Pre- and Post-Vaccination Measles Antibody and Persistence Up to 5 Years of Age Among Early ART-Treated HIV-Infected, HIV-Exposed Uninfected and HIV-Unexposed Children in Cameroon
Abstract
1. Introduction
2. Materials and Methods
2.1. Data Source: The ANRS 12140/12225—Pediacam Study
2.2. Measles Vaccine Schedule at the Time of the ANRS 12225—Pediacam III Cohort Study
2.3. Study Participants
2.4. Main Outcome and Principal Exposure Definitions
2.5. Statistical Analysis
3. Results
3.1. Study Population
3.2. Feasibility of the Measles Immunization Schedule
3.3. Pre-Vaccination Antimeasles Virus Antibody Among Children’s Groups
3.4. Humoral Immunogenicity After Measles Vaccination
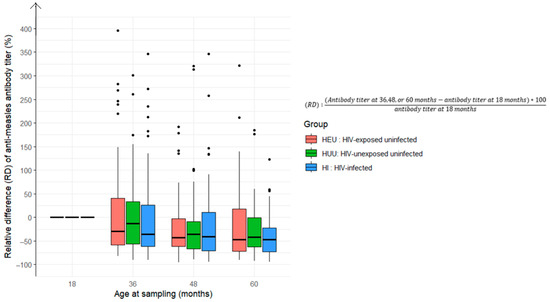
3.5. Persistence of Antimeasles Antibodies Among Children Up to 60 Months
4. Discussion
5. Conclusions
Author Contributions
Funding
Institutional Review Board Statement
Informed Consent Statement
Data Availability Statement
Acknowledgments
Conflicts of Interest
Abbreviations
| MCV | Measles-containing vaccine |
| ELISA | Enzyme immunoassay |
| GMC | Geometric mean concentration |
References
- World Health Organization. Measles Vaccines: WHO Position Paper, April 2017—Recommendations. Vaccine 2019, 37, 219–222. [Google Scholar] [CrossRef] [PubMed]
- Conis, E. Measles and the Modern History of Vaccination. Public Health Rep. 2019, 134, 118–125. [Google Scholar] [CrossRef] [PubMed]
- Minta, A.A. Progress Toward Measles Elimination—Worldwide, 2000–2023. MMWR Morb. Mortal. Wkly. Rep. 2024, 73, 1036–1042. [Google Scholar] [CrossRef]
- New UNAIDS Report Shows AIDS Pandemic Can Be Ended by 2030, but Only If Leaders Boost Resources and Protect Human Rights Now|UNAIDS. Available online: https://www.unaids.org/en/resources/presscentre/pressreleaseandstatementarchive/2024/july/20240722_global-aids-update (accessed on 4 April 2025).
- Gastañaduy, P.A.; Banerjee, E.; DeBolt, C.; Bravo-Alcántara, P.; Samad, S.A.; Pastor, D.; Rota, P.A.; Patel, M.; Crowcroft, N.S.; Durrheim, D.N. Public Health Responses during Measles Outbreaks in Elimination Settings: Strategies and Challenges. Hum. Vaccin. Immunother. 2018, 14, 2222–2238. [Google Scholar] [CrossRef]
- Hübschen, J.M.; Gouandjika-Vasilache, I.; Dina, J. Measles. Lancet 2022, 399, 678–690. [Google Scholar] [CrossRef]
- Siegfried, N.; Wiysonge, C.S.; Pienaar, D. Too Little, Too Late: Measles Epidemic in South Africa. Lancet 2010, 376, 160. [Google Scholar] [CrossRef]
- PEV: Historiques. Available online: https://www.pevcameroon.com/a-propos/histoire/ (accessed on 24 February 2025).
- WHO Immunization Data Portal—Detail Page. Available online: https://immunizationdata.who.int/global/wiise-detail-page (accessed on 17 July 2024).
- 12018 DEMOGRAPHIC AND HEALTH SURVEY–Institut National de La Statistique Du Cameroun. Available online: https://ins-cameroun.cm/en/statistique/english-2018-demographic-and-health-survey/ (accessed on 5 May 2025).
- CNLS|NACC—Rapports Annuels. Available online: http://www.cnls.cm/catdocument/rapports-annuels (accessed on 20 May 2025).
- Kaw, S.; Ananth, S.; Tsopoulidis, N.; Morath, K.; Coban, B.M.; Hohenberger, R.; Bulut, O.C.; Klein, F.; Stolp, B.; Fackler, O.T. HIV-1 Infection of CD4 T Cells Impairs Antigen-Specific B Cell Function. EMBO J. 2020, 39, e105594. [Google Scholar] [CrossRef]
- Nair, N.; Moss, W.J.; Scott, S.; Mugala, N.; Ndhlovu, Z.M.; Lilo, K.; Ryon, J.J.; Monze, M.; Quinn, T.C.; Cousens, S.; et al. HIV-1 Infection in Zambian Children Impairs the Development and Avidity Maturation of Measles Virus-Specific Immunoglobulin G after Vaccination and Infection. J. Infect. Dis. 2009, 200, 1031–1038. [Google Scholar] [CrossRef]
- Mehtani, N.J.; Rosman, L.; Moss, W.J. Immunogenicity and Safety of the Measles Vaccine in HIV-Infected Children: An Updated Systematic Review. Am. J. Epidemiol. 2019, 188, 2240–2251. [Google Scholar] [CrossRef]
- Madhi, S.A.; Koen, A.; Cutland, C.; Groome, M.; Santos-Lima, E. Antibody Persistence and Booster Vaccination of a Fully Liquid Hexavalent Vaccine Coadministered with Measles/Mumps/Rubella and Varicella Vaccines at 15–18 Months of Age in Healthy South African Infants. Pediatr. Infect. Dis. J. 2013, 32, 889–897. [Google Scholar] [CrossRef]
- Simani, O.E.; Adrian, P.V.; Violari, A.; Kuwanda, L.; Otwombe, K.; Nunes, M.C.; Cotton, M.F.; Madhi, S.A. Effect of In-Utero HIV Exposure and Antiretroviral Treatment Strategies on Measles Susceptibility and Immunogenicity of Measles Vaccine. AIDS 2013, 27, 1583–1591. [Google Scholar] [CrossRef] [PubMed]
- Slogrove, A.L.; Goetghebuer, T.; Cotton, M.F.; Singer, J.; Bettinger, J.A. Pattern of Infectious Morbidity in HIV-Exposed Uninfected Infants and Children. Front. Immunol. 2016, 7, 164. [Google Scholar] [CrossRef] [PubMed]
- Ruck, C.; Reikie, B.A.; Marchant, A.; Kollmann, T.R.; Kakkar, F. Linking Susceptibility to Infectious Diseases to Immune System Abnormalities among HIV-Exposed Uninfected Infants. Front. Immunol. 2016, 7, 310. [Google Scholar] [CrossRef]
- Shivakoti, R.; Slogrove, A.L.; Laughton, B.; Shafiq, M.; Schoeman, E.; Glashoff, R.H.; Leu, C.-S.; Wang, S.; Bode, L.; Aldrovandi, G.; et al. Mitigating Infectious Morbidity and Growth Deficits in HIV-Exposed Uninfected infanTs with Human Milk Oligosaccharide (MIGH-T MO): A Randomised Trial Protocol. BMJ Open 2022, 12, e069116. [Google Scholar] [CrossRef]
- Afran, L.; Garcia Knight, M.; Nduati, E.; Urban, B.C.; Heyderman, R.S.; Rowland-Jones, S.L. HIV-Exposed Uninfected Children: A Growing Population with a Vulnerable Immune System? Clin. Exp. Immunol. 2014, 176, 11–22. [Google Scholar] [CrossRef]
- Abu-Raya, B.; Kollmann, T.R.; Marchant, A.; MacGillivray, D.M. The Immune System of HIV-Exposed Uninfected Infants. Front. Immunol. 2016, 7, 383. [Google Scholar] [CrossRef]
- Abramczuk, B.M.; Mazzola, T.N.; Moreno, Y.M.F.; Zorzeto, T.Q.; Quintilio, W.; Wolf, P.S.; Blotta, M.H.; Morcillo, A.M.; da Silva, M.T.N.; Dos Santos Vilela, M.M. Impaired Humoral Response to Vaccines among HIV-Exposed Uninfected Infants. Clin. Vaccine Immunol. 2011, 18, 1406–1409. [Google Scholar] [CrossRef]
- Jones, C.E.; Naidoo, S.; De Beer, C.; Esser, M.; Kampmann, B.; Hesseling, A.C. Maternal HIV Infection and Antibody Responses against Vaccine-Preventable Diseases in Uninfected Infants. JAMA 2011, 305, 576–584. [Google Scholar] [CrossRef] [PubMed]
- Falconer, O.; Newell, M.-L.; Jones, C.E. The Effect of Human Immunodeficiency Virus and Cytomegalovirus Infection on Infant Responses to Vaccines: A Review. Front. Immunol. 2018, 9, 328. [Google Scholar] [CrossRef]
- Mutsaerts, E.A.M.L.; Nunes, M.C.; van Rijswijk, M.N.; Klipstein-Grobusch, K.; Grobbee, D.E.; Madhi, S.A. Safety and Immunogenicity of Measles Vaccination in HIV-Infected and HIV-Exposed Uninfected Children: A Systematic Review and Meta-Analysis. EClinicalMedicine 2018, 1, 28–42. [Google Scholar] [CrossRef]
- Tejiokem, M.C.; Faye, A.; Penda, I.C.; Guemkam, G.; Ateba Ndongo, F.; Chewa, G.; Rekacewicz, C.; Rousset, D.; Kfutwah, A.; Boisier, P.; et al. Feasibility of Early Infant Diagnosis of HIV in Resource-Limited Settings: The ANRS 12140-PEDIACAM Study in Cameroon. PLoS ONE 2011, 6, e21840. [Google Scholar] [CrossRef] [PubMed]
- Tejiokem, M.C.; Warszawski, J.; Ateba Ndongo, F.; Tetang Ndiang, S.; Ndongo, J.A.; Owona, F.; Ngoupo, P.A.; Tchendjou, P.; Kfutwah, A.; Penda, I.C.; et al. Feasibility of Routinely Offering Early Combined Antiretroviral Therapy to HIV-Infected Infants in a Resource-Limited Country: The ANRS-PediaCAM Study in Cameroon. Pediatr. Infect. Dis. J. 2015, 34, e248–e253. [Google Scholar] [CrossRef] [PubMed]
- Sofeu, C.L.; Tejiokem, M.C.; Penda, C.I.; Protopopescu, C.; Ateba Ndongo, F.; Tetang Ndiang, S.; Guemkam, G.; Warszawski, J.; Faye, A.; Giorgi, R.; et al. Early Treated HIV-Infected Children Remain at Risk of Growth Retardation during the First Five Years of Life: Results from the ANRS-PEDIACAM Cohort in Cameroon. PLoS ONE 2019, 14, e0219960. [Google Scholar] [CrossRef]
- Slogrove, A.L.; Powis, K.M.; Johnson, L.F.; Stover, J.; Mahy, M. Global Estimates of Children HIV Exposed and Uninfected in the Evolving HIV Epidemic: 2000 to 2018. Lancet Glob. Health 2020, 8, e67–e75. [Google Scholar] [CrossRef]
- Siberry, G.K.; Patel, K.; Bellini, W.J.; Karalius, B.; Purswani, M.U.; Burchett, S.K.; Meyer, W.A.; Sowers, S.B.; Ellis, A.; Van Dyke, R.B.; et al. Immunity to Measles, Mumps, and Rubella in US Children With Perinatal HIV Infection or Perinatal HIV Exposure Without Infection. Clin. Infect. Dis. 2015, 61, 988–995. [Google Scholar] [CrossRef]
- Mutsaerts, E.A.M.L.; Nunes, M.C.; van Rijswijk, M.N.; Klipstein-Grobusch, K.; Otwombe, K.; Cotton, M.F.; Violari, A.; Madhi, S.A. Measles Immunity at 4.5 Years of Age Following Vaccination at 9 and 15-18 Months of Age Among Human Immunodeficiency Virus (HIV)-Infected, HIV-Exposed-Uninfected, and HIV-Unexposed Children. Clin. Infect. Dis. 2019, 69, 687–696. [Google Scholar] [CrossRef]
- Nic Lochlainn, L.M.; de Gier, B.; van der Maas, N.; Strebel, P.M.; Goodman, T.; van Binnendijk, R.S.; de Melker, H.E.; Hahné, S.J.M. Immunogenicity, Effectiveness, and Safety of Measles Vaccination in Infants Younger than 9 Months: A Systematic Review and Meta-Analysis. Lancet Infect. Dis. 2019, 19, 1235–1245. [Google Scholar] [CrossRef]
- Chandwani, S.; Beeler, J.; Li, H.; Audet, S.; Smith, B.; Moye, J.; Nalin, D.; Krasinski, K. Safety and Immunogenicity of Early Measles Vaccination in Children Born to HIV-Infected Mothers in the United States: Results of Pediatric AIDS Clinical Trials Group (PACTG) Protocol 225. J. Infect. Dis. 2011, 204, S179–S189. [Google Scholar] [CrossRef]
- Haban, H.; Benchekroun, S.; Sadeq, M.; Tajounte, L.; Ahmed, H.J.; Benjouad, A.; Amzazi, S.; Oumzil, H.; Elharti, E. Seroprevalence of Measles Vaccine Antibody Response in Vertically HIV-Infected Children, in Morocco. BMC Infect. Dis. 2018, 18, 680. [Google Scholar] [CrossRef]
- Halsey, N.A.; Boulos, R.; Mode, F.; Andre, J.; Bowman, L.; Yaeger, R.G.; Toureau, S.; Rohde, J.; Boulos, C. Response to Measles Vaccine in Haitian Infants 6 to 12 Months Old. Influence of Maternal Antibodies, Malnutrition, and Concurrent Illnesses. N. Engl. J. Med. 1985, 313, 544–549. [Google Scholar] [CrossRef] [PubMed]
- Cohen, B.J.; Parry, R.P.; Doblas, D.; Samuel, D.; Warrener, L.; Andrews, N.; Brown, D. Measles Immunity Testing: Comparison of Two Measles IgG ELISAs with Plaque Reduction Neutralisation Assay. J. Virol. Methods 2006, 131, 209–212. [Google Scholar] [CrossRef] [PubMed]
- Bolotin, S.; Hughes, S.L.; Gul, N.; Khan, S.; Rota, P.A.; Severini, A.; Hahné, S.; Tricco, A.; Moss, W.J.; Orenstein, W.; et al. What Is the Evidence to Support a Correlate of Protection for Measles? A Systematic Review. J. Infect. Dis. 2020, 221, 1576–1583. [Google Scholar] [CrossRef] [PubMed]
- Tischer, A.; Gassner, M.; Richard, J.-L.; Suter-Riniker, F.; Mankertz, A.; Heininger, U. Vaccinated Students with Negative Enzyme Immunoassay Results Show Positive Measles Virus-Specific Antibody Levels by Immunofluorescence and Plaque Neutralisation Tests. J. Clin. Virol. 2007, 38, 204–209. [Google Scholar] [CrossRef]
- Zewdie, A.; Letebo, M.; Mekonnen, T. Reasons for Defaulting from Childhood Immunization Program: A Qualitative Study from Hadiya Zone, Southern Ethiopia. BMC Public Health 2016, 16, 1240. [Google Scholar] [CrossRef]
- Yang, Y.; Kostandova, N.; Mwansa, F.D.; Nakazwe, C.; Namukoko, H.; Sakala, C.; Bobo, P.; Masumbu, P.K.; Nachinga, B.; Ngula, D.; et al. Challenges Addressing Inequalities in Measles Vaccine Coverage in Zambia through a Measles–Rubella Supplementary Immunization Activity during the COVID-19 Pandemic. Vaccines 2023, 11, 608. [Google Scholar] [CrossRef]
- Baroncelli, S.; Galluzzo, C.M.; Orlando, S.; Luhanga, R.; Mphwere, R.; Kavalo, T.; Amici, R.; Floridia, M.; Andreotti, M.; Ciccacci, F.; et al. Insufficient Measles Antibody Protection in 6-Month-Old Malawian Infants: Reconsider Vaccination Schedule? Trop. Med. Int. Health 2023, 28, 731–735. [Google Scholar] [CrossRef]
- Malshe, N.; Palkar, S.; Kulkarni, R.; Lalwani, S.; Mishra, A.C.; Arankalle, V. Early Disappearance of Maternal Anti-Measles, Mumps, Rubella, and Varicella Antibodies in Indian Infants. Vaccine 2019, 37, 1443–1448. [Google Scholar] [CrossRef]
- Leuridan, E.; Hens, N.; Hutse, V.; Ieven, M.; Aerts, M.; Van Damme, P. Early Waning of Maternal Measles Antibodies in Era of Measles Elimination: Longitudinal Study. BMJ 2010, 340, c1626. [Google Scholar] [CrossRef]
- He, Q.; Fan, S.; Xue, Z.; Yuan, J.; Wang, Y.; Yang, Z.; Zhou, Z.; Zhang, Z. Waning of Maternal Antibody against Measles Virus in Shufu, China. Hum. Vaccin. Immunother. 2022, 18, 2045854. [Google Scholar] [CrossRef]
- Fu, C.; Shen, J.; Lu, L.; Li, Y.; Cao, Y.; Wang, M.; Pei, S.; Yang, Z.; Guo, Q.; Shaman, J. Pre-Vaccination Evolution of Antibodies among Infants 0, 3 and 6 Months of Age: A Longitudinal Analysis of Measles, Enterovirus 71 and Coxsackievirus 16. Vaccine 2017, 35, 3817–3822. [Google Scholar] [CrossRef]
- Khampanisong, P.; Pauly, M.; Nouanthong, P.; Vickers, M.A.; Virachith, S.; Xaydalasouk, K.; Black, A.P.; Muller, C.P.; Hübschen, J.M. Waning of Maternal Antibodies against Measles Suggests a Large Window of Susceptibility in Infants in Lao People’s Democratic Republic. Pathogens 2021, 10, 1316. [Google Scholar] [CrossRef] [PubMed]
- Scott, S.; Moss, W.J.; Cousens, S.; Beeler, J.A.; Audet, S.A.; Mugala, N.; Quinn, T.C.; Griffin, D.E.; Cutts, F.T. The Influence of HIV-1 Exposure and Infection on Levels of Passively Acquired Antibodies to Measles Virus in Zambian Infants. Clin. Infect. Dis. 2007, 45, 1417–1424. [Google Scholar] [CrossRef] [PubMed]
- Jallow, S.; Mahdi, S.A. Possible Implications of Maternal HIV Infection for Increasing Measles Susceptibility in Young Infants. Future Virol. 2018, 13, 371–373. [Google Scholar] [CrossRef]
- Jallow, S.; Cutland, C.L.; Masbou, A.K.; Adrian, P.; Madhi, S.A. Maternal HIV Infection Associated with Reduced Transplacental Transfer of Measles Antibodies and Increased Susceptibility to Disease. J. Clin. Virol. 2017, 94, 50–56. [Google Scholar] [CrossRef]
- Farouk, S.; Navér, L.; Smedman, L. Impaired Neutralizing Activity by Transplacental Measles Antibodies in Infants Born to HIV-1-Infected Mothers. Acta Paediatr. 2012, 101, e500–e504. [Google Scholar] [CrossRef]





| N = 496 | HIV-Uninfected Infants Born to | HIV-Infected Infant Followed | |||||||||
|---|---|---|---|---|---|---|---|---|---|---|---|
| HIV-Infected Mothers n = 180 | HIV-Uninfected Mothers n = 173 | From the First Week of Life n = 51 | From Diagnosis < 7 Months n = 92 | p-Value1 | p-Value2 | p-Value3 | |||||
| n | % | n | % | n | % | n | % | ||||
| Age (months) At inclusion (n = 496), mean [SD] | 4.4 | [0.9] | 4.7 | [2.4] | 4.4 | [4.6] | 4.4 | [1.4] | 0.024 | 0.001 | <0.001 |
| Gender (n = 496) | 0.641 | 0.347 | 0.601 | ||||||||
| Female | 96 | 53.3 | 87 | 50.3 | 31 | 60.8 | 47 | 51.1 | |||
| Site (n = 496) | 0.226 | 0.700 | 0.705 | ||||||||
| Mother and Child Center, Yaoundé | 86 | 47.8 | 82 | 47.4 | 22 | 43.1 | 46 | 50.0 | |||
| Laquintinie Hospital, Douala | 48 | 20.2 | 35 | 20.2 | 13 | 25.5 | 19 | 20.7 | |||
| Essos Hospital Center, Yaoundé | 46 | 32.4 | 56 | 32.4 | 16 | 31.4 | 27 | 29.3 | |||
| Mother’s marital status (n = 494) | 0.940 | 0.793 | 0.824 | ||||||||
| Married/cohabiting | 119 | 66.1 | 116 | 67.1 | 32 | 62.7 | 52 | 57.8 | |||
| Father’s level of education (n = 378) | 0.072 | 0.968 | <0.001 | ||||||||
| Higher | 66 | 47.1 | 82 | 58.6 | 9 | 27.3 | 16 | 24.6 | |||
| Mothers level of Education (n = 492) | <0.001 | 0.198 | <0.001 | ||||||||
| Higher | 39 | 21.8 | 79 | 45.9 | 6 | 11.8 | 4 | 4.0 | |||
| Nutritional status (n = 495) | 0.427 | 0.008 | <0.001 | ||||||||
| WAZ score < −2 | 5 | 2.8 | 2 | 1.2 | 7 | 13.7 | 33 | 35.9 | |||
| Prematurity (n = 496) | >0.999 | 0.874 | 0.365 | ||||||||
| Yes | 21 | 11.7 | 21 | 12.1 | 10 | 19.6 | 13 | 14.1 | |||
| Number of children per home (n = 486) | 0.237 | >0.999 | 0.509 | ||||||||
| Three or more | 83 | 46.9 | 92 | 53.8 | 27 | 54.0 | 48 | 54.5 | |||
| Mothers’ profession (n = 492) | 0.288 | 0.179 | 0.159 | ||||||||
| Unsalaried | 96 | 53.9 | 104 | 60.1 | 28 | 54.9 | 61 | 67.8 | |||
| Functional refrigerator at home (n = 484) | 0.009 | 0.217 | <0.001 | ||||||||
| Yes | 96 | 54.2 | 115 | 68.5 | 27 | 54.0 | 37 | 41.6 | |||
| Hemoglobin (g/dL) (n = 485) | 0.237 | 0.733 | <0.001 | ||||||||
| <10 | 22 | 12.4 | 29 | 17.5 | 27 | 54.0 | 45 | 49.5 | |||
| WHO clinical staging (n = 143) | <0.001 | ||||||||||
| Stages 3 & 4 | 5 | 9.8 | 38 | 41.3 | |||||||
| %CD4 lymphocytes At inclusion (n = 143), category | |||||||||||
| <25% | 23 | 45.1 | 60 | 65.2 | 0.030 | ||||||
| At inclusion (n = 143), mean [SD] | 28.0 | [12.5] | 21.9 | [12.5] | 0.002 | ||||||
| Around first MCV (n = 137), mean [SD] | 33.3 | [11.8] | 26.2 | [14.4] | 0.002 | ||||||
| At 12 months of age (n = 132), mean [SD] | 35.5 | [10.8] | 32.3 | [14.1] | 0.142 | ||||||
| Viral load | |||||||||||
| At inclusion (n = 143), median (log copies/mL) [IQR] | 6.3 | [5.9–6.9] | 6.5 | [6.0–7.0] | 0.112 | ||||||
| Around first MCV (n = 139) ≥1000 copies/mL | 18 | 38.3 | 48 | 52.2 | 0.170 | ||||||
| At 12 months of age (n = 140) ≥1000 copies/mL | 12 | 25.0 | 32 | 34.8 | 0.321 | ||||||
| Pre-Vaccination Measles Antibody Seropositivity at Different Timepoint | Total (n) | HIV-Infected (HI) (n = 153) | HIV-Exposed Uninfected (HEU) (n = 156) | HIV-Unexposed Uninfected (HUU) (n = 147) | |||
|---|---|---|---|---|---|---|---|
| n (%) | GMT (95%CI) | n (%) | GMT (95%CI) | n (%) | GMT (95%CI) | ||
| Before 6 months | 156 | 61 (100) | 55 (100) | 40 (100) | |||
| Negative | 130 | 58 (95.1) | 45 (81.8) | 27 (67.5) | |||
| Positive ‡‡ ǁǁ | 15 | 1 (1.6) | 589 | 8 (14.5) | 642 (450, 890) | 6 (15.0) | 1041 (571, 1976) |
| Indetermined | 11 | 2 (3.3) | 2 (3.6) | 7 (17.5) | |||
| Between 6 and 9 months | 275 | 74 (100) | 98 (100) | 103 (100) | |||
| Negative | 256 | 69 (93.2) | 93 (94.9) | 94 (91.3) | |||
| Positive ǁǁ $$ | 12 | 3 (4.1) | 2208 (546, 6603) | 2 (2.0) | 532 (423, 669) | 7 (6.8) | 542 (402, 715) |
| Indetermined | 7 | 2 (2.7) | 3 (3.1) | 2 (1.9) | |||
| Between 9 and 12 months | 25 | 18 (100) | 3 (100) | 4 (100) | |||
| Negative | 24 | 17 (94.4) | 3 (100) | 4 (100) | |||
| Positive | 1 | 1 (5.6) | 377 | 0 (0.0) | 0 (0.0) | ||
| Indetermined | 0 | 0 (0.0) | 0 (0.0) | 0 (0.0) | |||
| Global (a) | 456 | 153 (100) | 156 (100) | 147 (100) | |||
| Negative | 410 | 144 (94.1) | 141 (90.4) | 125 (85.0) | |||
| Positive ǁǁ ǁǁ | 28 | 5 (3.3) | 1190 (439, 2805) | 10 (6.4) | 618 (459, 803) | 13 (8.9) | 732 (503, 1045) |
| Indeterminate | 18 | 4 (2.6) | 5 (3.2) | 9 (6.1) | |||
| Age (months) at testing, median (IQR) ‡‡ | 6.3 (5.3, 7.8) | 6.0 (5.6, 6.3) | 6.1 (5.9, 6.4) | ||||
| Measles Containing Vaccine (MCV) Administered at | Tested for Measles Antibody | HIV-Exposed Uninfected (n = 180) | HIV-Unexposed Uninfected (n = 173) | HIV-Infected (n = 143) | |||
|---|---|---|---|---|---|---|---|
| n (%) | GMC (95%CI) | n (%) | GMC (95%CI) | n (%) | GMC (95%CI) | ||
| 6 months MCV (184) | 60 (32.6%) | 12 | 48 | ||||
| Negative ǁǁ | 14 | 4 (33.3) | - | 10 (20.8) | |||
| Positive ǁǁ ǁǁ | 43 | 8 (66.7) | 668 (469, 878) | - | 35 (72.9) | 1116 (835, 1463) | |
| Indeterminate ǁǁ | 3 | 0 (0.0) | - | 3 (6.2) | |||
| 9 months MCV (302) | 234 (77.5%) | 45 | 131 | 58 | |||
| Negative ǁǁ | 33 | 7 (15.6) | 21 (16.0) | 5 (8.6) | |||
| Positive ǁǁ, ǁǁ | 176 | 34 (75.6) | 1175 (818, 1618) | 96 (73.3) | 1053 (883, 1274) | 46 (79.3) | 893 (701, 1082) |
| Indeterminate ǁǁ | 25 | 4 (8.8) | 14 (10.7) | 7 (12.1) | |||
| 6 + 9 months MCV (152) | 126 (82.9%) | 80 | 46 | ||||
| Negative ǁǁ | 11 | 6 (7.5) | - | 5 (10.9) | |||
| Positive ǁǁ, ǁǁ | 107 | 69 (86.3) | 1126 (971, 1328) | - | 38 (82.6) | 1068 (789, 1416) | |
| Indeterminate ǁǁ | 8 | 5 (6.2) | - | 3 (6.5) | |||
| 6 + 15 months MCV (26) | 21 (80.8%) | 10 | 11 | ||||
| Negative | 0 | 0 (0.0) | - | 0 (0.0) | |||
| Positive ǁǁ, ǁǁ | 21 | 10 (100) | 1781 (1039, 2934) | - | 11 (100.0) | 1626 (970, 2901) | |
| Indeterminate | 0 | 0 (0.0) | - | 0 (0.0) | |||
| 9 + 15 months MCV (238) | 170 (71.4%) | 33 | 111 | 26 | |||
| Negative | 0 | 0 (0.0) | 0 (0.0) | 0 (0.0) | |||
| Positive ‡‡, ǁǁ | 167 | 31 (93.9) | 1990 (1547, 2549) | 111 (100.0) | 1878 (1640, 2169) | 25 (96.2) | 1665 (1177, 2348) |
| Indeterminate ‡‡ | 3 | 2 (6.1) | 0 (0.0) | 1 (3.8) | |||
| 6 + 9 + 15 months MCV(125) | 95 (76.0%) | 60 | 35 | ||||
| Negative | 0 | 0 (0.0) | - | 0 (0.0) | |||
| Positive ǁǁ, $$ | 93 | 59 (98.3) | 1617 (1307, 1992) | - | 34 (97.1) | 2171 (1695, 2796) | |
| Indeterminate ǁǁ | 2 | 1 (1.7) | - | 1 (2.9) | |||
Disclaimer/Publisher’s Note: The statements, opinions and data contained in all publications are solely those of the individual author(s) and contributor(s) and not of MDPI and/or the editor(s). MDPI and/or the editor(s) disclaim responsibility for any injury to people or property resulting from any ideas, methods, instructions or products referred to in the content. |
© 2025 by the authors. Licensee MDPI, Basel, Switzerland. This article is an open access article distributed under the terms and conditions of the Creative Commons Attribution (CC BY) license (https://creativecommons.org/licenses/by/4.0/).
Share and Cite
Tejiokem, M.C.; Desselas, E.; Noumsi, T.J.; Ateba Ndongo, F.; Tetang Ndiang, S.; Fossi, M.A.; Guemkam, G.; Zangue Kenfack Tekougang, B.; Tagnouokam-Ngoupo, P.A.; Penda, I.C.; et al. Pre- and Post-Vaccination Measles Antibody and Persistence Up to 5 Years of Age Among Early ART-Treated HIV-Infected, HIV-Exposed Uninfected and HIV-Unexposed Children in Cameroon. Vaccines 2025, 13, 584. https://doi.org/10.3390/vaccines13060584
Tejiokem MC, Desselas E, Noumsi TJ, Ateba Ndongo F, Tetang Ndiang S, Fossi MA, Guemkam G, Zangue Kenfack Tekougang B, Tagnouokam-Ngoupo PA, Penda IC, et al. Pre- and Post-Vaccination Measles Antibody and Persistence Up to 5 Years of Age Among Early ART-Treated HIV-Infected, HIV-Exposed Uninfected and HIV-Unexposed Children in Cameroon. Vaccines. 2025; 13(6):584. https://doi.org/10.3390/vaccines13060584
Chicago/Turabian StyleTejiokem, Mathurin Cyrille, Emilie Desselas, Thierry Joel Noumsi, Francis Ateba Ndongo, Suzie Tetang Ndiang, Mireille Arlette Fossi, Georgette Guemkam, Berenice Zangue Kenfack Tekougang, Paul Alain Tagnouokam-Ngoupo, Ida Calixte Penda, and et al. 2025. "Pre- and Post-Vaccination Measles Antibody and Persistence Up to 5 Years of Age Among Early ART-Treated HIV-Infected, HIV-Exposed Uninfected and HIV-Unexposed Children in Cameroon" Vaccines 13, no. 6: 584. https://doi.org/10.3390/vaccines13060584
APA StyleTejiokem, M. C., Desselas, E., Noumsi, T. J., Ateba Ndongo, F., Tetang Ndiang, S., Fossi, M. A., Guemkam, G., Zangue Kenfack Tekougang, B., Tagnouokam-Ngoupo, P. A., Penda, I. C., Faye, A., & Warszawski, J. (2025). Pre- and Post-Vaccination Measles Antibody and Persistence Up to 5 Years of Age Among Early ART-Treated HIV-Infected, HIV-Exposed Uninfected and HIV-Unexposed Children in Cameroon. Vaccines, 13(6), 584. https://doi.org/10.3390/vaccines13060584

