Next Article in Journal
Ted Chiang’s Asian American Amusement at Alien Arrival
Next Article in Special Issue
Centrality of Religiosity Scale in Polish Research: A Curvilinear Mechanism that Explains the Categories of Centrality of Religiosity
Previous Article in Journal
Facing the Monsters: Otherness in H. P. Lovecraft’s Cthulhu Mythos and Guillermo del Toro’s Pacific Rim and Hellboy
Previous Article in Special Issue
Centrality of Religiosity, Attitude towards Christianity and Post-Critical Belief: Comparing Three Measures of Religiosity
 
 
Due to scheduled maintenance work on our servers, there may be short service disruptions on this website between 11:00 and 12:00 CEST on March 28th.
Font Type:
Arial Georgia Verdana
Font Size:
Aa Aa Aa
Line Spacing:
Column Width:
Background:
Article

Validation of the Short Forms of the Centrality of Religiosity Scale in Georgia

1
Department of Psychology, University of Fribourg, Rue Petermann-Aymon-de-Faucigny 2, 1700 Fribourg, Switzerland
2
Faculty of Psychology and Educational Sciences, Tbilisi State University, 1 Chavchavadze Avenue, 0179 Tbilisi, Georgia
3
Institute for Empirical Study on Religion, University of Bern, Länggassstrasse 51, 3012 Bern, Switzerland
4
Georgian Centre of Population Research, 75 Kostava Street, 0171 Tbilisi, Georgia
*
Author to whom correspondence should be addressed.
Religions 2020, 11(2), 57; https://doi.org/10.3390/rel11020057
Submission received: 6 December 2019 / Revised: 15 January 2020 / Accepted: 15 January 2020 / Published: 22 January 2020
(This article belongs to the Special Issue Research with the Centrality of Religiosity Scale (CRS))

Abstract

This study presents the validation of the short forms of Centrality of Religiosity Scale (CRS) in Georgia. This country offers a unique Christian orthodox context with a long-lasting religious tradition and strong affiliation to churches. Translated short forms were administered in the years 2012 (CRS-5) and 2018 (CRSi-7). Participants reported on ideological, intellectual, and experiential aspects of their faith and their private and public religious practice in face-to-face interviews. The collected data was subject to reliability analyses. Scale invariance over time was tested with the CRS-5, whereas the CRSi-7 was examined for model goodness, with one factor—Centrality of Religiosity—with a confirmatory factor analysis. Derived statistical coefficients from large stratified random populational samples (2012: N = 2238 and 2018: N = 1906) show good to acceptable Cronbach’s α s ( α = 0.73 and α = 0.67). The composite scores’ means and standard deviations contour norm values for further investigations in social sciences related to religiosity in Georgia. The results of the confirmatory factor analyses show that the Centrality of Religiosity manifests a stable factor, adequately explaining different dimensions of faith life. The high reliability of the CRS-5 over time leads to the conclusion of consistent measurement characteristics and thus, its suitability for longitudinal analysis. The CRSi-7 has a comparable model fit to the CRS-5 providing an alternative for interreligious contexts if needed. Aspects of assessment and analysis are discussed and reasons for the application of the longer version of the CRS are provided in the end.

1. Introduction

Throughout its entire existence, the study of religion and religiosity has been searching for a universal instrument to measure the psychological constructs behind the various religious ideologies, rituals, experiences and other expressions of faith life. However, over time, the broadness of the field led to a variety of results. Various research interests brought up a plethora of sociological and psychological assessment scales. For an overview and examples, see the book by Hill and Hood (1999). Nevertheless, the interest in a robust and versatile instrument remains unbroken, especially when looking at the changes in the religious landscape worldwide (Hackett and Stonawski 2017) as well as the wish to have a comparable scale for the different dimensions of human religiosity in distinctive religious contexts. Endorsing the idea of multifaceted religious expression, Murken and Namini (2006) summarize, in their chapter on the Psychology of Religion, that one subject is undiscussable. In order to be universal, a psychometrical scale has to be multidimensional because assessing, for example, only the frequency of church attendance or prayer, the importance of commandments or rules or the time spent in religious communities is not appropriate to capture the importance of religion in a human’s life. The problem of an assessment with single items is long-known and understood in the research community. Since the 1960s, attempts have been made to construct a scale which includes all possible expressions of human religiosity.
In 2003, Stefan Huber proposed a new—albeit not the first—multidimensional method of measuring religiosity combining two of the most popular measurement models of religiosity of the 20th century: the I/E-concept by Allport and Ross (1967) and the Dimensions of Religious Commitment by Glock and Stark (1966). His conceptualization takes the multifaceted phenomenological model by Glock and places it on an aggregated score of the religious dedication as proposed by Allport. This conceptualization allows for an assessment of the strength of religious commitment—so-called centrality. At the same time, this assessment encompasses a content analysis of the fanned-out core dimensions of religiosity: ideology, intellect, religious experience, private and public religious practices, which were redefined from the original proposition by Glock. Together, the five dimensions form what is called religiosity—a personal psychological trait in demarcation to religion as an organized, tradition-oriented social phenomenon and spirituality as a privatized, experience-oriented, individual phenomenon (Streib and Hood 2016, p. 9). The scale is thus called the Centrality of Religiosity Scale, short CRS, and is placed on the intersection of theology, psychology, and sociology of religion as a psychometric questionnaire. A distinctive feature of the scale is that it is conceptualized to capture the expression of personal traits in the measurement of dimensions of frequency, importance and salience providing platform for objective and subjective expression of one’s religiosity. Respondents are not provoked to auto-reference to or compare themselves with a particular social group, therefore, comparability (e.g., between religious communities, across time points, between countries, etc.) is preserved for the analysis of the totality of the collected responses.
In 2012 Huber and Huber proposed various forms of the CRS to the community to satisfy different research needs. There is a major split is between Abrahamitic and non-Abrahamitic contexts: the CRS-5, the CRS-10, and the CRS-15 serve the first and the CRSi-7, the CRSi-14, and the CRSi-20 serve the second ones respectively (see Table A1, Table A2 and Table A3 in Appendix A). The number after the abbreviation indicates the number of items in the scale. In the shortest version—the CRS-5, each core dimension has only one indicator, multiplied by two in the CRS-10 and multiplied by three in the CRS-15 version. The “i”-versions are an expansion, in which additional items were added. One on meditation and one on experience of connectedness in the short version. With these items, the CRS-5 resulted in the CRSi-7 (5 + 2); the CRS-10 with two additional items in the CRSi-14 (10 + 2 + 2), with one additional item leading from the CRS-15 to the longest version, the CRSi-20 (15 + 2 + 2 + 1). The answer options can be summed up into the three categories of frequency, importance and salience of the construct of interest.
The scale was developed and validated in Europe (Switzerland and Germany; Huber 2003), its universality, practicality and utility, as well as psychometric characteristics had to be tested by putting it into practice in different contexts.
Since the first publication in the year 2003 all six forms of the Centrality of Religiosity Scale have been used in a wide scope of applications in different religious contexts and numerous countries1. The application in the international Religion Monitor run by the German Bertelsmann Foundation in 21 countries in the years 2007/2008 (CRS-5, CRSi-7, and CRS-10), in 13 countries in the years 2012/2013 (CRS-5 and CRSi-7), and 6 countries in the year 2017 (CRS-5 and CRSi-7) showcases the viability of the scale. The Religion Monitor is a good example of the adaptiveness of the CRS to different religious, cultural and linguistic environments. The scale assists the field by aggregating divergence of religious expression to a comparable quantity while keeping the possibility of accentuation of the core dimension in the final interpretation. Thus, religiosity becomes an attainable and extensive construct, which is easy to integrate into any kind of research on health-related, economic, political, educational and social topics to name a few examples. That is the reason why interest in application, translations and cultural adaptations of the CRS has remained unbroken in the last decade (e.g., Esperandio et al. 2019; Fradelos et al. 2018; Huza 2019; Zarzycka 2007). The showcase of the Religion Monitor demonstrates, on the one hand, the functionality of the CRS, and on the other hand it reveals its limitations. For some non-western contexts (e.g., Turkey, Morocco, Nigeria, Guatemala, Indonesia) the scale had a very skewed distribution, resulting in a collapsing indices of internal consistency (Huber and Huber 2012). Georgia offers in this regard a unique example of a non-western, predominantly Christian orthodox country to test the CRS further and to explore the capability of its reliability.

1.1. Setting in Georgia

For the investigation of the CRS in the orthodox context, Georgia stands out as a remarkable example because of its long-lasting roots of Christianization. Even though the Christianization of Georgia has not been the only religious transformation of the country—as seen for example in the region Adjara in South-West Georgia with a concentration of Muslims because of former Ottoman influences—its dominance is seen in the numbers of the current demographical statistics. In the 2014 census, the number of Orthodox Christians was 83.4%, Muslims—10.7%, Armenian Apostolic—2.9%, and others including non-religious—3.0% (Shavishvili 2016). To embed the current situation of the religious landscape in the course of time we are briefly summarizing the development of the orthodox church in Georgia in recent decades in the following paragraph. The Muslim minority as well as other religious groups in Georgia are not a subject of this study.
After the collapse of the Soviet Union and disappearance of the restrictive political regime in 1991, the Georgian Orthodox church started gaining huge social power, church attendance rose dramatically and religious discourses appeared in the political realm (Sumbadze et al. 2016). The Georgian Orthodox church is still the most trusted institution in the country and Orthodoxy is one of the most important ingredients of Georgian national identity. Hence, religion plays a major role in the daily life of Georgian people but was not examined extensively and in-depth considering all the dimensions of religious life.

1.2. Dimensions of the Centrality of Religiosity Scale

The two versions of the CRS we refer to in this article are the CRS-5 and the CRSi-7. The dimensions of the CRS are ideology, intellect, experience, private practice and public practice. In the CRS-5, each core dimension is represented by only one item, in the CRSi-7 additional items are added on private practice and religious experience. The CRS-5 is intended to be applied in Abrahamitic contexts, i.e., Jewish, Christian and Muslim. The extension, by two items, to the CRSi-7 includes other religious backgrounds, e.g., Hinduism and Buddhism. The five dimensions of CRS-5 are thus included in the CRSi-7. The translated items of both scales can be found in Appendix A, Table A1—the answer categories and their interpretation are presented in Table 1. Hereafter, original items are presented alongside the description of the dimension in the text.

1.2.1. Ideology

The ideological dimension deals with beliefs and patterns of plausibility. A core indicator for this dimension is the plausibility of the existence of a transcendent sphere of reality. The more plausible this sphere appears, the more relevant and concrete religious beliefs can become for somebody. The corresponding question is: “To what extent do you believe that God or something divine exists?” (CRS-5 and CRSi-7).

1.2.2. Intellect

The intellectual dimension consists of religious knowledge, themes of interest, and hermeneutical skills. An indicator of the general strength of this dimension is the frequency of thinking about religious issues. The more somebody thinks about religious questions, the more religious knowledge is deepened and enhanced, and the more hermeneutical skills are trained. The corresponding question is: “How often do you think about religious issues?” (CRS-5 and CRSi-7).

1.2.3. Religious Experience

The experiential dimension consists of patterns of religious perceptions and religious feelings. General indicators of this dimension are the frequency of experiences of divine interventions or of being one with everything. The more these general types of experiences take place, the more somebody is open to concrete experiences of the divine. The corresponding questions are: “How often do you experience situations in which you have the feeling that God or something divine intervenes in your life?” (CRS-5) and additionally “How often do you experience situations in which you have the feeling that you are one with everything?” (CRSi-7).

1.2.4. Private Practice

The dimension of private practice relates to actions in which somebody tries to connect him- or herself with a transcendent sphere of reality. The most common forms are prayer and meditation. The more somebody practices at least one of these forms, the more he or she is in the mode of connecting him- or herself with the divine. The corresponding questions are: “How often do you pray?” (CRS-5) and additionally “How often do you meditate?” (CRSi-7).

1.2.5. Public Practice

The dimension of public practice refers to the integration of somebody’s religious life in a social body. The most general indicator is the frequency of participation in religious services. The more somebody attends religious services the higher is the probability that somebody is integrated in a social religious body. The corresponding question is: “How often do you take part in religious services?” (CRS-5 and CRSi-7).
The frugal short forms have been proven to have good psychometrical characteristics by demonstrating moderate positive correlations between the core dimensions r = 0.35 to r = 0.73 (CRS-5 and CRSi-7 in the International Religion Monitor of the years 2007, 2012, 2017)—proving them to be relatively autonomous among each other. The composite score of the scale has a good to excellent internal consistency with a Cronbach’s α between α = 0.84 for the CRSi-7 and α = 0.85 for the CRS-5 in the norm sample (Huber and Huber 2012). The overall good internal consistency suggests a one-factor latent structure. Nonetheless, the uniform construct of Centrality of Religiosity was subject to discussion from the beginning.

1.3. Interrelationship of the Dimensions of Religiosity

The latent structure of the CRS was examined for the first time in the book “Centrality and Content” (Huber 2003, pp. 270–93) concurrent with the publication of the scale itself. Different models starting with one latent factor and going up to five latent factors are presented and compared with each other. In this manner, different possible combinations of the core dimensions of religiosity are accounted for. This approach opens the field to a theoretical discussion of homogeneity of religiosity as a personal trait. Since the publication of the scale data was analyzed but not discussed systematically regarding neither the latent structure nor its stability in different religious contexts. Nevertheless, it is worth looking at the construct behind the core dimensions of religiosity.
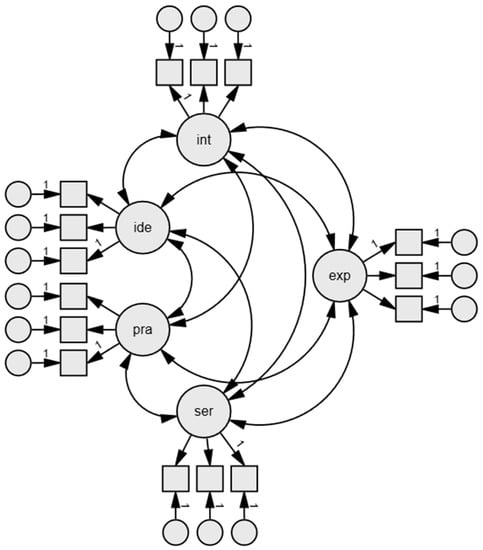
The most obvious and simplest even though not the most parsimonious latent structure of the CRS is given by a five-factor solution, where all the items of one dimension are explained by one latent variable and are correlated with each other (see Figure 1 for the most advanced version, CRS-15). The most parsimonious version would be represented by five intercorrelated items with the CRS-5. This structure of correlated factors replicates the idea of relatively autonomous core dimensions of religiosity. It was introduced in 2003 and has been constantly and straightforwardly reproduced since then. Recently, two studies using translated versions of CRS-5 and CRS-10 in Brazil by Esperandio and colleagues (Esperandio et al. 2019) and in Romania with CRS-15 by Huza (2019) confirmed this simple pattern yet again.
As elaborated by the author of the scale, the core dimensions contribute to a personal trait called Centrality of Religiosity. In other words, the five core dimensions form a common factor, which affects the behavior and experience of a human being in the realm of religion. In the statistical conceptualization, this means there is a second-order factor as depicted in Figure 2. If the shortest version of the CRS is applied, the centrality is reflected through five items, one per core dimension. Thus, the second-order factor becomes a first-order factor. Between the two configurations from scattered stand-alone factors to the most centralized model with one second-level factor, different kinds of latent structures are imaginable. With this in mind, researchers looked at the latent structures alongside validations of the CRS in different languages and countries.
Even though in the mentioned study by Huza (2019), the researcher didn’t test for anything but the five-factor solution, in Greece Fradelos et al. (2018) conducted an exploratory factor analysis of the CRS-15 attempting a reduction of the dimensions and found two factors, which they called “religious practices” and “religious beliefs and experiences”. Religious practices as a factor is hereby formed by items from the private and public practice core dimensions. Religious beliefs and experience as a factor is formed by the remaining items from the core dimensions of ideology, intellect, and experience. Looking at the results of the most recent studies in Romania and Greece, which are largely orthodox countries like Georgia, one could question the solidity of the theoretical construct of centrality. The similarity in religious traditions leads to the research idea of testing for the factor structure of the CRS in the Georgian sample as a part of the linguistic validation. Even though the application of the shortest version of the CRS-5 and the CRSi-7 do not allow for a detailed examination of more than a one-factor solution, the temporal stability of such a model can be studied.
In this article, we omit the discussion of the theoretical plausibility of a “more-than-one-factor”-latent structure but rather inspect whether a one-factor solution can be reproduced in Georgian populational samples from the years 2012 and 2018. After establishing a measurement model, we further test for the scalar invariance of the model to examine the change in religiosity in the Christian orthodox population in Georgia from the years 2012 and 2018. If established, scalar invariance allows for a comparison of the factor loadings over time between showing their temporal change and reliability.

1.4. Goals and Hypotheses

Up till now the CRS has been well received by the research community, but there are some inconclusive finding regarding its construct validity and reliability in so-called non-western countries (cf. Table 5, Huber and Huber 2012, p. 722). The Christian orthodox context of Georgia challenges the concept of Centrality of Religiosity that is why this article examines the question of construct validity and reliability of Centrality of Religiosity in this country among orthodox Christians. To be precise, a one-factor solution is expected to work with CRS-5 and CRSi-7.
The study is built around a twofold analytical objective of firstly testing construct validity and reliability of the CRS-5 over time in two representative population samples from the years 2012 and 2018 by confirmatory factor analysis. Both samples are hypothesized not to differ over time.
Secondly, CRSi-7 is expected to show a good global model fit with one factor and factor loadings different from zero, but to not differ substantially from the results of the CRS-5 model testing.

2. Method

2.1. Overview

Descriptive statistics are calculated for the distinct indicators and composite scores of the CRS-5 and the CRSi-7. For common reliability analyses of both short forms of the CRS, Cronbach’s α s are calculated separately for each sample. McDonald’s ω s are presented as an alternative coefficient of assessing internal consistency of a scale. The viability of the CRS-5 is confirmed in the general population by comparing the two populational samples from 2012 and 2018 in a one-factor structure invariant model for CRS-5. This model is consequently tested for measurement invariance over time on the level of factor loadings, indicator intercepts, and residual variances. Data only exist from one time point for the CRSi-7. Thus, no invariance testing is performed for this short version of the CRS. The CRSi-7 is tested for global model fit and local strains.

2.2. Translation

The CRS underwent the translation procedures twice. The CRS was developed in German (Huber 2003), and the first officially validated and published version in English appeared in 2012 (Huber and Huber 2012).
In 2012, a Georgian research team developed the Georgian short versions (CRS-5 and CRSi-7) of the CRS in collaboration with the original author, thus the order of translation was English–Georgian and then the back-translation of Georgian–German. The translation was assessed and accepted by the author of the scale.
In 2018, as the possibility of the translation of all versions of the CRS (CRS-5, CRSi-7, CRS-10, CRSi-14, CRS-15, CRSi-20) was given, the Georgian team hired two professionals, the first for the English–Georgian, and the second for the Georgian–English back-translation. In 2018, the aim was to consult non-German-speaking experts in the field. The back-translations of all versions were accepted by experts in the field and by the author himself.
The translated Georgian items are presented side to side with the English originals in Appendix A. Only the translations of the seven items of the CRSi-7, which includes the CRS-5 version, were empirically tested in the current study.

2.3. Samples

The CRS was applied in two samples in Georgia in the years 2012 and 2018. Both samples were collected in different projects but under the supervision of same principal investigators. Originally, both samples included respondents other than orthodox Christians. In 2012, any kind of religious affiliation was targeted. In 2018, because of language and organizational reasons, only Christian respondents were targeted in Georgian-speaking households during the sampling procedure. For unification reasons, respondents other than orthodox Christians were dropped from the analyses, as Christian orthodox formed the biggest overlapping respondent group. The sampling procedure is described in detail for each sample in the following paragraph. Characteristics of final samples are presented in Table 2.
For the 2012 sample, we used data from a database of the GGS (Generations and Gender Survey, part of the international Generations and Gender Programme, coordinated by United Nations Economic Commission for Europe), from a representative longitudinal study in Georgia. Participants already took part in two waves in 2006 and 2009 but the CRS-5 was first administered in 2012. The GGS, as well as the present study, were conducted by the NGO Georgian Centre of Population Research (GCPR), directed by Ph.D. Irina Badurashvili. We randomly selected participants from three Georgian areas, Tbilisi (N = 1163), Imereti (N = 1116), and Mtskheta-Mtianeti (N = 74), in total N = 2353. Most of the respondents examined in the study belonged to the Georgian Orthodox Church (95.1%, N = 2238). The remaining 4.9% were broke down as follows: Armenian Gregorian 2.6%, other Christians 0.5%, Jewish 0.2%, Muslim 0.2%, Roman Catholic 0.1%, other religion 0.8%, non-religious 0.6%. Participants lived in urban (74.6% of the sample) as well as rural areas (25.4%). Women constituted 58.9% of the sample. The mean age was 46.38 years (SD = 18.63; range = 15 to 88).
In the 2018 sampling procedure, about 2000 households from 11 regions of Georgia were randomly chosen, applying a multistage stratified random sampling procedure based on a Georgian population census from 2014 (Shavishvili 2016). For further statistical analyses the focus only lay on the population that was affiliated with the Orthodox church (87.8%)—in total N = 1906 of the 2018 sample (rural area 38%; urban area 62%). The remaining 12.2% of the respondents were distributed as follows: Pentecostalism 5.4%, Protestantism 5.1%, no denomination 0.8%, Roman Catholic 0.7%, another denomination 0.2%. Among the 1906 participants, 55.5% were women and the mean age of the respondents was 48.5 years (SD = 16.35; range = 18 to 89).
In both waves, all participants were informed about the goal and purpose of the study by an informed consent form, which they signed before entering the study. Participants who did not sign the informed consent form were excluded from the study. There were no specific inclusion criteria apart from being over 15 years old.

2.4. Procedure and Measures

Both translated short versions of the CRS were tested in a pilot study within a selection of 50 people to determine the clarity of the items. Respondents recommended changing the wording of the additional experience item in the CRSi-7. Adaptations were done according to the comments. The questions in both English and Georgian can be found in Appendix A. Interviews were conducted with the CRS-5 in 2012 and with the CRSi-7 in 2018, therefore, the CRS-5 can also be derived from the data in 2018.
Interviewers visited the participants at their homes. Participants were interviewed face to face, answers were recorded on paper, only one respondent was taken per household according to the most recent birthday in the annual circulation.
The collected data was managed and analyzed with IBM SPSS® and AMOS® both version 26. Confirmatory Factor Analysis with the multigroup method was used to check for the reliability over time from 2012 to 2018 with the CRS-5. A CFA with one factor of Centrality of Religiosity was applied to the CRSi-7.

2.5. Analytic Plan

2.5.1. Exploratory Factor Analysis

An Exploratory Factor Analysis (EFA) was performed with both samples to check for the resemblance with the original model by Huber (2003). For factor extraction, a maximum likelihood extraction with varimax rotation method was applied to look for common variance. The decision on the number of factors was done according to the eigenvalue criteria >1. If only one factor would be extracted, rotation would not be applied.

2.5.2. Confirmatory Factor Analysis

The confirmatory factor analysis (CFA), in contrast to EFA, was applied in this study to test a specific hypothesis about statistical invariance and compare the one-factor latent structure over time.
The starting point of the confirmatory analysis are the EFAs. The EFAs indicate a one-factor solution (see Table 6) but with the results of studies by Fradelos et al. (2018) and Huza (2019) in mind, we further checked the associations of the core dimensions. The correlation matrix shows the proximity of the three core dimensions—intellect, experience, and ideology—as well as the two core dimensions of private and public practice (see Table 4). Thus, the pattern of private and public practice suggests being condensed into “religious practice” (RP) and the grouping of intellect, experience, and ideology can be named “religious beliefs and experience” (RBE) borrowing the designations from Fradelos et al. (2018). To model this specific pattern with five indicators and one factor we allow the private practice and public practice core dimensions to covariate freely in the structure. Consequently, the hypothesized structure is a one-factor solution with centrality as a unifying construct and five indicators of intellect, ideology, experience, private practice, and public practice, with linked residuals between the two indicators of private practice and public practice. The maximum likelihood (ML) method is used in the estimation with variance–covariance matrices as data input throughout the analysis. Taking the suggestions of Hu and Bentler (1999) acceptable fit of the models is stated by following criteria: RMSEA (≤0.06, 90% CI ≤ 0.06, pclose > 0.05), SRMR (≤0.08), CFI (≥0.95), and TLI (≥0.95). The named indices provide information on different aspects of the model (i.e., absolute fit, fit adjusted for model parsimony, fit relative to a null model). Altogether, these indices offer a more conservative and reliable evaluation of the solution. For the distinct parameter estimates, modification indices bigger than 4.00 (i.e., expected parameter change χ 2 > 4 ) are considered as a point of model discussion. The modification indices are considered as a model comparison with 1 degree of freedom and a critical p < 0.05 where Δ χ 2 > 3.84 suggest that the overall model fit can be significantly improved, if the fixed or constrained parameter is freely estimated. We round up to 4.00 for practical reasons.
Throughout the text, parameter estimates are designated in Greek letters: λ —factor loading, τ —intercept of the indicator, κ —factor mean, ϕ —factor variance, δ —with one-digit subscript designates variance of residual, δ —with two digits subscript designates covariance of residuals. Parameter estimates for intellect receive the subscript x1, for ideology x2, for experience x3, for private practice x4, and for public practice x5.

2.5.3. Multigroup-CFA

The populational samples do not constitute a test-retest sample. Therefore, we conduct a test of the invariance using a multigroup analysis. The one-factor model of centrality was tested for structural (equal form), scalar (equal factor loadings) and metric (equal indicator intercepts and equal residual variance) invariance as nested models. Parameters of metric invariance are hereby nested within the scalar parameters and the parameters of scalar invariance are nested within the structural invariance respectively. For the model identification in the invariance testing condition, the variances of the latent variable of centrality are fixed to φ 2012 = φ 2018 = 1 and the means are set to κ 2012 = κ 2018 = 0 . For the estimation of the mean difference in a second step, the mean for the 2012 group is set to be the reference with κ 2012 = 0 and the mean of 2018’s group is unconstrained.
Multivariate normal distribution of the indicators is a critical condition to get non-biased parameter estimates in SEM. Visual inspection suggests close to normal distributions of the indicators. We still decided to apply a bootstrapping procedure with 200 drawings to get bias-corrected 95% confidence intervals for the parameter estimates. We think of the bootstrapping as reasonable with given data to correct for the standard error bias within the Maximum Likelihood estimation with close-to-normal distributed data.
As the CRSi-7 was not applied in 2012, no multigroup analysis is run for this short version. Instead, we test a one-factor model with two changes in the indicators of experience and private practice. In both, the maximum answer value of the main and the additional questions are conveyed into the analysis. Two possible points of difference, i.e., religious experience and private practice between CRS-5 and CRSi-7 are compared.

3. Results

3.1. Descriptive Results

The answers to the two items, private and public practice, were recoded from a 7-step into a 5-step scale according to recommendations of the authors (Huber and Huber 2012, p. 720), as this results in an equal 5-step-metric for all the indicators in the model. The mean score of CRS-5 in the representative survey in 2012 is M = 3.46, SD = 0.83, same parameters in 2018 M = 3.59, SD = 0.71. For more details see Table 3.

3.1.1. Psychometric Properties of the CRS-5

In the general population, the internal consistency of the surveys with the five items scale was α = 0.733 in 2012, and α = 0.674 in 2018, according to Cronbach’s α. As displayed in Table 4, the correlations between the five dimensions range between r = 0.26 and r = 0.58 in 2012 and between r = 0.21 and r = 0.47 in 2018.

3.1.2. Psychometric Properties of the CRSi-7

The same statistical calculations as for the CRS-5 were applied to the CRSi-7 reliability testing, but only for the data in 2018. Before calculating the composite total maximum score between existing items and additional items for private practice and experience, dimensions for an interreligious version were calculated see procedure by Huber and Huber (2012). For the resulting five items, the internal consistency of the representative sample was Cronbach’s α = 0.675. The correlations of the five dimensions range between r = 0.20 and r = 0.48, see Table 5 for more details.

3.1.3. Exploratory Factor Analyses

Before running the confirmatory (CFA), the samples were checked with exploratory factor analyses (EFA). The EFAs were conducted in all samples separately, to test the general religiosity factor of the CRS-5 and the CRSi-7. The exploratory factor analyses resulted in a one-factor solution in every sample; thus, factor rotation did not play a role. In the general population sample for the year 2012, the EFA demonstrates one factor with an eigenvalue = 2.60 and explained variance of 40.81% (KMO = 0.77; Bartlett’s sphericity χ 2 = 2847.77, p < 0.001, df = 10). In 2018, EFA indicates one factor with an eigenvalue = 2.24 and explained variance of 31.87% (KMO = 0.73; Bartlett’s sphericity χ 2 = 1439.89, p < 0.001, df = 10). The EFA of the CRSi-7 in 2018 yield comparable results with the CRS-5 hence, one factor with an eigenvalue = 2.26 and explained variance of 32.10% (KMO = 0.72; Bartlett’s sphericity χ 2 = 1520.01, p < 0.001, df = 10). See Table 6 for an overview.

3.1.4. Confirmatory Factor Analysis

The CFA is done for the CRS-5 and the CRSi-7. In Georgia, a country with a religion with Abrahamitic roots, the CRS-5 is the instrument of choice, thus, the results of its analysis come first. In the text, we report findings related to scale invariance testing of the CRS-5 between 2012 and 2018, and the results of model testing of the CRSi-7. The interreligious short version does not add any new religious dimensions but extends the measurement of private practice and experience by two additional items, retaining the latent structure. Thus, a latent structure with one factor of centrality is indicated by five observed variables of the five core dimensions. For the CRSi-7 the results are summarized following the CRS-5 results.

3.1.5. CRS-5

Global Fit
Model tests show a measurement invariance up to the level of indicator residual variances. The model with equal indicator residual variances has a fit of χ 2 = 259.09 with 24 degrees of freedom and 16 estimated parameters. The model’s overall goodness-of-fit is characterized by the Comparative Fit Index (CFI), Tucker–Lewis index (TLI), Standardized Root Mean Square Residual (SRMR) and the Root Mean Squared Error of Approximation (RMSEA). With a CFI = 0.95, a TLI = 0.96, a SRMR = 0.04 and a RMSEA [90% CI] = 0.05 [0.044; 0.054], pclose = 0.63 the model globally fits the data well according to the recommendation by Hu and Bentler (1999). From here on we discuss the model of the highest invariance; hence the model with equal form, equal factor loadings, equal indicator intercepts and equal residuum variances. Details on stepwise model invariance comparison are described in Appendix B, Table A4.
Local Fit
The completely standardized factor loadings of the model vary between λ x 5 = 0.37 to λ x 3 = 0.76 with the highest value for the core dimension of experience and lowest for public practice. Each of the parameter estimates is reported in the text with a 95% bootstrap-CI in brackets: intellect λ x 1 = 0.68 [0.66; 0.71], ideology λ x 2 = 0.66 [0.64; 0.69], experience λ x 3 = 0.76 [0.74; 0.78], private practice λ x 4 = 0.44 [0.42; 0.47], and public practice λ x 5 = 0.37 [0.33; 0.40]. Each of the bootstrap-CI is associated with a probability of p = 0.01.
Intercepts of the indicators can vary between 1.00 and 5.00. In the model estimation, they show a range between τ x 5 = 2.97 and τ x 2 = 4.03. The indicator of ideology has the highest value and the indicator of public practice the lowest. The intercept’s estimations are: intellect τ x 1 = 3.39 [3.36; 3.42], ideology τ x 2 = 4.03 [4.00; 4.05], experience τ x 3 = 3.43 [3.40; 3.46], private practice τ x 4 = 3.77 [3.73; 3.82], and public practice τ x 5 = 2.97 [2.94; 3.01]. For the intercepts, each of the bootstrap-CI is associated with a probability of p = 0.01.
The only allowed correlation of the residuals in the model is the one of private practice and public practice δ 45 = 0.31 [0.27; 0.33], p = 0.01.
The estimated variances of the residuals range between δ 2 = 0.33 and δ 5 = 1.64 with the lowest value for the residual of ideology and the highest for public practice. The variances are as follow: intellect δ 1 = 0.55 [0.52; 0.58], ideology δ 2 = 0.33 [0.31; 0.35], experience δ 3 = 0.45 [0.42; 0.48], private practice δ 4 = 1.61 [1.54; 1.69], and public practice δ 5 = 1.64 [1.56; 1.72], each with a probability level of p = 0.01. All reported parameter estimates (i.e., λ , τ , δ ) are significant on the p < 0.001 conventional level ( α = 0.05).
The indicator’s R 2 range between R x 3 2 = 0.58 and R x 5 2 = 0.13. The indicator of experience has the highest explained variance and the lowest goes to the indicator of public practice, each reported with a 95% bootstrap-CI: intellect R x 1 2 = 0.47 [0.44; 0.50], ideology R x 2 2 = 0.44 [0.41; 0.47], experience R x 3 2 = 0.58 [0.55; 0.61], private practice R x 4 2 = 0.20 [0.17; 0.22], and public practice R x 5 2 = 0.13 [0.11; 0.16], probability for each bootstrap-CI is p = 0.01. See Table A5 in Appendix B for an overview of the results.
The local strain modifications of χ 2 > 4 were only suggested for the covariances of the residuals, which we decided not to let correlate except for the covariance of the behavior-related indicators—private practice and public practice. Both of them constitute the less predictive part of the solution, but still have salient factor loadings and a substantial covariance between the residuals. The interpretability of the solution is only limited in the behavioral part of the model, i.e., private practice and public practice indicator, we review this point in the discussion.
Mean Difference between 2012 and 2018
For examining the latent mean difference between 2012 and 2018 we released the constraint of equal means, which was necessary for model identification in the first two steps (equal form and equal factor loadings); thus, only two models can be consulted for the latent mean difference as identified (equal indicator intercepts and equal error variances). Considering the estimation of equal error variances as fitting well with a CFI = 0.95, a TLI = 0.96, SRMR = not available6 and a RMSEA [90% CI] = 0.05 [0.044; 0.055], pclose = 0.60 globally, the model fits the data well as proposed by recommendations by Hu and Bentler (1999). The later fit is close to the model with both latent means constrained to zero. The latent mean difference shows an increase from 2012 to 2018 with κ 2018 κ 2012 = 0.11 ( φ 2012 = φ 2012 = 1 ).

3.1.6. CRSi-7

Global Fit
For the CRSi-7, a model with one factor and five indicators was calculated. The model’s overall fit is χ 2 = 26.71 with 4 degrees of freedom and 11 estimated parameters. The model’s overall goodness-of-fit is defined by the Comparative Fit Index (CFI), Tucker–Lewis index (TLI), Standardized Root Mean Square Residual (SRMR) and the Root Mean Squared Error of Approximation (RMSEA). A CFI = 0.99, a TLI = 0.97, a SRMR = 0.02 and a RMSEA [90% CI] = 0.06 [0.036; 0.075], pclose = 0.31 show that the model has a good fit according the recommendation by Hu and Bentler (1999). Only the CI of RMSEA crosses the defined upper limit of ≤ 0.06.
Local Fit
The model’s completely standardized factor loadings range from λ x 5 = 0.43 to λ x 3 = 0.74 with the highest value for the core dimension of experience and lowest for public practice. Each of the estimated parameters is reported here with a 95% bootstrap-CI in brackets and the associated probability: intellect λ x 1 = 0.63 [0.58; 0.67], p = 0.02, ideology λ x 2 = 0.62 [0.58; 0.66], p = 0.01, experience λ x 3 = 0.74 [0.70; 0.78], p = 0.01, private practice λ x 4 = 0.38 [0.32; 0.42], p = 0.02, and public practice λ x 5 = 0.35 [0.31; 0.41], p = 0.01.
One covariance of the residuals in the model was not restricted. It is the covariance of the residuals of private and public practice δ 45 = 0.31 [0.25; 0.34], p = 0.01. All reported parameter estimates (i.e., λ , δ ) are significant on the p < 0.001 conventional level ( α = 0.05).
The indicator’s explained variances range between R x 3 2 = 0.54 and R x 5 2 = 0.13. The indicator of experience has the highest explained variance and the lowest goes to the indicator of public practice, each reported with a 95% bootstrap-CI and the accompanying probability: intellect R x 1 2 = 0.39 [0.34; 0.45], p = 0.01, ideology R x 2 2 = 0.38 [0.34; 0.44], p = 0.02, experience R x 3 2 = 0.54 [0.49; 0.61], p = 0.01, private practice R x 4 2 = 0.14 [0.10; 0.17], p = 0.01, and public practice R x 5 2 = 0.13 [0.09; 0.16], p = 0.02. See Table A6 in Appendix B for an overview of the results.
Modification indices with χ 2 > 4 were recommended by the analytical software for the covariances of the residuals, which we decided to not let correlate, with the exception of the covariance of private and public practice indicators. Another recommendation was given for a factor loading between the indicators of private practice and ideology in both directions separately, with both modification indices χ 2 > 4. We review this point in the discussion.

4. Discussion

This paper presents three main results: firstly, two statistically validated, short versions of the scale (CRS-5 and CRSi-7) in the religious and cultural context of Georgia; secondly, an investigation of the latent structure of the five dimensions of the CRS by Confirmatory Factor Analysis based on samples from 2012 and 2018 that are representative for the Christian orthodox population of Georgia; thirdly, the norm values of both scales for future research.

4.1. Validation in the Context of Georgia

As mentioned in the introduction, Georgia, with its long-lasting Christian roots, has some particularities to be considered, e.g., the interwovenness of religion and national identity, high trust in religious institutions and their role in the everyday life of people and, therefore, their extension from macro to micro levels of society. Even if not discussed in detail, in this study these facts solidify the assessment of religiosity as a key construct in social scientific research in Georgia.
Generally, the Centrality of Religiosity can be straightforwardly assessed in Georgia with both the CRS-5 and the CRSi-7. The scales’ internal consistencies, according to Cronbach’s α , show acceptable to good values, with the lowest value α = 0.67 and the highest α = 0.73. Only in the sample from 2018, Cronbach’s α drops lower than α = 0.70—i.e., α = 0.67—in both short versions of the CRS. Therefore, we advocate for using longer versions of the CRS, or considering training for interviewers if applicable. Both steps heighten the probability of better data quality. Additionally, as no data were collected with the CRS-10, the CRS-15, the CRSi-14 or the CRSi-20, it would be a desirable next step to statistically validate their translation into Georgian.
If considered in detail, in the samples, the correlations of the indicators of the CRS range between r = 0.20 and r = 0.58 (cf. Table 4 and Table 5). These values evidence the operational expectancy that the core dimensions are moderately linked and have enough common variance. At the same time, correlations show that they are not too close to each other to consider one or more core dimensions to be redundant. This finding was mirrored in the CFA. Each of the five dimensions substantially contributes to the latent variable of centrality in both samples (2012 and 2018). In this regard Georgia has a comparable outcome to many of the countries of the Religion Monitor organized by the German Bertelsmann Foundation. Therefore, the researchers can run studies in Georgia with the CRS and draw conclusions on international analyses.
Through an inspection of correlations, two sub-clusters of religiosity can be recognized but not reconstructed via statistical methods in this study. One of them is religious beliefs and experience (intellect, ideology, and experience) and the other is religious behavior (private practice and public practice). Both assumed factors collapse into the factor of Centrality of Religiosity, as is shown by the EFAs. Further exploration of this issue can be undertaken by using a longer version of the CRS in research if desired. More on this topic will follow in the discussion of confirmatory factor analysis.
Even though no distinct behavioral factor shows up in the analysis, one particularity of Georgian believers has to be seriously considered. Especially in Georgia, people use churches and chapels in their everyday faith life as a place to stay shortly, pray and continue their daily businesses. This custom leads to proximity of the church environment and private religious practice. Thus, personal religious activity becomes mixed with the communal religious sphere. Believers may report their private religious habits in public places according to social desirability. A possible explanation is that—being activated in the semantical net—both private and public practice may be subject to conformity under the overarching idea of national identity. Such an influence gives rise to biased survey data. Interviewer effects can amplify the bias. Considering possible sources of data distortion and incompleteness, the differentiated measurement of religiosity should be multidimensional as claimed for more than half a century by the proposition of Glock and Stark (1966), and re-established by Huber (2003). Hence, we argue in favor of an extensive measurement. Saving time should not be a reason for incompletely constructed assessments. The short forms of the CRS were validated to save time in the first place. One major point stands out. If researches rely for example on the frequency of church attendance and private practice in Georgia, they make use of the weakest predictors according to the results in this study. To sum up briefly, an underestimation of Centrality of Religiosity—e.g., looking at the frequency of church attendance or prayer—would lead to inaccurate results in any domain of scientific investigation related to religion in Georgia.
Another major advantage of samples, like in this study, is their coverage of the majority of the population. The results of this study can be used as rough populational norms in Georgia. In combination with the reliability analyses and the result of longitudinal stability of the scale’s statistical coefficients (cf. Table 3, Table 4 and Table 5) provide a basis for further investigations in Georgia and for international comparisons. A minor concern is that the data in this study consists solely of the Orthodox majority of Georgia despite its religious plurality.

4.2. CRS Reliability

Analysis of the longitudinal stability of the measurement of centrality by CRS-5 shows that over a period of 6 years between 2012 and 2018, the scale is a consistent instrument. CRSi-7 has comparable model fit indices and parameter estimates. In general, both short versions provide evidence for the construct of Centrality of Religiosity with some minor cutbacks on behavioral indicators. We review the results in detail for each scale.

4.2.1. CRS-5

The widely known Cronbach’s α shows the viability of the CRS in an unpretentious way; however, it has widely known limitations. Reflecting on the model implications of Cronbach’s α —especially its τ —equivalence and requirement of uncorrelated error variances models in this study have to be evaluated in a different way. Samples from 2012 and 2018 do not contain the same participants. Thus, models with invariance constraints on different levels are calculated for reliability tests. Corrected for the measurement error in the CFA, the CRS-5 demonstrates high credibility by longitudinal invariance over 6 years. This means that the concept of Centrality of Religiosity is a reliable psychological construct.
Considered more closely, the final model with equality on factor loadings, indicator intercepts, indicator variances, and residual variances in 2012 and 2018, has its strengths and weaknesses. Based on EFAs that yield, in both samples, an overall satisfactory solution with only one factor with an eigenvalue higher than 1. The CFA verifies this factor as the assumed Centrality of Religiosity. The global fit indices for the estimation are acceptable at a conventional level allowing the interpretation of the individual parameters.
First, an argument for the residual covariation of the indicators of prayer and church attendance is presented. Ideally, there would be no need to let the residuals covariate, but we see this as well-founded in a one-factor model, where residual variances do not only consist of measurement error. The relatively high variances of the residuals of prayer and church attendance demonstrate that. Thus, we preserve the model with constrained residual variances that corroborates the covariance of residuals being stable at a δ 45 = 0.31 over time. The second argument is on the factor loadings. Any of the factor loadings have at least a salient presence in the manifest variables. For intellect, ideology, and experience the factor loadings can be interpreted as simple regression coefficients with medium to strong effect sizes (rs ranging from r x 2 = 0.66 to r x 3 = 0.76 ), explaining a substantial part of religious beliefs and experience systematically ( R 2 s ranging from 0.47 to 0.58). Particularly, experience shows its driving force for the Centrality of Religiosity in the Georgian context. No less than experience, cognitive occupation and relation with transcendence also contribute to the Centrality of Religiosity.
For the frequency of private and public practice, the factor loadings show relatively low values r x 4 = 0.44 and r x 5 = 0.37 , respectively (their R 2 s range from R x 4 2 = 0.20 to R x 4 2 = 0.13 ). Their validity still stays unquestioned but is belittled in the light of the other three indicators. Further investigations may use the longer CRS versions to establish a measurement model which has more indicators per core dimension. For thorough and detailed investigations, the CRS-15 and CRSi-20 are recommended. Then, the clusters of religious belief and experience and religious behavior will be reproduced by covariations between the latent variables of each core dimension. The same recommendations can be derived for the predictive power of the CRS. Longer versions consider more aspects of behavior than just frequency, i.e., importance and connectedness.
The reported indicator intercepts are conservative—in other words, more precise—mean estimations of each of the items of the core dimensions as they are corrected for the measurement error. Combined with the found latent mean difference of Δ κ = 0.11 we can conclude a small increase in the mean of Centrality of Religiosity in Georgia from 2012 to 2018. If needed, increases in each core dimension can be calculated separately by multiplying the factor loadings with the latent mean change and adding the product on the values of the 2012 indicator intercepts. With the established model, we can see that changes in intellect, ideology and experience are slightly underestimated, whereas changes in private and public practice are slightly overestimated by the composite scores: intellect Δ τ x 1 = 0.07 , ideology Δ τ x 2 = 0.01 , experience Δ τ x 3 = 0.03 , private practice Δ τ x 4 = 0.02 , public practice Δ τ x 5 = 0.06 . We do not consider these changes as substantial enough to discuss, but the amplitude of differences can quickly change according to the groups being analyzed; thus, practical implications of a substantial change are a desirable next step in further investigations. A third representative sample with a comparable sample size—around 2000 participants—in Georgia with an adequate time gap (e.g., starting from 2024) would allow for further investigations of scale reliability of the CRS-5 and the first invariance testing of the CRSi-7.

4.2.2. CRSi-7

The CRSi-7 was examined differently than the CRS-5. Because of a lacking second time point of assessment, no invariance test could be run. Despite this fact, the interreligious short version demonstrates comparable results as its shorter Abrahamitic equivalent. The two potential points of difference between the two scales are the core dimensions of experience and private practice. CRSi-7 offers the participants two additional questions. Before the analysis, both core dimensions receive the maximum value. The maximum is calculated from the items asking about the frequency of prayer or meditation. The same pattern applies for the item of religious experience asking about dialogic (God’s intervention in one’s life) or participative (connectedness with everything) familiarity. Following this logic, both dimensions should have higher factor loadings. A comparison of the parameter estimates shows that the estimation for the core dimension of experience in the CRS-5 fall within the 95% CI of the estimator in CRSi-7 and vice versa. While the core dimension of private practice is at the upper bound (superscript ub) of the confidence interval in the CRSi-7, it touches the lower bound (superscript lb) of the CI in CRS-5 ( λ x 4 c r s 5 l b = λ x 4 c r s i 7 u b = 0.42 ). The CIs of the covariance between the residuum of private and public practice overlap as well. The same can be said about the remaining factor loadings in the models. Thus, we can conclude that the CRSi-7 yields comparable results to the CRS-5 in the sample from 2018. One should not lose sight of one thing; the sample solely consists of orthodox Christians and practices such as meditation or an experience of being one with everything are not typical for this religious tradition. Our hypothesis on the equality of the result of both CRS version in this sample is confirmed.

4.3. Relation of the CRS-5 and the CRSi-7

Even though not mentioned explicitly as a study goal, the comparison of both scales is of interest. Considering the uniform Christian orthodox sample, it is not surprising to find both scales perform similarly in the statistical analyses. Means of the composite scores in 2018 almost do not differ—with CRS-5 with M = 3.59 , and CRSi-7 with M = 3.60 . Cronbach’s α s are identical α C R S 5 = α C R S i 7 = 0.67 . The correlations between the core dimensions for the CRS-5 and CRSi-7 do not differ by greater than 0.01; no favorable direction can be identified thus it seems to have a random character. In the EFA, CRSi-7 captures a little, but not substantial, more variance— R 2 = 32.10 % —in the data than CRS-5, at R 2 = 31.87 % . In the end, CFA showed that both scales are comparable in the Christian orthodox context of Georgia—see the discussion of CRSi-7 in the preceding paragraph. There seems to be no advantage of an interreligious version; therefore, for study economy, CRS-5 should be applied in dominantly Abrahamitic contexts.

5. Conclusions

In this study we show that (1) the CRS-5 has a valuable credibility for the assessment of the personal trait of religiosity; (2) the CRSi-7 delivers comparable results in Christian orthodox samples like the one in Georgia; (3) researchers can use the results as norms for further investigations in Georgia and likewise for international comparison; (4) the results of the CFA of the CRS-5 indicate a minor increase in the religiosity level in the country. Some critique is justified and is considered in the following paragraph.

Limitations and Strengths

For broad investigations of religiosity in Georgia, the short versions are limited. Therefore, longer versions should be evaluated statistically. Using the CRS-15 or the CRSi-20 would provide at least three indicators per core dimension, allowing a deeper investigation of the latent structure within the framework of a CFA. With a look at the relatively large variances of the residuals of private and public practice, which point towards higher heterogeneity in the population, longer versions offer an advantage to disentangle this block of variance. In our study, we allow the residuals of private and public practice to covariate here, by building a so-called minor factor. In our opinion, this covariation accounts adequately for the unexplained variance in the residuals of both factors. The random nature of these residual co-/variances is refuted in the invariance testing by showing a stable parameter estimate of δ 45 = 0.31 . Nonetheless, it is an essential indication of model fit and could lead to a rejection of the model if no residual covariances would be allowed in the model. Besides the discussion of statistical models, it is a limitation of the current study that the concept of CRS is not cross validated with other ways of measuring religiosity. Thus, external validity is not examined and no statements could be made upon this topic. Notwithstanding mentioned limitations, some major advantages of this empirical study stand out.
In this study, we collected data on Christian orthodox samples of the Georgian population, with sample sizes delivering sufficient statistical power. With this data, the concept of Centrality of Religiosity forms a stable factor that adequately explains the core dimensions of religiosity as postulated by Huber (2003). If the research focuses mainly on Christians, there is no additional benefit in using the CRSi-7 over the CRS-5. As longer versions are available, we recommend validating and using them wherever possible in the research related to religion in Georgia.

Author Contributions

Conceptualization, S.H.; Data curation, E.M. and I.B.; Formal analysis, M.A. and E.M.; Funding acquisition, I.B. and S.H.; Investigation, E.M. and I.B.; Methodology, M.A.; Project administration, I.B. and S.H.; Resources, S.H.; Supervision, I.B. and S.H.; Validation, S.H.; Writing—original draft, M.A. and E.M.; Writing—review & editing, M.A. and S.H. All authors have read and agreed to the published version of the manuscript.

Funding

This research was funded by Shota Rustaveli National Science Foundation of Georgia (grant number N217704), and by Swiss National Science Foundation (grant number IZLRZ1_163880). The APC was funded by Swiss National Science Foundation (grant number IZLRZ1_163880).

Conflicts of Interest

The authors declare no conflicts of interest.

Appendix A. Items of English and Georgian Versions of the CRS

Table A1. Items of the CRS shared by the short, intermediate and long versions.
Table A1. Items of the CRS shared by the short, intermediate and long versions.
DimensionItems for Both the Basic and Interreligious VersionsBasic VersionsAdditional Items for the Interreligious VersionsInterreligious Versions
Intellect 01: How often do you think about religious issues?
01: რამდენად ხშირად ჩაფიქრებულხართ რელიგიასა და მასთან დაკავშირებულ საკითხებზე?
CRC-5CRS-10CRS-15 CRSi-7CRSi-14CRSi-20
Ideology 02: To what extent do you believe that God or something divine exists?
02: რამდენად ძლიერად გწამთ ღმერთის ან რაღაც ღვთიურის?
Public practice03: How often do you take part in religious services?
03: რა სიხშირით იღებთ მონაწილეობას რელიგიურ მსახურებებში?
Private practice 04: How often do you pray?
04: რა სიხშირით ლოცულობთ?
04b: How often do you meditate?
04b: რა სიხშირით მედიტირებთ?
Experience 05: How often do you experience situations in which you have the feeling that God or something divine intervenes in your life?
05: რამდენად ხშირად ყოფილხართ ისეთ სიტუაციაში, როდესაც იგრძენით, რომ თქვენს ცხოვრებაზე ღმერთი ან რაღაც ღვთიური ახდენდა გავლენას?
05b: How often do you experience situations in which you have the feeling that you are in one with all?
05b: რამდენად ხშირად ყოფილხართ ისეთ სიტუაციაში, როდესაც იგრძენით, რომ თქვენ და სამყარო ხართ ერთი მთლიანი?
Note. CRS–Centrality of Religiosity Scale, CRSi—interreligious CRS, light grey marks the items of the short versions, semi-dark grey marks the items of the intermediate versions, dark grey marks the items of the long versions. See Table A2 and Table A3 for the listing of the items of the intermediate and long versions.
Table A2. Items of the CRS shared by the intermediate and long versions.
Table A2. Items of the CRS shared by the intermediate and long versions.
DimensionItems for Both the Basic and Interreligious VersionsBasic VersionsAdditional Items for the Interreligious VersionsInterreligious Versions
Intellect 06: How interested are you in learning more about religious topics?
06: რამდენად გაინტერესებთ რომ უფრო მეტი შეიტყოთ რელიგიურ საკითხებზე?
CRS-10CRS-15 CRSi-14CRSi-20
Ideology 07: To what extend do you believe in an afterlife—e.g., immortality of the soul, resurrection of the dead or reincarnation?
07: რამდენად ძლერად გწამთ სიკვდილის შემდგომ სიცოცხლის - მაგ.: სულის უკვდავების, მკვდრეთით აღდგომის ან რეინკარნაციის?
Public practice08: How important is to take part in religious services?
08: რამდენად მნიშვნელოვანია რელიგიურ მსახურებებში მონაწილეობის მიღება?
Private practice 09: How important is personal prayer for you?
09: რამდენად მნიშვნელოვანია თქვენთვის პირადი ლოცვები?
09b: How important is meditation for you?
09b: რამდენად მნიშვნელოვანია თქვენთვის მედიტაცია?
Experience 10: How often do you experience situations in which you have the feeling that God or something divine wants to communicate or to reveal something to you?
10: რამდენად ხშირად ყოფილხართ სიტუაციაში, როდესაც იგრძენით რომ ღმერთს ან რაღაც ღვთიურს სურს თქვენთან კომუნიკაცია, რაღაცის გაცხადება?
10b: How often do you experience situations in which you have the feeling that you are touched by a divine power?
10b: რამდენად ხშირად ყოფილხართ სიტუაციაში, როდესაც იდგრძენით რაღაც ღვთიური ძალის შეხება?
Note. CRS–Centrality of Religiosity Scale, CRSi—interreligious CRS, semi-dark grey marks the items of the intermediate versions, dark grey marks the items of the long versions. See Table A1 for items shared by all versions of the CRS. See Table A3 for the listing of the items of the long versions.
Table A3. Items of the CRS shared by the long versions.
Table A3. Items of the CRS shared by the long versions.
DimensionItems for Both the Basic and Interreligious VersionsBasic VersionsAdditional Items for the Interreligious VersionsInterreligious Versions
Intellect 11: How often do you keep yourself informed about religious questions through radio, television, internet, newspapers, or books?
11: რამდენად ხშირად იღებთ რელიგიურ საკითხებზე ინფორმაციას ისეთი წყაროებიდან როგორიცაა: რადიო, ტელევიზია, ინტერნეტი, გაზეთები ან წიგნები?
CRS-15 CRSi-20
Ideology 12: In your opinion, how probable is it that a higher power really exists?
12: თქვენი აზრით, რამდენად შესაძლებელია, რომ მართლაც არსებობს უმაღლესი ძალა?
Public practice13: How important is it for you to be connected to a religious community?
13: რამდენად მნიშვნელოვანია თქვენთვის გქონდეთ კავშირი მრევლთან?
Private practice 14: How often do you pray spontaneously when inspired by daily situations?
14: რამდენად ხშირად ლოცულობთ სპონტანურად, ყოველდღიური სიტუაციიდან გამომდინარე?
14b: How often do you try to connect to the divine spontaneously when inspired by daily situations?
14 b: რამდენად ხშირად ცდილობთ დაუკავშირდეთ რაღაც ღვთიურს, სპონტანურად, ყოველდღიური სიტუაციიდან გამომდინარე?
Experience 15: How often do you experience situations in which you have the feeling that God or something divine is present?
15: რამდენად ხშირად ყოფილხართ სიტუაციაში, როდესაც იგრძენით რომ ღმერთი ან რაღაც ღვთიური თქვენთან იმყოფება?
Note. CRS–Centrality of Religiosity Scale, CRSi—interreligious CRS, dark grey marks the items of the long versions. See Table A1 and Table A2 for the items shared by short and intermediate versions of the CRS.

Appendix B. Results of the Confirmatory Factor Analyses

Table A4. Comparison of nested models for the CRS-5 between 2012 and 2018.
Table A4. Comparison of nested models for the CRS-5 between 2012 and 2018.
Invariance LevelNpar χ 2 df Δ χ 2 Δ   df RMSEA [90% CI]pcloseSRMRCFITLI
Equal form3250.228 0.036 [0.027; 0.046]0.990.020.990.98
Equal factor loadings2773.591323.3850.034 [0.026; 0.041]1.000.030.990.98
Equal intercepts21113.131939.5460.035 [0.029; 0.041]1.00NA0.980.98
Equal residual variances16259.0924145.9550.049 [0.044; 0.054]0.63NA0.950.96
Note. Models are nested in descending order. N—sample size; Npar—number of estimated parameters; df—degrees of freedom; χ 2 —chi-square; SRMR—standardized root mean square residual; CFI—comparative fit index; TLI—Tucker–Lewis index; RMSEA—root mean square error of approximation; CI—confidence interval; pclose—probability value of the Close Fit-function proposed by (Browne and Cudeck 1993), NA—not applicable, the SRMR is not available as soon as means and intercepts are estimated by the AMOS software.
Table A5. Results of the Confirmatory Factor Analysis of the CRS-5 invariance examination.
Table A5. Results of the Confirmatory Factor Analysis of the CRS-5 invariance examination.
Designation Factor   Loading λ Indicator   Intercept τ Squared   Correlation R 2 Residual   Variance δ
estimate [95% CI]estimate [95% CI]estimate [95% CI]estimate [95% CI]
intellect x 1 0.68 [0.66; 0.71]3.39 [3.36; 3.42]0.47 [0.44; 0.50]0.55 [0.52; 0.58]
ideology x 2 0.66 [0.64; 0.69]4.03 [4.00; 4.05]0.44 [0.41; 0.47]0.33 [0.31; 0.35]
experience x 3 0.76 [0.74; 0.78]3.43 [3.40; 3.46]0.58 [0.55; 0.61]0.45 [0.42; 0.48]
private practice x 4 0.44 [0.42; 0.47]3.77 [3.73; 3.82]0.20 [0.17; 0.22]1.61 [1.54; 1.69]
public practice x 5 0.37 [0.33; 0.40]2.97 [2.94; 3.01]0.13 [0.11; 0.16]1.64 [1.56; 1.72]
Note. Results from the model with equal residual variances are presented. CI—confidence interval. Covariance of the residuals of private and public practice is δ 45 = 0.31 [0.27; 0.33]. All other covariances of residuals are fixed to zero. All estimates are significant at p < 0.001 level. Confidence intervals are calculated via bootstrapping with 200 drawings. All presented bootstrap-CIs are associated with a significance level of p = 0.01.
Table A6. Results of the Confirmatory Factor Analysis of the CRSi-7.
Table A6. Results of the Confirmatory Factor Analysis of the CRSi-7.
DesignationFactor Loading λ Squared Correlation R 2
estimate [95% CI]p of CIestimate [95% CI]p of CI
intellect x 1 0.63 [0.58; 0.02]0.020.39 [0.02; 0.45]0.01
ideology x 2 0.62 [0.58; 0.01]0.010.38 [0.01; 0.44]0.02
experience x 3 0.74 [0.70; 0.01]0.010.54 [0.01; 0.61]0.01
private practice x 4 0.38 [0.32; 0.02]0.020.14 [0.02; 0.17]0.01
public practice x 5 0.35 [0.31; 0.01]0.010.13 [0.01; 0.16]0.02
Note. CI—confidence interval. Covariance of the residuals of private and public practice is δ 45 = 0.30 [0.25; 0.34]. All other covariances of residuals are fixed to zero. All estimates are significant at p < 0.001 level. Confidence intervals are calculated via bootstrapping with 200 drawings.

References

  1. Allport, Gordon W., and J. Michael Ross. 1967. Personal religious orientation and prejudice. Journal of Personality and Social Psychology 5: 432. [Google Scholar] [CrossRef] [PubMed]
  2. Browne, Michael W., and Robert Cudeck. 1993. Alternative ways of assessing model fit. In Testing Structural Equation Models. Edited by Kenneth A. Bollen and J. Scott Long. Newbury Park: SAGE Publications, pp. 136–50. [Google Scholar]
  3. Esperandio, Mary Rute Gomes, Hartmut August, Juan José Camou Viacava, Stefan Huber, and Márcio Luiz Fernandes. 2019. Brazilian Validation of Centrality of Religiosity Scale (CRS-10BR and CRS-5BR). Religions 10: 508. [Google Scholar] [CrossRef]
  4. Fradelos, Evangelos C., Michael Kourakos, Sofia Zyga, Foteini Tzavella, Konstantinos Tsaras, Eleni Christodoulou, Aristides Daglas, and Ioanna V Papathanasiou. 2018. Measuring Religiosity in Nursing: Reliability, Validity and Psychometric Properties of the Greek Translation of the Centrality of Religiosity Scale-15. American Journal of Nursing 7: 25–32. [Google Scholar]
  5. Glock, Charles Y., and Rodney Stark. 1966. Christian Beliefs and Anti-Semitism, 1st ed. New York: Harper & Row. [Google Scholar]
  6. Hackett, Conrad, and Marcin Stonawski. 2017. The Changing Global Religious Landscape. Pew Research Center—Religion & Public Life. Available online: https://www.pewforum.org/2017/04/05/the-changing-global-religious-landscape/ (accessed on 22 January 2020).
  7. Hill, Peter C., and Ralph W. Hood, Jr. 1999. Measures of Religiosity. Birmingham: Religious Education Press. [Google Scholar]
  8. Hu, Li-tze, and Peter M. Bentler. 1999. Cutoff Criteria for Fit Indexes in Covariance Structure Analysis: Conventional Criteria Versus New Alternatives. Structural Equation Modeling: A Multidisciplinary Journal 6: 1–55. [Google Scholar] [CrossRef]
  9. Huber, Stefan. 2003. Zentralität und Inhalt. Ein neues multidimensionales Messinstrument der Religiosität. Opladen: Leske & Budrich, vol. 9. [Google Scholar]
  10. Huber, Stefan, and Odilo W. Huber. 2012. The Centrality of Religiosity Scale (CRS). Religions 3: 710–24. [Google Scholar] [CrossRef]
  11. Huza, Gheorghe. 2019. The Psychometric Properties of a Romanian Version of the Centrality of Religiosity Scale (CRS 15). Religions 10: 11. [Google Scholar]
  12. Murken, Sebastian, and Sussan Namini. 2006. Religionspsychologie. In Handbuch Psychologie: Wissenschaft–Anwendung–Berufsfelder. Edited by Kurt Pawlik. Heidelberg: Springer, pp. 903–10. [Google Scholar]
  13. Shavishvili, Paata. 2016. 2014 General Population Census. Tbilisi: National Statistics Office of Georgia (GEOSTAT). [Google Scholar]
  14. Streib, Heinz, and Ralph W. Hood, Jr. 2016. Semantics and Psychology of Spirituality: A Cross-Cultural Analysis. Cham, Heidelberg, New York, Dordrecht, and London: Springer International Publishing. [Google Scholar]
  15. Sumbadze, Nana, Erekle Maglakelidze, Anna Menagarishwili, and Shalva Abzianidze. 2016. Sacralization of Politics in the Context of Modern Georgia. European Scientific Journal, 204–14. [Google Scholar]
  16. Zarzycka, Beata. 2007. Skala Centralności Religijności Stefana Hubera. Roczniki Psychologiczne 10: 133–57. [Google Scholar]
  17. Zhang, Zhiyong, and Ke-Hai Yuan. 2016. Robust Coefficients Alpha and Omega and Confidence Intervals With Outlying Observations and Missing Data: Methods and Software. Educational and Psychological Measurement 76: 387–411. [Google Scholar] [CrossRef]
1
For an overview about the worldwide applications of the CRS see: https://www.ier.unibe.ch/forschung/centrality_of_religiosity_scale_crs/index_ger.html.
2
CRSi-7 was not applied in the year 2012.
3
Corresponding McDonald’s ω = 0.72 , calculated by a method suggested by (Zhang and Yuan 2016).
4
Corresponding McDonald’s ω = 0.65 , calculated by a method suggested by (Zhang and Yuan 2016).
5
Corresponding McDonald’s ω = 0.66 , calculated by a method suggested by (Zhang and Yuan 2016).
6
SRMR is not available in AMOS as soon as means and intercepts have to be estimated by the software, which happens here with the release of one of the mean constraints.
Figure 1. Symbolic picture of the basic model for the CRS. “int”—intelligence, “ide”—ideology, “exp”—experience, “pra”-private practice, “ser”—church attendance. Small circles depict residual variances, squares depict indicators, curved lines show covariances, straight lines show regressions.
Figure 1. Symbolic picture of the basic model for the CRS. “int”—intelligence, “ide”—ideology, “exp”—experience, “pra”-private practice, “ser”—church attendance. Small circles depict residual variances, squares depict indicators, curved lines show covariances, straight lines show regressions.
Religions 11 00057 g001
Figure 2. Symbolic picture of centrality or religiosity as a second-level factor with the 5 dimensions of the CRS. Small circles depict residual variances, squares depict indicators. “int”—intelligence, “ide”—ideology, “exp”—experience, “pra”—private practice, “ser”—church attendance. Small circles depict residual variances, squares depict indicators, curved lines show covariances, straight lines show regressions.
Figure 2. Symbolic picture of centrality or religiosity as a second-level factor with the 5 dimensions of the CRS. Small circles depict residual variances, squares depict indicators. “int”—intelligence, “ide”—ideology, “exp”—experience, “pra”—private practice, “ser”—church attendance. Small circles depict residual variances, squares depict indicators, curved lines show covariances, straight lines show regressions.
Religions 11 00057 g002
Table 1. Answer categories of CRS and their interpretation.
Table 1. Answer categories of CRS and their interpretation.
ScoreWordingHermeneutics
FrequencyImportancePresence of Personal Constructs in Personality
Categories of a five-level Likert-answer scale5Very oftenVery much soClear Presence
4OftenQuite a bit
3OccasionallyModeratelyTransition area: background presence
2RarelyNot very muchNo or only marginal presence
1NeverNot at all
Table 2. Samples of the Georgian Christian orthodox population in 2012 and 2018. Descriptive statistic on number of participants, gender, age, and education.
Table 2. Samples of the Georgian Christian orthodox population in 2012 and 2018. Descriptive statistic on number of participants, gender, age, and education.
20122018
Sample Size22381906
Gender (Women in %)58.3%55.5%
Age (Mean; SD)46.1; 18.648.5; 16.4
EducationSecondary 34%39%
Professional27%23%
Tertiary37%38%
Table 3. Means and standard deviations and mean difference between 2018 and 2012 of core dimensions of the CRS-5 and the CRSi-7 and the composite scores of the Christian orthodox samples in Georgia.
Table 3. Means and standard deviations and mean difference between 2018 and 2012 of core dimensions of the CRS-5 and the CRSi-7 and the composite scores of the Christian orthodox samples in Georgia.
20122018Difference
MeanSDMeanSDMeanSD
Ideology3.960.774.090.770.130.00
Intellect3.371.033.391.030.020.00
Experience3.391.053.481.020.09−0.03
Private practice3.711.463.841.360.13−0.10
Public practice2.881.513.071.190.19−0.32
CRS-53.460.833.590.710.13−0.12
CRSi-72--3.600.71--
Note. CRS—Centrality of Religiosity Scale, CRSi—interreligious CRS, SD—standard deviation. Range for each dimension and composite scores goes from 1 to 5. The difference is calculated by subtracting the value of 2012 from the value of 2018.
Table 4. Correlations of the core dimensions of the CRS-5 in the Christian orthodox samples in the years 2012 and 2018.
Table 4. Correlations of the core dimensions of the CRS-5 in the Christian orthodox samples in the years 2012 and 2018.
CRS-5IdeologyIntellectExperiencePrivate Practice
Ideology0.67/0.62
Intellect0.71/0.660.49/0.36
Experience0.71/0.700.54/0.450.58/0.47
Private practice0.76/0.690.39/0.280.35/0.210.36/0.26
Public practice0.70/0.660.27/0.230.29/0.250.26/0.250.43/0.38
Note. CRS—Centrality of Religiosity Scale. All listed correlations are significant on the p < 0.001 level. In each cell, the first correlation coefficient refers to the data from the year 2012, the second to 2018.
Table 5. Correlations of the core dimensions of the CRSi-7 in the Christian orthodox sample in the year 2018.
Table 5. Correlations of the core dimensions of the CRSi-7 in the Christian orthodox sample in the year 2018.
CRSi-7IdeologyIntellectExperiencePrivate Practice
Ideology0.62
Intellect0.650.36
Experience0.690.450.48
Private practice0.700.280.200.25
Public practice0.670.230.240.240.39
Note. CRSi—interreligious Centrality of Religiosity Scale. All listed correlations are significant on the p < 0.001 level.
Table 6. Findings of the exploratory factor analyses for CRS-5 and CRSi-7 in 2012 and 2018.
Table 6. Findings of the exploratory factor analyses for CRS-5 and CRSi-7 in 2012 and 2018.
Year (Version)NKMOBartlett’s Sphericity χ 2 pdfFactors with Eigenvalue > 1Explained Variance
2012 (CRS-5)22380.772847.77<0.00110140.81%
2018 (CRS-5)19060.731439.89<0.00110131.87%
2018 (CRSi-7)18350.721520.01<0.00110132.10%
Note. CRS—Centrality of Religiosity Scale, CRSi—interreligious CRS, N—sample size, KMO—Kaiser–Meyer–Olkin criterion, p—probability level, df—degrees of freedom.

Share and Cite

MDPI and ACS Style

Ackert, M.; Maglakelidze, E.; Badurashvili, I.; Huber, S. Validation of the Short Forms of the Centrality of Religiosity Scale in Georgia. Religions 2020, 11, 57. https://doi.org/10.3390/rel11020057

AMA Style

Ackert M, Maglakelidze E, Badurashvili I, Huber S. Validation of the Short Forms of the Centrality of Religiosity Scale in Georgia. Religions. 2020; 11(2):57. https://doi.org/10.3390/rel11020057

Chicago/Turabian Style

Ackert, Michael, Erekle Maglakelidze, Irina Badurashvili, and Stefan Huber. 2020. "Validation of the Short Forms of the Centrality of Religiosity Scale in Georgia" Religions 11, no. 2: 57. https://doi.org/10.3390/rel11020057

APA Style

Ackert, M., Maglakelidze, E., Badurashvili, I., & Huber, S. (2020). Validation of the Short Forms of the Centrality of Religiosity Scale in Georgia. Religions, 11(2), 57. https://doi.org/10.3390/rel11020057

Note that from the first issue of 2016, this journal uses article numbers instead of page numbers. See further details here.

Article Metrics

Back to TopTop