Abstract
Hyaluronan (HA) is a naturally occurring non-sulfated glycosaminoglycan (GAG) localized to the cell surface and the tissue extracellular matrix (ECM). It is composed of disaccharides containing glucuronic acid and N-acetylglucosamine, is synthesized by the HA synthase (HAS) enzymes and is degraded by hyaluronidase (HYAL) or reactive oxygen and nitrogen species (ROS/RNS) actions. HA is deposited as a high molecular weight (HMW) polymer and degraded to low molecular weight (LMW) fragments and oligosaccharides. HA affects biological functions by interacting with HA-binding proteins (hyaladherins). HMW HA is anti-inflammatory, immunosuppressive, and antiangiogenic, whereas LMW HA has pro-inflammatory, pro-angiogenetic, and oncogenic effects. ROS/RNS naturally degrade HMW HA, albeit at enhanced levels during tissue injury and inflammatory processes. Thus, the degradation of endothelial glycocalyx HA by increased ROS challenges vascular integrity and can initiate several disease progressions. Conversely, HA exerts a vital role in wound healing through ROS-mediated HA modifications, which affect the innate immune system. The normal turnover of HA protects against matrix rigidification. Insufficient turnover leads to increased tissue rigidity, leading to tissue dysfunction. Both endogenous and exogenous HMW HA have a scavenging capacity against ROS. The interactions of ROS/RNS with HA are more complex than presently perceived and present an important research topic.
1. Introduction
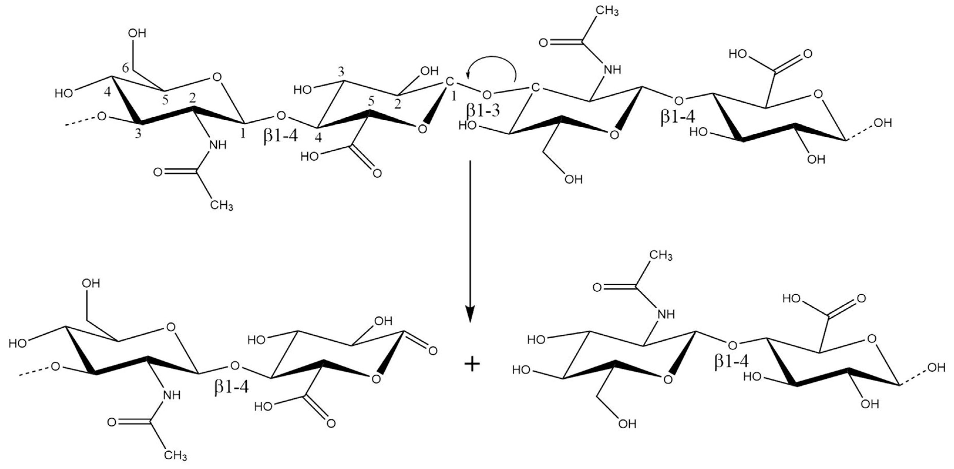
Hyaluronan (HA) is a naturally occurring non-sulfated glycosaminoglycan (GAG), cell-surface-associated biopolymer, and is the crucial component of tissue extracellular matrix (ECM). The chemical and structural characterization of GAGs is still a matter of intensive development []. HA is a regular polymer of disaccharides composed of glucuronic acid and N-acetylglucosamine linked via alternating β-1,4 and β-1,3 glycosidic bonds (Figure 1).

Figure 1.
Chemical structure of two repeating units of HA; (β-D-GlcNAc 1→3 β-D-GlcA 1→4)n; 3-D representations of the low energy conformation of a tetrasaccharide unit, extracted from a longer segment shown in an extended two-fold helical conformation.
This GAG is widely distributed in vertebrate tissues and fluids, displaying remarkable physicochemical properties and biological effects. However, the occurrence of HA in tissues varies with, for instance, the following levels reported: human navel cords (4.10 mg/mL), human joint synovial fluid (1.50–3.60 mg/mL), vitreous humor (0.14–0.34 mg/g), brain (0.035–0.115 mg/g) [], and human dermis and epidermis (0.20–0.50 and 0.10 mg/g, respectively). On average, HA turnover in vertebrate tissues equals 5 g per day and is provided by biosynthesis and enzymatic degradation []. Meanwhile, the turnover of HA in the blood flow reaches 30–100 mg daily.
2. HA Structure and Physicochemical Properties
2.1. Physicochemical Properties
In healthy individuals, HA comprises about 10,000 (with variations) disaccharide units, which correspond to up to 40,000 kDa, and the chain can reach a contour length of several micrometers. HA is an elastoviscous component in synovial fluid that provides a smooth, gliding surface for joints to articulate. Such features are expressed in rheological properties, as HA exhibits a so-called Newtonian behavior at a low shear rate and a marked decrease in viscosity as the shear-rate increases. The HA chains tend to entangle at low concentrations, showing viscoelastic behavior, i.e., while they act as a viscous liquid at low frequencies, they show elastic behavior at a higher frequency. Other fundamental rheological properties (viscosity, static compression, elastic modulus in shear stress, and elastic modulus in compression) confer HA-based hydrogel with the properties that make it suitable for use as fillers in aesthetic medicine to shape the face or to treat the signs of facial aging. In the eye’s vitreous humour, HA supports and maintains a network of collagen fibers that protect the ocular tissues and maintain a clear visual path between the lens and retina. In solid tissues, the content of HA varies widely. Tissues such as cartilage and skin have extensive extracellular matrices in which HA binds and organizes proteoglycans, providing a highly hydrated network to resist tissue compression. Likewise, HA has a crucial role in the brain since this organ lacks the collagenous and elastic networks prevalent in other tissues. Indeed, HA and proteoglycan networks provide an alternative supportive matrix in brain tissue. A key role in the regulation of physiological functions as well as pathological processes has been attributed to HA deposited in the brain [].
2.2. HA Turnover
Three HA synthase enzymes (HAS1, HAS2, HAS3) localized in the plasma membrane synthesize and export high-molecular weight HA chains to the extracellular environment []. Newly synthesized HA chains in healthy tissue can be as large as 6000 kDa. At the cell surface, HA interacts noncovalently with the integral membrane receptor protein CD44 and other receptors through different binding modes that, in unison, define an interaction fingerprint. The conformational flexibility of HA chains facilitates such multivalent binding with proteins based on complementary surface densities in contrast to mere affinity. The multiplicity of interactions creates a complex peri-cellular matrix network that frequently undergoes further dynamic re-modeling and acts as a physiological protection of cells. HA has a high turnover rate at the cellular and tissue levels, mainly due to the enzymatic hydrolysis of hyaluronidases (HYALs), of which HYAL1 and HYAL2 are considered major HA-degrading enzymes in somatic tissue []. Indeed, HYAL2 localized to the cell surface is stabilized with a glycophoshatidyloinositol (GPI) anchor or is located in lysosomes, cleaving high molecular weight HA (HMW HA) to smaller, approximately 20 kDa fragments. Upon the internalization and transport of the fragments to lysosomes, further degradation to mainly tetrasaccharides is perpetrated by HYAL1 [].
HMW HA is bound to receptor CD44 on the cell surface, often in the vicinity of HYAL2. HYAL2 can cleave HA chains of up to 20 kDa, corresponding to a chain of approximately 50 disaccharide residues. Such fragments are then internalized and transported to lysosomes.
Mammalian hyaluronidase, HYAL1, is an endo-β-N-acetyl-hexosaminidases (EC 3.2.1.35; glycosyl hydrolase family) that hydrolyzes the β1→4 glycosidic bond of HA into various oligosaccharide lengths, the shortest of which are tetrasaccharides. For stereochemical reasons, the β1→3 glycosidic bond is resistant to enzymic cleavage. The crystal structure reveals a molecule composed of two closely associated domains: a catalytic domain that adopts a distorted [β/α]8 barrel resembling that of bee venom hyaluronidase and a novel, EGF-like domain, characteristic of involvement in protein−protein interactions and regulatory processes []. By catalyzing the hydrolysis of hyaluronan, hyaluronidase lowers the viscosity of hyaluronan, thereby increasing tissue permeability.
Recently, HYBID (hyaluronan binding protein involved in hyaluronan depolymerization), alias KIAA1199/CEMIP, has also been shown to depolymerize HA into small- and intermediate-sized fragments, thereby contributing to HA degradation []. Indeed, as discussed by Spataro et al., HYBID depolymerizes HA that has been internalized via clathrin-coated vesicles into early endosomes. Subsequently, the degraded HA fragments are excreted into the extracellular space [].
2.3. ECM Organization
In native tissues, the noncovalently assembled HA network interacts with another GAG: chondroitin sulfate, which is incorporated into proteoglycans such as versican, neurocan and aggrecan []. The HA-based matrix further acts as a protective target for reactive oxygen and nitrogen species (ROS/RNS) generated during inflammation and limits penetration of these species to the cell membrane []. However, excessive cleavage/degradation of HA and release of bioactive fragments facilitate pathologies, including inflammation and cancer []. Effects other than the ECM organization, such as immunomodulation and various cellular processes, occur. Environmental cues such as tissue injury or infection change downstream signaling functionalities of HA.
HA is susceptible to degradation by hydroxyl radicals, peroxynitrite, and hypochlorite anion, all of which can be created in vivo and are increased during inflammation []. Unlike native HA, such fragments of HA have diversified effects on inflammation, cancer, fibrosis, angiogenesis, and the autoimmune response. Inflammation is associated with a potential reduction in HA molecular mass and the resulting production of bioactive “danger signal” fragments throughout cell signaling pathways which depend on the status of the HA component and the peri-cellular matrix []. The degradation of HA results in the presence of low molecular weight (LMW) HA fragments, which disrupt the clustering of CD44 receptors at the cell surface while increasing the availability for interactions with other receptor proteins such as TLR4, TLR2, and RHAMM [].
2.4. Mechanisms for HA Degradation by Reactive Oxygen Species (ROS)
In vivo, degradation of HA may arise from hydroxyl radicals, peroxynitrite, and hypochlorite anion and is likely to be increased in the context of inflammation. There exists a rich literature describing the mechanisms leading to the production of reactive oxygen species (ROS) or reactive nitrogen species (RNS) in biological systems [], as well as attempts at mathematical and computational modeling []. ROS/RNS can be classified as either free radicals containing one unpaired electron or nonradicals. The former generally includes superoxide radical (O2•−), hydroxyl radical (●OH), NO radical (●NO). peroxyl (ROO●), and alkoxyl radicals (RO●). The latter contains hydrogen peroxide (H2O2), hypochlorous acid (HClO), peroxynitrite (ONOO−), ozone (O3), singlet oxygen (1O2), aldehydes, and organic peroxides [].
Superoxide anion radical (O2•−): The reduction of the oxygen molecule is the reaction by which animal cells produce metabolic energy (O2 + 4e− + 4H+ = 2H2O). Along this reaction, several sub-cellular structures reduce O2 molecules producing the superoxide anion radical O2•−, which in an aqueous (acidic) milieu forms per hydroxyl radical ●O2H. O2•−is formed in neutrophils, monocytes, macrophages, and eosinophils due to the action of NADPH oxidase enzyme, also called respiratory burst oxidase. NADPH oxidase, a highly regulated enzyme complex composed of several proteins, reduces oxygen to a superoxide anion radical at the expense of NADPH []. Hydroxyl Radical ●OH, the hydroxyl radical, is the most reactive ROS. The degradation of HA by hydroxyl radicals and its protection by free radical scavengers are well documented. The source of free radicals in biological systems is termed the Fenton reaction, which implies the participation of a transition metal cation (e.g., Fe2+):
[(Fe2+ + H2O2 → Fe3+ + OH− + ●OH]
In this reaction, Fe3+ can be reduced back to Fe2+ [].
The hydroxyl radical can abstract hydrogen atoms at all ring C-H bonds except C-2 of N-acetyl hexosamine. The abstraction of hydrogen atoms generates carbon-center radicals. The radicals at carbons, which form glycosidic bonds, undergo a β-scission reaction resulting in the breakdown of the HA chains [] (Figure 2). Under physiological (healthy) conditions, the iron ions are always firmly bound. In blood, they circulate associated with the protein transferrin, and in cells, they are stored and linked to the protein ferritin. Nevertheless, cells observe an increase in the so-called “labile iron pool” under stress conditions. The source of superoxide anion in biological systems are activated PMNs (polymorphonuclear leukocytes).

Figure 2.
The radicals at carbons, which form glycosidic bonds, undergo a β-scission reaction resulting in the breakdown of the HA chains at C1 of the GlcA residue.
Nitrogen Monoxide (●NO): The bioactive free radical nitrogen monoxide (●NO) is produced in various cells/tissues by the enzyme NO synthase. O2•−and ●NO are the precursors of different reactive oxygen species (ROS), including hydrogen peroxide, peroxynitrite, and hypochlorous acid.
Hydroxyl Peroxide: H2O2 is produced from two superoxide anion radical species (O2•−+ O2•−+ 2H+ → H2O2 + O2). In vivo, the family of super oxide dismutases (SOD) catalyze such a reaction (the cytosolic SOD form contains Cu and Zn, and the mitochondrial form contains Mn).
Hypochlorous acid (HOCl) and Hypochorite (OCl−): Myeloperoxidase enzymes of PMNs can generate hypochlorite ions (H2O2 + Cl−OCl− + H2O). Methionine blocks this reaction. Hypochlorite anions may function by participating in the production of hydroxyl radicals. N-acetyl residues react with hypochlorite to generate polymer-derived N-chloro derivatives. The decomposition of these derivatives gives rise to nitrogen-centered radicals. They undergo rapid intramolecular abstraction reactions to give carbon-centered radicals at C-2 on the amino sugar rings via a 1,2-hydrogen atom shift [] and/or at C-4 on the neighboring glycosidic residues (via 1,5-hydrogen atom shifts) []. These products cleave glycosidic bonds through β-scission [].
Peroxynitrite (ONOO−): Peroxynitrite can be generated by the reaction of nitric oxide, produced by the nitric oxide synthase enzymes (NOS), with superoxide anion, released by activated polymorphonuclear leukocytes (PMN) (O2•−+ ●NO → ONOO−), which yields the formation of two radicals: (ONOO− + H+ → ONOOH → ONO− + ●OH). An increased expression of NOS is common in inflammatory disease processes. Peroxynitrite degrades HA via a hydroxyl radical-like mechanism [].
ROS-generated HA fragments may not have the same biological effects as those created by enzymatic cleavage. Therefore, several factors must be considered to characterize ROS-induced alterations to GAGs in vivo [,]. The first factor is the GAGs’ proximity to the adjacent ROS/RNS production sites as these highly reactive species have a relatively short life span. Furthermore, the concentration and levels of antioxidation need to be sufficiently high and low, respectively. ROS-mediated HA degradation occurs randomly and generates products with a polydisperse size. Not only are glycosidic linkages cleaved, but there is the possibility of other structural changes, including ring opening and the occurrence of different conformational characteristics [], which would affect their downstream reactions. As a result of their depolymerization effects, ROS/RNS could serve as the substrates for the following enzymatic cleavage, thereby facilitating further HA degradation. One possible explanation is that the partial degradation of HA would overcome steric factors which prevent the interaction between the hydrolases and their highly polymerized substrates.
3. Mechanisms of HA Action
The net effect of parallel HA synthesis and degradation determine the amount of HA and its molecular weight at a given time and tissue location. Consequently, the produced HA will display its biological effects depending on its molecular weight [,].
HA functions are mostly perpetrated through interactions with HA-binding proteins (hyaladherins) localized to the cell membranes and the ECM. HA anchors to the cells by binding to its cell surface receptors, including CD44, RHAMM, HA receptor for endocytosis/stabillin-2 (HARE), lymphatic vessel endothelial HA receptor-1 (LYVE-1), TLR2, and TLR4, as reviewed by Roedig et al. []. It is important to note that HA is an unsulfated GAG and, thus, not charged. Therefore, depending on its molecular weight and individual receptor expression, downstream signaling pathways are activated upon HA binding, modulating cell growth, migration, inflammatory activities, and cell differentiation []. The effect of HA is perpetrated in both an autocrine and paracrine manner []. Moreover, due to its physicochemical properties, HA can act as a structural molecule affecting tissue hydration, ECM organization, and osmotic balance [].
3.1. CD44
CD44 is the main HA cell membrane receptor. Even though a single gene encodes CD44, a standard form (CD44s) and different isoforms have been identified (v1–v11) due to alternative splicing [] and post-translational modifications, including N- and O-glycosylation and glycosaminoglycanation []. CD44s, the most abundant form, exhibits the prototype structure consisting of a distal extracellular domain (bearing the ligand-binding sites), a single-pass transmembrane domain, and a cytoplasmic domain []. The crystal structure of the extracellular domain of C44 has been resolved []. Thus, the extracellular domain, carrying a link module with a highly conserved α/β fold flanked by two conserved disulfide bridges [], binds HA in a manner defined by hydrogen-bonding and shape []. Furthermore, extensions of the module with specific sequences have been determined. Therefore, this enlarged binding domain can be modified, justifying the effect of receptor modification on HA binding. An interaction fingerprint of the respective CD44-binding, consisting of different binding models, has been revealed through computational modeling []. Binding induces conformational changes conveyed to the intracellular domain and regulates CD44 aggregation on the cell membrane [,]. Indeed, HMW HA stimulates CD44 clustering, whereas LMW HA inhibits it []. Notably, as discussed by Noar et al., in some cases, to bind HA, CD44 needs to be stimulated, activated or deglycosylated []. Indeed, it seems that CD44 N-glycosylation controls the “on” or “off” switch of HA binding to CD44 [,].
Upon activation, the intracellular CD44 domain binds with the cytoskeletal linker protein ankyrin and the ERM linkers, denominated as ezrin, radixin, and moesin (ERM) [,]. By engaging cytoskeletal linker proteins and respective downstream signaling pathways, CD44 can regulate most biological functions, including growth, migration or adhesion [,,,]. For example, the interaction of HA with CD44 regulates receptor-mediated HA internalization cell aggregation, adhesion, migration, and proliferation [].
The binding of LMW HA and HMW HA with CD44 differs and exerts discrete effects. Thus, LMW HA induces pro-inflammatory and pro-angiogenic effects facilitating cell growth and motility [], whereas HMW HA exerts anti-angiogenic and anti-inflammatory effects []. For this reason, LMW HA has been characterized as a danger-associated molecular pattern (DAMP) [,,]. Furthermore, upon binding of LMW HA to CD44 Src Kinase, focal adhesion kinase (FAK) and ERK1/2 are phosphorylated to stimulate cell growth, motility, and angiogenesis [].
However, some studies suggest that the oxidation of CD44 and HA decreases their mutual binding affinity, probably attenuating tumor cell growth and necrosis []. Therefore, targeted modulation of CD44/HA correlated to cancer growth inhibition could be explored as a novel direction in antitumor therapy.
3.2. RHAMM
The receptor for HA-mediated motility (RHAMM) was determined initially to be a soluble protein exhibiting HA-binding properties []. Various isoforms of RHAMM exhibiting discrete MWs have been localized to the cell surface and the cytoplasm/nucleus []. RHAMM isoforms result from alternative splicing, exhibit discrete localization and expression correlated to the respective cell type and status [,] and also have effects on HA regulation [,].
RHAMM protein does not carry a transmembrane domain, making its interaction with other cell membrane receptors obligatory to regulate downstream signaling. For example, CD44, transforming growth factor β1 (TGF-β1), and platelet-derived growth factor (PDGFR) have been identified as co-receptors []. Notably, the interactions of HA with RHAMM/HA regulate cell growth and migration [,,,]. Indeed, as discussed by Garantziotis and Savani, 2019, when HA binds to membrane RHAMM, a transient burst of protein tyrosine phosphorylation is elicited, followed by increased focal adhesion turnover and Ras/ERK1/2 regulation []. Engagement of HMW HA with membrane RHAMM initiates PI3K-dependent Rac activation and increased migration of arterial smooth muscle cells []. LMW HA stimulates RHAMMs’ intracellular expression, co-localization with ERK1/2 [] and β-catenin [] to facilitate fibrosarcoma cell migration and growth [].
3.3. HARE
HA receptor for endocytosis (HARE) is expressed by various endothelial cells, including those of the liver, lymph nodes, bone marrow, and spleen, as well as in the specialized structures of the brain, eye, heart, and kidney in mice []. HARE is a proteolytic isoform of Stabilin-2 that binds explicitly and internalizes many ligands, including HA, which leads to their degradation []. As such, HARE executes the systemic clearance of HA from the vascular and lymphatic systems utilizing coated pit-mediated uptake. Furthermore, HARE exhibits intracellular localization, mainly within the endocytic system, suggesting that it is transiently present on the cell surface, which is characteristic of active endocytic recycling receptors. Interestingly, HARE binding HA fragments of 40–400-kDa initiates NF-κB-activated gene expression, suggesting that this receptor can detect a specific size range of HA degradation products correlated with pro-inflammatory signaling [].
3.4. LYVE-1
LYVE-1, a transmembrane glycoprotein, is a significant HA receptor expressed by the lymphatic endothelial cells. LYVE-1 binds HA and is involved in its clearance. However, the binding requires specific receptor self-association and HA aggregation []. This HA receptor is predominantly localized in the overlapping junctions of lymphatic capillaries serving as entry points for migrating inflammatory cells. Indeed, engaging HA incorporated into antigen-presenting dendritic cells’ glycocalyx facilitates these cells’ docking and transit []. Moreover, the ability of dendritic cells and macrophages to adhere to the lymphatic endothelium and subsequently transmigrate through it highly depends on LYVE-1 clustering, which is triggered by selective interactions with the HMW glycocalyx HA []. LYVE is also obligatory for T-lymphocyte antigen-specific responses []. A recent study demonstrated that resident macrophages expressing LYVE-1 interact with the pericellular HA matrix of smooth muscle cells, enhancing matrix metalloproteinase MMP-9-dependent proteolysis. The increased collagen proteolysis attenuated its deposition and inhibited arterial stiffness in a mouse model [].
3.5. TLR2 & 4
TLRs are critical receptors the innate immune system utilizes to identify microbes and subsequently trigger the process of the host defense []. As previously discussed, TLR4 has been established as the transmembrane signaling protein needed for the LPS-dependent downstream signaling in macrophages, whereas TLR2 mediates the recognition of mycobacteria and gram-positive bacteria by macrophages [].
It has previously been discussed that lower molecular mass forms of HA (<500 kDa), especially in the 100–250 kD range, activate inflammatory cells by binding to TLR2 and TLR4 []. Indeed, the cleavage of HMW HA into LMW HA, which is limited in homeostatic tissues, is enhanced in injury, inflammation, and re-modeling events; it is a part of the initial tissue response for maintaining homeostasis []. Upon binding of LMW HA to TLR4, nuclear translocation of nuclear factor (NF)-kappa B perpetrated by MAP-kinases is determined in dendritic cells (DCs), signaling these cells’ inflammatory activation []. The interaction of HA with its receptors and downstream mechanisms are summarized in Figure 3.

Figure 3.
Mechanisms of HA action. (A) Upon activation, the intracellular CD44 domain binds with the cytoskeletal linker protein ankyrin and the ERM linkers, denominated as ezrin, radixin, and moesin (ERM), to regulate cell functions. Upon binding of LMW HA to CD44 Src Kinase, FAK and ERK1/2 are phosphorylated to stimulate cell growth, motility, and angiogenesis. (B) The binding of HMW HA to RHAMM regulates Ras/ERK/12 activities and initiates PI3K-dependent Rac activation and increased migration of arterial smooth muscle cells. (C) The binding of LMW HA to TLRs induces MyD88, downstream MAP-kinase activation and Nf-κβ nuclear translocation to enhance the inflammatory response. (D) HARE executes the systemic clearance of HA. In contrast, LMW HA binding initiates NF-κB-dependent gene expression. (E) LYVE-1 is involved in HA clearance and endothelial transmigration of lymphocytes. An LYVE-1-dependent interaction of macrophages with the pericellular HA matrix of smooth muscle cells enhances MMP-9-dependent inhibition of arterial stiffness.
4. HA-Associated ROS Effects in Tissue Homeostasis
The abundance and MW of HA are vital in maintaining tissue homeostasis. ROS, including hydrogen peroxide, superoxide, peroxynitrite, nitric oxide, and hypohalous acids, naturally degrade HMW HA in the organism, albeit at enhanced rates during tissue injury and inflammatory processes []. Vascular integrity, obligatory to maintaining tissue homeostasis, is partly regulated by the endothelial glycocalyx and cell–cell junctions. Defects in endothelial barrier function are an initiating factor in several disease processes, including atherosclerosis, ischemia/reperfusion, tumor angiogenesis, cancer metastasis, diabetes, sepsis, and acute lung injury.
HA is an essential component, accounting for up to 20% of the endothelial glycocalyx (EG), a gel-like layer covering the endothelial cell luminal surface []. In addition to HA, glycocalyx consists of membrane proteoglycans, glycoproteins, and adhered plasma proteins []. The EG is crucial in vascular homeostasis as it modulates the microvascular tone and vascular permeability, regulates leukocyte adhesion on the endothelium, and abrogates microvascular thrombosis []. Indeed, the impairment of EG is an established early step in initiating chronic vascular complications [], such as those presenting in atherosclerosis, diabetes, ischemia/reperfusion, cancer metastasis, acute lung injury, and sepsis.
Two layers of EG have been defined. The outer layer consists mainly of GAGs and plasma proteins, which regulate and prevent excessive blood cell attachment to the endothelium []. HA and PGs are abundant in the inner layer handling key endothelium roles. The abundance of HA in the inner layer of the EG contributes to vascular homeostasis. Under disease conditions, e.g., community-acquired pneumonia (CAP) and acute respiratory distress syndrome (ARDS), significant HA shedding correlated with ROS production, and not with changes in the expression of HYALs, is evident []. Notably, in ARDS, HA shedding is associated with inflammation, endothelial cell activation status as well as the disintegration of the basement membrane []. An accumulation of HMW-sheared HA was determined in the plasma of the most severe ARDS and CAP patients. Such an accumulation could signal a counter-regulatory mechanism triggered to attenuate inflammation. However, it could also indicate “raw” EG shedding in response to high ROS production and augmented inflammatory reactions [].
It has been established that glycocalyx permeability mainly depends on the EG’s HA and chondroitin sulfate content []. Moreover, HA is found to be the critical factor able to transduce shear stress regulating endothelial NO production and vessel tone, as earlier discussed []. Likewise, HMW HA enhances vascular integrity through caveolin-1-dependent mechanisms []. Thus, endothelial barrier disruption in the lung results in the leakage of proteins, fluids, and inflammatory cells into alveoli, leading to pulmonary edema.
HMW-HA was shown to activate CD44s signaling and facilitate lung endothelial barrier integrity through S1P1/Rac1 downstream signaling, resulting in cortical actin formation. On the other hand, LMW HA release, partly mediated by ROS, triggers CD44v10 signaling and barrier damage through an S1P3-dependent axis [].
As an essential component of the ECM, HA is a critical player in regulating tissue stiffness. Thus, the normal turnover of matrix components, including HA, protects against matrix rigidification and attenuation of tissue plasticity due to excessive cross-linking, which could partly be initiated by free radicals’ action [,]. Conversely, insufficient turnover would lead to the creation of gels exhibiting increasing rigidity, ultimately leading to tissue dysfunction, impairment of physical movement, and inadequate infiltration of immune cells [].
HA participates in skin homeostasis and is implicated in keratinocyte differentiation, as recently discussed []. Interestingly, it has been shown that CD44 maintains the important skin barrier function, the pericellular keratinocyte matrix []. HA, likewise, exerts a vital role in wound healing. Indeed, ROS-mediated HA modifications can facilitate or attenuate TLR downstream signaling to modulate the status of the innate immune system essential to tissue regeneration []. Specifically, HA participates in the homeostasis and inflammation phases of wound healing that are characterized by increased HA production and rapid subsequent degradation due to HYAL and generated ROS actions. The released LMW HA facilitates HAS genes’ transcription, followed by increased HA synthesis and a generation of a feedback loop enhancing the inflammatory response and the first phase of wound healing []. The maximum deposition of HA is initially achieved, with a concomitant downregulation, upon infiltrating the proliferating fibroblasts. The fibroblasts, in turn, produce proteoglycans needed for the polymerization of collagen obligatory for wound closure [].
HA is also suggested to protect against ROS-induced DNA damage. Indeed, HARE’s uptake of HMW HA in WI-38 fibroblasts attenuated DNA damage induced by both exogenous and endogenous oxidants []. Likewise, HA is postulated to attenuate ROS effects in mesenchymal stem cells [].
These studies convincingly show the critical role of ROS-correlated HA effects in maintaining tissue homeostasis obligatory to the physiological functioning of all organs.
5. ROS-Generated HA in Inflammation
5.1. Inflammation and HA
Inflammation is still a subject of intense study [], as acute and chronic inflammation are sustained by various mechanisms that are still not fully understood. Cell–matrix interactions regulate cellular homeostasis, and any alteration in ECM integrity promotes the initiation and progression of inflammatory-related diseases []. HA fragments of various molecular sizes as endogenous ECM molecules, partly produced through ROS action, induce discrete biological effects. Thus, in inflammatory-related pathologies, highly polymerized HA is transformed into smaller molecules that increase the inflammatory response by activating supplementary inflammatory factors, such as ROS production and inflammatory immune molecules such as cytokines expression, or by enhancing the production of chemokines and other enzymes that recruit additional leukocytes [].
At the same time, LMW HA degradation products can induce inflammation [] partly mediated through Toll-like receptors (TLRs). A recent study showed that HA tetra-saccharide is the smallest fragment to augment inflammation using HA oligosaccharides of different molecular weights and modifications []. On the other hand, the HA disaccharide (ΔHA2), which bears an unsaturated double bond at the non-reducing end, was proven to block TLR4-dependent inflammation competitively. Deacetylated HA disaccharide (dHA2) and chondroitin disaccharide (CH2) did not attenuate TLR4-induced gene expression. These authors conclude that anti-inflammatory activity strongly depends on the HAs’ polymerization degree, acetylation degree, and actual configuration. The study also underlined that HA disaccharide reduced in vivo pro-inflammatory cytokines production, suggesting its therapeutical anti-inflammatory potential [].
Conversely, larger HA oligosaccharides can activate TLR4 on human dendritic cells (DC) and induce their functional maturation. The earlier study of Tremeer et al. showed that phosphorylation of p38/p42/44 MAP-kinases and nuclear translocation of nuclear factor (NF)-kappa B occur in DCs, proving the TLR-4 signaling pathway activation []. Other studies have shown that LMW HA fragments increased cytokine production. Indeed, a recent elegant study demonstrated that LMW HA (15–40 kDa) isolated from obese patients induced in normal PBMC a significant increase in the expression of the pro-inflammatory cytokines IL-1β, MCP-1, and IL-8. This study reinforced the pro-inflammatory action of LMW HA and emphasized the involvement of small HA fragments in metabolic deregulations []. In bladder cancer, the increased fragmentation of HA and the increased LMW HA deposition in the tumor site are associated with enhanced production of multiple inflammatory cytokines, chemokines, and angiogenic factors [].
HA binds on the immune cells via CD44, which regulates Hyal2 potent HA-degrading activity. In addition, a recent study has shown that when Hyal2 is activated, IL1β secretion is triggered, enhancing the pro-inflammatory milieu. Thus, within the tumor, the myeloid cells expressing Hyal2 sustain LMW HA accumulation and tumor-associated inflammation []. The increased expression of the HA-degrading protein HYBID has been correlated to inflammation, hyperplasia, and fibrosis in human synovial membrane biopsies taken from osteoarthritis patients [].
An interesting earlier study has shown that macrophages isolated from CD44 null mice can be activated with LMW HA, proving that TLRs are involved in HA-induced intracellular signaling []. Indeed, HA is involved in the immune response by activating or inhibiting TLR-mediated intracellular signaling pathways, activating the first line of innate immune cells.
Adaptive immune cells can also be regulated through their HA receptors []. Thus, T lymphocytes exhibit increased CD44-dependent HA binding when subjected to antigen activation, favoring lymphocyte infiltration into the inflammatory site []. On the other hand, HMW HA enhances Foxp3 expression in the Treg subpopulation, which induces IL-2, IL-10, and TGF-β production and dampens inflammation []. Under inflammatory conditions, dendritic epidermal T cells (DETCs) secrete keratinocyte growth factors 1 and 2 that stimulate skin cells’ HA production and enhance macrophage recruitment [].
Not only are T cells “sensitive” to HA, but B lymphocytes are as well. In murine models of inflammation, HA application induces B cells chemotaxis to the inflammatory site, where the cells increase their IL-6 and TGF-β production []. Later reports by Iwata et al. have proven that LMW HA stimulates B cells via the TLR4 receptor and endows these lymphocytes with increased secretion of IL-6 and TGF-beta []. In addition, LMW HA promotes CD44 association with several other receptors (TLR2, TLR4), downregulating CD44 association that would lead to NF-κB-specific transcriptional activation. This well-known activation enhances pro-inflammatory cytokines, IL-1β, and IL-8 expression, even in tumor cells, including human breast cells [].
Comprehensive studies have shown that LMW HA induces inflammation activating TLR receptors and initiates the production of pro-inflammatory cytokines/chemokines. This LMW HA role can also be beneficial. In acute inflammation, e.g., in wound healing, the activation of immune cells is critical. Therefore, in this milieu, the LMW HA fragments would augment the activation of the wound-healing process. On the other hand, maintaining a constant inflammatory microenvironment in chronic wounds can impede the healing process [].
Contrary to LMW HA, HMW HA has anti-inflammatory and immunosuppressive effects. In the most common form of arthritis, osteoarthritis, this anti-inflammatory effect is already clinically documented. Therefore, recent extended studies have shown that intra-articular injection of HMW HA has long-term effects in improving the condition compared with other intra-articular treatments []. Recent reports have shown that platelet-rich plasma combined with HMW HA favored joint repair []. On a molecular level, earlier studies performed in animal models of osteoarthritis have shown that HMW HA inhibits IL-1β expression in synoviocytes []. This finding was later confirmed in human fibroblast-like synoviocytes from osteoarthritis patients []. Furthermore, if CD44 is blocked, the HMW HA effect on pro-inflammatory cytokine gene expression is reduced [], a finding that emphasizes the importance of the CD44 signaling pathway in the HMW HA functions. In an animal model of osteoarthritis, HMW HA significantly reduced TLR4, TLR2, MyD88, and NF-kB expression in synoviocytes along with reduced mRNA and protein production for several pro-inflammatory molecules (e.g., TNFα, IL-1β, IL-17, MMP-13, inducible nitrous oxide synthase). These findings highlight that in this animal model, HMW HA can reduce the pro-inflammatory process in the early inflammatory phase of osteoarthritis.
Various reports emphasize that additional mechanisms to the TLR-dependent ones are involved in the chronic inflammation stage. Studies by Campo’s team proposed that HMW HA potentially physically masks TLR2 and TLR4 due to its large polymerized molecule size [,]. Currently, mechanisms that specifically regulate the influence of HA in acute and chronic inflammatory stages are still to be unveiled. The pro-and anti-inflammatory action of different sizes of HA molecules is summarized in Figure 4 and Table 1. However, additional factors, such as HA modifications, must be considered.

Figure 4.
Inflammatory processes are controlled by HA of various molecular weights. An inactive hyaluronidase (Hyal) allows HMW HA to induce anti-inflammatory, anti-angiogenic, and immune-suppressive effects; an active Hyal cleaves HA to LMW HA fragments that inflict pro-inflammatory, pro-angiogenic, and immune activation effects.

Table 1.
Different roles of LMWHA and HMWHA in inflammation events.
5.2. ROS and HA in Inflammation
ROS are essential in the immune response, but oxidative stress appears if there is an imbalance between the amount generated and the cell’s antioxidant capacity []. Thus, when ROS exceed the antioxidant capacity, they damage cellular proteins, lipids, and nucleic acids, mainly DNA []. The degradation of endogenous HA and additional modifications by ROS actions in producing active LMW HA fragments are well documented. Numerous studies show endogenous and exogenous HMW HA have a protective capacity against ROS.
Earlier studies in human corneal epithelial cells have demonstrated that UVB-induced oxidative damage can be reduced by exogenous HMW HA []. In addition, later studies have shown that in dry eye disease, the administration of HMW HA reduces the oxidative stress processes in the conjunctiva of patients [].
In skin subjected to UVB irradiation, where LMW HA is intensively produced, inflammatory processes are attenuated upon applying extracellular superoxide dismutase (SOD). In this study, the complex inflammatory response was inhibited by SOD3 administration accompanied by suppression of the major histocompatibility complex II (MHCII), CD80, and CD86 expression in dendritic cells. The process was TLR4-dependent as the response could not be identified in TLR4-deficient mice. The inflammatory process was accompanied by NAPDH oxidase-dependent ROS generation, which could be blocked by the antioxidant effect of SOD3 []. The study by Kwon et al. describes a vicious cycle where UV damage stimulates HA production, ROS generation, and HA degradation into LMW HA, which in turn, through TLR4 receptors, augments the inflammation. Breaking the cycle, e.g., by attenuating ROS production or downregulating TLR4 expression, inhibits inflammation [].
Exposure of human keratinocytes to contact sensitizers 2,4-dinitrochlorobenzene (DNCB) and PPD generates LMW HA fragments due to increased HYAL expression and ROS generation. In this model system, the generated LMW HA acts as a DAMP, stimulating the production of contact allergen-marker IL-18 []. Interestingly, LMW HA was shown to enhance HAS 1 and 2, TLR4 expressions, and downstream NF-κB signaling. TLR4 activation increases HAS expression and HA activity []. When keratinocytes were treated with an inhibitor of NADPH oxidase, downregulating ROS generation and subsequent HA degradation, their sensitization was partially blocked []. Other studies have shown that pro-inflammatory cytokines upregulate the expression of HAS genes, whereas inhibiting NF-κB attenuates this effect [,].
Recently, HAS3-dependent HA production was correlated with a protective effect against anthracycline-induced cardiac damage. The protective effects were attributed to the ROS-scavenging properties of HA [].
The mechanisms of HMW HA hindering oxidative stress still need to be wholly understood, and several hypotheses have been generated. Thus, HMW HA has hydroxyl functional groups that are able to absorb ROS physically. Secondly, HMW HA interacts with CD44, probably activating pathways that dampen oxidative stress []. Thirdly, HMW HA can coat the cellular membrane and protect it from the direct action of ROS. Interestingly, the internalization of HA through CD44 receptor binding is suggested to neutralize intracellular ROS [].
As previously stated, HMW HA reduces inflammation in osteoarthritis patients, where additional mechanisms, including its lubrication properties and antioxidant properties, are involved []. After intra-articular injection into the synovial fluid of patients, the ROS levels are reduced. Harvested human osteoarthritis chondrocytes prove high expression of stress response levels (e.g., transaldolase, annexin A1, elongation factor 2) that are decreased when HA is in contact with the harvested cells []. Recent reports show that HA-based compounds with specific properties exerting therapeutical action on cartilage regeneration also hinder ROS production in the inflamed joint.
A hydrogel consisting of phenylboronic acid, HA, and poly(vinyl alcohol) protected grafted chondrocytes from ROS in an animal model of osteoarthritis []. In another animal model focused on acute gouty arthritis and hyperuricemia, N-butylated-HA exerted anti-inflammatory and antioxidative properties. The study underlines that the anti-inflammation properties of HA are linked to its antioxidative ones [].
Despite its pro-inflammatory properties, LMW HA has also been postulated to exert an antioxidative capacity. Thus, antioxidant properties were shown for LMW HA against ROS and inhibition of lipid peroxidation [], but as there is limited literature on this topic, the mechanisms by which LMW HA performs its antioxidant properties are still subject to research. The interactions of LMW HA/HMW HA and ROS in inflammation are summarized in Table 2.

Table 2.
LMW HA/HMW HA and ROS in inflammation.
6. HA, ROS and Cancer
Cancer cells are thought to induce oxidative stress in the tumor microenvironment, recruiting surrounding ECM components to transport the signals to the adjacent normal stromal cells [,,]. ROS production and hydrogen peroxide species generated modulate stromal fibroblasts to cooperate with cancer cells [,] and cause local and systemic inflammation via the innate immune response (NF-jB) []. Activated stromal cells in cancer facilitate changes in the ECM microenvironment, enhancing cancer progression and metastasis. ROS have been proven to facilitate tumorigenesis through several mechanisms, including induction of DNA damage, inflammation, changes in immune responses, regulation of signaling pathways that modulate autophagy and apoptosis, angiogenesis, and drug resistance [,,].
Oxidative stress effects on the cells depend on the concentration and duration of the exposure [,]. High levels of ROS induce apoptosis or necrosis; low levels of ROS can promote cell proliferation facilitating tumor development [,]. Oxidative DNA damage, through ROS action, can initiate tumor development []. Mitochondrial respiration is a major source of ROS in most mammalian cells [,,]. ROS production in cancer cells can result from enhanced metabolic activities due to aberrant growth factors, cytokine signaling, and oncogene activation [,,,]. In addition, increased activity of ROS-producing enzymes such as NADPH oxidase, cyclooxygenases, and lipoxygenases is evident [,]. In the tumor microenvironment, macrophages and neutrophils also produce ROS due to NADPH oxidase activation [,]. Superoxide is increased in cancer tissues [] and is dismutated into H2O2, either by the mitochondrial MnSOD or the cytosolic Cu/ZnSOD [,]. In summary, ROS/RNS aid tumor development by regulating cell motility, invasiveness, and metastasis.
Thus, experimental evidence on invasive melanoma and lung metastasis introduces the involvement of a c-Met downstream signaling pathway resulting in the generation of hydrogen peroxide []. ROS induce activation of the Snail factor, the initiator of the epithelial–mesenschymal transition (EMT). More importantly, ROS are suggested to cause an environmental burden affecting cells programmed to metastasize [,].
As far as HA is concerned, it is overexpressed in most solid human tumors and affects cancer cell functions []. HA can regulate the cell motility of tumor cells [,,,,]. HA influences tissue characteristics [] and, in cancer, is shown to aid tumor growth, modulate immune surveillance and protect cancer cells from apoptosis []. Indeed, the HA receptor, CD44, is a major cell adhesion receptor expressed in cancer and cancer stem cells, which facilitates cell–cell and cell–matrix interactions, proliferation, differentiation, invasion, and migration [,].
HA’s action in cancer cell function is dependent on its molecular weight. LMW HA (1.2–500 kDa) produced during inflammation or tissue damage can lead to angiogenesis leading to cancer development [,,,,,]. HA fragmentation can either result from Hyal or ROS action [,] and can cause damage to the endothelial glycocalyx that results in endothelial barrier dysfunction, an initiating factor in disease states including cancer []. Moreover, HYBID was determined to facilitate colon cancer metastasis to the liver by regulating the infiltration of neutrophils [], whereas, in breast and laryngeal cancer, HYBID expression is suggested to correlate with poor prognosis and has been proposed as a potential biomarker []. ROS were shown to increase the activity of HYALs by p38 MAPK regulation in lung inflammation []. Increased expression of HA in cancer, i.e., breast cancer induced by NOS, has been described []. HA enhances signaling affecting melanoma cell motility through CD44/EGFR interaction, and the FAK activation and ROS-dependent production of MMP-2 [].
The interaction of tumor cells and monocytes in tissues involves surface molecules such as CD44, which are required to produce reactive oxygen intermediates (ROI). Experiments blocking CD44 on monocytes by HA addition diminish their reaction to tumor cells []. It was shown that HMW HA, and not LMW HA, enhances ROS levels in a manner dependent on CD44 [,]. HA/CD44 interaction produces peroxynitrite and H2O2, which induces HA-mediated melanoma cell motility. Experiments found that the above redox species are produced by NOX2 enzyme action [], which triggers HA-induced PKC and Rac1 activity [,,]. Upon HA binding to CD44, the expression of p62 is increased in breast cancer stem cells. P62, in turn, deactivates KEAP1 enhancing the activation of Nrf2, which triggers antioxidant response genes transcription. Finally, ROS accumulation is inhibited, and breast cancer drug resistance is enhanced [].
CD44 exhibits various spliced isoforms, including CD44v [], which combined with post-translational modifications, offer different cell function capabilities and signaling events in cancerogenesis dependent on or independent of HA []. Notably, several CD44 variants participate in reducing ROS levels in cancer cells by coupling with the glutamate-cystine transporter xCT []. The latter is identified as a mechanism of cell resistance to chemo- and radiotherapy []. It has been reported that CD44 v8-10 have a protective role in gastric cancer cells related to the redox stress-initiated Wnt signaling cascade and transcription of c-Myc []. CD44 is suggested to be a surface marker for cancer stem-like cells (CSCs), which are resistant to ROS-induced damage and have low levels of intracellular ROS []. It was shown that intracellular ROS generation after exposure to H2O2 was dependent on CD44v expression in different gastric and colorectal cancer cell lines []. CD44-regulated Hippo-signaling has been proven to sensitize glioblastoma cells to chemotherapy [].
A recent study demonstrated that the inhibitor of the apoptosis-stimulating protein of p53 (iASPP) physically forms a complex with CD44s in normal and transformed cells. Various solid tumor types were found to exhibit discrete expression of iASPP, p53 and CD44s, whereas in fibroblasts, iASPP was shown to bind with CD44s via the ankyrin-binding domain in a manner stimulated by HA. Furthermore, a p53-induced increase in ROS production in HEK293 cells was dependent on CD44s expression. These authors suggest that the CD44, iASPP, and HA interaction may have therapeutical implications in transformed cells by regulating ROS generation [].
Currently used cancer treatments and research for new treatments aim to increase the levels of ROS and RONS in cells to induce apoptosis [,,]. On the same note, research in modulating the levels of HA and CD44 and their interactions is considered necessary to disrupt the signaling pathways that favor tumor progression and reduce cancer resistance to therapy.
7. Application of ROS–HA Interactions in Therapeutical Approaches
HMW and LMW HA in solid tumor microenvironments participate in tumor growth and progression, hinder anti-tumoral immune surveillance, and reduce cancer cell apoptosis []. In addition, CD44 HA receptor variants can couple with glutamate-cystine transporter xCT and reduce the intracellular ROS in cancer cells, making them resistant to chemo- and radiotherapy []. Therefore, the capability of HA receptors and HA to modulate ROS generation and levels must be considered when designing ROS-related therapies.
Notably, CD44 is highly expressed in tumor cells, and its binding to HA triggers downstream pro-tumoral signaling cascades. CD44 overexpression and its strong affinity to HA was recently explored in cancer targeting by developing nanoparticles that contain anti-tumoral drugs into which HA is incorporated. Thus, the HA-coated nanoparticles can target cancer stem cells by binding to activated CD44 and delivering drugs []. For example, HA nanoparticles delivered paclitaxel to B16F10 melanoma stem-like cells, inhibiting tumor sphere formation and downregulating cancer stem cells correlated transcription factor Oct-4 []. In addition, several recent studies have demonstrated that HA-based nanoparticles can attenuate tumor cell resistance to standard therapies.
Thus, in novel chemo-photothermal therapy, an ROS-responsive HA-based nanoparticle carrying methotrexate and a photothermal agent was designed. The administration of the respective nanomedicine inhibited almost 71% of tumor growth in a 4T1 tumor-bearing mice model. This recent study underlined the potential of ROS-responsive therapy in cancer [].
Radio resistance is another important topic in oncology. Indeed, the up-regulation of NADPH oxidases in cancer cells leads to their adaptation to high ROS levels and hence limited sensitivity to radiotherapy. Therefore, nanoparticles incorporating HA to target CD44 and carrying an NADPH oxidases inhibitor were designed. These HA-based nanoparticles inhibited the tumor growth of breast cancer patient-derived xenografts in nude mice. Notably, topical low-dose radiotherapy was significantly more efficient in treated animals, demonstrating the increased radio sensitivity of cancer cells [].
Nanoparticles utilizing HA as a carrier and incorporating a ROS generator (cinnamaldehyde) and β-phenethyl isothiocyanate to target tumor cells were generated differently. The designed nanoparticles inflict oxidative stress and suppress the activity of tumor cells’ antioxidant enzymes. In vitro and in vivo findings demonstrated the high antitumor efficacy of this HA-based nanoparticle [].
Another recent report has shown that complex HA–ZnO nanoparticles delivering glucose oxidase and artesunate, compounds that induce cell starvation and oxidative damage, respectively, induced efficient tumor cell apoptosis and growth inhibition in a breast cancer BALB/c mice model [].
Additionally, the disruption of specific HA and CD44 isoforms linkage could have a therapeutic effect on cancer. There are several methods to achieve this goal. For example, HA can be modified by HYALS that are chemically altered by deacetylation, sulfation, and oxidation [], or even disrupted by gamma radiation []. In addition, as previously noted, ROS and RONs [e.g., hydroxyl (HO•) radicals and peroxynitrite (ONOO−)] can break the glycosidic bonds of HA [].
Small interfering RNA or blocking antibodies can also disrupt CD44–HA interaction, exhibiting antitumor potency in animal models and even preventing tumor recurrence []. All these modifications hinder the CD44–HA bond and block the signaling events involved in the biology of tumor cells, from survival to metastasis.
Altering the CD44 structure is another possibility to disrupt the CD44–HA binding, as earlier shown by the reduction of disulfide bonds in the groove that binds HA []. More recently, it has been demonstrated that the oxidation of both players, HA and CD44, can efficiently disturb their interaction. The reduced binding downregulated downstream signaling events and attenuated the proliferation in cancer cells [].
Various studies have highlighted the potential ROS-scavenging HA effect in therapeutical application. Thus, when coated with HA, bilirubin nanoparticles exhibited a superior ability to attenuate kidney damage due to ischemia compared with non-coated nanoparticles []. Likewise, it was shown that exogenous administration of HMW HA due to antioxidant properties is beneficial in treating lung diseases such as acute lung injury and airway hyperreactivity [].
In another context, HA ROS scavenging abilities have been postulated to be beneficial as the standard therapies in oncology (e.g., radiotherapy chemotherapy, photodynamic therapy, chemo-photothermal therapy, etc.) increase the levels of ROS and RONS in cells to induce apoptosis []. HA is a powerful antioxidant that binds –OH groups, protecting cells from oxidative damage. When interacting with oxygen radicals, the HA molecule undergoes several changes, losing parts of its polymeric structure, which is also accompanied by fluid loss. Being a hygroscopic molecule with high osmotic properties, HA retains a large amount of water and ions, maintaining moisture and tissue turgor. Several studies indicate that this property of HA is important for controlling hydration and healing of ulcers of the oral mucosa [,].
Mucositis of the oral cavity is the most frequent and severe complication of conservative treatment of malignant tumors of the oropharyngeal zone, which significantly impacts the quality of life, the effectiveness of treatment of patients, and its cost [,,].
Due to its properties and functions, HA can influence almost all the phases in the pathogenesis of radiation mucositis. In particular, by binding ROS, exogenous HMW HA inhibits the initiation phase of radiation mucositis, preventing oxidative damage to lipids, proteins, carbohydrates, and DNA in cells, thereby maintaining the viability of epitheliocytes and fibroblasts in the submucosa and blocking apoptosis [,,,]. The HMW HA molecule can attenuate the signal phase of mucositis since it binds to the CD44 receptor, inhibiting leukocyte recruitment and indirectly reducing the production of pro-inflammatory cytokines, which causes submucosal fibrosis and a decrease in the reparative capabilities of the mucosa [,]. The results of the studies also suggest that HA application results in accelerated ECM re-modeling due to the activation of fibroblasts that synthesize collagen. At the same time, as collagen deposition becomes more ordered, conditions are created for enhanced migration of epitheliocytes to the zone of mucosal damage [,,]. Thus, HMW HA stimulates the healing phase.
The applications of ROS–HA interactions in therapeutical approaches are summarized in Table 3.

Table 3.
Use of HA in ROS-dependent therapeutical approaches.
However, since exogenous HA can inhibit the action of ROS and suppresses oxidative stress, which is one of the critical links in the mechanism of the antitumor effect of radiation therapy, the safety of using this GAG in patients with malignant tumors requires additional studies.
8. Conclusions
ROS and RNS react with HA, producing LMW HA fragments that may bear various modifications. The generated LMW HA fragments modulate critical cellular signaling pathways that affect tissue homeostasis and participate in disease pathogenesis. The degradation of endothelial glycocalyx HA by increased ROS challenges vascular integrity and can initiate several disease progressions. On the other hand, HA exerts a vital role in wound healing through ROS-mediated HA modifications, which affect the innate immune system. Immune cells originating from innate and adaptive immunity express TLRs, which trigger the inflammatory processes upon LMW HA binding. CD44 is critical in transporting HA cues to the intracellular cascades regulating cell fate. Alternatively, ROS scavenging properties have been attributed to HA opening a novel field in ROS/RNS interactions. Therefore, the role of the longtime considered “archaic” HA molecule is more complex than presently perceived. ROS and RNS species interaction with HA may be a key to unlocking novel therapeutical options for human disease.
Author Contributions
Conceptualization, D.N. and A.B. writing—original draft preparation, D.N., A.B., M.N., A.K. and S.P. writing—review and editing, D.N., A.B., I.S. and S.P. All authors have read and agreed to the published version of the manuscript.
Funding
D.N. was partially funded by the Research Committee of the University of Crete (ELKE), grant number (KA:10333). M.N. was partially funded by the Ministry of Research, Innovation and Digitization, CCCDI-UEFISCDI, (PN-III-P4- PCE-2021-0549) within PNCDI III.
Acknowledgments
This article is based upon work from COST Action INNOGLY CA 18103, supported by COST (European Cooperation in Science and Technology).
Conflicts of Interest
The authors declare no conflict of interest.
References
- Perez, S.; Makshakova, O.; Angulo, J.; Bedini, E.; Bisio, A.; de Paz, J.L.; Fadda, E.; Guerini, M.; Hricovini, L.; Hricovini, M.; et al. Glycosaminoglycans: What Remains to be Deciphered. J. Am. Chem. Soc. Au 2023. [Google Scholar] [CrossRef]
- Laurent, U.B.; Tengblad, A. Determination of hyaluronate in biological samples by a specific radioassay technique. Anal. Biochem. 1980, 109, 386–394. [Google Scholar] [CrossRef] [PubMed]
- Fraser, J.R.; Laurent, T.C.; Laurent, U.B. Hyaluronan: Its nature, distribution, functions and turnover. J. Intern. Med. 1997, 242, 27–33. [Google Scholar] [CrossRef]
- Perkins, K.L.; Arranz, A.M.; Yamaguchi, Y.; Hrabetova, S. Brain extracellular space, hyaluronan, and the prevention of epileptic seizures. Rev. Neurosci. 2017, 28, 869–892. [Google Scholar] [CrossRef] [PubMed]
- Weigel, P.H. Systemic Glycosaminoglycan Clearance by HARE/Stabilin-2 Activates Intracellular Signaling. Cells 2020, 9, 2366. [Google Scholar] [CrossRef]
- Stern, R.; Jedrzejas, M.J. Hyaluronidases: Their genomics, structures, and mechanisms of action. Chem. Rev. 2006, 106, 818–839. [Google Scholar] [CrossRef]
- Chao, K.L.; Muthukumar, L.; Herzberg, O. Structure of human hyaluronidase-1, a hyaluronan hydrolyzing enzyme involved in tumor growth and angiogenesis. Biochemistry 2007, 46, 6911–6920. [Google Scholar] [CrossRef]
- Spataro, S.; Guerra, C.; Cavalli, A.; Sgrignani, J.; Sleeman, J.; Poulain, L.; Boland, A.; Scapozza, L.; Moll, S.; Prunotto, M. CEMIP (HYBID, KIAA1199): Structure, function and expression in health and disease. FEBS J. 2022. [Google Scholar] [CrossRef]
- Yoshida, H.; Nagaoka, A.; Kusaka-Kikushima, A.; Tobiishi, M.; Kawabata, K.; Sayo, T.; Sakai, S.; Sugiyama, Y.; Enomoto, H.; Okada, Y.; et al. KIAA1199, a deafness gene of unknown function, is a new hyaluronan binding protein involved in hyaluronan depolymerization. Proc. Natl. Acad. Sci. USA 2013, 110, 5612–5617. [Google Scholar] [CrossRef]
- Monslow, J.; Govindaraju, P.; Pure, E. Hyaluronan—A functional and structural sweet spot in the tissue microenvironment. Front. Immunol. 2015, 6, 231. [Google Scholar] [CrossRef]
- Gao, L.; Lipowsky, H.H. Composition of the endothelial glycocalyx and its relation to its thickness and diffusion of small solutes. Microvasc. Res. 2010, 80, 394–401. [Google Scholar] [CrossRef] [PubMed]
- Dogne, S.; Flamion, B. Endothelial Glycocalyx Impairment in Disease: Focus on Hyaluronan Shedding. Am. J. Pathol. 2020, 190, 768–780. [Google Scholar] [CrossRef] [PubMed]
- Cowman, M.K. Hyaluronan and Hyaluronan Fragments. Adv. Carbohydr. Chem. Biochem. 2017, 74, 1–59. [Google Scholar] [CrossRef] [PubMed]
- Kavasi, R.M.; Berdiaki, A.; Spyridaki, I.; Corsini, E.; Tsatsakis, A.; Tzanakakis, G.; Nikitovic, D. HA metabolism in skin homeostasis and inflammatory disease. Food Chem. Toxicol. 2017, 101, 128–138. [Google Scholar] [CrossRef] [PubMed]
- Nikitovic, D.; Tzardi, M.; Berdiaki, A.; Tsatsakis, A.; Tzanakakis, G.N. Cancer microenvironment and inflammation: Role of hyaluronan. Front. Immunol. 2015, 6, 169. [Google Scholar] [CrossRef]
- Kavdia, M. Mathematical and computational models of oxidative and nitrosative stress. Crit. Rev. Biomed. Eng. 2011, 39, 461–472. [Google Scholar] [CrossRef]
- Kohen, R.; Nyska, A. Oxidation of biological systems: Oxidative stress phenomena, antioxidants, redox reactions, and methods for their quantification. Toxicol. Pathol. 2002, 30, 620–650. [Google Scholar] [CrossRef]
- Miao, L.; St Clair, D.K. Regulation of superoxide dismutase genes: Implications in disease. Free. Radic. Biol. Med. 2009, 47, 344–356. [Google Scholar] [CrossRef]
- Pisoschi, A.M.; Pop, A. The role of antioxidants in the chemistry of oxidative stress: A review. Eur. J. Med. Chem. 2015, 97, 55–74. [Google Scholar] [CrossRef]
- Rees, M.D.; Kennett, E.C.; Whitelock, J.M.; Davies, M.J. Oxidative damage to extracellular matrix and its role in human pathologies. Free Radic. Biol. Med. 2008, 44, 1973–2001. [Google Scholar] [CrossRef]
- Rees, M.D.; Davies, M.J. Heparan sulfate degradation via reductive homolysis of its N-chloro derivatives. J. Am. Chem. Soc. 2006, 128, 3085–3097. [Google Scholar] [CrossRef] [PubMed]
- Rees, M.D.; Hawkins, C.L.; Davies, M.J. Hypochlorite and superoxide radicals can act synergistically to induce fragmentation of hyaluronan and chondroitin sulphates. Biochem. J. 2004, 381, 175–184. [Google Scholar] [CrossRef] [PubMed]
- Kennett, E.C.; Davies, M.J. Degradation of matrix glycosaminoglycans by peroxynitrite/peroxynitrous acid: Evidence for a hydroxyl-radical-like mechanism. Free Radic. Biol. Med. 2007, 42, 1278–1289. [Google Scholar] [CrossRef]
- Winterbourn, C.C. Reconciling the chemistry and biology of reactive oxygen species. Nat. Chem. Biol. 2008, 4, 278–286. [Google Scholar] [CrossRef] [PubMed]
- McNeil, J.D.; Wiebkin, O.W.; Betts, W.H.; Cleland, L.G. Depolymerisation products of hyaluronic acid after exposure to oxygen-derived free radicals. Ann. Rheum. Dis. 1985, 44, 780–789. [Google Scholar] [CrossRef]
- Heldin, P.; Lin, C.Y.; Kolliopoulos, C.; Chen, Y.H.; Skandalis, S.S. Regulation of hyaluronan biosynthesis and clinical impact of excessive hyaluronan production. Matrix Biol. 2019, 78, 100–117. [Google Scholar] [CrossRef]
- Cyphert, J.M.; Trempus, C.S.; Garantziotis, S. Size Matters: Molecular Weight Specificity of Hyaluronan Effects in Cell Biology. Int. J. Cell Biol. 2015, 2015, 563818. [Google Scholar] [CrossRef]
- Roedig, H.; Damiescu, R.; Zeng-Brouwers, J.; Kutija, I.; Trebicka, J.; Wygrecka, M.; Schaefer, L. Danger matrix molecules orchestrate CD14/CD44 signaling in cancer development. Semin. Cancer Biol. 2020, 62, 31–47. [Google Scholar] [CrossRef]
- Girish, K.S.; Kemparaju, K. The magic glue hyaluronan and its eraser hyaluronidase: A biological overview. Life Sci. 2007, 80, 1921–1943. [Google Scholar] [CrossRef]
- Volpi, N.; Schiller, J.; Stern, R.; Soltes, L. Role, metabolism, chemical modifications and applications of hyaluronan. Curr. Med. Chem. 2009, 16, 1718–1745. [Google Scholar] [CrossRef]
- Screaton, G.R.; Bell, M.V.; Jackson, D.G.; Cornelis, F.B.; Gerth, U.; Bell, J.I. Genomic structure of DNA encoding the lymphocyte homing receptor CD44 reveals at least 12 alternatively spliced exons. Proc. Natl. Acad. Sci. USA 1992, 89, 12160–12164. [Google Scholar] [CrossRef] [PubMed]
- Banerji, S.; Wright, A.J.; Noble, M.; Mahoney, D.J.; Campbell, I.D.; Day, A.J.; Jackson, D.G. Structures of the Cd44-hyaluronan complex provide insight into a fundamental carbohydrate-protein interaction. Nat. Struct. Mol. Biol. 2007, 14, 234–239. [Google Scholar] [CrossRef]
- Blundell, C.D.; Mahoney, D.J.; Almond, A.; DeAngelis, P.L.; Kahmann, J.D.; Teriete, P.; Pickford, A.R.; Campbell, I.D.; Day, A.J. The link module from ovulation- and inflammation-associated protein TSG-6 changes conformation on hyaluronan binding. J. Biol. Chem. 2003, 278, 49261–49270. [Google Scholar] [CrossRef] [PubMed]
- Vuorio, J.; Vattulainen, I.; Martinez-Seara, H. Atomistic fingerprint of hyaluronan-CD44 binding. PLoS Comput. Biol. 2017, 13, e1005663. [Google Scholar] [CrossRef]
- Yang, C.; Cao, M.; Liu, H.; He, Y.; Xu, J.; Du, Y.; Liu, Y.; Wang, W.; Cui, L.; Hu, J.; et al. The high and low molecular weight forms of hyaluronan have distinct effects on CD44 clustering. J. Biol. Chem. 2012, 287, 43094–43107. [Google Scholar] [CrossRef] [PubMed]
- Naor, D.; Sionov, R.V.; Ish-Shalom, D. CD44: Structure, function, and association with the malignant process. Adv. Cancer Res. 1997, 71, 241–319. [Google Scholar] [CrossRef]
- Teriete, P.; Banerji, S.; Noble, M.; Blundell, C.D.; Wright, A.J.; Pickford, A.R.; Lowe, E.; Mahoney, D.J.; Tammi, M.I.; Kahmann, J.D.; et al. Structure of the regulatory hyaluronan binding domain in the inflammatory leukocyte homing receptor CD44. Mol. Cell 2004, 13, 483–496. [Google Scholar] [CrossRef]
- Liao, C.; Wang, Q.; An, J.; Chen, J.; Li, X.; Long, Q.; Xiao, L.; Guan, X.; Liu, J. CD44 Glycosylation as a Therapeutic Target in Oncology. Front. Oncol. 2022, 12, 883831. [Google Scholar] [CrossRef] [PubMed]
- Lokeshwar, V.B.; Fregien, N.; Bourguignon, L.Y. Ankyrin-binding domain of CD44(GP85) is required for the expression of hyaluronic acid-mediated adhesion function. J. Cell Biol. 1994, 126, 1099–1109. [Google Scholar] [CrossRef]
- Mori, T.; Kitano, K.; Terawaki, S.; Maesaki, R.; Fukami, Y.; Hakoshima, T. Structural basis for CD44 recognition by ERM proteins. J. Biol. Chem. 2008, 283, 29602–29612. [Google Scholar] [CrossRef]
- Fehon, R.G.; McClatchey, A.I.; Bretscher, A. Organizing the cell cortex: The role of ERM proteins. Nat. Rev. Mol. Cell Biol. 2010, 11, 276–287. [Google Scholar] [CrossRef] [PubMed]
- Bourguignon, L.Y.; Shiina, M.; Li, J.J. Hyaluronan-CD44 interaction promotes oncogenic signaling, microRNA functions, chemoresistance, and radiation resistance in cancer stem cells leading to tumor progression. Adv. Cancer Res. 2014, 123, 255–275. [Google Scholar] [CrossRef]
- Wang, Z.; Zhao, K.; Hackert, T.; Zoller, M. CD44/CD44v6 a Reliable Companion in Cancer-Initiating Cell Maintenance and Tumor Progression. Front. Cell Dev. Biol. 2018, 6, 97. [Google Scholar] [CrossRef] [PubMed]
- Turley, E.A.; Noble, P.W.; Bourguignon, L.Y. Signaling properties of hyaluronan receptors. J. Biol. Chem. 2002, 277, 4589–4592. [Google Scholar] [CrossRef] [PubMed]
- Wang, Y.Z.; Cao, M.L.; Liu, Y.W.; He, Y.Q.; Yang, C.X.; Gao, F. CD44 mediates oligosaccharides of hyaluronan-induced proliferation, tube formation and signal transduction in endothelial cells. Exp. Biol. Med. 2011, 236, 84–90. [Google Scholar] [CrossRef]
- Noble, P.W. Hyaluronan and its catabolic products in tissue injury and repair. Matrix Biol. 2002, 21, 25–29. [Google Scholar] [CrossRef]
- Ruppert, S.M.; Hawn, T.R.; Arrigoni, A.; Wight, T.N.; Bollyky, P.L. Tissue integrity signals communicated by high-molecular weight hyaluronan and the resolution of inflammation. Immunol. Res. 2014, 58, 186–192. [Google Scholar] [CrossRef]
- Nikitovic, D.; Berdiaki, A.; Galbiati, V.; Kavasi, R.M.; Papale, A.; Tsatsakis, A.; Tzanakakis, G.N.; Corsini, E. Hyaluronan regulates chemical allergen-induced IL-18 production in human keratinocytes. Toxicol. Lett. 2015, 232, 89–97. [Google Scholar] [CrossRef]
- Bourguignon, L.Y.; Wong, G.; Earle, C.; Krueger, K.; Spevak, C.C. Hyaluronan-CD44 interaction promotes c-Src-mediated twist signaling, microRNA-10b expression, and RhoA/RhoC up-regulation, leading to Rho-kinase-associated cytoskeleton activation and breast tumor cell invasion. J. Biol. Chem. 2010, 285, 36721–36735. [Google Scholar] [CrossRef]
- Yusupov, M.; Privat-Maldonado, A.; Cordeiro, R.M.; Verswyvel, H.; Shaw, P.; Razzokov, J.; Smits, E.; Bogaerts, A. Oxidative damage to hyaluronan-CD44 interactions as an underlying mechanism of action of oxidative stress-inducing cancer therapy. Redox Biol. 2021, 43, 101968. [Google Scholar] [CrossRef]
- Hardwick, C.; Hoare, K.; Owens, R.; Hohn, H.P.; Hook, M.; Moore, D.; Cripps, V.; Austen, L.; Nance, D.M.; Turley, E.A. Molecular cloning of a novel hyaluronan receptor that mediates tumor cell motility. J. Cell Biol. 1992, 117, 1343–1350. [Google Scholar] [CrossRef]
- Maxwell, C.A.; McCarthy, J.; Turley, E. Cell-surface and mitotic-spindle RHAMM: Moonlighting or dual oncogenic functions? J. Cell Sci. 2008, 121, 925–932. [Google Scholar] [CrossRef] [PubMed]
- Savani, R.C.; Turley, E.A. The role of hyaluronan and its receptors in restenosis after balloon angioplasty: Development of a potential therapy. Int. J. Tissue React. 1995, 17, 141–151. [Google Scholar] [PubMed]
- Garantziotis, S.; Savani, R.C. Hyaluronan biology: A complex balancing act of structure, function, location and context. Matrix Biol. 2019, 78, 1–10. [Google Scholar] [CrossRef] [PubMed]
- Kouvidi, K.; Berdiaki, A.; Nikitovic, D.; Katonis, P.; Afratis, N.; Hascall, V.C.; Karamanos, N.K.; Tzanakakis, G.N. Role of receptor for hyaluronic acid-mediated motility (RHAMM) in low molecular weight hyaluronan (LMWHA)-mediated fibrosarcoma cell adhesion. J. Biol. Chem. 2011, 286, 38509–38520. [Google Scholar] [CrossRef]
- Kouvidi, K.; Nikitovic, D.; Berdiaki, A.; Tzanakakis, G.N. Hyaluronan/RHAMM interactions in mesenchymal tumor pathogenesis: Role of growth factors. Adv. Cancer Res. 2014, 123, 319–349. [Google Scholar] [CrossRef]
- Hinneh, J.A.; Gillis, J.L.; Moore, N.L.; Butler, L.M.; Centenera, M.M. The role of RHAMM in cancer: Exposing novel therapeutic vulnerabilities. Front. Oncol. 2022, 12, 982231. [Google Scholar] [CrossRef]
- Stanly, T.A.; Fritzsche, M.; Banerji, S.; Shrestha, D.; Schneider, F.; Eggeling, C.; Jackson, D.G. The cortical actin network regulates avidity-dependent binding of hyaluronan by the lymphatic vessel endothelial receptor LYVE-1. J. Biol. Chem. 2020, 295, 5036–5050. [Google Scholar] [CrossRef]
- Tolg, C.; Hamilton, S.R.; Morningstar, L.; Zhang, J.; Zhang, S.; Esguerra, K.V.; Telmer, P.G.; Luyt, L.G.; Harrison, R.; McCarthy, J.B.; et al. RHAMM promotes interphase microtubule instability and mitotic spindle integrity through MEK1/ERK1/2 activity. J. Biol. Chem. 2010, 285, 26461–26474. [Google Scholar] [CrossRef]
- Tolg, C.; Yuan, H.; Flynn, S.M.; Basu, K.; Ma, J.; Tse, K.C.K.; Kowalska, B.; Vulkanesku, D.; Cowman, M.K.; McCarthy, J.B.; et al. Hyaluronan modulates growth factor induced mammary gland branching in a size dependent manner. Matrix Biol. J. Int. Soc. Matrix Biol. 2017, 63, 117–132. [Google Scholar] [CrossRef]
- Goueffic, Y.; Guilluy, C.; Guerin, P.; Patra, P.; Pacaud, P.; Loirand, G. Hyaluronan induces vascular smooth muscle cell migration through RHAMM-mediated PI3K-dependent Rac activation. Cardiovasc. Res. 2006, 72, 339–348. [Google Scholar] [CrossRef] [PubMed]
- Kouvidi, K.; Berdiaki, A.; Tzardi, M.; Karousou, E.; Passi, A.; Nikitovic, D.; Tzanakakis, G.N. Receptor for hyaluronic acid- mediated motility (RHAMM) regulates HT1080 fibrosarcoma cell proliferation via a beta-catenin/c-myc signaling axis. Biochim. Biophys. Acta 2016, 1860, 814–824. [Google Scholar] [CrossRef] [PubMed]
- Falkowski, M.; Schledzewski, K.; Hansen, B.; Goerdt, S. Expression of stabilin-2, a novel fasciclin-like hyaluronan receptor protein, in murine sinusoidal endothelia, avascular tissues, and at solid/liquid interfaces. Histochem. Cell Biol. 2003, 120, 361–369. [Google Scholar] [CrossRef] [PubMed]
- Pandey, M.S.; Baggenstoss, B.A.; Washburn, J.; Harris, E.N.; Weigel, P.H. The hyaluronan receptor for endocytosis (HARE) activates NF-kappaB-mediated gene expression in response to 40-400-kDa, but not smaller or larger, hyaluronans. J. Biol. Chem. 2013, 288, 14068–14079. [Google Scholar] [CrossRef]
- Lawrance, W.; Banerji, S.; Day, A.J.; Bhattacharjee, S.; Jackson, D.G. Binding of Hyaluronan to the Native Lymphatic Vessel Endothelial Receptor LYVE-1 Is Critically Dependent on Receptor Clustering and Hyaluronan Organization. J. Biol. Chem. 2016, 291, 8014–8030. [Google Scholar] [CrossRef]
- Johnson, L.A.; Banerji, S.; Lawrance, W.; Gileadi, U.; Prota, G.; Holder, K.A.; Roshorm, Y.M.; Hanke, T.; Cerundolo, V.; Gale, N.W.; et al. Dendritic cells enter lymph vessels by hyaluronan-mediated docking to the endothelial receptor LYVE-1. Nat. Immunol. 2017, 18, 762–770. [Google Scholar] [CrossRef]
- Lim, H.Y.; Lim, S.Y.; Tan, C.K.; Thiam, C.H.; Goh, C.C.; Carbajo, D.; Chew, S.H.S.; See, P.; Chakarov, S.; Wang, X.N.; et al. Hyaluronan Receptor LYVE-1-Expressing Macrophages Maintain Arterial Tone through Hyaluronan-Mediated Regulation of Smooth Muscle Cell Collagen. Immunity 2018, 49, 326–341.e7. [Google Scholar] [CrossRef] [PubMed]
- Aderem, A.; Ulevitch, R.J. Toll-like receptors in the induction of the innate immune response. Nature 2000, 406, 782–787. [Google Scholar] [CrossRef]
- Jiang, D.; Liang, J.; Noble, P.W. Hyaluronan as an immune regulator in human diseases. Physiol. Rev. 2011, 91, 221–264. [Google Scholar] [CrossRef]
- Liu, M.; Tolg, C.; Turley, E. Dissecting the Dual Nature of Hyaluronan in the Tumor Microenvironment. Front. Immunol. 2019, 10, 947. [Google Scholar] [CrossRef]
- Termeer, C.; Benedix, F.; Sleeman, J.; Fieber, C.; Voith, U.; Ahrens, T.; Miyake, K.; Freudenberg, M.; Galanos, C.; Simon, J.C. Oligosaccharides of Hyaluronan activate dendritic cells via toll-like receptor 4. J. Exp. Med. 2002, 195, 99–111. [Google Scholar] [CrossRef] [PubMed]
- Soltes, L.; Mendichi, R.; Kogan, G.; Schiller, J.; Stankovska, M.; Arnhold, J. Degradative action of reactive oxygen species on hyaluronan. Biomacromolecules 2006, 7, 659–668. [Google Scholar] [CrossRef] [PubMed]
- Tarbell, J.M.; Pahakis, M.Y. Mechanotransduction and the glycocalyx. J. Intern. Med. 2006, 259, 339–350. [Google Scholar] [CrossRef]
- Weinbaum, S.; Tarbell, J.M.; Damiano, E.R. The structure and function of the endothelial glycocalyx layer. Annu. Rev. Biomed. Eng. 2007, 9, 121–167. [Google Scholar] [CrossRef] [PubMed]
- Alphonsus, C.S.; Rodseth, R.N. The endothelial glycocalyx: A review of the vascular barrier. Anaesthesia 2014, 69, 777–784. [Google Scholar] [CrossRef]
- Sauer, A.; Seeliger, B.; Jandl, K.; Erfinanda, L.; Wilhelm, J.; Alexopoulos, I.; Baal, N.; Birnhuber, A.; David, S.; Welte, T.; et al. Circulating hyaluronic acid signature in CAP and ARDS—The role of pneumolysin in hyaluronic acid shedding. Matrix Biol. 2022, 114, 67–83. [Google Scholar] [CrossRef] [PubMed]
- Lennon, F.E.; Singleton, P.A. Hyaluronan regulation of vascular integrity. Am. J. Cardiovasc. Dis. 2011, 1, 200–213. [Google Scholar] [PubMed]
- Singleton, P.A.; Mirzapoiazova, T.; Guo, Y.; Sammani, S.; Mambetsariev, N.; Lennon, F.E.; Moreno-Vinasco, L.; Garcia, J.G. High-molecular-weight hyaluronan is a novel inhibitor of pulmonary vascular leakiness. Am. J. Physiol. Lung Cell. Mol. Physiol. 2010, 299, L639–L651. [Google Scholar] [CrossRef]
- Singleton, P.A.; Dudek, S.M.; Ma, S.F.; Garcia, J.G. Transactivation of sphingosine 1-phosphate receptors is essential for vascular barrier regulation. Novel role for hyaluronan and CD44 receptor family. J. Biol. Chem. 2006, 281, 34381–34393. [Google Scholar] [CrossRef] [PubMed]
- Manicourt, D.H.; Poilvache, P.; Nzeusseu, A.; van Egeren, A.; Devogelaer, J.P.; Lenz, M.E.; Thonar, E.J. Serum levels of hyaluronan, antigenic keratan sulfate, matrix metalloproteinase 3, and tissue inhibitor of metalloproteinases 1 change predictably in rheumatoid arthritis patients who have begun activity after a night of bed rest. Arthritis Rheum. 1999, 42, 1861–1869. [Google Scholar] [CrossRef]
- Pasonen-Seppanen, S.; Hyttinen, J.M.; Rilla, K.; Jokela, T.; Noble, P.W.; Tammi, M.; Tammi, R. Role of CD44 in the organization of keratinocyte pericellular hyaluronan. Histochem. Cell Biol. 2012, 137, 107–120. [Google Scholar] [CrossRef] [PubMed]
- Kaul, A.; Short, W.D.; Keswani, S.G.; Wang, X. Immunologic Roles of Hyaluronan in Dermal Wound Healing. Biomolecules 2021, 11, 1234. [Google Scholar] [CrossRef] [PubMed]
- Ghatak, S.; Maytin, E.V.; Mack, J.A.; Hascall, V.C.; Atanelishvili, I.; Moreno Rodriguez, R.; Markwald, R.R.; Misra, S. Roles of Proteoglycans and Glycosaminoglycans in Wound Healing and Fibrosis. Int. J. Cell Biol. 2015, 2015, 834893. [Google Scholar] [CrossRef] [PubMed]
- Zhao, H.; Tanaka, T.; Mitlitski, V.; Heeter, J.; Balazs, E.A.; Darzynkiewicz, Z. Protective effect of hyaluronate on oxidative DNA damage in WI-38 and A549 cells. Int. J. Oncol. 2008, 32, 1159–1167. [Google Scholar] [CrossRef]
- Solis, M.A.; Wei, Y.H.; Chang, C.H.; Yu, C.H.; Huang, L.L.H. Hyaluronan Induces a Mitochondrial Functional Switch in Fast-Proliferating Human Mesenchymal Stem. Int. J. Stem Cells 2020, 13, 151–162. [Google Scholar] [CrossRef]
- Neagu, M.; Constantin, C.; Popescu, I.D.; Zipeto, D.; Tzanakakis, G.; Nikitovic, D.; Fenga, C.; Stratakis, C.A.; Spandidos, D.A.; Tsatsakis, A.M. Inflammation and Metabolism in Cancer Cell-Mitochondria Key Player. Front. Oncol. 2019, 9, 348. [Google Scholar] [CrossRef]
- Kavasi, R.M.; Neagu, M.; Constantin, C.; Munteanu, A.; Surcel, M.; Tsatsakis, A.; Tzanakakis, G.N.; Nikitovic, D. Matrix Effectors in the Pathogenesis of Keratinocyte-Derived Carcinomas. Front. Med. 2022, 9, 879500. [Google Scholar] [CrossRef]
- Avenoso, A.; Bruschetta, G.; Ascola, D.A.; Scuruchi, M.; Mandraffino, G.; Saitta, A.; Campo, S.; Campo, G.M. Hyaluronan Fragmentation During Inflammatory Pathologies: A Signal that Empowers Tissue Damage. Mini Rev. Med. Chem. 2020, 20, 54–65. [Google Scholar] [CrossRef]
- Han, W.; Lv, Y.; Sun, Y.; Wang, Y.; Zhao, Z.; Shi, C.; Chen, X.; Wang, L.; Zhang, M.; Wei, B.; et al. The anti-inflammatory activity of specific-sized hyaluronic acid oligosaccharides. Carbohydr. Polym. 2022, 276, 118699. [Google Scholar] [CrossRef]
- Romo, M.; Lopez-Vicario, C.; Perez-Romero, N.; Casulleras, M.; Martinez-Puchol, A.I.; Sanchez, B.; Flores-Costa, R.; Alcaraz-Quiles, J.; Duran-Guell, M.; Ibarzabal, A.; et al. Small fragments of hyaluronan are increased in individuals with obesity and contribute to low-grade inflammation through TLR-mediated activation of innate immune cells. Int. J. Obes. 2022, 46, 1960–1969. [Google Scholar] [CrossRef]
- Dominguez-Gutierrez, P.R.; Kwenda, E.P.; Donelan, W.; O’Malley, P.; Crispen, P.L.; Kusmartsev, S. Hyal2 Expression in Tumor-Associated Myeloid Cells Mediates Cancer-Related Inflammation in Bladder Cancer. Cancer Res. 2021, 81, 648–657. [Google Scholar] [CrossRef]
- Deroyer, C.; Poulet, C.; Paulissen, G.; Ciregia, F.; Malaise, O.; Plener, Z.; Cobraiville, G.; Daniel, C.; Gillet, P.; Malaise, M.G.; et al. CEMIP (KIAA1199) regulates inflammation, hyperplasia and fibrosis in osteoarthritis synovial membrane. Cell. Mol. Life Sci. 2022, 79, 260. [Google Scholar] [CrossRef] [PubMed]
- Teder, P.; Vandivier, R.W.; Jiang, D.; Liang, J.; Cohn, L.; Puré, E.; Henson, P.M.; Noble, P.W. Resolution of lung inflammation by CD44. Science 2002, 296, 155–158. [Google Scholar] [CrossRef] [PubMed]
- Lee-Sayer, S.S.; Dong, Y.; Arif, A.A.; Olsson, M.; Brown, K.L.; Johnson, P. The where, when, how, and why of hyaluronan binding by immune cells. Front. Immunol. 2015, 6, 150. [Google Scholar] [CrossRef] [PubMed]
- Bollyky, P.L.; Falk, B.A.; Long, S.A.; Preisinger, A.; Braun, K.R.; Wu, R.P.; Evanko, S.P.; Buckner, J.H.; Wight, T.N.; Nepom, G.T. CD44 costimulation promotes FoxP3+ regulatory T cell persistence and function via production of IL-2, IL-10, and TGF-beta. J. Immunol. 2009, 183, 2232–2241. [Google Scholar] [CrossRef]
- Jameson, J.M.; Cauvi, G.; Sharp, L.L.; Witherden, D.A.; Havran, W.L. Gammadelta T cell-induced hyaluronan production by epithelial cells regulates inflammation. J. Exp. Med. 2005, 201, 1269–1279. [Google Scholar] [CrossRef]
- Iwata, Y.; Yoshizaki, A.; Komura, K.; Shimizu, K.; Ogawa, F.; Hara, T.; Muroi, E.; Bae, S.; Takenaka, M.; Yukami, T.; et al. CD19, a response regulator of B lymphocytes, regulates wound healing through hyaluronan-induced TLR4 signaling. Am. J. Pathol. 2009, 175, 649–660. [Google Scholar] [CrossRef]
- Bourguignon, L.Y.; Wong, G.; Earle, C.A.; Xia, W. Interaction of low molecular weight hyaluronan with CD44 and toll-like receptors promotes the actin filament-associated protein 110-actin binding and MyD88-NFkappaB signaling leading to proinflammatory cytokine/chemokine production and breast tumor invasion. Cytoskeleton 2011, 68, 671–693. [Google Scholar] [CrossRef]
- Litwiniuk, M.; Krejner, A.; Grzela, T. HA in Inflammation and Tissue Regeneration. Wounds 2016, 28, 78–88. [Google Scholar]
- Phillips, M.; Bhandari, M.; Grant, J.; Bedi, A.; Trojian, T.; Johnson, A.; Schemitsch, E. A Systematic Review of Current Clinical Practice Guidelines on Intra-articular Hyaluronic Acid, Corticosteroid, and Platelet-Rich Plasma Injection for Knee Osteoarthritis: An International Perspective. Orthop. J. Sport. Med. 2021, 9, 23259671211030272. [Google Scholar] [CrossRef]
- Zaccaron, R.P.; Barbieri, R.T.; Mendes, C.; Venturini, L.M.; Alves, N.; Mariano, S.S.; de Andrade, T.A.M.; Hermes de Araujo, P.H.; Feuser, P.E.; Thirupathi, A.; et al. Photobiomodulation associated with lipid nanoparticles and hyaluronic acid accelerate the healing of excisional wounds. J. Biomater. Appl. 2022, 37, 668–682. [Google Scholar] [CrossRef] [PubMed]
- Takahashi, K.; Goomer, R.S.; Harwood, F.; Kubo, T.; Hirasawa, Y.; Amiel, D. The effects of hyaluronan on matrix metalloproteinase-3 (MMP-3), interleukin-1beta(IL-1beta), and tissue inhibitor of metalloproteinase-1 (TIMP-1) gene expression during the development of osteoarthritis. Osteoarthr. Cartil. 1999, 7, 182–190. [Google Scholar] [CrossRef] [PubMed]
- Wang, C.T.; Lin, Y.T.; Chiang, B.L.; Lin, Y.H.; Hou, S.M. High molecular weight hyaluronic acid down-regulates the gene expression of osteoarthritis-associated cytokines and enzymes in fibroblast-like synoviocytes from patients with early osteoarthritis. Osteoarthr. Cartil. 2006, 14, 1237–1247. [Google Scholar] [CrossRef] [PubMed]
- Campo, G.M.; Avenoso, A.; Nastasi, G.; Micali, A.; Prestipino, V.; Vaccaro, M.; D’Ascola, A.; Calatroni, A.; Campo, S. Hyaluronan reduces inflammation in experimental arthritis by modulating TLR-2 and TLR-4 cartilage expression. Biochim. Biophys. Acta 2011, 1812, 1170–1181. [Google Scholar] [CrossRef]
- Campo, G.M.; Avenoso, A.; D’Ascola, A.; Prestipino, V.; Scuruchi, M.; Nastasi, G.; Calatroni, A.; Campo, S. Hyaluronan differently modulates TLR-4 and the inflammatory response in mouse chondrocytes. Biofactors 2012, 38, 69–76. [Google Scholar] [CrossRef] [PubMed]
- Bostan, M.; Ion, G.; Mihaila, M.; Roman, V.; Constantin, C.; Neagu, M.T. Oxidative Stress Player in Head and Neck Cancer Therapy Response. In Interdisciplinary Cancer Research; Springer: Cham, Switzerland, 2022; pp. 1–35. [Google Scholar] [CrossRef]
- Srinivas, U.S.; Tan, B.W.Q.; Vellayappan, B.A.; Jeyasekharan, A.D. ROS and the DNA damage response in cancer. Redox Biol. 2019, 25, 101084. [Google Scholar] [CrossRef] [PubMed]
- Pauloin, T.; Dutot, M.; Joly, F.; Warnet, J.M.; Rat, P. High molecular weight hyaluronan decreases UVB-induced apoptosis and inflammation in human epithelial corneal cells. Mol. Vis. 2009, 15, 577–583. [Google Scholar] [PubMed]
- Macri, A.; Scanarotti, C.; Bassi, A.M.; Giuffrida, S.; Sangalli, G.; Traverso, C.E.; Iester, M. Evaluation of oxidative stress levels in the conjunctival epithelium of patients with or without dry eye, and dry eye patients treated with preservative-free hyaluronic acid 0.15% and vitamin B12 eye drops. Graefes Arch. Clin. Exp. Ophthalmol. 2015, 253, 425–430. [Google Scholar] [CrossRef]
- Kwon, M.J.; Han, J.; Kim, B.H.; Lee, Y.S.; Kim, T.Y. Superoxide dismutase 3 suppresses hyaluronic acid fragments mediated skin inflammation by inhibition of toll-like receptor 4 signaling pathway: Superoxide dismutase 3 inhibits reactive oxygen species-induced trafficking of toll-like receptor 4 to lipid rafts. Antioxid. Redox Signal. 2012, 16, 297–313. [Google Scholar] [CrossRef]
- Kavasi, R.M.; Berdiaki, A.; Spyridaki, I.; Papoutsidakis, A.; Corsini, E.; Tsatsakis, A.; Tzanakakis, G.N.; Nikitovic, D. Contact allergen (PPD and DNCB)-induced keratinocyte sensitization is partly mediated through a low molecular weight hyaluronan (LMWHA)/TLR4/NF-kappaB signaling axis. Toxicol. Appl. Pharm. 2019, 377, 114632. [Google Scholar] [CrossRef]
- Kao, J.J. The NF-kappaB inhibitor pyrrolidine dithiocarbamate blocks IL-1beta induced hyaluronan synthase 1 (HAS1) mRNA transcription, pointing at NF-kappaB dependence of the gene HAS1. Exp. Gerontol. 2006, 41, 641–647. [Google Scholar] [CrossRef] [PubMed]
- Vigetti, D.; Genasetti, A.; Karousou, E.; Viola, M.; Moretto, P.; Clerici, M.; Deleonibus, S.; De Luca, G.; Hascall, V.C.; Passi, A. Proinflammatory cytokines induce hyaluronan synthesis and monocyte adhesion in human endothelial cells through hyaluronan synthase 2 (HAS2) and the nuclear factor-kappaB (NF-kappaB) pathway. J. Biol. Chem. 2010, 285, 24639–24645. [Google Scholar] [CrossRef] [PubMed]
- Wang, X.; Liu, W.; Sun, C.L.; Armenian, S.H.; Hakonarson, H.; Hageman, L.; Ding, Y.; Landier, W.; Blanco, J.G.; Chen, L.; et al. Hyaluronan synthase 3 variant and anthracycline-related cardiomyopathy: A report from the children’s oncology group. J. Clin. Oncol. 2014, 32, 647–653. [Google Scholar] [CrossRef] [PubMed]
- Ye, J.; Zhang, H.; Wu, H.; Wang, C.; Shi, X.; Xie, J.; He, J.; Yang, J. Cytoprotective effect of hyaluronic acid and hydroxypropyl methylcellulose against DNA damage induced by thimerosal in Chang conjunctival cells. Graefes Arch. Clin. Exp. Ophthalmol. 2012, 250, 1459–1466. [Google Scholar] [CrossRef] [PubMed]
- Halicka, H.D.; Mitlitski, V.; Heeter, J.; Balazs, E.A.; Darzynkiewicz, Z. Attenuation of the oxidative burst-induced DNA damage in human leukocytes by hyaluronan. Int. J. Mol. Med. 2009, 23, 695–699. [Google Scholar] [CrossRef]
- Miki, Y.; Teramura, T.; Tomiyama, T.; Onodera, Y.; Matsuoka, T.; Fukuda, K.; Hamanishi, C. HA reversed proteoglycan synthesis inhibited by mechanical stress: Possible involvement of antioxidant effect. Inflamm. Res. 2010, 59, 471–477. [Google Scholar] [CrossRef]
- Yu, C.J.; Ko, C.J.; Hsieh, C.H.; Chien, C.T.; Huang, L.H.; Lee, C.W.; Jiang, C.C. Proteomic analysis of osteoarthritic chondrocyte reveals the hyaluronic acid-regulated proteins involved in chondroprotective effect under oxidative stress. J. Proteom. 2014, 99, 40–53. [Google Scholar] [CrossRef]
- Shi, W.; Fang, F.; Kong, Y.; Greer, S.E.; Kuss, M.; Liu, B.; Xue, W.; Jiang, X.; Lovell, P.; Mohs, A.M.; et al. Dynamic hyaluronic acid hydrogel with covalent linked gelatin as an anti-oxidative bioink for cartilage tissue engineering. Biofabrication 2021, 14, 014107. [Google Scholar] [CrossRef]
- Luan, X.; Cong, Z.; Anastassiades, T.P.; Gao, Y. N-Butyrylated Hyaluronic Acid Achieves Anti-Inflammatory Effects In Vitro and in Adjuvant-Induced Immune Activation in Rats. Molecules 2022, 27, 3267. [Google Scholar] [CrossRef]
- Ke, C.; Sun, L.; Qiao, D.; Wang, D.; Zeng, X. Antioxidant acitivity of low molecular weight hyaluronic acid. Food Chem. Toxicol. Int. J. Publ. Br. Ind. Biol. Res. Assoc. 2011, 49, 2670–2675. [Google Scholar] [CrossRef]
- Policastro, L.L.; Ibanez, I.L.; Notcovich, C.; Duran, H.A.; Podhajcer, O.L. The tumor microenvironment: Characterization, redox considerations, and novel approaches for reactive oxygen species-targeted gene therapy. Antioxid. Redox Signal. 2013, 19, 854–895. [Google Scholar] [CrossRef] [PubMed]
- Lisanti, M.P.; Martinez-Outschoorn, U.E.; Chiavarina, B.; Pavlides, S.; Whitaker-Menezes, D.; Tsirigos, A.; Witkiewicz, A.; Lin, Z.; Balliet, R.; Howell, A.; et al. Understanding the “lethal” drivers of tumor-stroma co-evolution: Emerging role(s) for hypoxia, oxidative stress and autophagy/mitophagy in the tumor micro-environment. Cancer Biol. Ther. 2010, 10, 537–542. [Google Scholar] [CrossRef]
- Nikitovic, D.; Corsini, E.; Kouretas, D.; Tsatsakis, A.; Tzanakakis, G. ROS-major mediators of extracellular matrix remodeling during tumor progression. Food Chem. Toxicol. Int. J. Publ. Br. Ind. Biol. Res. Assoc. 2013, 61, 178–186. [Google Scholar] [CrossRef] [PubMed]
- Josson, S.; Matsuoka, Y.; Chung, L.W.; Zhau, H.E.; Wang, R. Tumor-stroma co-evolution in prostate cancer progression and metastasis. Semin. Cell Dev. Biol. 2010, 21, 26–32. [Google Scholar] [CrossRef] [PubMed]
- Arfin, S.; Jha, N.K.; Jha, S.K.; Kesari, K.K.; Ruokolainen, J.; Roychoudhury, S.; Rathi, B.; Kumar, D. Oxidative Stress in Cancer Cell Metabolism. Antioxidants 2021, 10, 642. [Google Scholar] [CrossRef]
- Aboelella, N.S.; Brandle, C.; Kim, T.; Ding, Z.C.; Zhou, G. Oxidative Stress in the Tumor Microenvironment and Its Relevance to Cancer Immunotherapy. Cancers 2021, 13, 986. [Google Scholar] [CrossRef]
- Valko, M.; Rhodes, C.J.; Moncol, J.; Izakovic, M.; Mazur, M. Free radicals, metals and antioxidants in oxidative stress-induced cancer. Chem.-Biol. Interact. 2006, 160, 1–40. [Google Scholar] [CrossRef]
- Brieger, K.; Schiavone, S.; Miller, F.J., Jr.; Krause, K.H. Reactive oxygen species: From health to disease. Swiss Med. Wkly. 2012, 142, w13659. [Google Scholar] [CrossRef] [PubMed]
- Dreher, D.; Junod, A.F. Role of oxygen free radicals in cancer development. Eur. J. Cancer 1996, 32, 30–38. [Google Scholar] [CrossRef]
- Loft, S.; Poulsen, H.E. Cancer risk and oxidative DNA damage in man. J. Mol. Med. 1996, 74, 297–312. [Google Scholar] [CrossRef]
- Adam-Vizi, V.; Chinopoulos, C. Bioenergetics and the formation of mitochondrial reactive oxygen species. Trends Pharmacol. Sci. 2006, 27, 639–645. [Google Scholar] [CrossRef] [PubMed]
- Balaban, R.S.; Nemoto, S.; Finkel, T. Mitochondria, oxidants, and aging. Cell 2005, 120, 483–495. [Google Scholar] [CrossRef]
- Nagano, O.; Okazaki, S.; Saya, H. Redox regulation in stem-like cancer cells by CD44 variant isoforms. Oncogene 2013, 32, 5191–5198. [Google Scholar] [CrossRef]
- DeNicola, G.M.; Karreth, F.A.; Humpton, T.J.; Gopinathan, A.; Wei, C.; Frese, K.; Mangal, D.; Yu, K.H.; Yeo, C.J.; Calhoun, E.S.; et al. Oncogene-induced Nrf2 transcription promotes ROS detoxification and tumorigenesis. Nature 2011, 475, 106–109. [Google Scholar] [CrossRef] [PubMed]
- Kennedy, N.J.; Cellurale, C.; Davis, R.J. A radical role for p38 MAPK in tumor initiation. Cancer Cell 2007, 11, 101–103. [Google Scholar] [CrossRef]
- Dolado, I.; Swat, A.; Ajenjo, N.; De Vita, G.; Cuadrado, A.; Nebreda, A.R. p38alpha MAP kinase as a sensor of reactive oxygen species in tumorigenesis. Cancer Cell 2007, 11, 191–205. [Google Scholar] [CrossRef] [PubMed]
- Thannickal, V.J.; Fanburg, B.L. Reactive oxygen species in cell signaling. Am. J. Physiol. Lung Cell. Mol. Physiol. 2000, 279, L1005–L1028. [Google Scholar] [CrossRef]
- Bedard, K.; Krause, K.H. The NOX family of ROS-generating NADPH oxidases: Physiology and pathophysiology. Physiol. Rev. 2007, 87, 245–313. [Google Scholar] [CrossRef]
- Gregory, A.D.; Houghton, A.M. Tumor-associated neutrophils: New targets for cancer therapy. Cancer Res. 2011, 71, 2411–2416. [Google Scholar] [CrossRef]
- Davis, R.E.; Williams, M. Mitochondrial function and dysfunction: An update. J. Pharmacol. Exp. Ther. 2012, 342, 598–607. [Google Scholar] [CrossRef]
- Han, D.; Williams, E.; Cadenas, E. Mitochondrial respiratory chain-dependent generation of superoxide anion and its release into the intermembrane space. Biochem. J. 2001, 353, 411–416. [Google Scholar] [CrossRef] [PubMed]
- Storz, P. Reactive oxygen species in tumor progression. Front. Biosci. A J. Virtual Libr. 2005, 10, 1881–1896. [Google Scholar] [CrossRef]
- Ferraro, D.; Corso, S.; Fasano, E.; Panieri, E.; Santangelo, R.; Borrello, S.; Giordano, S.; Pani, G.; Galeotti, T. Pro-metastatic signaling by c-Met through RAC-1 and reactive oxygen species (ROS). Oncogene 2006, 25, 3689–3698. [Google Scholar] [CrossRef] [PubMed]
- Pani, G.; Galeotti, T.; Chiarugi, P. Metastasis: Cancer cell’s escape from oxidative stress. Cancer Metastasis Rev. 2010, 29, 351–378. [Google Scholar] [CrossRef]
- Bourguignon, L.Y.; Gilad, E.; Peyrollier, K.; Brightman, A.; Swanson, R.A. Hyaluronan-CD44 interaction stimulates Rac1 signaling and PKN gamma kinase activation leading to cytoskeleton function and cell migration in astrocytes. J. Neurochem. 2007, 101, 1002–1017. [Google Scholar] [CrossRef] [PubMed]
- Hamilton, S.R.; Fard, S.F.; Paiwand, F.F.; Tolg, C.; Veiseh, M.; Wang, C.; McCarthy, J.B.; Bissell, M.J.; Koropatnick, J.; Turley, E.A. The hyaluronan receptors CD44 and Rhamm (CD168) form complexes with ERK1,2 that sustain high basal motility in breast cancer cells. J. Biol. Chem. 2007, 282, 16667–16680. [Google Scholar] [CrossRef] [PubMed]
- Kim, Y.; Lee, Y.S.; Choe, J.; Lee, H.; Kim, Y.M.; Jeoung, D. CD44-epidermal growth factor receptor interaction mediates hyaluronic acid-promoted cell motility by activating protein kinase C signaling involving Akt, Rac1, Phox, reactive oxygen species, focal adhesion kinase, and MMP-2. J. Biol. Chem. 2008, 283, 22513–22528. [Google Scholar] [CrossRef]
- Nedvetzki, S.; Gonen, E.; Assayag, N.; Reich, R.; Williams, R.O.; Thurmond, R.L.; Huang, J.F.; Neudecker, B.A.; Wang, F.S.; Turley, E.A.; et al. RHAMM, a receptor for hyaluronan-mediated motility, compensates for CD44 in inflamed CD44-knockout mice: A different interpretation of redundancy. Proc. Natl. Acad. Sci. USA 2004, 101, 18081–18086. [Google Scholar] [CrossRef]
- Nastase, M.V.; Janicova, A.; Wygrecka, M.; Schaefer, L. Signaling at the Crossroads: Matrix-Derived Proteoglycan and Reactive Oxygen Species Signaling. Antioxid. Redox Signal. 2017, 27, 855–873. [Google Scholar] [CrossRef]
- Thapa, R.; Wilson, G.D. The Importance of CD44 as a Stem Cell Biomarker and Therapeutic Target in Cancer. Stem Cells Int. 2016, 2016, 2087204. [Google Scholar] [CrossRef]
- Misra, S.; Hascall, V.C.; Markwald, R.R.; Ghatak, S. Interactions between Hyaluronan and Its Receptors (CD44, RHAMM) Regulate the Activities of Inflammation and Cancer. Front. Immunol. 2015, 6, 201. [Google Scholar] [CrossRef]
- Afratis, N.; Gialeli, C.; Nikitovic, D.; Tsegenidis, T.; Karousou, E.; Theocharis, A.D.; Pavao, M.S.; Tzanakakis, G.N.; Karamanos, N.K. Glycosaminoglycans: Key players in cancer cell biology and treatment. FEBS J. 2012, 279, 1177–1197. [Google Scholar] [CrossRef] [PubMed]
- Nikitovic, D.; Chatzinikolaou, G.; Tsiaoussis, J.; Tsatsakis, A.; Karamanos, N.K.; Tzanakakis, G.N. Insights into targeting colon cancer cell fate at the level of proteoglycans/glycosaminoglycans. Curr. Med. Chem. 2012, 19, 4247–4258. [Google Scholar] [CrossRef] [PubMed]
- Agren, U.M.; Tammi, R.H.; Tammi, M.I. Reactive oxygen species contribute to epidermal hyaluronan catabolism in human skin organ culture. Free Radic. Biol. Med. 1997, 23, 996–1001. [Google Scholar] [CrossRef] [PubMed]
- Stern, R. Hyaluronidases in cancer biology. Semin. Cancer Biol. 2008, 18, 275–280. [Google Scholar] [CrossRef]
- Hrabarova, E.; Juranek, I.; Soltes, L. Pro-oxidative effect of peroxynitrite regarding biological systems: A special focus on high-molar-mass hyaluronan degradation. Gen. Physiol. Biophys. 2011, 30, 223–238. [Google Scholar] [CrossRef]
- Wang, H.; Zhang, B.; Li, R.; Chen, J.; Xu, G.; Zhu, Y.; Li, J.; Liang, Q.; Hua, Q.; Wang, L.; et al. KIAA1199 drives immune suppression to promote colorectal cancer liver metastasis by modulating neutrophil infiltration. Hepatology 2022, 76, 967–981. [Google Scholar] [CrossRef]
- Dong, X.; Yang, Y.; Yuan, Q.; Hou, J.; Wu, G. High Expression of CEMIP Correlates Poor Prognosis and the Tumur Microenvironment in Breast Cancer as a Promisingly Prognostic Biomarker. Front. Genet. 2021, 12, 768140. [Google Scholar] [CrossRef]
- Monzon, M.E.; Fregien, N.; Schmid, N.; Falcon, N.S.; Campos, M.; Casalino-Matsuda, S.M.; Forteza, R.M. Reactive oxygen species and hyaluronidase 2 regulate airway epithelial hyaluronan fragmentation. J. Biol. Chem. 2010, 285, 26126–26134. [Google Scholar] [CrossRef]
- Karihtala, P.; Soini, Y.; Auvinen, P.; Tammi, R.; Tammi, M.; Kosma, V.M. Hyaluronan in breast cancer: Correlations with nitric oxide synthases and tyrosine nitrosylation. J. Histochem. Cytochem. Off. J. Histochem. Soc. 2007, 55, 1191–1198. [Google Scholar] [CrossRef]
- Mytar, B.; Siedlar, M.; Woloszyn, M.; Colizzi, V.; Zembala, M. Cross-talk between human monocytes and cancer cells during reactive oxygen intermediates generation: The essential role of hyaluronan. Int. J. Cancer 2001, 94, 727–732. [Google Scholar] [CrossRef] [PubMed]
- Baghy, K.; Iozzo, R.V.; Kovalszky, I. Decorin-TGFbeta axis in hepatic fibrosis and cirrhosis. J. Histochem. Cytochem. Off. J. Histochem. Soc. 2012, 60, 262–268. [Google Scholar] [CrossRef] [PubMed]
- Dekker, L.V.; Leitges, M.; Altschuler, G.; Mistry, N.; McDermott, A.; Roes, J.; Segal, A.W. Protein kinase C-beta contributes to NADPH oxidase activation in neutrophils. Biochem. J. 2000, 347 Pt 1, 285–289. [Google Scholar] [CrossRef] [PubMed]
- Hordijk, P.L. Regulation of NADPH oxidases: The role of Rac proteins. Circ. Res. 2006, 98, 453–462. [Google Scholar] [CrossRef]
- Ryoo, I.G.; Choi, B.H.; Ku, S.K.; Kwak, M.K. High CD44 expression mediates p62-associated NFE2L2/NRF2 activation in breast cancer stem cell-like cells: Implications for cancer stem cell resistance. Redox Biol. 2018, 17, 246–258. [Google Scholar] [CrossRef] [PubMed]
- Sacks, J.D.; Barbolina, M.V. Expression and Function of CD44 in Epithelial Ovarian Carcinoma. Biomolecules 2015, 5, 3051–3066. [Google Scholar] [CrossRef]
- Ponta, H.; Sherman, L.; Herrlich, P.A. CD44: From adhesion molecules to signalling regulators. Nat. Rev. Mol. Cell Biol. 2003, 4, 33–45. [Google Scholar] [CrossRef]
- Ishimoto, T.; Nagano, O.; Yae, T.; Tamada, M.; Motohara, T.; Oshima, H.; Oshima, M.; Ikeda, T.; Asaba, R.; Yagi, H.; et al. CD44 variant regulates redox status in cancer cells by stabilizing the xCT subunit of system xc(-) and thereby promotes tumor growth. Cancer Cell 2011, 19, 387–400. [Google Scholar] [CrossRef]
- Skandalis, S.S.; Karalis, T.T.; Chatzopoulos, A.; Karamanos, N.K. Hyaluronan-CD44 axis orchestrates cancer stem cell functions. Cell. Signal. 2019, 63, 109377. [Google Scholar] [CrossRef]
- Yoshida, G.J.; Saya, H. Inversed relationship between CD44 variant and c-Myc due to oxidative stress-induced canonical Wnt activation. Biochem. Biophys. Res. Commun. 2014, 443, 622–627. [Google Scholar] [CrossRef]
- Diehn, M.; Cho, R.W.; Lobo, N.A.; Kalisky, T.; Dorie, M.J.; Kulp, A.N.; Qian, D.; Lam, J.S.; Ailles, L.E.; Wong, M.; et al. Association of reactive oxygen species levels and radioresistance in cancer stem cells. Nature 2009, 458, 780–783. [Google Scholar] [CrossRef] [PubMed]
- Xu, Y.; Stamenkovic, I.; Yu, Q. CD44 attenuates activation of the hippo signaling pathway and is a prime therapeutic target for glioblastoma. Cancer Res. 2010, 70, 2455–2464. [Google Scholar] [CrossRef] [PubMed]
- Lin, C.Y.; Basu, K.; Ruusala, A.; Kozlova, I.; Li, Y.S.; Skandalis, S.S.; Heldin, C.H.; Heldin, P. Hyaluronan-Induced CD44-iASPP Interaction Affects Fibroblast Migration and Survival. Cancers 2023, 15, 1082. [Google Scholar] [CrossRef] [PubMed]
- Yang, H.; Villani, R.M.; Wang, H.; Simpson, M.J.; Roberts, M.S.; Tang, M.; Liang, X. The role of cellular reactive oxygen species in cancer chemotherapy. J. Exp. Clin. Cancer Res. 2018, 37, 266. [Google Scholar] [CrossRef] [PubMed]
- Zhu, L.; Zhao, Y.; Liu, T.; Chen, M.; Qian, W.P.; Jiang, B.; Barwick, B.G.; Zhang, L.; Styblo, T.M.; Li, X.; et al. Inhibition of NADPH Oxidase-ROS Signal using Hyaluronic Acid Nanoparticles for Overcoming Radioresistance in Cancer Therapy. ACS Nano 2022, 16, 18708–18728. [Google Scholar] [CrossRef]
- Chen, C.; Zhao, S.; Karnad, A.; Freeman, J.W. The biology and role of CD44 in cancer progression: Therapeutic implications. J. Hematol. Oncol. 2018, 11, 64. [Google Scholar] [CrossRef]
- Guo, Q.; Yang, C.; Gao, F. The state of CD44 activation in cancer progression and therapeutic targeting. FEBS J. 2022, 289, 7970–7986. [Google Scholar] [CrossRef]
- Shen, H.; Shi, S.; Zhang, Z.; Gong, T.; Sun, X. Coating Solid Lipid Nanoparticles with Hyaluronic Acid Enhances Antitumor Activity against Melanoma Stem-like Cells. Theranostics 2015, 5, 755–771. [Google Scholar] [CrossRef]
- Yun, K.; Guo, J.; Zhu, R.; Wang, T.; Zhang, X.; Pan, H.; Pan, W. Design of ROS-Responsive Hyaluronic Acid-Methotrexate Conjugates for Synergistic Chemo-Photothermal Therapy for Cancer. Mol. Pharm. 2022, 19, 3323–3335. [Google Scholar] [CrossRef]
- Liu, Q.; Ding, X.; Xu, X.; Lai, H.; Zeng, Z.; Shan, T.; Zhang, T.; Chen, M.; Huang, Y.; Huang, Z.; et al. Tumor-targeted HA-based oxidative stress nanoamplifier with ROS generation and GSH depletion for antitumor therapy. Int. J. Biol. Macromol. 2022, 15, 771–783. [Google Scholar] [CrossRef]
- Ren, Z.; Han, X.; Wang, L.; Wang, Y. Hyaluronic acid functionalized ZnO nanoparticles co-deliver AS and GOD for synergistic cancer starvation and oxidative damage. Sci. Rep. 2022, 12, 4574. [Google Scholar] [CrossRef]
- Soltes, L.; Kogan, G.; Stankovska, M.; Mendichi, R.; Rychly, J.; Schiller, J.; Gemeiner, P. Degradation of high-molar-mass hyaluronan and characterization of fragments. Biomacromolecules 2007, 8, 2697–2705. [Google Scholar] [CrossRef]
- Daar, E.; King, L.; Nisbet, A.; Thorpe, R.B.; Bradley, D.A. Viscosity changes in hyaluronic acid: Irradiation and rheological studies. Appl. Radiat. Isot. 2010, 68, 746–750. [Google Scholar] [CrossRef]
- Marangoni, E.; Lecomte, N.; Durand, L.; de Pinieux, G.; Decaudin, D.; Chomienne, C.; Smadja-Joffe, F.; Poupon, M.F. CD44 targeting reduces tumour growth and prevents post-chemotherapy relapse of human breast cancers xenografts. Br. J. Cancer 2009, 100, 918–922. [Google Scholar] [CrossRef]
- Kellett-Clarke, H.; Stegmann, M.; Barclay, A.N.; Metcalfe, C. CD44 Binding to Hyaluronic Acid Is Redox Regulated by a Labile Disulfide Bond in the Hyaluronic Acid Binding Site. PLoS ONE 2015, 10, e0138137. [Google Scholar] [CrossRef] [PubMed]
- Huang, Z.W.; Shi, Y.; Zhai, Y.Y.; Du, C.C.; Zhai, J.; Yu, R.J.; Kou, L.; Xiao, J.; Zhao, Y.Z.; Yao, Q. Hyaluronic acid coated bilirubin nanoparticles attenuate ischemia reperfusion-induced acute kidney injury. J. Control. Release 2021, 334, 275–289. [Google Scholar] [CrossRef] [PubMed]
- Forteza, R.; Lieb, T.; Aoki, T.; Savani, R.C.; Conner, G.E.; Salathe, M. Hyaluronan serves a novel role in airway mucosal host defense. FASEB J. 2001, 15, 2179–2186. [Google Scholar] [CrossRef] [PubMed]
- Li, Y.; Taylor, J.M.; Ten Haken, R.K.; Eisbruch, A. The impact of dose on parotid salivary recovery in head and neck cancer patients treated with radiation therapy. Int. J. Radiat. Oncol. Biol. Phys. 2007, 67, 660–669. [Google Scholar] [CrossRef]
- Yao, J.J.; Jin, Y.N.; Wang, S.Y.; Zhang, F.; Zhou, G.Q.; Zhang, W.J.; Cheng, Z.B.; Ma, J.; Qi, Z.Y.; Sun, Y. The detrimental effects of radiotherapy interruption on local control after concurrent chemoradiotherapy for advanced T-stage nasopharyngeal carcinoma: An observational, prospective analysis. BMC Cancer 2018, 18, 740. [Google Scholar] [CrossRef] [PubMed]
- Peterman, A.; Cella, D.; Glandon, G.; Dobrez, D.; Yount, S. Mucositis in head and neck cancer: Economic and quality-of-life outcomes. J. Natl. Cancer Inst. Monogr. 2001, 2001, 45–51. [Google Scholar] [CrossRef]
- Redding, S.W. Cancer therapy-related oral mucositis. J. Dent. Educ. 2005, 69, 919–929. [Google Scholar] [CrossRef] [PubMed]
- Sonis, S.T. The pathobiology of mucositis. Nat. Rev. Cancer 2004, 4, 277–284. [Google Scholar] [CrossRef] [PubMed]
- Wolny, P.M.; Banerji, S.; Gounou, C.; Brisson, A.R.; Day, A.J.; Jackson, D.G.; Richter, R.P. Analysis of CD44-hyaluronan interactions in an artificial membrane system: Insights into the distinct binding properties of high and low molecular weight hyaluronan. J. Biol. Chem. 2010, 285, 30170–30180. [Google Scholar] [CrossRef]
- Cirillo, N.; Vicidomini, A.; McCullough, M.; Gambardella, A.; Hassona, Y.; Prime, S.S.; Colella, G. A hyaluronic acid-based compound inhibits fibroblast senescence induced by oxidative stress in vitro and prevents oral mucositis in vivo. J. Cell. Physiol. 2015, 230, 1421–1429. [Google Scholar] [CrossRef] [PubMed]
- Nolan, A.; Baillie, C.; Badminton, J.; Rudralingham, M.; Seymour, R.A. The efficacy of topical hyaluronic acid in the management of recurrent aphthous ulceration. J. Oral. Pathol. Med. 2006, 35, 461–465. [Google Scholar] [CrossRef] [PubMed]
- Kielty, C.M.; Whittaker, S.P.; Grant, M.E.; Shuttleworth, C.A. Type VI collagen microfibrils: Evidence for a structural association with hyaluronan. J. Cell Biol. 1992, 118, 979–990. [Google Scholar] [CrossRef] [PubMed]
- Rooney, P.; Kumar, S. Inverse relationship between HA and collagens in development and angiogenesis. Differentiation 1993, 54, 1–9. [Google Scholar] [CrossRef]
Disclaimer/Publisher’s Note: The statements, opinions and data contained in all publications are solely those of the individual author(s) and contributor(s) and not of MDPI and/or the editor(s). MDPI and/or the editor(s) disclaim responsibility for any injury to people or property resulting from any ideas, methods, instructions or products referred to in the content. |
© 2023 by the authors. Licensee MDPI, Basel, Switzerland. This article is an open access article distributed under the terms and conditions of the Creative Commons Attribution (CC BY) license (https://creativecommons.org/licenses/by/4.0/).