 165–171. [Google Scholar] [CrossRef]
- Smart, I.H.M. The method of transformed co-ordinates applied to the deformations produced by the walls of a tubular viscus on a contained body: The avian egg as a model system. J. Anat. 1969, 104, 507–518. Available online: https://pmc.ncbi.nlm.nih.gov/articles/PMC1231951/ (accessed on 16 June 2025).
- Baker, D.E. A geometric method for determining shape of bird eggs. Auk 2002, 119, 1179–1186. [Google Scholar] [CrossRef]
- Troscianko, J. A simple tool for calculating egg shape, volume and surface area from digital images. Ibis 2014, 156, 874–878. [Google Scholar] [CrossRef]
- Biggins, J.D.; Thompson, J.E.; Birkhead, T.R. Accurately quantifying the shape of birds’ eggs. Ecol. Evol. 2018, 8, 9728–9738. [Google Scholar] [CrossRef]
- Biggins, J.D.; Montgomerie, R.; Thompson, J.E.; Birkhead, T.R. Preston’s universal formula for avian egg shape. Ornithology 2022, 139, ukac028. [Google Scholar] [CrossRef]
- Shi, P.; Gielis, J.; Niklas, K.J. Comparison of a universal (but complex) model for avian egg shape with a simpler model. Ann. N. Y. Acad. Sci. 2022, 1514, 34–42. [Google Scholar] [CrossRef]
- Narushin, V.G.; Romanov, M.N.; Griffin, D.K. Egg and math: Introducing a universal formula for egg shape. Ann. N. Y. Acad. Sci. 2021, 1505, 169–177. [Google Scholar] [CrossRef]
- Narushin, V.G.; Orszulik, S.T.; Romanov, M.N.; Griffin, D.K. A novel approach to egg and math: Improved geometrical standardization of any avian egg profile. Ann. N. Y. Acad. Sci. 2023, 1529, 61–71. [Google Scholar] [CrossRef]
- Narushin, V.G.; Romanov, M.N.; Lu, G.; Cugley, J.; Griffin, D.K. Digital imaging assisted geometry of chicken eggs using Hügelschäffer’s model. Biosyst. Eng. 2020, 197, 45–55. [Google Scholar] [CrossRef]
- Narushin, V.G.; Romanov, M.N.; Salamon, A.; Kent, J.P.; Griffin, D.K. Creating a simulated collection of avian egg shapes for industrial grading and application. In Egg Sensing Technologies; Khaliduzzaman, A., Ed.; CRC Press: Boca Raton, FL, USA, 2025. (in print) [Google Scholar]
- Carter, T.C. The hen’s egg: Some factors affecting deformation in statically loaded shells. Br. Poult. Sci. 1970, 11, 15–38. [Google Scholar] [CrossRef]
- Khairy, M.F.A.E.F.; Mosallam, M. Shell radii of curvature and thickness effects on egg puncture. In Role and Horizons of Agricultural Engineering in the Contemporary World, Proceedings of the 13th Annual Conference of the Misr Society of Agricultural Engineering, Cairo, Egypt, 14–15 December 2005; Misr Society of Agricultural Engineering: Cairo, Egypt, 2005; pp. 68–80. Available online: https://www.researchgate.net/publication/344289967 (accessed on 16 June 2025).
- Macleod, N.; Bain, M.M.; Hancock, J.W. The mechanics and mechanisms of failure of hens’ eggs. Int. J. Fract. 2006, 142, 29–41. [Google Scholar] [CrossRef]
- Nedomová, Š.; Severa, L.; Buchar, J. Influence of hen egg shape on eggshell compressive strength. Int. Agrophys. 2009, 23, 249–256. [Google Scholar]
- Trnka, J.; Buchar, J.; Severa, L.; Nedomová, S.; Stoklasová, P. Effect of loading rate on hen’s eggshell mechanics. J. Food Res. 2012, 1, 96–105. [Google Scholar] [CrossRef]
- Zhang, J.; Peng, W.; Tang, W.; Wang, M. Experimental study on the geometrical and mechanical properties of goose eggshells. Braz. J. Poult. Sci. 2017, 19, 455–464. [Google Scholar] [CrossRef]
- Hahn, E.N.; Sherman, V.R.; Pissarenko, A.; Rohrbach, S.D.; Fernandes, D.J.; Meyers, M.A. Nature’s technical ceramic: The avian eggshell. J. R. Soc. Interface 2017, 14, 20160804. [Google Scholar] [CrossRef]
- Lian, M.; He, K.; Ratkowsky, D.A.; Chen, L.; Wang, J.; Wang, L.; Yao, W.; Shi, P. Comparison of egg-shape equations using relative curvature measures of nonlinearity. Poult. Sci. 2024, 103, 104069. [Google Scholar] [CrossRef] [PubMed]
- Ryder, J.A. The mechanical genesis of the form of the fowl’s egg. Proc. Am. Philos. Soc. 1893, 31, 203–209. Available online: https://www.jstor.org/stable/982830 (accessed on 16 June 2025).
- Romanoff, A.L.; Romanoff, A.J. The Avian Egg; John Wiley & Sons Inc.: New York, NY, USA, 1949. [Google Scholar]
- Aitken, R.N.C.; Johnston, H.S. Observations on the fine structure of the infundibulum of the avian oviduct. J. Anat. 1963, 97 Pt 1, 87–99. Available online: https://pmc.ncbi.nlm.nih.gov/articles/PMC1244259/ (accessed on 16 June 2025). [PubMed]
- Smart, I.H.M. Egg-shape in birds. In Egg Incubation: Its Effects on Embryonic Development in Birds and Reptiles; Deeming, D.C., Ferguson, M.W.J., Eds.; Cambridge University Press: Cambridge, UK, 1991; pp. 101–116. [Google Scholar] [CrossRef]
- Todd, P.H.; Smart, I.M. The shape of birds’ eggs. J. Theor. Biol. 1984, 106, 239–243. [Google Scholar] [CrossRef]
- Mao, K.M.; Sultana, F.; Howlider, M.A.R.; Iwasawa, A.; Yoshizaki, N. The magnum-isthmus junction of the fowl oviduct participates in the formation of the avian-type shell membrane. Zool. Sci. 2006, 23, 41–47. [Google Scholar] [CrossRef]
- Deeming, D.C. Factors determining persistent asymmetry and egg shape in birds: A hypothesis. Ibis 2024, 166, 551–559. [Google Scholar] [CrossRef]
- Pogorelov, A.V. Bendings of Surfaces and Stability of Shells; American Mathematical Society: Providence, RI, USA, 1988. [Google Scholar]
- Calladine, C.R. Theory of Shell Structures; Cambridge University Press: Cambridge, UK, 1983. [Google Scholar] [CrossRef]
- Goriely, A. The Mathematics and Mechanics of Biological Growth; Springer: New York, NY, USA, 2017. [Google Scholar] [CrossRef]
- Reissner, E. On finite axi-symmetrical deformations of thin elastic shells of revolution. Comput. Mech. 1989, 4, 387–400. [Google Scholar] [CrossRef]
- Tovstik, P.Y. Axially symmetric deformation of thin shells of revolution made of a non-linearly elastic material. J. Appl. Math. Mech. 1997, 61, 639–651. [Google Scholar] [CrossRef]
- Knoche, S.; Kierfeldy, J. Buckling of spherical capsules. Phys. Rev. E 2011, 84, 046608. [Google Scholar] [CrossRef] [PubMed]
- Hutchinson, J.W. Buckling of spherical shells revisited. Proc. R. Soc. A 2016, 472, 20160577. [Google Scholar] [CrossRef]
- Zhang, J.; Zhu, B.; Wang, F.; Tang, W.; Wang, W.; Zhang, M. Buckling of prolate egg-shaped domes under hydrostatic external pressure. Thin-Walled Struct. 2017, 119, 296–303. [Google Scholar] [CrossRef]
- Zhang, J.; Wang, M.; Wang, W.; Tang, W.; Zhu, Y. Investigation on egg-shaped pressure hulls. Mar. Struct. 2017, 52, 50–66. [Google Scholar] [CrossRef]
- Zhang, J.; Tan, J.; Tang, W.; Zhao, X.; Zhu, Y. Experimental and numerical collapse properties of externally pressurized egg-shaped shells under local geometrical imperfections. Int. J. Press. Vessels Pip. 2019, 175, 103893. [Google Scholar] [CrossRef]
- Zhang, J.; Dai, M.; Wang, F.; Tang, W.; Zhao, X. Buckling performance of egg-shaped shells fabricated through free hydroforming. Int. J. Press. Vessels Pip. 2021, 193, 104435. [Google Scholar] [CrossRef]
- Zhang, J.; Cheng, P.; Wang, F.; Tang, W.; Zhao, X. Hydroforming and buckling of an egg-shaped shell based on a petal-shaped perform. Ocean Eng. 2022, 250, 111057. [Google Scholar] [CrossRef]
- Vella, D.; Ajdari, A.; Vaziri, A.; Boudaoud, A. Indentation of ellipsoidal and cylindrical elastic shells. Phys. Rev. Lett. 2012, 109, 144302. [Google Scholar] [CrossRef]
- Lazarus, A.; Florijn, H.C.B.; Reis, P.M. Geometry-induced rigidity in nonspherical pressurized elastic shells. Phys. Rev. Lett. 2012, 109, 144301. [Google Scholar] [CrossRef]
- Juang, J.Y.; Chen, P.Y.; Yang, D.C.; Wu, S.-P.; Yen, A.; Hsieh, H.-I. The avian egg exhibits general allometric invariances in mechanical design. Sci. Rep. 2017, 7, 14205. [Google Scholar] [CrossRef]
- Carter, T.C. The hen’s EGG: Shell forces at impact and quasi-static compression. Br. Poult. Sci. 1976, 17, 199–214. [Google Scholar] [CrossRef]
- Nedomová, Š.; Trnka, J.; Dvořáková, P.; Buchar, J.; Severa, L. Hen’s eggshell strength under impact loading. J. Food Eng. 2009, 94, 350–357. [Google Scholar] [CrossRef]
- Nedomová, Š.; Buchar, J.; Strnková, J. Goose’s eggshell strength at compressive loading. Potravinárstvo Slovak J. Food Sci. 2014, 8, 54–61. [Google Scholar] [CrossRef]
- Nedomová, Š.; Kumbár, V.; Trnka, J.; Buchar, J. Effect of the loading rate on compressive properties of goose eggs. J. Biol. Phys. 2016, 42, 223–233. [Google Scholar] [CrossRef] [PubMed][Green Version]
- Narushin, V.G.; Chausov, M.G.; Shevchenko, L.V.; Pylypenko, A.P.; Davydovych, V.A.; Romanov, M.N.; Griffin, D.K. Shell, a naturally engineered egg packaging: Estimated for strength by non-destructive testing for elastic deformation. Biosyst. Eng. 2021, 210, 235–246. [Google Scholar] [CrossRef]
- Gordon, J.E. Structures, or Why Things Don’t Fall Down, 2nd ed.; Penguin Books Limited: Harmondsworth, UK, 2003. [Google Scholar]
- Timoshenko, S.P.; Gere, J.M. Theory of Elastic Stability, 2nd ed.; Dover Publications, Inc.: Mineola, NY, USA, 2009. [Google Scholar]
- Zingoni, A. Shell Structures in Civil and Mechanical Engineering: Theory and Analysis, 2nd ed.; ICE Publishing: Ashton-Under-Lyne, UK, 2017. [Google Scholar] [CrossRef]
- Hobson, A.J. “Just the Maths”. Unit Number 11.4. Differentiation Applications 4. Circle, Radius & Center of Curvature. University of East Anglia, Norwich, UK, 2002. Available online: https://archive.uea.ac.uk/jtm/11/dg11p4.pdf (accessed on 16 June 2025).
- Narushin, V.G.; Romanov, M.N.; Griffin, D.K. Pear-shaped eggs evolved to maximize the surface area-to-volume ratio, increase metabolism, and shorten incubation time in birds. Integr. Zool. 2025. [Google Scholar] [CrossRef]
- Honnens, J.; Hibbard, D. Chapter 20. Applications of differentiation of polynomials. In Essential Mathematical Methods 1 & 2 CAS; Evans, M., Lipson, K., Wallace, D., Eds.; Cambridge University Press: Cambridge, UK, 2008; Available online: https://www.cambridge.edu.au/downloads/education/extra/209/PageProofs/MM1and2%20CAS%20on-line/MM1and2%20CAS%202nd%20pp/Chapter%2020.pdf (accessed on 16 June 2025).
- Harper, J.A.; Marble, D.R. Egg shape. II. Muscular and other oviducal influences. Poult. Sci. 1945, 24, 61–65. [Google Scholar] [CrossRef]
- Du, J.; Hincke, M.T.; Rose-Martel, M.; Hennequet-Antier, C.; Brionne, A.; Cogburn, L.A.; Nys, Y.; Gautron, J. Identifying specific proteins involved in eggshell membrane formation using gene expression analysis and bioinformatics. BMC Genom. 2015, 16, 792. [Google Scholar] [CrossRef]
- Mishra, B.; Sah, N.; Wasti, S. Genetic and hormonal regulation of egg formation in the oviduct of laying hens. In Poultry—An Advanced Learning; Kamboh, A.A., Ed.; IntechOpen: London, UK, 2019. [Google Scholar] [CrossRef]
- Birkhead, T.R.; Thompson, J.E.; Biggins, J.D.; Montgomerie, R. The evolution of egg shape in birds: Selection during the incubation period. Ibis 2019, 161, 605–618. [Google Scholar] [CrossRef]
- Deeming, D.C. Effect of composition on shape of bird eggs. J. Avian Biol. 2018, 49, jav-01528. [Google Scholar] [CrossRef]
- Bondarenko, Y.V.; Khvostik, V.P. Pokrashhennya produktyvnosti m’yaso-yayechnyh kurej vitchyznyanoyi selekciyi [Improving the productivity of meat and egg chickens of domestic selection]. Vìsn. Sumsʹkogo Nac. Agrar. Unìv. Ser. Tvarynnytstvo [Bull. Sumy Natl. Agrar. Univ. Ser. Livest.] 2020, 2, 29–32. [Google Scholar] [CrossRef]
- Romanov, M.N. Qualitative and Quantitative Egg Characteristics in Laying Hens of Different Genotype. In Egg and Egg Products Quality, Proceedings of the 6th European Symposium on Quality of Eggs and Eggs Products, Zaragoza, Spain, 25–29 September 1995; World’s Poultry Science Association, Spanish Branch: Madrid, Spain, 1995; pp. 203–206. Available online: https://scholar.google.com/citations?view_op=view_citation&citation_for_view=1fz40BYAAAAJ:KYgttONoxcsC (accessed on 16 June 2025).
- Baydevlyatova, O.N.; Ogurtsova, N.S.; Shomina, N.V.; Tereshchenko, A.V. Morfologicheskiye pokazateli kachestva yaits novoy subpopulyatsii kur myaso-yaichnogo napravleniya produktivnosti [Morphological indicators of egg quality in a new chicken subpopulation of the meat-egg type of productivity]. Ptakhivnytstvo [Poult. Farm.] 2009, 64, 109–115. Available online: http://avianua.com/archiv/ptahivnictvo/64/15.pdf (accessed on 16 June 2025).
- Moiseeva, I.G. Vliyaniye inbridinga na kachestvo kurinykh yaits [The effect of inbreeding on the quality of fowl eggs]. Genetika 1970, 6, 99–107. Available online: https://www.cabidigitallibrary.org/doi/full/10.5555/19700104311 (accessed on 16 June 2025).
- Wu, Z.; Zhang, H.; Fang, C. Research on machine vision online monitoring system for egg production and quality in cage environment. Poult. Sci. 2025, 104, 104552. [Google Scholar] [CrossRef]









Disclaimer/Publisher’s Note: The statements, opinions and data contained in all publications are solely those of the individual author(s) and contributor(s) and not of MDPI and/or the editor(s). MDPI and/or the editor(s) disclaim responsibility for any injury to people or property resulting from any ideas, methods, instructions or products referred to in the content. |
© 2025 by the authors. Licensee MDPI, Basel, Switzerland. This article is an open access article distributed under the terms and conditions of the Creative Commons Attribution (CC BY) license (https://creativecommons.org/licenses/by/4.0/).
Share and Cite
Narushin, V.G.; Romanov, M.N.; Griffin, D.K. Computation of the Radius of Curvature R in Any Avian Egg and Identification of the Location of Potential Load Application That Forms Its Unique Asymmetric Shape: A Theoretical Hypothesis. Computation 2025, 13, 232. https://doi.org/10.3390/computation13100232
Narushin VG, Romanov MN, Griffin DK. Computation of the Radius of Curvature R in Any Avian Egg and Identification of the Location of Potential Load Application That Forms Its Unique Asymmetric Shape: A Theoretical Hypothesis. Computation. 2025; 13(10):232. https://doi.org/10.3390/computation13100232
Chicago/Turabian StyleNarushin, Valeriy G., Michael N. Romanov, and Darren K. Griffin. 2025. "Computation of the Radius of Curvature R in Any Avian Egg and Identification of the Location of Potential Load Application That Forms Its Unique Asymmetric Shape: A Theoretical Hypothesis" Computation 13, no. 10: 232. https://doi.org/10.3390/computation13100232
APA StyleNarushin, V. G., Romanov, M. N., & Griffin, D. K. (2025). Computation of the Radius of Curvature R in Any Avian Egg and Identification of the Location of Potential Load Application That Forms Its Unique Asymmetric Shape: A Theoretical Hypothesis. Computation, 13(10), 232. https://doi.org/10.3390/computation13100232
