Voice Assessment in Patients with Amyotrophic Lateral Sclerosis: An Exploratory Study on Associations with Bulbar and Respiratory Function
Abstract
1. Introduction
2. Materials and Methods
2.1. Participants
2.2. Clinical Evaluation
2.3. Voice Sound Recordings and Auditory-Perceptual Assessment
2.4. Signal Processing and Feature Extraction
2.5. Statistical Analysis
3. Results
3.1. Demographics and Clinical Characteristics
3.2. Correlations Between Instrumental-Based Voice Features, CAPE-V Scores, and the Disease Functional State
3.3. Correlations Between Instrumental-Based Voice Features, CAPE-V Scores, and the Respiratory Function
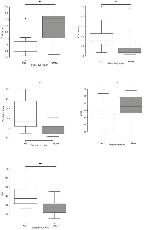
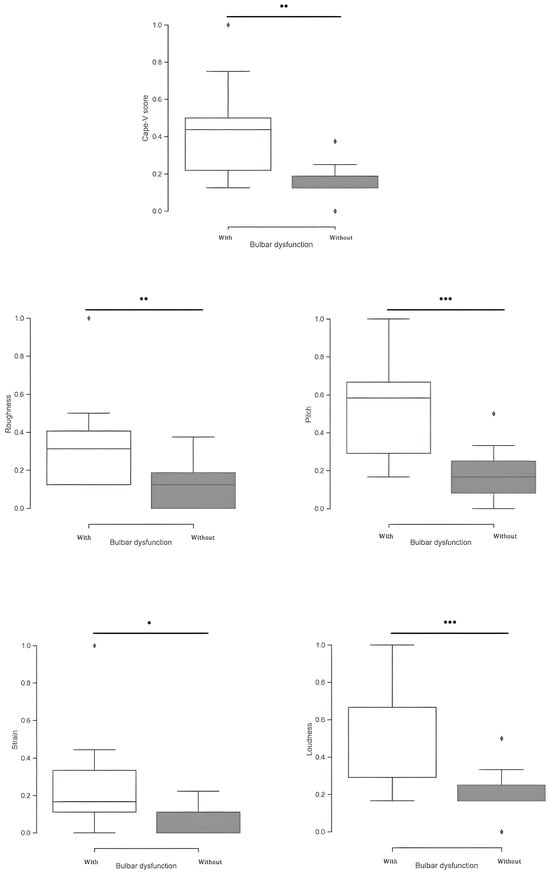
3.4. Voice Sound Features Related to Bulbar Dysfunction
3.5. Correlations Between the CAPE-V Scores and Instrumental-Based Voice Features
4. Discussion
Limitations
5. Conclusions
Supplementary Materials
Author Contributions
Funding
Institutional Review Board Statement
Informed Consent Statement
Data Availability Statement
Conflicts of Interest
Abbreviations
| ALS | amyotrophic lateral sclerosis |
| ALSFRS-R | revised amyotrophic lateral sclerosis functional rating scale |
| VC | vital capacity |
| FVC | forced vital capacity |
| MIP | maximum inspiratory pressure |
| MEP | maximum expiratory pressure |
| SNIP | sniff nasal inspiratory pressure |
| CPF | cough peak flow |
| HNR | harmonics-to-noise ratio |
| CAPE-V | consensus auditory-perceptual evaluation of voice |
| BMI | body mass index |
| VAS | visual analog scale |
References
- Hardiman, O.; Al-Chalabi, A.; Chio, A.; Corr, E.M.; Logroscino, G.; Robberecht, W.; Shaw, P.J.; Simmons, Z.; Van Den Berg, L.H. Amyotrophic lateral sclerosis. Nat. Rev. Dis. Prim. 2017, 3, 1–19. [Google Scholar] [CrossRef] [PubMed]
- Kiernan, M.C.; Vucic, S.; Cheah, B.C.; Turner, M.R.; Eisen, A.; Hardiman, O.; Burrell, J.R.; Zoing, M.C. Amyotrophic lateral sclerosis. Lancet 2011, 377, 942–955. [Google Scholar] [CrossRef] [PubMed]
- Kaufmann, P.; Levy, G.; Thompson, J.L.P.; Delbene, M.L.; Battista, V.; Gordon, P.H.; Rowland, L.P.; Levin, B.; Mitsumoto, H. The ALSFRSr predicts survival time in an ALS clinic population. Neurology 2005, 64, 38–43. [Google Scholar] [CrossRef]
- Pinto, S.; de Carvalho, M. Comparison of slow and forced vital capacities on ability to predict survival in ALS. Amyotroph. Lateral Scler. Front. Degener. 2017, 18, 528–533. [Google Scholar] [CrossRef]
- Shellikeri, S.; Karthikeyan, V.; Martino, R.; Black, S.E.; Zinman, L.; Keith, J.; Yunusova, Y. The neuropathological signature of bulbar-onset ALS: A systematic review. Neurosci. Biobehav. Rev. 2017, 75, 378–392. [Google Scholar] [CrossRef] [PubMed]
- Wijesekera, L.C.; Nigel Leigh, P. Amyotrophic lateral sclerosis. Orphanet J. Rare Dis. 2009, 4, 3. [Google Scholar] [CrossRef]
- Hulisz, D. Amyotrophic lateral sclerosis: Disease state overview. Am. J. Manag. Care 2018, 24, S320–S326. [Google Scholar]
- Brown, R.H.; Al-Chalabi, A. Amyotrophic lateral sclerosis. N. Engl. J. Med. 2017, 377, 162–172. [Google Scholar] [CrossRef]
- Cedarbaum, J.M.; Stambler, N.; Malta, E.; Fuller, C.; Hilt, D.; Thurmond, B.; Nakanishi, A.; BDNF ALS Study Group; 1A complete listing of the BDNF Study Group. The ALSFRS-R: A revised ALS functional rating scale that incorporates assessments of respiratory function. J. Neurol. Sci. 1999, 169, 13–21. [Google Scholar] [CrossRef]
- Appel, V.; Stewart, S.S.; Smith, G.; Appel, S.H. A rating scale for amyotrophic lateral sclerosis: Description and preliminary experience. Ann. Neurol. 1987, 22, 328–333. [Google Scholar] [CrossRef]
- Guiloff, R.J.; Goonetilleke, A. Natural history of amyotrophic lateral sclerosis. Observations with the Charing Cross Amyotrophic Lateral Sclerosis Rating Scales. Adv. Neurol. 1995, 68, 185–198. [Google Scholar] [PubMed]
- Wada, A.; Kawakami, M.; Liu, M.; Otaka, E.; Nishimura, A.; Liu, F.; Otsuka, T. Development of a new scale for dysphagia in patients with progressive neuromuscular diseases: The Neuromuscular Disease Swallowing Status Scale (NdSSS). J. Neurol. 2015, 262, 2225–2231. [Google Scholar] [CrossRef] [PubMed]
- Franchignoni, F.; Mora, G.; Giordano, A.; Volanti, P.; Chiò, A. Evidence of multidimensionality in the ALSFRS-R Scale: A critical appraisal on its measurement properties using Rasch analysis. J. Neurol. Neurosurg. Psychiatry 2013, 84, 1340–1345. [Google Scholar] [CrossRef]
- Hermann, W.; Langner, S.; Freigang, M.; Fischer, S.; Storch, A.; Günther, R.; Hermann, A. Affection of respiratory muscles in ALS and SMA. J. Clin. Med. 2022, 11, 1163. [Google Scholar] [CrossRef]
- Bourke, S.C. Respiratory involvement in neuromuscular disease. Clin. Med. 2014, 14, 72. [Google Scholar] [CrossRef]
- Kempster, G.B.; Gerratt, B.R.; Abbott, K.V.; Barkmeier-Kraemer, J.; Hillman, R.E. Consensus auditory-perceptual evaluation of voice: Development of a standardized clinical protocol. Am. J. Speech-Lang. Pathol. 2009, 18, 124–132. [Google Scholar] [CrossRef]
- Snell, R.S. Clinical Neuroanatomy; Lippincott Williams & Wilkins: Pennsylvania Furnace, PA, USA, 2010. [Google Scholar]
- Darley, F.L.; Aronson, A.E.; Brown, J.R. Motor speech signs in neurologic disease. Med. Clin. N. Am. 1968, 52, 835–844. [Google Scholar] [CrossRef]
- Chiaramonte, R.; Di Luciano, C.; Chiaramonte, I.; Serra, A.; Bonfiglio, M. Multi-disciplinary clinical protocol for the diagnosis of bulbar amyotrophic lateral sclerosis. Acta Otorrinolaringol. (Engl. Ed.) 2019, 70, 25–31. [Google Scholar]
- Silbergleit, A.K.; Johnson, A.F.; Jacobson, B.H. Acoustic analysis of voice in individuals with amyotrophic lateral sclerosis and perceptually normal vocal quality. J. Voice 1997, 11, 222–231. [Google Scholar] [CrossRef]
- Tomik, J.; Tomik, B.; Wiatr, M.; Składzień, J.; Stręk, P.; Szczudlik, A. The evaluation of abnormal voice qualities in patients with amyotrophic lateral sclerosis. Neurodegener. Dis. 2015, 15, 225–232. [Google Scholar] [CrossRef]
- Lee, J.; Dickey, E.; Simmons, Z. Vowel-specific intelligibility and acoustic patterns in individuals with dysarthria secondary to amyotrophic lateral sclerosis. J. Speech Lang. Hear. Res. 2019, 62, 34–59. [Google Scholar] [CrossRef] [PubMed]
- Wang, J.; Kothalkar, P.V.; Kim, M.; Bandini, A.; Cao, B.; Yunusova, Y.; Campbell, T.F.; Heitzman, D.; Green, J.R. Automatic prediction of intelligible speaking rate for individuals with ALS from speech acoustic and articulatory samples. Int. J. Speech-Lang. Pathol. 2018, 20, 669–679. [Google Scholar] [CrossRef]
- Rong, P.; Yunusova, Y.; Wang, J.; Zinman, L.; Pattee, G.L.; Berry, J.D.; Perry, B.; Green, J.R. Predicting speech intelligibility decline in amyotrophic lateral sclerosis based on the deterioration of individual speech subsystems. PLoS ONE 2016, 11, e0154971. [Google Scholar] [CrossRef] [PubMed]
- Tena, A.; Claria, F.; Solsona, F.; Meister, E.; Povedano, M. Detection of bulbar involvement in patients with amyotrophic lateral sclerosis by machine learning voice analysis: Diagnostic decision support development study. JMIR Med. Inform. 2021, 9, e21331. [Google Scholar] [CrossRef] [PubMed]
- Cebola, R.; Folgado, D.; Carreiro, A.V.; Gamboa, H. Speech-Based Supervised Learning Towards the Diagnosis of Amyotrophic Lateral Sclerosis. Biosignals 2023, 4, 74–85. [Google Scholar]
- Stegmann, G.M.; Hahn, S.; Duncan, C.J.; Rutkove, S.B.; Liss, J.; Shefner, J.M.; Berisha, V. Estimation of forced vital capacity using speech acoustics in patients with ALS. Amyotroph. Lateral Scler. Front. Degener. 2021, 22, 14–21. [Google Scholar] [CrossRef] [PubMed]
- Wootton, R. Telemedicine. BMJ 2001, 323, 557–560. [Google Scholar] [CrossRef]
- Garcia-Gancedo, L.; Kelly, M.L.; Lavrov, A.; Parr, J.; Hart, R.; Marsden, R.; Turner, M.R.; Talbot, K.; Chiwera, T.; Shaw, C.E.; et al. Objectively monitoring amyotrophic lateral sclerosis patient symptoms during clinical trials with sensors: Observational study. JMIR MHealth UHealth 2019, 7, e13433. [Google Scholar] [CrossRef]
- Rutkove, S.B.; Qi, K.; Shelton, K.; Liss, J.; Berisha, V.; Shefner, J.M. ALS longitudinal studies with frequent data collection at home: Study design and baseline data. Amyotroph. Lateral Scler. Front. Degener. 2019, 20, 61–67. [Google Scholar] [CrossRef]
- Connaghan, K.P.; Green, J.R.; Paganoni, S.; Chan, J.; Weber, H.; Collins, E.; Richburg, B.; Eshghi, M.; Onnela, J.P.; Berry, J.D. Use of Beiwe Smartphone App to Identify and Track Speech Decline in Amyotrophic Lateral Sclerosis (ALS). In Proceedings of the Interspeech 2019, Graz, Austria, 15–19 September 2019; pp. 4504–4508. [Google Scholar]
- Zraick, R.I.; Kempster, G.B.; Connor, N.P.; Thibeault, S.; Klaben, B.K.; Bursac, Z.; Thrush, C.R.; Glaze, L.E. Establishing validity of the consensus auditory-perceptual evaluation of voice (CAPE-V). Am. J. Speech-Lang. Pathol. 2011, 20, 14–22. [Google Scholar] [CrossRef]
- de Almeida, S.C.; Mendes, A.P.; Kempster, G.B. The consensus auditory-perceptual evaluation of voice (CAPE-V) psychometric characteristics: II European Portuguese version (II EP CAPE-V). J. Voice 2019, 33, 582.e5–582.e13. [Google Scholar] [CrossRef] [PubMed]
- Shefner, J.M.; Al-Chalabi, A.; Baker, M.R.; Cui, L.Y.; de Carvalho, M.; Eisen, A.; Grosskreutz, J.; Hardiman, O.; Henderson, R.; Matamala, J.M.; et al. A proposal for new diagnostic criteria for ALS. Clin. Neurophysiol. 2020, 131, 8. [Google Scholar] [CrossRef] [PubMed]
- De Carvalho, M.; Dengler, R.; Eisen, A.; England, J.D.; Kaji, R.; Kimura, J.; Mills, K.; Mitsumoto, H.; Nodera, H.; Shefner, J.; et al. Electrodiagnostic criteria for diagnosis of ALS. Clin. Neurophysiol. 2008, 119, 497–503. [Google Scholar] [CrossRef] [PubMed]
- Miller, M.R.; Hankinson, J.A.; Brusasco, V.; Burgos, F.; Casaburi, R.; Coates, A.; Crapo, R.; Enright, P.; Van Der Grinten, C.P.; Gustafsson, P.; et al. Standardisation of spirometry. Eur. Respir. J. 2005, 26, 319–338. [Google Scholar] [CrossRef]
- Sharan, R.V.; Abeyratne, U.R.; Swarnkar, V.R.; Claxton, S.; Hukins, C.; Porter, P. Predicting spirometry readings using cough sound features and regression. Physiol. Meas. 2018, 39, 095001. [Google Scholar] [CrossRef]
- Vashkevich, M.; Azarov, E.; Petrovsky, A.; Rushkevich, Y. Features extraction for the automatic detection of ALS disease from acoustic speech signals. In Proceedings of the 2018 Signal Processing: Algorithms, Architectures, Arrangements, and Applications (SPA), Poznan, Poland, 19–21 September 2018; pp. 321–326. [Google Scholar]
- Vashkevich, M.; Rushkevich, Y. Classification of ALS patients based on acoustic analysis of sustained vowel phonations. Biomed. Signal Process. Control. 2021, 65, 102350. [Google Scholar] [CrossRef]
- McFee, B.; McVicar, M.; Faronbi, D.; Roman, I.; Gover, M.; Balke, S.; Seyfarth, S.; Malek, A.; Raffel, C.; Lostanlen, V. librosa/librosa: 0.10. 0. post2 (0.10. 0. post2). Zenodo. 2023. Available online: https://librosa.org/doc/latest/feature.html (accessed on 1 October 2023).
- Barandas, M.; Folgado, D.; Fernandes, L.; Santos, S.; Abreu, M.; Bota, P.; Liu, H.; Schultz, T.; Gamboa, H. TSFEL: Time series feature extraction library. SoftwareX 2020, 11, 100456. [Google Scholar] [CrossRef]
- Yunusova, Y.; Graham, N.L.; Shellikeri, S.; Phuong, K.; Kulkarni, M.; Rochon, E.; Tang-Wai, D.F.; Chow, T.W.; Black, S.E.; Zinman, L.H.; et al. Profiling speech and pausing in amyotrophic lateral sclerosis (ALS) and frontotemporal dementia (FTD). PLoS ONE 2016, 11, e0147573. [Google Scholar] [CrossRef]
- Allison, K.M.; Yunusova, Y.; Campbell, T.F.; Wang, J.; Berry, J.D.; Green, J.R. The diagnostic utility of patient-report and speech-language pathologists’ ratings for detecting the early onset of bulbar symptoms due to ALS. Amyotroph. Lateral Scler. Front. Degener. 2017, 18, 358–366. [Google Scholar] [CrossRef]
- Teixeira, J.P.; Fernandes, P.O.; Alves, N. Vocal acoustic analysis–classification of dysphonic voices with artificial neural networks. Procedia Comput. Sci. 2017, 121, 19–26. [Google Scholar] [CrossRef]
- Xie, H.S.; Ma, F.R.; Fan, D.S.; Wang, L.P.; Yan, Y.; Lu, P.Q. Acoustic analysis for 21 patients with amyotrophic lateral sclerosis complaining of dysarthria. Beijing Da Xue Xue Bao. Yi Xue Ban = J. Peking Univ. Health Sci. 2014, 46, 751–755. [Google Scholar]




| Clinical Characteristic | ALS Patients (N = 27) |
|---|---|
| Age (mean ± SD) | 60.8 ± 12.6 |
| Gender | |
| Men | 12 (44%) |
| Women | 15 (56%) |
| BMI (kg/m2) (mean ± SD) | 23.4 ± 8.2 |
| Symptom duration (months) | |
| Median | 28 |
| 1st–3rd Interquartile range | 8–141 |
| Disease onset | |
| Bulbar onset | 7 (26%) |
| Upper limb onset | 7 (26%) |
| Lower limb onset | 13 (48%) |
| ALSFRS-R total score (0–48) (mean ± SD) | 39.4 ± 3.1 |
| Bulbar dysfunction | 12 (44%) |
| FVC (%) (mean ± SD) | 72.5 ± 16.13 |
| Metric | R/r Value | p Value |
|---|---|---|
| Phrase C | ||
| Speaking rate | R = 0.37 | 0.055 |
| Pause time | r = −0.40 * | 0.032 |
| Absolute energy | R = −0.25 | 0.20 |
| Fundamental frequency | r = −0.31 | 0.11 |
| Entropy of the signal | R = 0.27 | 0.18 |
| Power of the signal | r = 0.073 | 0.71 |
| Spectral bandwidth | r = 0.44 * | 0.02 |
| Shimmer | R = −0.063 | 0.76 |
| Jitter | R = 0.071 | 0.69 |
| HNR | R = −0.34 | 0.082 |
| Vowel A | ||
| Absolute energy | R = −0.23 | 0.24 |
| Fundamental frequency | R = −0.33 | 0.09 |
| Entropy of the signal | r = −0.26 | 0.19 |
| Power of the signal | R = 0.23 | 0.25 |
| Spectral bandwidth | r = 0.22 | 0.22 |
| Shimmer | r = 0.18 | 0.36 |
| Jitter | r = −0.13 | 0.52 |
| HNR | R = −0.19 | 0.33 |
| CAPE-V Scores | ||
| Overall severity | r = −0.34 | 0.073 |
| Roughness | r = −0.25 | 0.21 |
| Breathiness | r = −0.26 | 0.18 |
| Strain | r = −0.18 | 0.36 |
| Pitch | r = −0.29 | 0.14 |
| Loudness | r = −0.34 | 0.064 |
| FVC% | MIP% | MEP% | ||||
|---|---|---|---|---|---|---|
| Voice Features | R/r Value | p Value | R/r Value | p Value | R/r Value | p Value |
| Phrase C | ||||||
| Speaking rate | R = 0.43 * | 0.025 | R = 0.56 ** | <0.01 | R = 0.52 ** | <0.01 |
| Pause time | r = −0.28 | 0.15 | r = −0.51 ** | <0.01 | r = −0.53 ** | <0.01 |
| Absolute energy | R = −0.51 ** | <0.01 | R = −0.20 | 0.32 | R = −0.058 | 0.77 |
| Fundamental frequency | r = −0.32 | 0.10 | r = 0.21 | 0.29 | r = 0.049 | 0.80 |
| Entropy of the signal | R = −0.084 | 0.67 | R = 0.35 | 0.071 | R = 0.38 | 0.051 |
| Power of the signal | r = 0.32 | 0.11 | r = 0.25 | 0.22 | r = 0.20 | 0.31 |
| Spectral bandwidth | r = −0.19 | 0.35 | r = 0.19 | 0.34 | r = 0.089 | 0.65 |
| Shimmer | R = 0.48 * | 0.011 | R = 0.24 | 0.23 | R = 0.20 | 0.31 |
| Jitter | R = 0.23 | 0.22 | R = 0.42 * | 0.027 | R = 0.28 | 0.15 |
| Harmonic-to-noise ratio | R = −0.59 ** | <0.01 | R = −0.34 | 0.086 | R = −0.35 | 0.076 |
| Vowel A | ||||||
| Absolute energy | R = −0.19 | 0.35 | R = −0.10 | 0.61 | R = 0.19 | 0.35 |
| Fundamental frequency | R = −0.54 ** | <0.01 | R = −0.14 | 0.48 | R = −0.21 | 0.30 |
| Entropy of the signal | r = −0.25 | 0.19 | r = −0.26 | 0.19 | r = < 0.001 | 0.98 |
| Power of the signal | R = 0.37 | 0.059 | R = 0.25 | 0.20 | R = 0.38 | 0.052 |
| Spectral bandwidth | r = −0.60 *** | <0.001 | r = −0.19 | 0.34 | r = −0.37 | 0.058 |
| Shimmer | r = 0.19 | 0.35 | r = 0.17 | 0.40 | r = −0.073 | 0.71 |
| Jitter | r = −0.22 | 0.26 | r = −0.081 | 0.68 | r = −0.29 | 0.14 |
| Harmonic-to-noise ratio | R = −0.044 | 0.82 | R = 0.064 | 0.74 | R = −0.28 | 0.15 |
| CAPE−V Score | ||||||
| Overall severity | r = −0.33 | 0.097 | r = −0.49 * | 0.010 | r = −0.44 * | 0.021 |
| Roughness | r = −0.30 | 0.13 | r = −0.36 | 0.062 | r = −0.36 | 0.062 |
| Breathiness | r = −0.36 | 0.066 | r = −0.33 | 0.085 | r = −0.36 | 0.068 |
| Strain | r = −0.36 | 0.063 | r = −0.12 | 0.54 | r = −0.24 | 0.22 |
| Pitch | r = −0.33 | 0.093 | r = −0.39 * | 0.042 | r = −0.39 * | 0.044 |
| Loudness | R = −0.38 | 0.052 | r = −0.51 ** | <0.01 | r = −0.48 * | 0.012 |
| Overall Severity | Roughness | Breathiness | Strain | Pitch | Loudness | |||||||
|---|---|---|---|---|---|---|---|---|---|---|---|---|
| Voice Features | r Value | p Value | r Value | p Value | r Value | p Value | r Value | p Value | r Value | p Value | r Value | p Value |
| Phrase C | ||||||||||||
| Speaking rate | −0.53 ** | <0.01 | −0.47 * | 0.014 | −0.24 | 0.22 | −0.37 | 0.057 | −0.50 ** | <0.01 | −0.57 ** | <0.01 |
| Pause time | 0.62 *** | <0.001 | 0.54 ** | <0.01 | 0.30 | 0.12 | 0.47 * | 0.014 | 0.64 *** | <0.001 | 0.61 *** | <0.001 |
| Absolute energy | 0.26 | 0.18 | 0.30 | 0.13 | 0.082 | 0.68 | 0.13 | 0.50 | 0.30 | 0.12 | 0.31 | 0.11 |
| Fundamental frequency | −0.24 | 0.23 | −0.027 | 0.89 | −0.27 | 0.17 | −0.067 | 0.74 | −0.070 | 0.72 | −0.23 | 0.24 |
| Entropy of the signal | −0.39 * | 0.043 | −0.30 | 0.13 | −0.10 | 0.60 | 0.27 | 0.17 | −0.36 | 0.065 | −0.35 | 0.076 |
| Power of the signal | −0.020 | 0.92 | −7.60 × 10−3 | 0.97 | −0.25 | 0.21 | 6.40 × 10−3 | 0.97 | −0.076 | 0.70 | −0.034 | 0.86 |
| Spectral bandwidth | −0.19 | 0.33 | −0.18 | 0.36 | 5.80 × 10−3 | 0.97 | −0.21 | 0.29 | −0.17 | 0.40 | −0.25 | 0.20 |
| Shimmer | 0.042 | 0.83 | 0.079 | 0.69 | 0.13 | 0.51 | 0.13 | 0.50 | 0.095 | 0.63 | −0.041 | 0.84 |
| Jitter | −0.24 | 0.22 | −0.16 | 0.41 | 9.60 × 10−3 | 0.96 | 0.072 | 0.71 | −0.18 | 0.36 | −0.30 | 0.13 |
| HNR | 0.26 | 0.19 | 0.23 | 0.24 | 0.12 | 0.56 | 0.12 | 0.55 | 0.28 | 0.15 | 0.33 | 0.089 |
| Vowel A | ||||||||||||
| Absolute energy | 0.019 | 0.92 | 0.040 | 0.84 | −0.011 | 0.95 | −0.13 | 0.51 | 0.068 | 0.73 | −0.037 | 0.85 |
| Fundamental frequency | −0.031 | 0.87 | 0.081 | 0.68 | 0.034 | 0.86 | 0.054 | 0.78 | 0.10 | 0.61 | 1.90 × 10−3 | 0.99 |
| Entropy of the signal | 0.14 | 0.47 | 0.18 | 0.34 | 0.18 | 0.35 | −0.017 | 0.93 | 0.17 | 0.39 | 0.13 | 0.48 |
| Power of the signal | 0.059 | 0.76 | 0.067 | 0.73 | 0.071 | 0.72 | 0.056 | 0.77 | 0.047 | 0.81 | 0.059 | 0.76 |
| Spectral bandwidth | 0.015 | 0.93 | −0.0047 | 0.98 | −0.016 | 0.93 | 0.099 | 0.62 | 7.50 × 10−3 | 0.97 | 0.010 | 0.95 |
| Shimmer | 0.28 | 0.14 | 0.33 | 0.089 | 0.073 | 0.71 | 0.31 | 0.11 | 0.30 | 0.12 | 0.28 | 0.16 |
| Jitter | 0.47 * | 0.013 | 0.47 * | 0.012 | 0.20 | 0.30 | 0.36 | 0.064 | 0.52 ** | <0.01 | 0.40 | 0.040 |
| HNR | −0.39 * | 0.041 | −0.34 | 0.086 | −0.17 | 0.39 | −0.20 | 0.31 | −0.32 | 0.10 | −0.37 | 0.054 |
| Voice Features | ALSFRS-R | Bulbar | Respiratory | FVC% | MIP% | MEP% |
|---|---|---|---|---|---|---|
| CAPE-V Scores | ||||||
| Overall severity | - | * | - | - | * | * |
| Roughness | - | * | - | - | - | - |
| Breathiness | - | - | - | - | - | - |
| Strain | - | * | - | - | - | - |
| Pitch | - | * | - | - | * | * |
| Loudness | - | * | - | - | * | * |
| Phrase C | ||||||
| Speaking rate | - | * | - | * | * | * |
| Pause time | * | * | - | - | * | * |
| Absolute energy | - | * | - | * | - | - |
| Fundamental frequency | - | - | - | - | - | - |
| Entropy of the signal | - | - | - | - | - | - |
| Power of the signal | - | - | - | - | - | - |
| Spectral bandwidth | * | - | - | - | - | |
| Shimmer | - | - | - | * | - | - |
| Jitter | - | * | - | - | * | - |
| Harmonic-to-noise ratio | - | * | - | * | - | - |
| Vowel A | ||||||
| Absolute energy | - | - | - | - | - | - |
| Fundamental frequency | - | - | - | * | - | - |
| Entropy of the signal | - | - | - | - | - | - |
| Power of the signal | - | - | - | - | - | - |
| Spectral bandwidth | - | - | - | * | - | - |
| Shimmer | - | - | - | - | - | - |
| Jitter | - | * | - | - | - | - |
| Harmonic-to-noise ratio | - | - | - | - | - | - |
Disclaimer/Publisher’s Note: The statements, opinions and data contained in all publications are solely those of the individual author(s) and contributor(s) and not of MDPI and/or the editor(s). MDPI and/or the editor(s) disclaim responsibility for any injury to people or property resulting from any ideas, methods, instructions or products referred to in the content. |
© 2024 by the authors. Licensee MDPI, Basel, Switzerland. This article is an open access article distributed under the terms and conditions of the Creative Commons Attribution (CC BY) license (https://creativecommons.org/licenses/by/4.0/).
Share and Cite
Rocha, P.S.; Bento, N.; Svärd, H.; Lopes, D.M.; Hespanhol, S.; Folgado, D.; Carreiro, A.V.; de Carvalho, M.; Miranda, B. Voice Assessment in Patients with Amyotrophic Lateral Sclerosis: An Exploratory Study on Associations with Bulbar and Respiratory Function. Brain Sci. 2024, 14, 1082. https://doi.org/10.3390/brainsci14111082
Rocha PS, Bento N, Svärd H, Lopes DM, Hespanhol S, Folgado D, Carreiro AV, de Carvalho M, Miranda B. Voice Assessment in Patients with Amyotrophic Lateral Sclerosis: An Exploratory Study on Associations with Bulbar and Respiratory Function. Brain Sciences. 2024; 14(11):1082. https://doi.org/10.3390/brainsci14111082
Chicago/Turabian StyleRocha, Pedro Santos, Nuno Bento, Hanna Svärd, Diana Monteiro Lopes, Sandra Hespanhol, Duarte Folgado, André Valério Carreiro, Mamede de Carvalho, and Bruno Miranda. 2024. "Voice Assessment in Patients with Amyotrophic Lateral Sclerosis: An Exploratory Study on Associations with Bulbar and Respiratory Function" Brain Sciences 14, no. 11: 1082. https://doi.org/10.3390/brainsci14111082
APA StyleRocha, P. S., Bento, N., Svärd, H., Lopes, D. M., Hespanhol, S., Folgado, D., Carreiro, A. V., de Carvalho, M., & Miranda, B. (2024). Voice Assessment in Patients with Amyotrophic Lateral Sclerosis: An Exploratory Study on Associations with Bulbar and Respiratory Function. Brain Sciences, 14(11), 1082. https://doi.org/10.3390/brainsci14111082

