Marital Status-Specific Associations Between Multidomain Leisure Activities and Cognitive Reserve in Clinically Unimpaired Older Adults: Based on a National Chinese Cohort
Abstract
1. Introduction
2. Methods
2.1. Study Design and Participants
2.2. Measurement of Multidomain Leisure Activity
2.3. Assessment of Marital Status
2.4. Assessment of Cognition
2.5. Covariance
2.6. Statistical Analyses
3. Results
3.1. Baseline Characteristics of Study Samples
3.2. Marital Status-Specific Associations of Leisure Activity Diversity with Cognitive Decline
3.3. Marital Status-Specific Association of Leisure Activity Amount and Frequency with Cognitive Decline
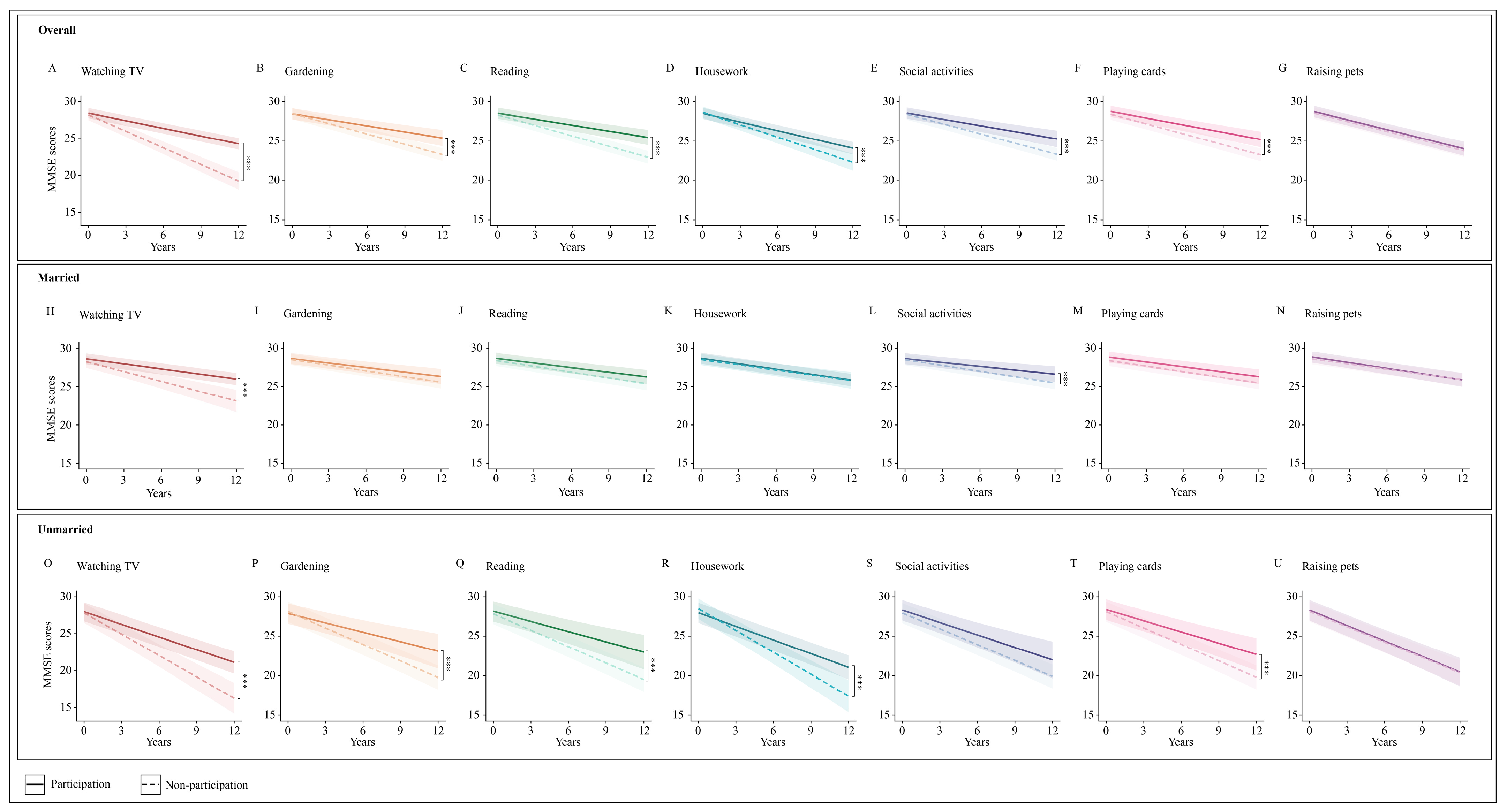
3.4. Marital Status-Specific Association of Individual Activity Types with Cognitive Decline
3.5. Sensitivity Analyses
4. Discussion
5. Conclusions
Supplementary Materials
Author Contributions
Funding
Institutional Review Board Statement
Informed Consent Statement
Data Availability Statement
Conflicts of Interest
References
- Crowe, M.; Andel, R.; Pedersen, N.L.; Johansson, B.; Gatz, M. Does participation in leisure activities lead to reduced risk of Alzheimer’s disease? A prospective study of Swedish twins. J. Gerontol. B Psychol. Sci. Soc. Sci. 2003, 58, P249–P255. [Google Scholar] [CrossRef] [PubMed]
 - Friedland, R.P.; Fritsch, T.; Smyth, K.A.; Koss, E.; Lerner, A.J.; Chen, C.H.; Petot, G.J.; Debanne, S.M. Patients with Alzheimer’s disease have reduced activities in midlife compared with healthy control-group members. Proc. Natl. Acad. Sci. USA 2001, 98, 3440–3445. [Google Scholar] [CrossRef] [PubMed]
 - Litwin, H.; Schwartz, E.; Damri, N. Cognitively Stimulating Leisure Activity and Subsequent Cognitive Function: A SHARE-based Analysis. Gerontologist 2017, 57, 940–948. [Google Scholar] [CrossRef] [PubMed]
 - Lövdén, M.; Fratiglioni, L.; Glymour, M.M.; Lindenberger, U.; Tucker-Drob, E.M. Education and Cognitive Functioning Across the Life Span. Psychol. Sci. Public Interest J. Am. Psychol. Soc. 2020, 21, 6–41. [Google Scholar] [CrossRef]
 - Rovio, S.; Kåreholt, I.; Helkala, E.-L.; Viitanen, M.; Winblad, B.; Tuomilehto, J.; Soininen, H.; Nissinen, A.; Kivipelto, M. Leisure-time physical activity at midlife and the risk of dementia and Alzheimer’s disease. Lancet Neurol. 2005, 4, 705–711. [Google Scholar] [CrossRef]
 - Scarmeas, N.; Luchsinger, J.A.; Schupf, N.; Brickman, A.M.; Cosentino, S.; Tang, M.X.; Stern, Y. Physical activity, diet, and risk of Alzheimer disease. JAMA 2009, 302, 627–637. [Google Scholar] [CrossRef]
 - Wang, H.-X.; Karp, A.; Winblad, B.; Fratiglioni, L. Late-life engagement in social and leisure activities is associated with a decreased risk of dementia: A longitudinal study from the Kungsholmen project. Am. J. Epidemiol. 2002, 155, 1081–1087. [Google Scholar] [CrossRef]
 - Jones, R.N.; Manly, J.; Glymour, M.M.; Rentz, D.M.; Jefferson, A.L.; Stern, Y. Conceptual and measurement challenges in research on cognitive reserve. J. Int. Neuropsychol. Soc. JINS 2011, 17, 593–601. [Google Scholar] [CrossRef]
 - Stern, Y. What is cognitive reserve? Theory and research application of the reserve concept. J. Int. Neuropsychol. Soc. 2002, 8, 448–460. [Google Scholar] [CrossRef]
 - Stern, Y. Cognitive reserve in ageing and Alzheimer’s disease. Lancet Neurol. 2012, 11, 1006–1012. [Google Scholar] [CrossRef]
 - Isherwood, L.M.; King, D.S.; Luszcz, M.A. A longitudinal analysis of social engagement in late-life widowhood. Int. J. Aging Hum. Dev. 2012, 74, 211–229. [Google Scholar] [CrossRef]
 - Lee, Y.; Chi, I.; A Palinkas, L. Widowhood, leisure activity engagement, and cognitive function among older adults. Aging Ment. Health 2019, 23, 771–780. [Google Scholar] [CrossRef]
 - Lee, Y.; Jiang, Y. Examining sociocultural factors in widowhood and cognitive function among older Chinese immigrants: Findings from the PINE study. Aging Ment. Health 2023, 27, 2144–2152. [Google Scholar] [CrossRef]
 - Yi, Z. Reliability of Age Reporting Among the Chinese Oldest-Old in the CLHLS Datasets. In Healthy Longevity in China; Yi, Z., Poston, D.L., Vlosky, D.A., Gu, D., Eds.; The Springer Series on Demographic Methods and Population Analysis; Springer: Dordrecht, The Netherlands, 2008; Volume 20, pp. 61–78. ISBN 978-1-4020-6751-8. [Google Scholar]
 - Zhang, Y.; Fu, S.; Ding, D.; Lutz, M.W.; Zeng, Y.; Yao, Y. Leisure Activities, APOE ε4, and Cognitive Decline: A Longitudinal Cohort Study. Front. Aging Neurosci. 2021, 13, 736201. [Google Scholar] [CrossRef]
 - Yi, Z.; Poston, D.L.; Vlosky, D.A.; Gu, D. (Eds.) Healthy Longevity in China: Demographic, Socioeconomic, and Psychological Dimensions; The Springer Series on Demographic Methods and Population Analysis; Springer: Dordrecht, The Netherlands, 2008; Volume 20, ISBN 978-1-4020-6751-8. [Google Scholar]
 - Zhang, M.Y.; Katzman, R.; Salmon, D.; Jin, H.; Cai, G.J.; Wang, Z.Y.; Qu, G.Y.; Grant, I.; Yu, E.; Levy, P. The prevalence of dementia and Alzheimer’s disease in Shanghai, China: Impact of age, gender, and education. Ann. Neurol. 1990, 27, 428–437. [Google Scholar] [CrossRef]
 - Zhang, Y. Effect of socioeconomic status on the physical and mental health of the elderly: The mediating effect of social participation. BMC Public Health 2022, 22, 605. [Google Scholar] [CrossRef]
 - Wang, S.; Yu, C.; Zhu, J.; Zhao, P.; Jin, N.; Cheng, L.; Kang, L. Multimorbidity Patterns, Leisure Activities, and Cognitive Function: A Population-Based Longitudinal Study. J. Gerontol. A Biol. Sci. Med. Sci. 2024, 79, glae231. [Google Scholar] [CrossRef] [PubMed]
 - Shen, K.; Zhang, B.; Feng, Q. Association between tea consumption and depressive symptom among Chinese older adults. BMC Geriatr. 2019, 19, 246. [Google Scholar] [CrossRef]
 - White, I.R.; Carlin, J.B. Bias and efficiency of multiple imputation compared with complete-case analysis for missing covariate values. Stat. Med. 2010, 29, 2920–2931. [Google Scholar] [CrossRef]
 - Bennett, D.A. How can I deal with missing data in my study? Aust. N. Z. J. Public Health 2001, 25, 464–469. [Google Scholar] [CrossRef]
 - Song, S.; Stern, Y.; Gu, Y. Modifiable lifestyle factors and cognitive reserve: A systematic review of current evidence. Ageing Res. Rev. 2022, 74, 101551. [Google Scholar] [CrossRef] [PubMed]
 - Bransby, L.; Buckley, R.; Rosenich, E.; Franks, K.; Yassi, N.; Maruff, P.T.; Pase, M.; Lim, Y.Y. The relationship between cognitive engagement and better memory in midlife. Alzheimers Dement. Diagn. Assess. Dis. Monit. 2022, 14, e12278. [Google Scholar] [CrossRef] [PubMed]
 - Singham, T.; Bell, G.; Saunders, R.; Stott, J. Widowhood and cognitive decline in adults aged 50 and over: A systematic review and meta-analysis. Ageing Res. Rev. 2021, 71, 101461. [Google Scholar] [CrossRef] [PubMed]
 - Carstensen, L.L. Social and emotional patterns in adulthood: Support for socioemotional selectivity theory. Psychol. Aging 1992, 7, 331–338. [Google Scholar] [CrossRef]
 - Brown, S.L.; Lin, I.-F.; Vielee, A.; Mellencamp, K.A. Midlife Marital Dissolution and the Onset of Cognitive Impairment. The Gerontologist 2021, 61, 1085–1094. [Google Scholar] [CrossRef]
 - Wu-Chung, E.L.; Leal, S.L.; Denny, B.T.; Cheng, S.L.; Fagundes, C.P. Spousal caregiving, widowhood, and cognition: A systematic review and a biopsychosocial framework for understanding the relationship between interpersonal losses and dementia risk in older adulthood. Neurosci. Biobehav. Rev. 2022, 134, 104487. [Google Scholar] [CrossRef]
 - Liu, H.; Zhang, Z.; Choi, S.-W.; Langa, K.M. Marital Status and Dementia: Evidence from the Health and Retirement Study. J. Gerontol. B Psychol. Sci. Soc. Sci. 2020, 75, 1783–1795. [Google Scholar] [CrossRef]
 - Liu, Y.; Chang, J.; Zhao, Y.; Tang, Y. Neuroticism personality, social contact, and dementia risk: A prospective cohort study. J. Affect. Disord. 2024, 358, 391–398. [Google Scholar] [CrossRef]
 - Ayers, E.; Gulley, E.; Verghese, J. The effect of personality traits on risk of incident pre-dementia syndromes. J. Am. Geriatr. Soc. 2020, 68, 1554–1559. [Google Scholar] [CrossRef]
 - Wang, J.Y.J.; Zhou, D.H.D.; Li, J.; Zhang, M.; Deng, J.; Tang, M.; Gao, C.; Li, J.; Lian, Y.; Chen, M. Leisure activity and risk of cognitive impairment: The Chongqing aging study. Neurology 2006, 66, 911–913. [Google Scholar] [CrossRef]
 - Lv, X.; Li, W.; Ma, Y.; Chen, H.; Zeng, Y.; Yu, X.; Hofman, A.; Wang, H. Cognitive decline and mortality among community-dwelling Chinese older people. BMC Med. 2019, 17, 63. [Google Scholar] [CrossRef] [PubMed]
 - Knöpfli, B.; Morselli, D.; Perrig-Chiello, P. Trajectories of Psychological Adaptation to Marital Breakup after a Long-Term Marriage. Gerontology 2016, 62, 541–552. [Google Scholar] [CrossRef] [PubMed]
 - Kaufman, J.E.; Lee, Y.; Vaughon, W.; Unuigbe, A.; Gallo, W.T. Depression Associated with Transitions into and Out of Spousal Caregiving. Int. J. Aging Hum. Dev. 2019, 88, 127–149. [Google Scholar] [CrossRef]
 - Stahl, S.T.; Arnold, A.M.; Chen, J.-Y.; Anderson, S.; Schulz, R. Mortality After Bereavement: The Role of Cardiovascular Disease and Depression. Psychosom. Med. 2016, 78, 697–703. [Google Scholar] [CrossRef]
 - Prior, A.; Fenger-Grøn, M.; Davydow, D.S.; Olsen, J.; Li, J.; Guldin, M.-B.; Vestergaard, M. Bereavement, multimorbidity and mortality: A population-based study using bereavement as an indicator of mental stress. Psychol. Med. 2018, 48, 1437–1443. [Google Scholar] [CrossRef]
 - Elwert, F.; Christakis, N.A. The Effect of Widowhood on Mortality by the Causes of Death of Both Spouses. Am. J. Public Health 2008, 98, 2092–2098. [Google Scholar] [CrossRef]
 - Qi, X.; Ng, T.K.S.; Wu, B. Sex differences in the mediating role of chronic inflammation on the association between social isolation and cognitive functioning among older adults in the United States. Psychoneuroendocrinology 2023, 149, 106023. [Google Scholar] [CrossRef]
 - Mishra, B.; Pradhan, J. Impact of social isolation and leisure activities on cognition and depression: A study on middle-aged and older adults in India. Int. J. Geriatr. Psychiatry 2023, 38, e5946. [Google Scholar] [CrossRef]
 - Finkel, D.; Andel, R.; Pedersen, N.L. Gender Differences in Longitudinal Trajectories of Change in Physical, Social, and Cognitive/Sedentary Leisure Activities. J. Gerontol. B Psychol. Sci. Soc. Sci. 2018, 73, 1491–1500. [Google Scholar] [CrossRef]
 - Hassing, L.B. Gender Differences in the Association Between Leisure Activity in Adulthood and Cognitive Function in Old Age: A Prospective Longitudinal Population-Based Study. J. Gerontol. B Psychol. Sci. Soc. Sci. 2020, 75, 11–20. [Google Scholar] [CrossRef]
 - Langner, L.A.; Furstenberg, F.F. Gender Differences in Spousal Caregivers’ Care and Housework: Fact or Fiction? J. Gerontol. B Psychol. Sci. Soc. Sci. 2020, 75, 173–183. [Google Scholar] [CrossRef] [PubMed]
 - Johnsen, D. A new threat to pregnant women’s autonomy. Hastings Cent. Rep. 1987, 17, 33–40. [Google Scholar] [CrossRef] [PubMed]
 - Spitzer, S.; Weber, D. Reporting biases in self-assessed physical and cognitive health status of older Europeans. PLoS ONE 2019, 14, e0223526. [Google Scholar] [CrossRef]
 - Wild, K.V.; Mattek, N.; Austin, D.; Kaye, J.A. “Are you sure?”: Lapses in Self-Reported Activities Among Healthy Older Adults Reporting Online. J. Appl. Gerontol. Off. J. South Gerontol. Soc. 2016, 35, 627–641. [Google Scholar] [CrossRef]
 - Pettigrew, C.; Soldan, A. Defining Cognitive Reserve and Implications for Cognitive Aging. Curr. Neurol. Neurosci. Rep. 2019, 19, 1. [Google Scholar] [CrossRef]
 - Carta, E.; Riccardi, A.; Marinetto, S.; Mattivi, S.; Selini, E.; Pucci, V.; Mondini, S. Over ninety years old: Does high cognitive reserve still help brain efficiency? Psychol. Res. 2024, 88, 678–683. [Google Scholar] [CrossRef]
 - Gao, J.; Armstrong, N.M.; Deal, J.A.; Lin, F.R.; He, P. Hearing loss and cognitive function among Chinese older adults: The role of participation in leisure activities. BMC Geriatr. 2020, 20, 215. [Google Scholar] [CrossRef]
 



| Characteristic | Overall  (n = 5286)  | Married  (n = 2809)  | Unmarried  (n = 2477)  | F/χ2 | p Value | 
|---|---|---|---|---|---|
| Age (years), Mean ± SD | 79.01 ± 3.77 | 75.03 ± 7.62 | 83.53 ± 9.49 | 127.81 | <0.001 | 
| Sex, n (%) | 511.92 | <0.001 | |||
| Male | 2645 (50.0%) | 1816 (64.6%) | 829 (33.5%) | ||
| Female | 2641 (50.0%) | 993 (35.4%) | 1648 (66.5%) | ||
| Education (years), Mean ± SD | 2.82 ± 3.77 | 3.73 ± 4.05 | 1.80 ± 3.14 | 257.23 | <0.001 | 
| Residence, n (%) | 2.451 | 0.294 | |||
| Country | 3248 (61.4%) | 1706 (60.7%) | 1542 (62.3%) | ||
| Town | 1107 (20.9%) | 587 (20.9%) | 520 (21.0%) | ||
| City | 931 (17.6%) | 516 (18.4%) | 415 (16.8%) | ||
| Economic status, n (%) | 12.36 | 0.002 | |||
| Poor | 753 (14.3%) | 414 (14.8%) | 339 (13.7%) | ||
| Average | 3697 (70.0%) | 1996 (71.2%) | 1701 (68.7%) | ||
| Rich | 830 (15.7%) | 395 (14.1%) | 435 (17.6%) | ||
| Occupation, n (%) | 82.237 | <0.001 | |||
| White-collar | 538 (10.4%) | 382 (13.9%) | 156 (6.4%) | ||
| Blue-collar | 1097 (21.2%) | 592 (21.6%) | 505 (20.8%) | ||
| Farmer | 3534 (68.4%) | 1771 (64.5%) | 1763 (72.7%) | ||
| Exercise (Yes), n (%) | 1987 (37.6%) | 1138 (40.5%) | 849 (34.3%) | 21.83 | <0.001 | 
| Smoking (Yes), n (%) | 2055 (38.9%) | 1348 (48.0%) | 1461 (52.0%) | 208.85 | <0.001 | 
| Drinking (Yes), n (%) | 1853 (35.1%) | 1155 (41.1%) | 698 (28.2%) | 96.79 | <0.001 | 
| Dietary habit, Mean ± SD | 3.26 ± 1.54 | 3.40 ± 1.56 | 3.11 ± 1.51 | 11.07 | <0.001 | 
| Depression, Mean ± SD | 6.53 ± 3.13 | 6.02 ± 2.91 | 7.10 ± 3.26 | 37.17 | <0.001 | 
| Hypertension (Yes), n (%) | 1145 (22.1%) | 622 (22.5%) | 523 (21.5%) | 0.774 | 0.379 | 
| Diabetes (Yes), n (%) | 160 (3.1%) | 110 (4.0%) | 50 (2.1%) | 15.87 | <0.001 | 
| Heart disease (Yes), n (%) | 503 (9.7%) | 293 (10.6%) | 210 (8.6%) | 5.61 | 0.018 | 
| Stroke (Yes), n (%) | 258 (4.9%) | 159 (5.7%) | 99 (4.1%) | 7.69 | 0.006 | 
| ADL, Mean ± SD | 15.92 ± 3.53 | 15.12 ± 2.72 | 16.82 ± 4.089 | 428.94 | <0.001 | 
| BMI (kg/m2), Mean ± SD | 21.17 ± 3.57 | 21.63 ± 3.62 | 20.63 ± 3.43 | 1.179 | <0.001 | 
| MMSE score, Mean ± SD | 27.2 ± 3.05 | 27.91 ± 2.53 | 26.47 ± 3.38 | 333.65 | <0.001 | 
| Leisure activity score, Mean ± SD | 9.75 ± 4.74 | 10.79 ± 4.65 | 8.57 ± 4.55 | 47.57 | <0.001 | 
| Leisure activity frequency, n (%) | 240.84 | <0.001 | |||
| T1 | 2409 (45.6%) | 1034 (36.8%) | 1375 (55.5%) | ||
| T2 | 1665 (31.5%) | 929 (33.1%) | 736 (29.7%) | ||
| T3 | 1212 (22.9%) | 846 (30.1%) | 366 (14.8%) | ||
| Leisure activity variety, n (%) | 292.05 | <0.001 | |||
| 0–1 | 809 (15.3%) | 268 (9.5%) | 514 (21.8%) | ||
| 2–3 | 2923 (55.3%) | 1472 (52.4%) | 1451 (58.6%) | ||
| 4–7 | 1554 (29.4%) | 1069 (38.1%) | 485 (19.6%) | ||
| Variables | Model 1 * | Model 2 † | ||
|---|---|---|---|---|
| β (95% CI) | p Value | β (95% CI) | p Value | |
| Overall population: | ||||
| (0–1) × time | Reference | Reference | ||
| (2–3) × time | 0.365 (0.272–0.459) | <0.001 | 0.347 (0.250–0.444) | <0.001 | 
| (4–7) × time | 0.511 (0.411–0.610) | <0.001 | 0.500 (0.396–0.603) | <0.001 | 
| Three-way interaction: | ||||
| (0–1 × time) × marital status | Reference | Reference | ||
| (2–3 × time) × marital status | 0.426 (0.236–0.617) | <0.001 | 0.437 (0.240–0.633) | <0.001 | 
| (4–7 × time) × marital status | 0.562 (0.355–0.769) | <0.001 | 0.578 (0.364–0.792) | <0.001 | 
| Marital status-stratified two-way interactions: | ||||
| (0–1) × time married | Reference | Reference | ||
| (2–3) × time married | 0.035 (−0.080–0.150) | 0.552 | 0.021 (−0.098–0.140) | 0.733 | 
| (4–7) × time married | 0.085 (−0.032–0.203) | 0.156 | 0.077 (−0.045–0.198) | 0.216 | 
| (0–1) × time unmarried | Reference | Reference | ||
| (2–3) × time unmarried | 0.487 (0.337–0.638) | <0.001 | 0.489 (0.319–0.659) | <0.001 | 
| (4–7) × time unmarried | 0.684 (0.505–0.863) | <0.001 | 0.697 (0.495–0.900) | <0.001 | 
Disclaimer/Publisher’s Note: The statements, opinions and data contained in all publications are solely those of the individual author(s) and contributor(s) and not of MDPI and/or the editor(s). MDPI and/or the editor(s) disclaim responsibility for any injury to people or property resulting from any ideas, methods, instructions or products referred to in the content.  | 
© 2025 by the authors. Licensee MDPI, Basel, Switzerland. This article is an open access article distributed under the terms and conditions of the Creative Commons Attribution (CC BY) license (https://creativecommons.org/licenses/by/4.0/).
Share and Cite
Cai, C.; Wang, J.; Liu, D.; Liu, J.; Zhou, J.; Liu, X.; Song, D.; Li, S.; Cui, Y.; Nie, Q.; et al. Marital Status-Specific Associations Between Multidomain Leisure Activities and Cognitive Reserve in Clinically Unimpaired Older Adults: Based on a National Chinese Cohort. Brain Sci. 2025, 15, 371. https://doi.org/10.3390/brainsci15040371
Cai C, Wang J, Liu D, Liu J, Zhou J, Liu X, Song D, Li S, Cui Y, Nie Q, et al. Marital Status-Specific Associations Between Multidomain Leisure Activities and Cognitive Reserve in Clinically Unimpaired Older Adults: Based on a National Chinese Cohort. Brain Sciences. 2025; 15(4):371. https://doi.org/10.3390/brainsci15040371
Chicago/Turabian StyleCai, Cheng, Junyi Wang, Dan Liu, Jing Liu, Juan Zhou, Xiaochang Liu, Dan Song, Shiyue Li, Yuyang Cui, Qianqian Nie, and et al. 2025. "Marital Status-Specific Associations Between Multidomain Leisure Activities and Cognitive Reserve in Clinically Unimpaired Older Adults: Based on a National Chinese Cohort" Brain Sciences 15, no. 4: 371. https://doi.org/10.3390/brainsci15040371
APA StyleCai, C., Wang, J., Liu, D., Liu, J., Zhou, J., Liu, X., Song, D., Li, S., Cui, Y., Nie, Q., Hu, F., Xie, X., Cheng, G., & Zeng, Y. (2025). Marital Status-Specific Associations Between Multidomain Leisure Activities and Cognitive Reserve in Clinically Unimpaired Older Adults: Based on a National Chinese Cohort. Brain Sciences, 15(4), 371. https://doi.org/10.3390/brainsci15040371
        
