Dimensions of Religion Associated with Suicide Attempt and Ideation: A 15-Month Prospective Study in a Dutch Psychiatric Population
Abstract
1. Introduction
2. Methods
2.1. Procedure
2.2. Instruments
2.2.1. Psychopathology
2.2.2. Suicidality
2.2.3. Religion and Spirituality
2.2.4. Sociodemographic Characteristics
2.3. Statistical Analysis
2.3.1. H1: Change of BDI, PSI, and R/S Factors over Time within the T1-Subsample
2.3.2. H2: Strength of Correlation of the QGR-Cluster, Respectively MOS, with Suicidality from T0 to T1
2.3.3. H3, H4: Predictive Regression Analyses with (Delta) Suicidality as Outcome
3. Results
3.1. Participants and General Characteristics
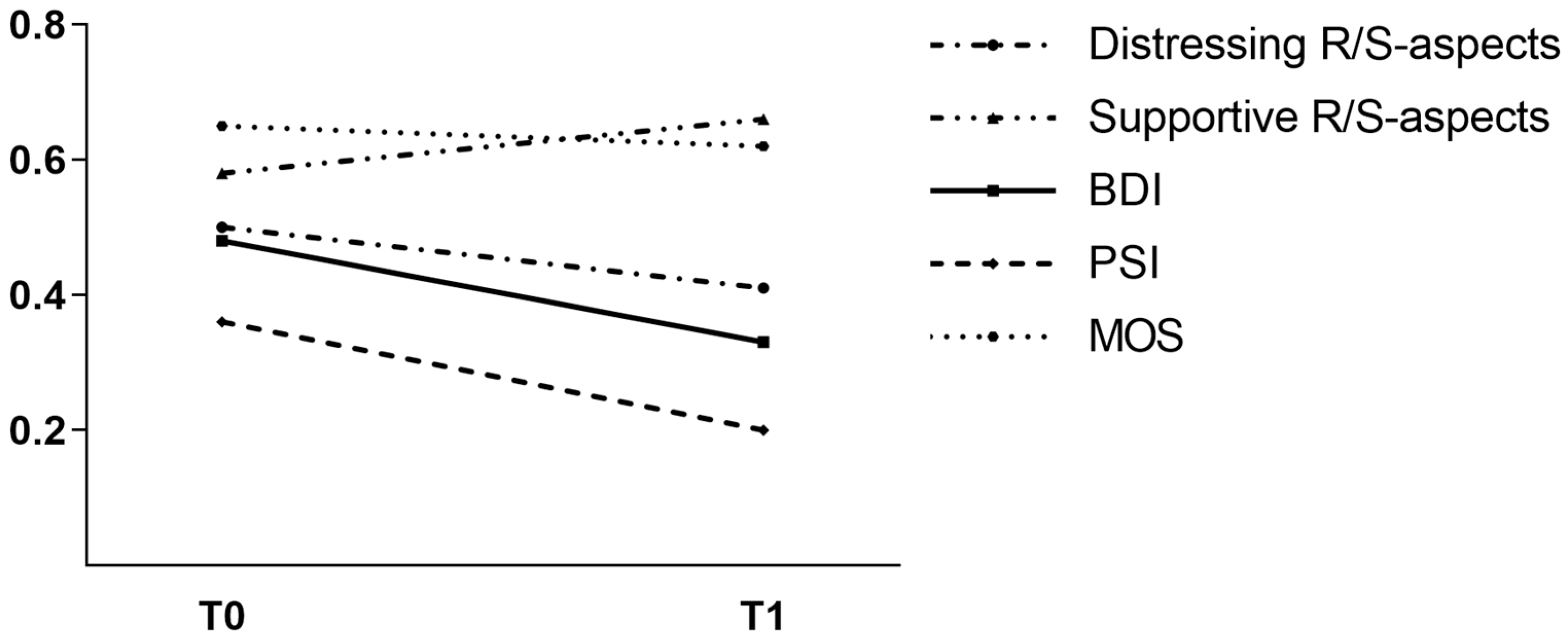
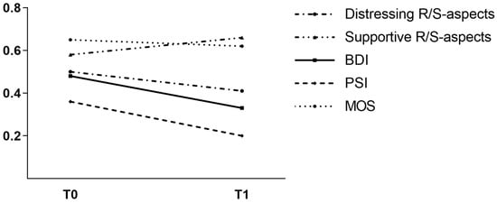
3.2. H1: BDI, PSI, QGR-Scales, and Cluster of God Representations (QGR-Cluster) and Negative Social Support Changed Significantly over Time between T0 and T1, with Increasingly Supportive Religious Experiences Accompanying a Decrease in Depressive Symptoms and Suicidality
3.3. H2: The Strength of Correlation of the QGR-Cluster, Respectively MOS, with Suicidality Differed Significantly between T0 and T1
3.4. H3: Neither MOS nor Positive-Supportive God Representations at T0 Are Negatively Correlated to Suicidal Ideation at T1: This Persisted when Corrected for Depressive Symptoms at T0 (Suicidality Being Excluded)
3.5. H4: Neither Increase in MOS, nor Increase in Positive-Supportive God Representations from T0 to T1 Were Positively Correlated to an Additional Decrease in Suicidal Ideation When Corrected for Changes in Depressive Symptoms (Suicidality Being Excluded)
4. Discussion and Conclusions
4.1. Limitations
4.2. Recommendations and Clinical Implications
Author Contributions
Funding
Institutional Review Board Statement
Informed Consent Statement
Data Availability Statement
Acknowledgments
Conflicts of Interest
References
- Beck, Aaron T., Robert A. Steer, and Gregory Brown. 1996. Beck depression inventory–II. [Database record]. APA PsycTests. [Google Scholar] [CrossRef]
- Braam, Arjan W., and Harold G. Koenig. 2019. Religion, spirituality and depression in prospective studies: A systematic review. Journal of Affective Disorders 257: 428–38. [Google Scholar] [CrossRef] [PubMed]
- Browne, Michael W. 2000. Cross-Validation Methods. Journal of Mathematical Psychology 44: 108–32. [Google Scholar] [CrossRef] [PubMed]
- Chopik, William J., Robin S. Edelstein, and Kevin J. Grimm. 2019. Longitudinal changes in attachment orientation over a 59-year period. Journal of Personality and Social Psychology 116: 598–611. [Google Scholar] [CrossRef]
- Currier, Joseph M., Joshua D. Foster, Charlotte VanoyeWitvliet, Alexis D. Abernethy, Lindsey M. Root Luna, Sarah A. Schnitker, Karl VanHarn, and Janet Carter. 2019. Spiritual struggles and mental health outcomes in a spiritually integrated inpatient program. Journal of Affective Disorders 249: 127–35. [Google Scholar] [CrossRef]
- Currier, Joseph M., Nicholas Fadoir, Timothy D. Carroll, Shane Kuhlman, Laura Marie, Sarah E. Taylor, Tracey Smith, Steven L. Isaak, and Brook M. Sims. 2020. A cross-sectional investigation of divine struggles and suicide risk among men in early recovery from substance use disorders. Psychology of Religion and Spirituality 12: 324–33. [Google Scholar] [CrossRef]
- Dagan, Or, Christopher R. Facompré, and Kristin Bernard. 2018. Adult attachment representations and depressive symptoms: A meta-analysis. Journal of Affective Disorders 236: 274–90. [Google Scholar] [CrossRef]
- de Lely, Arie-Jan A., Hanneke Schaap-Jonker, and Arjan W. Braam. 2019. Reformed pietists: Higher risk for suicide? A retrospective cohort study on the incidence of suicides in a christian institute for mental health care. Tijdschrift Voor Psychiatrie 61: 837–44. [Google Scholar]
- First, Michael B., Robert L. Spitzer, Miriam Gibbon, and Janet B. Williams. 2002. Structured Clinical Interview for DSM-IV-TR Axis I Disorders, Research Version, Patient Edition. New York: SCID-I/P. [Google Scholar]
- Franklin, Joseph C., Jessica D. Ribeiro, Kathryn R. Fox, Kate H. Bentley, Evan M. Kleiman, Xieyining Huang, Katherine M. Musacchio, Adam C. Jaroszewski, Bernard P. Chang, and Matthew K. Nock. 2017. Risk factors for suicidal thoughts and behaviors: A meta-analysis of 50 years of research. Psychological Bulletin 143: 187–232. [Google Scholar] [CrossRef]
- Gearing, Robin Edward, and Dana Alonzo. 2018. Religion and Suicide: New Findings. Journal of Religion and Health 57: 2478–99. [Google Scholar] [CrossRef]
- Granqvist, Pehr, and Lee A. Kirkpatrick. 2013. Religion, spirituality, and attachment. In APA Handbook of Psychology, Religion, and Spirituality (Vol 1): Context, Theory, and Research. Edited by Kenneth I. Pargament, Julie J. Exline and James W. Jones. Washington, DC: American Psychological Association, pp. 139–55. [Google Scholar] [CrossRef]
- Granqvist, Pehr, and Lee A. Kirkpatrick. 2016. Attachment and religious representations and behavior. In Handbook of Attachment: Theory, Research, and Clinical Applications, 3rd ed. New York: Guilford Press, pp. 856–78. [Google Scholar]
- Jongkind, Matthias, Bart van den Brink, Hanneke Schaap-Jonker, Nathan van der Velde, and Arjan W. Braam. 2019. Dimensions of religion associated with 547 suicide attempt and suicide ideation in depressed, religiously affiliated patients. Suicide and Life-Threatening Behavior 49: 505–19. [Google Scholar] [CrossRef]
- Karsten, Julie, Brenda W. J. H. Penninx, Hariëtte Riese, Johan Ormel, Willem A. Nolen, and Catharina A. Hartman. 2012. The state effect of depressive and anxiety disorders on big five personality traits. Journal of Psychiatric Research 46: 644–50. [Google Scholar] [CrossRef]
- Kivelä, Liia, Annegret Krause-Utz, Joanne Mouthaan, Maartje Schoorl, Rianne de Kleine, Bernet Elzinga, Merijn Eikelenboom, Brenda Wjh Penninx, Willem van der Does, and Niki Antypa. 2019. Longitudinal course of suicidal ideation and predictors of its persistence—A NESDA study. Journal of Affective Disorders 257: 365–75. [Google Scholar] [CrossRef]
- Kleiman, Evan M., and Richard T. Liu. 2013. Social support as a protective factor in suicide: Findings from two nationally representative samples. Journal of Affective Disorders 150: 540–45. [Google Scholar] [CrossRef]
- Kleiman, Evan M., and Richard T. Liu. 2014. Prospective prediction of suicide in a nationally representative sample: Religious service attendance as a protective factor. The British Journal of Psychiatry: The Journal of Mental Science 204: 262–66. [Google Scholar] [CrossRef]
- Koenig, Harold George, Dana King, and Verna B. Carson. 2012. Handbook of Religion and Health, 2nd ed. New York: Oxford University Press. [Google Scholar]
- Lance, Charles E., Juliette Christie, and Gail M. Williamson. 2021. Do State and Trait Measures Measure States and Traits? The Case of Community-Dwelling Caregivers of Older Adults. Assessment 28: 829–44. [Google Scholar] [CrossRef]
- Lawrence, Ryan E., Maria A. Oquendo, and Barbara Stanley. 2016. Religion and Suicide Risk: A Systematic Review. Archives of Suicide Research 20: 1–21. [Google Scholar] [CrossRef]
- Lewis, Colin David. 1982. Industrial and Business Forecasting Methods: A Practical Guide to Exponential Smoothing and Curve Fitting. London: Butterworth Scientific, pp. 236–52. [Google Scholar]
- Linehan, Marsha M., Judith L. Goodstein, Stevan L. Nielsen, and John A. Chiles. 1983. Reasons for staying alive when you are thinking of killing yourself: The Reasons for Living Inventory. Journal of Consulting and Clinical Psychology 51: 276–86. [Google Scholar] [CrossRef]
- McClintock, Clayton H., Elsa Lau, and Lisa Miller. 2016. Phenotypic Dimensions of Spirituality: Implications for Mental Health in China, India, and the United States. Frontiers in Psychology 7: 1600. [Google Scholar] [CrossRef]
- Miniati, Mario, Antonio Callari, and Stefano Pini. 2017. Adult attachment style and suicidality. Psychiatria Danubina 29: 250–59. [Google Scholar] [CrossRef]
- Morissette, Laurence, and Sylvain Chartier. 2013. The k-means clustering technique: General considerations and implementation in Mathematica. Tutorials in Quantitative Methods for Psychology 9: 15–24. [Google Scholar] [CrossRef]
- Mosqueiro, Bruno Paz, Marco Antônio Caldieraro, Mateus Messinger, Felipe Bauer Pinto da Costa, John R. Peteet, and Marcelo P. Fleck. 2021. Religiosity, spirituality, suicide risk and remission of depressive symptoms: A 6-month prospective study of tertiary care Brazilian patients. Journal of Affective Disorders 279: 434–42. [Google Scholar] [CrossRef] [PubMed]
- Pargament, Kenneth I., and Julie J. Exline. 2020. Religious and Spiritual Struggles. Washington, DC: American Psychological Association. Available online: https://www.apa.org/topics/belief-systems-religion/spiritual-struggles (accessed on 26 April 2022).
- Paykel, Eugene S., Jerome K. Myers, Jacob J. Lindenthal, and Joanne Tanner. 1974. Suicidal feelings in the general population: A prevalence study. The British Journal of Psychiatry 124: 460–69. [Google Scholar] [CrossRef] [PubMed]
- Phillips, Julie A., and Elizabeth A. Luth. 2018. Beliefs About Suicide Acceptability in the United States: How Do They Affect Suicide Mortality? The Journals of Gerontology: Series B 75: 414–25. [Google Scholar] [CrossRef]
- R Core Team. 2020. R: A Language and Environment for Statistical Computing. Vienna: R Foundation for Statistical Computing. Available online: https://www.R-project.org/ (accessed on 1 January 2021).
- Revenson, Tracey A., Carol A. B. A. Wollman, and Barbara J. Felton. 1983. Social supports as stress buffers for adult cancer patients. Psychosomatic Medicine 45: 321–31. [Google Scholar] [CrossRef]
- Richards, Derek. 2011. Prevalence and clinical course of depression: A review. Clinical Psychology Review 31: 1117–25. [Google Scholar] [CrossRef]
- Schaap-Jonker, Hanneke, Elisabeth H. M. Eurelings-Bontekoe, Hetty Zock, and Evert R. Jonker. 2008. Development and validation of the Dutch Questionnaire God Image: Effects of mental health and religious culture. Mental Health, Religion & Culture 11: 501–15. [Google Scholar] [CrossRef]
- Schaap-Jonker, Hanneke, Nathan van der Velde, Elisabeth H. M. Eurelings-Bontekoe, and Jozef M. T. Corveleyn. 2017. Types of God Representations and Mental Health: A Person-Oriented Approach. The International Journal for the Psychology of Religion 27: 199–214. [Google Scholar] [CrossRef]
- Schechter, Mark A., and Mark J. Goldblatt. 2020. Suicide: A Transdiagnostic Phenomenon. Psychiatric Annals 50: 136–37. [Google Scholar] [CrossRef]
- Spruit, Anouk, Linda Goos, Nikki Weenink, Roos Rodenburg, Helen Niemeyer, Geert Jan Stams, and Cristina Colonnesi. 2020. The Relation Between Attachment and Depression in Children and Adolescents: A Multilevel Meta-Analysis. Clinical Child and Family Psychology Review 23: 54–69. [Google Scholar] [CrossRef]
- Stack, Steven, and Augustine J. Kposowa. 2011. Religion and Suicide: Integrating Four Theories Cross-nationally. In International Handbook of Suicide Prevention: Research, Policy and Practice. Hoboken: John Wiley & Sons, Ltd., pp. 236–52. [Google Scholar]
- Stulp, Henk P., Jurrijn Koelen, Annemiek Schep-Akkerman, Gerrit G. Glas, and Liesbeth Eurelings-Bontekoe. 2019. God representations and aspects of psychological functioning: A meta-analysis. Cogent Psychology 6: 1647926. [Google Scholar] [CrossRef]
- Tisdale, Theresa C., Teresa L. Key, Keith J. Edwards, Beth Fletcher Brokaw, Steven R. Kemperman, Henry Cloud, John Townsend, and Thomas Okamoto. 1997. Impact of 607 Treatment on God Image and Personal Adjustment, and Correlations of God Image to Personal Adjustment and Object Relations 608 Development. Journal of Psychology and Theology 25: 227–39. [Google Scholar] [CrossRef]
- van den Brink, Bart, Hanneke Schaap-Jonker, and Arjan W. Braam. 2018. Moral objections and fear of hell: An important barrier to suicidality. Journal of Religion and Health 57: 2301–12. [Google Scholar] [CrossRef]
- van der Velde, Nathan, Hanneke Schaap-Jonker, Elisabeth H. M. Eurelings-Bontekoe, and Jozef M. T. Corveleyn. 2021. God Representation Types Are Associated With Levels of Personality Organization and Christian Religious Orthodox Culture. Journal of Nervous & Mental Disease 209: 710–19. [Google Scholar] [CrossRef]
- van Vliet, Niels, Hanneke Schaap-Jonker, Matthias van der Jongkind, Nathan Velde, Bart van den Brink, and Arjan W. Braam. 2018. De relatie tussen godsrepresentaties en suïcidaliteit bij christelijke patiënten met een depressieve stoornis. Tijdschrift Voor Psychiatrie 60: 511–20. [Google Scholar]
- World Medical Association. 2013. World Medical Association Declaration of Helsinki: Ethical Principles for Medical Research Involving Human Subjects. JAMA 310: 2191–94. [Google Scholar] [CrossRef]


| TO (n = 155) | T1-Subsample (Measured at T0) (n = 59) | |
|---|---|---|
| Age, M (SD) | 41.1 (13.9) | 43.1 (12.7) |
| Sex—female | 113 (73%) | 43 (73%) |
| Marital status—married/cohabiting | 89 (57%) | 40 (68%) |
| Level of education | ||
| Low (minimum of 8 years) | 5 (3%) | 1 (2%) |
| Average (minimum of 12 years) | 115 (74%) | 40 (68%) |
| High (minimum of 18 years) | 35 (23%) | 18 (31%) |
| BPRS psychopathology total score (SD) | 48.8 (10.3) | 47.4 (8.0) |
| Psychotropic medication—no | 31 (20%) | 6 (10%) |
| Any lifetime suicide attempt | 43 (28%) | 17 (29%) |
| Suicide committed by relative | 42 (27%) | 13 (22%) |
| Religious affiliation | ||
| Reformed/Protestant | 118 (76%) | 49 (83%) |
| Evangelical/Pentecostal/Baptist | 21 (13%) | 8 (14%) |
| Other | 9 (6%) | 2 (4%) |
| None | 7 (5%) | 0 (0%) |
| Religious salience, mean total score (SD) | 15.9 (4.2) | 16.9 (3.0) |
| TO Mean (SD) | T1 Mean (SD) | Pearson’s Product-Moment Correlation (p-Value) | Paired Samples t-Test Value (p-Value) | |
|---|---|---|---|---|
| BDI | 30.8 (11.8) | 21.2 (13.8) | 0.55 (<0.001) | −5.85 (<0.001) |
| PSI | 11.8 (5.2) | 8.8 (4.2) | 0.65 (<0.001) | −5.48 (<0.001) |
| Frequency of service attendance | 4.3 (1.2) | 4.5 (1.3) | 0.51 (<0.001) | 1.51 (0.137) |
| Frequency of prayer | 5.4 (1.0) | 5.3 (1.2) | 0.45 (<0.001) | −0.33 (0.742) |
| MOS | 16.9 (5.1) | 16.4 (5.9) | 0.68 (<0.001) | −0.95 (0.346) |
| QGR Anger | 7.9 (3.2) | 6.5 (3.0) | 0.54 (<0.001) | −3.52 (0.001) |
| QGR Anxiety | 16.1 (5.5) | 14.6 (5.4) | 0.66 (<0.001) | −2.52 (0.015) |
| QGR Positive Feelings | 27.2 (9.1) | 30.4 (8.5) | 0.73 (<0.001) | −3.71 (<0.001) |
| QGR Passivity | 4.0 (2.1) | 3.9 (2.0) | 0.30 (0.023) | −0.43 (0.670) |
| QGR Ruling/Punishing Behavior | 13.2 (4.0) | 13.3 (3.9) | 0.69 (<0.001) | 0.38 (0.705) |
| QGR Supportive Actions | 35.8 (9.6) | 38.8 (8.3) | 0.69 (<0.001) | 3.15 (0.003) |
| Social Support NEG | 15.3 (4.7) | 14.1 (3.7) | 0.48 (<0.001) | −2.15 (0.036) |
| Social Support POS | 20.3 (4.3) | 22.5 (8.6) | 0.19 (0.144) | 1.94 (0.057) |
| Suicidality T1 | ∆ Suicidality T1–T0 | |||
|---|---|---|---|---|
| B | 95%-CI | B | 95%-CI | |
| Independent variables T0 | ||||
| Age | 0.06 | −0.08; 0.20 | 0.00 | −0.16; 0.16 |
| BDI-adjusted T0 | 0.18 | 0.00; 0.36 | 0.08 | −0.13; 0.29 |
| Cluster of God representation T0 | −2.87 | −5.95; 0.21 | −0.41 | −3.96; 3.14 |
| Sex | −1.47 | −4.37; 1.43 | 0.87 | −2.48; 4.22 |
| Level of education | 0.52 | −1.49; 2.53 | −1.67 | −3.99; 0.65 |
| MOS T0 | 0.15 | −0.11; 0.41 | 0.32 * | 0.02; 0.62 |
| Frequency of service attendance | −0.96 | −2.09; −0.12 | 0.52 | −0.74; 1,77 |
| Frequency of prayer | −0.01 | −1.38; 1.35 | −1.06 | −2.64; 0.52 |
| Social support negative T0 | 0.06 | −0.24; 0.36 | 0.06 | −0.29; −0.31 |
| Social support positive T0 | −0.21 | −0.56; −0.14 | −0.17 | −0.57; 0.24 |
| ∆ Independent variables T1−T0 | ||||
| ∆ BDI | 0.18 * | 0.02; 0.33 | ||
| ∆ Cluster of God representation | −1.60 | −6.43; 3.23 | ||
| ∆ MOS | 0.27 | −0.16; 0.70 | ||
| ∆ Frequency of service attendance | 0.02 | −1.29; 1.33 | ||
| ∆ Frequency of prayer | −0.20 | −1.48; 1.09 | ||
| ∆ Social support negative | −0.33 | −0.81; 0.15 | ||
| ∆ Social support positive | −0.05 | −0.32; 0.21 | ||
Disclaimer/Publisher’s Note: The statements, opinions and data contained in all publications are solely those of the individual author(s) and contributor(s) and not of MDPI and/or the editor(s). MDPI and/or the editor(s) disclaim responsibility for any injury to people or property resulting from any ideas, methods, instructions or products referred to in the content. |
© 2023 by the authors. Licensee MDPI, Basel, Switzerland. This article is an open access article distributed under the terms and conditions of the Creative Commons Attribution (CC BY) license (https://creativecommons.org/licenses/by/4.0/).
Share and Cite
van den Brink, B.; Jongkind, M.; Rippe, R.C.A.; van der Velde, N.; Braam, A.W.; Schaap-Jonker, H. Dimensions of Religion Associated with Suicide Attempt and Ideation: A 15-Month Prospective Study in a Dutch Psychiatric Population. Religions 2023, 14, 442. https://doi.org/10.3390/rel14040442
van den Brink B, Jongkind M, Rippe RCA, van der Velde N, Braam AW, Schaap-Jonker H. Dimensions of Religion Associated with Suicide Attempt and Ideation: A 15-Month Prospective Study in a Dutch Psychiatric Population. Religions. 2023; 14(4):442. https://doi.org/10.3390/rel14040442
Chicago/Turabian Stylevan den Brink, Bart, Matthias Jongkind, Ralph C. A. Rippe, Nathan van der Velde, Arjan W. Braam, and Hanneke Schaap-Jonker. 2023. "Dimensions of Religion Associated with Suicide Attempt and Ideation: A 15-Month Prospective Study in a Dutch Psychiatric Population" Religions 14, no. 4: 442. https://doi.org/10.3390/rel14040442
APA Stylevan den Brink, B., Jongkind, M., Rippe, R. C. A., van der Velde, N., Braam, A. W., & Schaap-Jonker, H. (2023). Dimensions of Religion Associated with Suicide Attempt and Ideation: A 15-Month Prospective Study in a Dutch Psychiatric Population. Religions, 14(4), 442. https://doi.org/10.3390/rel14040442

