From Grape By-Products to Enriched Yogurt Containing Pomace Extract Loaded in Nanotechnological Nutriosomes Tailored for Promoting Gastro-Intestinal Wellness
Abstract
1. Introduction
2. Materials and Methods
2.1. Materials
2.2. Plant Material and Extraction Method
2.3. Determination of Total Phenolic Content and Antioxidant Activity
2.4. Vesicle Preparation
2.5. Vesicle Characterization
2.6. Vesicle Behavior at Modulating pH
2.7. Biocompatibility of Vesicles
2.8. Protective Effect of Vesicles against Damages Induced in Cells by Oxidative Stress
2.9. Stability of Vesicles in Milk Whey
2.10. Measurements of Viscosity
2.11. Statistical Analysis of Data
3. Results
3.1. Extract Preparation and Characterization
3.2. Vesicle Preparation and Characterization
3.3. Stability of Extract Loaded Vesicles in Fluids Simulating Oral, Gastric and Intestinal Environments
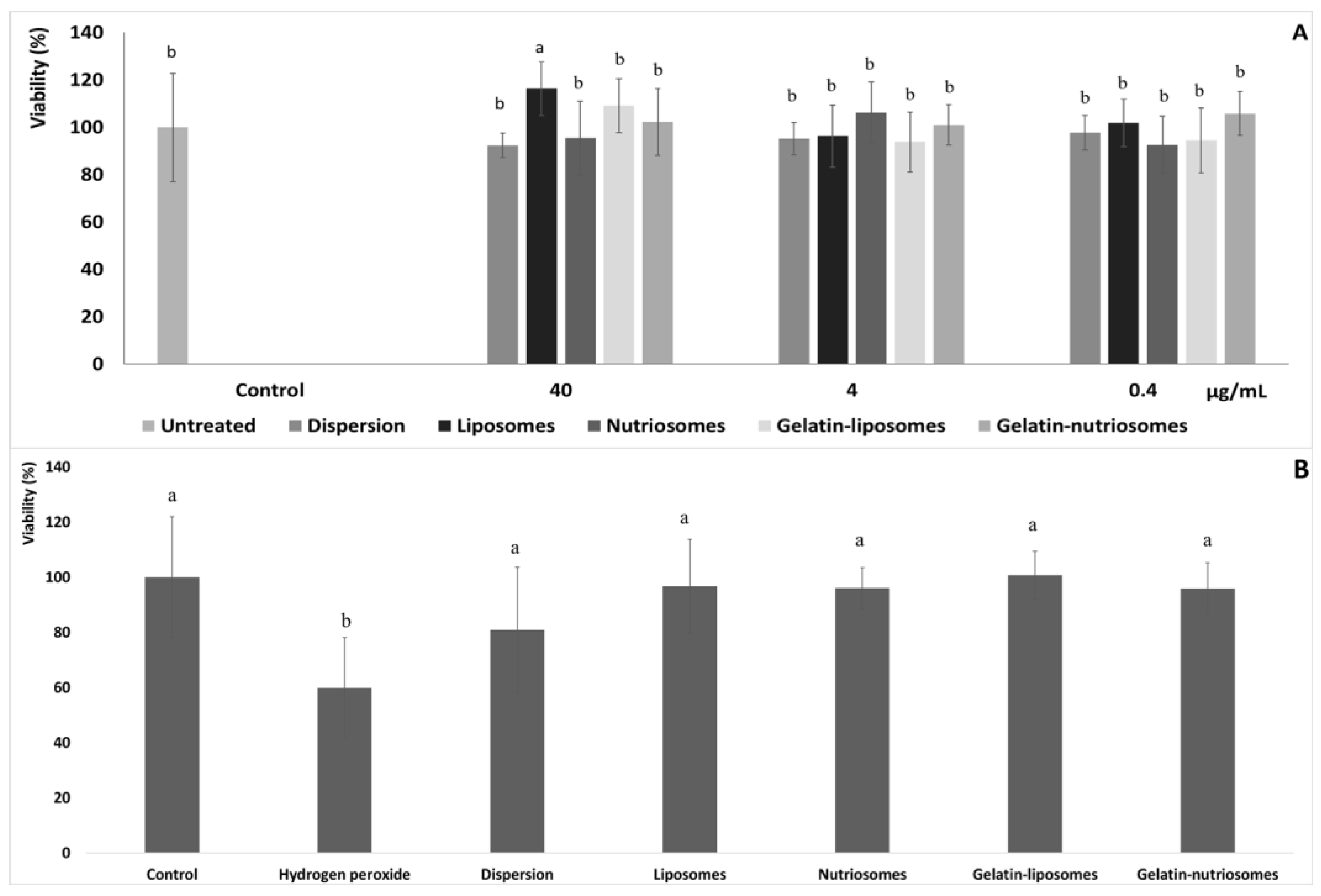
3.4. Biocompatibility of Vesicles
3.5. Protective Effect of Vesicles against Damages Induced by Hydrogen Peroxide in Cells
3.6. Stability of Vesicles Mixed with Milk Whey
3.7. Viscosity Studies
4. Discussion
5. Conclusions
Author Contributions
Funding
Acknowledgments
Conflicts of Interest
References
- Montagner, G.E.; Ribeiro, M.F.; Cadoná, F.C.; Franco, C.; Gomes, P. Liposomes Loading Grape Seed Extract: A Nanotechnological Solution to Reduce Wine-Making Waste and Obtain Health-Promoting Products. Future Foods 2022, 5, 100144. [Google Scholar] [CrossRef]
- Montalvo, S.; Martinez, J.; Castillo, A.; Huiliñir, C.; Borja, R.; García, V.; Salazar, R. Sustainable Energy for a Winery through Biogas Production and Its Utilization: A Chilean Case Study. Sustain. Energy Technol. Assess. 2020, 37, 100640. [Google Scholar] [CrossRef]
- Vergara-Salinas, J.R.; Bulnes, P.; Zúñiga, M.C.; Pérez-Jiménez, J.; Torres, J.L.; Mateos-Martín, M.L.; Agosin, E.; Pérez-Correa, J.R. Effect of Pressurized Hot Water Extraction on Antioxidants from Grape Pomace before and after Enological Fermentation. J. Agric. Food Chem. 2013, 61, 6929–6936. [Google Scholar] [CrossRef]
- Nieddu, G.; Nieddu, M.; Cocco, G.F.; Erre, P.; Chessa, I. Morphological and Genetic Characterization of the Sardinian “Bovale” Cultivars. Acta Hortic. 2007, 49–54. [Google Scholar] [CrossRef]
- Tuberoso, C.I.G.; Serreli, G.; Congiu, F.; Montoro, P.; Fenu, M.A. Characterization, Phenolic Profile, Nitrogen Compounds and Antioxidant Activity of Carignano Wines. J. Food Compos. Anal. 2017, 58, 60–68. [Google Scholar] [CrossRef]
- Perra, M.; Manca, M.L.; Tuberoso, C.I.G.; Caddeo, C.; Marongiu, F.; Peris, J.E.; Orrù, G.; Ibba, A.; Fernàndez-Busquets, X.; Fattouch, S.; et al. A Green and Cost-Effective Approach for the Efficient Conversion of Grape Byproducts into Innovative Delivery Systems Tailored to Ensure Intestinal Protection and Gut Microbiota Fortification. Innov. Food Sci. Emerg. Technol. 2022, 80, 103103. [Google Scholar] [CrossRef]
- Manca, M.L.; Casula, E.; Marongiu, F.; Bacchetta, G.; Sarais, G.; Zaru, M.; Escribano-Ferrer, E.; Peris, J.E.; Usach, I.; Fais, S.; et al. From Waste to Health: Sustainable Exploitation of Grape Pomace Seed Extract to Manufacture Antioxidant, Regenerative and Prebiotic Nanovesicles within Circular Economy. Sci. Rep. 2020, 10, 14184. [Google Scholar] [CrossRef]
- Vural, N.; Algan Cavuldak, Ö.; Anlı, R.E. Multi Response Optimisation of Polyphenol Extraction Conditions from Grape Seeds by Using Ultrasound Assisted Extraction (UAE). Sep. Sci. Technol. 2018, 53, 1540–1551. [Google Scholar] [CrossRef]
- Chedea, V.; Palade, L.; Marin, D.; Pelmus, R.; Habeanu, M.; Rotar, M.; Gras, M.; Pistol, G.; Taranu, I. Intestinal Absorption and Antioxidant Activity of Grape Pomace Polyphenols. Nutrients 2018, 10, 588. [Google Scholar] [CrossRef]
- Costa, J.R.; Amorim, M.; Vilas-Boas, A.; Tonon, R.V.; Cabral, L.M.C.; Pastrana, L.; Pintado, M. Impact of In Vitro Gastrointestinal Digestion on the Chemical Composition, Bioactive Properties, and Cytotoxicity of Vitis vinifera L. Cv. Syrah Grape Pomace Extract. Food Funct 2019, 10, 1856–1869. [Google Scholar] [CrossRef]
- Munin, A.; Edwards-Lévy, F. Encapsulation of Natural Polyphenolic Compounds; a Review. Pharmaceutics 2011, 3, 793–829. [Google Scholar] [CrossRef] [PubMed]
- Gutiérrez, G.; Matos, M.; Barrero, P.; Pando, D.; Iglesias, O.; Pazos, C. Iron-Entrapped Niosomes and Their Potential Application for Yogurt Fortification. LWT 2016, 74, 550–556. [Google Scholar] [CrossRef]
- Quero, J.; Jiménez-Moreno, N.; Esparza, I.; Osada, J.; Cerrada, E.; Ancín-Azpilicueta, C.; Rodríguez-Yoldi, M.J. Grape Stem Extracts with Potential Anticancer and Antioxidant Properties. Antioxidants 2021, 10, 243. [Google Scholar] [CrossRef] [PubMed]
- Parekh, P.; Serra, M.; Allaw, M.; Perra, M.; Marongiu, J.; Tolle, G.; Pinna, A.; Casu, M.A.; Manconi, M.; Caboni, P.; et al. Characterization of Nasco Grape Pomace-Loaded Nutriosomes and Their Neuroprotective Effects in the MPTP Mouse Model of Parkinson’s Disease. Front. Pharm. 2022, 13, 935784. [Google Scholar] [CrossRef] [PubMed]
- Catalán-Latorre, A.; Pleguezuelos-Villa, M.; Castangia, I.; Manca, M.L.; Caddeo, C.; Nácher, A.; Díez-Sales, O.; Peris, J.E.; Pons, R.; Escribano-Ferrer, E.; et al. Nutriosomes: Prebiotic Delivery Systems Combining Phospholipids, a Soluble Dextrin and Curcumin to Counteract Intestinal Oxidative Stress and Inflammation. Nanoscale 2018, 10, 1957–1969. [Google Scholar] [CrossRef]
- Allaw, M.; Manca, M.L.; Caddeo, C.; Recio, M.C.; Pérez-Brocal, V.; Moya, A.; Fernàndez-Busquets, X.; Manconi, M. Advanced Strategy to Exploit Wine-Making Waste by Manufacturing Antioxidant and Prebiotic Fibre-Enriched Vesicles for Intestinal Health. Colloids Surf. B Biointerfaces 2020, 193, 111146. [Google Scholar] [CrossRef]
- Manconi, M.; Manca, M.L.; Escribano-Ferrer, E.; Coma-Cros, E.M.; Biosca, A.; Lantero, E.; Fernàndez-Busquets, X.; Fadda, A.M.; Caddeo, C. Nanoformulation of Curcumin-Loaded Eudragit-Nutriosomes to Counteract Malaria Infection by a Dual Strategy: Improving Antioxidant Intestinal Activity and Systemic Efficacy. Int. J. Pharm. 2019, 556, 82–88. [Google Scholar] [CrossRef]
- Perra, M.; Fancello, L.; Castangia, I.; Allaw, M.; Escribano-Ferrer, E.; Peris, J.E.; Usach, I.; Manca, M.L.; Koycheva, I.K.; Georgiev, M.I.; et al. Formulation and Testing of Antioxidant and Protective Effect of Hyalurosomes Loading Extract Rich in Rosmarinic Acid Biotechnologically Produced from Lavandula angustifolia Miller. Molecules 2022, 27, 2423. [Google Scholar] [CrossRef]
- Manca, M.L.; Marongiu, F.; Castangia, I.; Catalán-Latorre, A.; Caddeo, C.; Bacchetta, G.; Ennas, G.; Zaru, M.; Fadda, A.M.; Manconi, M. Protective Effect of Grape Extract Phospholipid Vesicles against Oxidative Stress Skin Damages. Ind. Crops Prod. 2016, 83, 561–567. [Google Scholar] [CrossRef]
- Perra, M.; Lozano-Sánchez, J.; Leyva-Jiménez, F.-J.; Segura-Carretero, A.; Pedraz, J.L.; Bacchetta, G.; Muntoni, A.; De Gioannis, G.; Manca, M.L.; Manconi, M. Extraction of the Antioxidant Phytocomplex from Wine-Making by-Products and Sustainable Loading in Phospholipid Vesicles Specifically Tailored for Skin Protection. Biomed. Pharmacother. 2021, 142, 111959. [Google Scholar] [CrossRef]
- Castangia, I.; Manconi, M.; Allaw, M.; Perra, M.; Orrù, G.; Fais, S.; Scano, A.; Escribano-Ferrer, E.; Ghavam, M.; Rezvani, M.; et al. Mouthwash Formulation Co-Delivering Quercetin and Mint Oil in Liposomes Improved with Glycol and Ethanol and Tailored for Protecting and Tackling Oral Cavity. Antioxidants 2022, 11, 367. [Google Scholar] [CrossRef]
- Le, N.T.T.; Cao, V.D.; Nguyen, T.N.Q.; Le, T.T.H.; Tran, T.T.; Hoang Thi, T.T. Soy Lecithin-Derived Liposomal Delivery Systems: Surface Modification and Current Applications. Int. J. Mol. Sci. 2019, 20, 4706. [Google Scholar] [CrossRef]
- Hu, S.; Niu, M.; Hu, F.; Lu, Y.; Qi, J.; Yin, Z.; Wu, W. Integrity and Stability of Oral Liposomes Containing Bile Salts Studied in Simulated and Ex Vivo Gastrointestinal Media. Int. J. Pharm. 2013, 441, 693–700. [Google Scholar] [CrossRef]
- Pandrea, I.V.; Carrière, V.; Barbat, A.; Cambier, D.; Dussaulx, E.; Lesuffleur, T.; Rousset, M.; Zweibaum, A. Postmitotic Differentiation of Colon Carcinoma Caco-2 Cells Does Not Prevent Reentry in the Cell Cycle and Tumorigenicity. Exp. Mol. Pathol. 2000, 69, 37–45. [Google Scholar] [CrossRef]
- Filippo, C.; Valentina, T.; Emanuela, M.; Claudia, T.; Vittoria, F.; Adriana, P. Critical Appraisal of the MTT Assay in the Presence of Rottlerin and Uncouplers. Biol. Proced. Online 2009, 11, 227–240. [Google Scholar]
- Fontana, A.R.; Antoniolli, A.; Bottini, R. Grape Pomace as a Sustainable Source of Bioactive Compounds: Extraction, Characterization, and Biotechnological Applications of Phenolics. J. Agric. Food Chem. 2013, 61, 8987–9003. [Google Scholar] [CrossRef]
- Zhou, Y.; Raphael, R.M. Solution PH Alters Mechanical and Electrical Properties of Phosphatidylcholine Membranes: Relation between Interfacial Electrostatics, Intramembrane Potential, and Bending Elasticity. Biophys. J. 2007, 92, 2451–2462. [Google Scholar] [CrossRef]
- Gilbile, D.; Docto, D.; Kingi, D.T.; Kurniawan, J.; Monahan, D.; Tang, A.; Kuhl, T.L. How Well Can You Tailor the Charge of Lipid Vesicles? Langmuir 2019, 35, 15960–15969. [Google Scholar] [CrossRef]
- Manca, M.L.; Castangia, I.; Matricardi, P.; Lampis, S.; Fernàndez-Busquets, X.; Fadda, A.M.; Manconi, M. Molecular Arrangements and Interconnected Bilayer Formation Induced by Alcohol or Polyalcohol in Phospholipid Vesicles. Colloids Surf. B Biointerfaces 2014, 117, 360–367. [Google Scholar] [CrossRef]
- Hilgers, A.R.; Conradi, R.A.; Burton, P.S. Caco-2 Cell Monolayers as a Model for Drug Transport Across the Intestinal Mucosa. Pharm. Res. 1990, 7, 902–910. [Google Scholar] [CrossRef]
- Allaw, M.; Manca, M.L.; Castangia, I.; Manconi, M. From Plants to Phospholipid Vesicles: A Comprehensive Review on the Incorporation of Phytochemicals into Phospholipid Vesicles Designed for Skin Applications with Special Focus on Scalability and In Vitro and In Vivo Efficacy. J. Drug Deliv. Sci. Technol. 2022, 67, 103049. [Google Scholar] [CrossRef]
- Leyva-Jiménez, F.J.; Manca, M.L.; Manconi, M.; Caddeo, C.; Vázquez, J.A.; Carbone, C.; Lozano-Sánchez, J.; Arráez-Román, D.; Segura-Carretero, A. Development of Advanced Phospholipid Vesicles Loaded with Lippia Citriodora Pressurized Liquid Extract for the Treatment of Gastrointestinal Disorders. Food Chem. 2021, 337, 127746. [Google Scholar] [CrossRef] [PubMed]
- Yi, X.; Zheng, Q.; Ding, B.; Pan, M.; Chiou, Y.; Li, L.; Li, Z. Liposome-Whey Protein Interactions and Its Relation to Emulsifying Properties. LWT 2019, 99, 505–512. [Google Scholar] [CrossRef]
- Yi, X.; Zheng, Q.; Pan, M.; Chiou, Y.; Li, Z.; Li, L.; Chen, Y.; Hu, J.; Duan, S.; Wei, S.; et al. Liposomal Vesicles-Protein Interaction: Influences of Iron Liposomes on Emulsifying Properties of Whey Protein. Food Hydrocoll. 2019, 89, 602–612. [Google Scholar] [CrossRef]
- Sarbon, N.M.; Badii, F.; Howell, N.K. The Effect of Chicken Skin Gelatin and Whey Protein Interactions on Rheological and Thermal Properties. Food Hydrocoll. 2015, 45, 83–92. [Google Scholar] [CrossRef]
- Abramović, Z.; Šuštaršič, U.; Teskač, K.; Šentjurc, M.; Kristl, J. Influence of Nanosized Delivery Systems with Benzyl Nicotinate and Penetration Enhancers on Skin Oxygenation. Int. J. Pharm. 2008, 359, 220–227. [Google Scholar] [CrossRef]
- Scherer, P.G.; Seelig, J. Electric Charge Effects on Phospholipid Headgroups. Phosphatidylcholine in Mixtures with Cationic and Anionic Amphiphilest. Biochemistry 1989, 28, 7720–7728. [Google Scholar] [CrossRef]
- Sow, L.C.; Toh, N.Z.Y.; Wong, C.W.; Yang, H. Combination of Sodium Alginate with Tilapia Fish Gelatin for Improved Texture Properties and Nanostructure Modification. Food Hydrocoll. 2019, 94, 459–467. [Google Scholar] [CrossRef]
- Silva, F.A.; do Egypto, R.D.C.R.; de Souza, E.L.; Voss, G.B.; Borges, G.D.S.C.; dos Santos Lima, M.; Pintado, M.M.E.; da Silva Vasconcelos, M.A. Incorporation of Phenolic-Rich Ingredients from Integral Valorization of Isabel Grape Improves the Nutritional, Functional and Sensory Characteristics of Probiotic Goat Milk Yogurt. Food Chem. 2022, 369, 130957. [Google Scholar] [CrossRef]
- Soni, R.; Jain, N.K.; Shah, V.; Soni, J.; Suthar, D.; Gohel, P. Development of Probiotic Yogurt: Effect of Strain Combination on Nutritional, Rheological, Organoleptic and Probiotic Properties. J. Food Sci. Technol. 2020, 57, 2038–2050. [Google Scholar] [CrossRef]
- Fidelis, M.; Santos, J.S.; Escher, G.B.; Rocha, R.S.; Cruz, A.G.; Cruz, T.M.; Marques, M.B.; Nunes, J.B.; do Carmo, M.A.V.; de Almeida, L.A.; et al. Polyphenols of Jabuticaba [Myrciaria jaboticaba (Vell.) O.Berg] Seeds Incorporated in a Yogurt Model Exert Antioxidant Activity and Modulate Gut Microbiota of 1,2-Dimethylhydrazine-Induced Colon Cancer in Rats. Food Chem. 2021, 334, 127565. [Google Scholar] [CrossRef]
- Jafari, S.M.; Vakili, S.; Dehnad, D. Production of a Functional Yogurt Powder Fortified with Nanoliposomal Vitamin D Through Spray Drying. Food Bioprocess Technol. 2019, 12, 1220–1231. [Google Scholar] [CrossRef]
- Hurtado-Romero, A.; Del Toro-Barbosa, M.; Garcia-Amezquita, L.E.; García-Cayuela, T. Innovative Technologies for the Production of Food Ingredients with Prebiotic Potential: Modifications, Applications, and Validation Methods. Trends Food Sci. Technol. 2020, 104, 117–131. [Google Scholar] [CrossRef]
- Toniazzo, T.; Berbel, I.F.; Cho, S.; Fávaro-Trindade, C.S.; Moraes, I.C.F.; Pinho, S.C. β-Carotene-Loaded Liposome Dispersions Stabilized with Xanthan and Guar Gums: Physico-Chemical Stability and Feasibility of Application in Yogurt. LWT—Food Sci. Technol. 2014, 59, 1265–1273. [Google Scholar] [CrossRef]
- Luo, M.; Zhang, R.; Liu, L.; Chi, J.; Huang, F.; Dong, L.; Ma, Q.; Jia, X.; Zhang, M. Preparation, Stability and Antioxidant Capacity of Nano Liposomes Loaded with Procyandins from Lychee Pericarp. J. Food Eng. 2020, 284, 110065. [Google Scholar] [CrossRef]
- Yao, T.; Janaswamy, S. Ordered Hydrocolloids Networks as Delivery Vehicles of Nutraceuticals: Optimal Encapsulation of Curcumin and Resveratrol. Food Hydrocoll. 2022, 126, 107466. [Google Scholar] [CrossRef]
- Catalan-Latorre, A.; Ravaghi, M.; Manca, M.L.; Caddeo, C.; Marongiu, F.; Ennas, G.; Escribano-Ferrer, E.; Peris, J.E.; Diez-Sales, O.; Fadda, A.M.; et al. Freeze-Dried Eudragit-Hyaluronan Multicompartment Liposomes to Improve the Intestinal Bioavailability of Curcumin. Eur. J. Pharm. Biopharm. 2016, 107, 49–55. [Google Scholar] [CrossRef]
- Vigata, M.; Meinert, C.; Pahoff, S.; Bock, N.; Hutmacher, D.W. Gelatin Methacryloyl Hydrogels Control the Localized Delivery of Albumin-Bound Paclitaxel. Polymers 2020, 12, 501. [Google Scholar] [CrossRef]
- Molina, C.V.; Lima, J.G.; Moraes, I.C.F.; Pinho, S.C. Physicochemical Characterization and Sensory Evaluation of Yogurts Incorporated with Beta-Carotene-Loaded Solid Lipid Microparticles Stabilized with Hydrolyzed Soy Protein Isolate. Food Sci. Biotechnol. 2019, 28, 59–66. [Google Scholar] [CrossRef]
- Qin, Y.; Wade, P.A. Crosstalk between the Microbiome and Epigenome: Messages from Bugs. J. Biochem. 2018, 163, 105–112. [Google Scholar] [CrossRef]



| MD (nm) | PI (PI) | ZP (mV) | EE (%) | |
|---|---|---|---|---|
| Empty liposomes | 75 ± 4 | 0.19 | d - 48 ± 1 | - |
| Empty nutriosomes | b 90 ± 4 | 0.16 | e - 57 ± 3 | - |
| Empty gelatin-liposomes | b 92 ± 3 | 0.21 | d,e - 50 ± 7 | - |
| Empty gelatin-nutriosomes | a 103 ± 2 | 0.16 | d,e - 50 ± 7 | - |
| Liposomes | b 94 ± 3 | 0.18 | d - 48 ± 3 | c 84 ± 11 |
| Nutriosomes | a 103 ± 5 | 0.12 | d,e - 50 ± 5 | c 82 ± 7 |
| Gelatin-liposomes | a 104 ± 3 | 0.17 | d - 48 ± 3 | c 86 ± 7 |
| Gelatin-nutriosomes | a 108 ± 8 | 0.13 | d - 50 ± 2 | c 87 ± 13 |
| pH | Time | MD (nm) | PI | ZP (mV) | |
|---|---|---|---|---|---|
| Liposomes | Freshly prepared | 94 ± 3 | 0.18 | g - 48 ± 3 | |
| 6.75 | t10min | a 270 ± 10 | 0.37 | f - 2 ± 2 | |
| 1.20 | t2h | 339 ± 17 | 0.36 | f - 2 ± 2 | |
| 7.00 | t6h | a 291 ± 9 | 0.30 | f 0 ± 0 | |
| Nutriosomes | Freshly prepared | e 103 ± 5 | 0.12 | g - 50 ± 5 | |
| 6.75 | t10min | a,b 266 ± 21 | 0.36 | f - 1 ± 3 | |
| 1.2 | t2h | 372 ± 11 | 0.32 | f 0 ± 1 | |
| 7 | t6h | d 216 ± 5 | 0.31 | f 0 ± 2 | |
| Gelatin-liposomes | Freshly prepared | e 104 ± 3 | 0.17 | g - 48 ± 3 | |
| 6.75 | t10min | d 204 ± 6 | 0.27 | f - 1 ± 1 | |
| 1.2 | t2 | b 243 ± 10 | 0.18 | f 0 ± 0 | |
| 7 | t6 | d 196 ± 8 | 0.22 | f 0 ± 3 | |
| Gelatin-nutriosomes | Freshly prepared | e 108 ± 8 | 0.13 | g - 50 ± 2 | |
| 6.75 | t10min | c,d 209 ± 14 | 0.28 | f - 1 ± 2 | |
| 1.2 | t2 | b 243 ± 9 | 0.22 | f - 1 ± 2 | |
| 7 | t6 | b,c 222 ± 11 | 0.24 | f 0 ± 2 | |
| Concentration (% v/v) | Time | MD (nm) | PI | |
|---|---|---|---|---|
| Milk whey | d 298 ± 2 | 0.38 | ||
| Liposomes | Freshly prepared | 94 ± 3 | 0.18 | |
| 5 | t1 | g,f 118 ± 2 | 0.22 | |
| t24 | c 348 ± 9 | 0.63 | ||
| 10 | t1 | g,f 118 ± 2 | 0.20 | |
| t24 | a 1113 ± 43 | 0.84 | ||
| 20 | t1 | 136 ± 1 | 0.24 | |
| t24 | a 1498 ± 268 | 0.96 | ||
| Nutriosomes | Freshly prepared | h 103 ± 5 | 0.12 | |
| 5 | t1 | g 112 ± 2 | 0.17 | |
| t24 | c 356 ± 6 | 0.56 | ||
| 10 | t1 | 145 ± 1 | 0.23 | |
| t24 | b 576 ± 52 | 0.80 | ||
| 20 | t1 | e 129 ± 2 | 0.22 | |
| t24 | 3485 ± 10 | 1.00 | ||
| Gelatin-liposomes | Freshly prepared | h 104 ± 3 | 0.17 | |
| 5 | t1 | g,f 118 ± 2 | 0.23 | |
| t24 | d 297 ± 4 | 0.60 | ||
| 10 | t1 | g,f 116 ± 1 | 0.19 | |
| t24 | b 636 ± 34 | 0.45 | ||
| 20 | t1 | g,f 115 ± 2 | 0.17 | |
| t24 | a 1226 ± 110 | 0.93 | ||
| Gelatin-nutriosomes | Freshly prepared | h,g 108 ± 8 | 0.13 | |
| 5 | t1 | e 124 ± 2 | 0.16 | |
| t24 | 173 ± 5 | 0.30 | ||
| 10 | t1 | g,f 115 ± 1 | 0.11 | |
| t24 | 207 ± 2 | 0.38 | ||
| 20 | t1 | g,f 117 ± 1 | 0.12 | |
| t24 | 234 ± 10 | 0.39 |
Disclaimer/Publisher’s Note: The statements, opinions and data contained in all publications are solely those of the individual author(s) and contributor(s) and not of MDPI and/or the editor(s). MDPI and/or the editor(s) disclaim responsibility for any injury to people or property resulting from any ideas, methods, instructions or products referred to in the content. |
© 2023 by the authors. Licensee MDPI, Basel, Switzerland. This article is an open access article distributed under the terms and conditions of the Creative Commons Attribution (CC BY) license (https://creativecommons.org/licenses/by/4.0/).
Share and Cite
Castangia, I.; Fulgheri, F.; Leyva-Jimenez, F.J.; Alañón, M.E.; Cádiz-Gurrea, M.d.l.L.; Marongiu, F.; Meloni, M.C.; Aroffu, M.; Perra, M.; Allaw, M.; et al. From Grape By-Products to Enriched Yogurt Containing Pomace Extract Loaded in Nanotechnological Nutriosomes Tailored for Promoting Gastro-Intestinal Wellness. Antioxidants 2023, 12, 1285. https://doi.org/10.3390/antiox12061285
Castangia I, Fulgheri F, Leyva-Jimenez FJ, Alañón ME, Cádiz-Gurrea MdlL, Marongiu F, Meloni MC, Aroffu M, Perra M, Allaw M, et al. From Grape By-Products to Enriched Yogurt Containing Pomace Extract Loaded in Nanotechnological Nutriosomes Tailored for Promoting Gastro-Intestinal Wellness. Antioxidants. 2023; 12(6):1285. https://doi.org/10.3390/antiox12061285
Chicago/Turabian StyleCastangia, Ines, Federica Fulgheri, Francisco Javier Leyva-Jimenez, Maria Elena Alañón, Maria de la Luz Cádiz-Gurrea, Francesca Marongiu, Maria Cristina Meloni, Matteo Aroffu, Matteo Perra, Mohamad Allaw, and et al. 2023. "From Grape By-Products to Enriched Yogurt Containing Pomace Extract Loaded in Nanotechnological Nutriosomes Tailored for Promoting Gastro-Intestinal Wellness" Antioxidants 12, no. 6: 1285. https://doi.org/10.3390/antiox12061285
APA StyleCastangia, I., Fulgheri, F., Leyva-Jimenez, F. J., Alañón, M. E., Cádiz-Gurrea, M. d. l. L., Marongiu, F., Meloni, M. C., Aroffu, M., Perra, M., Allaw, M., Abi Rached, R., Oliver-Simancas, R., Escribano Ferrer, E., Asunis, F., Manca, M. L., & Manconi, M. (2023). From Grape By-Products to Enriched Yogurt Containing Pomace Extract Loaded in Nanotechnological Nutriosomes Tailored for Promoting Gastro-Intestinal Wellness. Antioxidants, 12(6), 1285. https://doi.org/10.3390/antiox12061285

