Exploring the Impact of Smartphone Addiction on Risk Decision-Making Behavior among College Students Based on fNIRS Technology
Abstract
:1. Introduction
2. Materials and Methods
2.1. Participants
2.2. Experimental Design
2.3. Experimental Tools
2.3.1. Smartphone Addiction Scale–Short Version (SAS-SV) [2]
2.3.2. Smartphone Addiction Scale for College Students (SAS-C) [26]
2.3.3. Positive Affect and Negative Affect Scale (PANAS) [27]
2.3.4. Barratt Impulsiveness Scale-11 (BIS-11) [28]
2.3.5. Beck Depression Inventory-II (BDI-II) [30]
2.3.6. Beck Anxiety Inventory (BAI) [32]
2.4. Procedures
2.5. fNIRS Data Acquisition
2.6. Data Analysis
3. Results
3.1. Demographics and Results of Each Scale
3.2. Risky Decision-Making Behavior
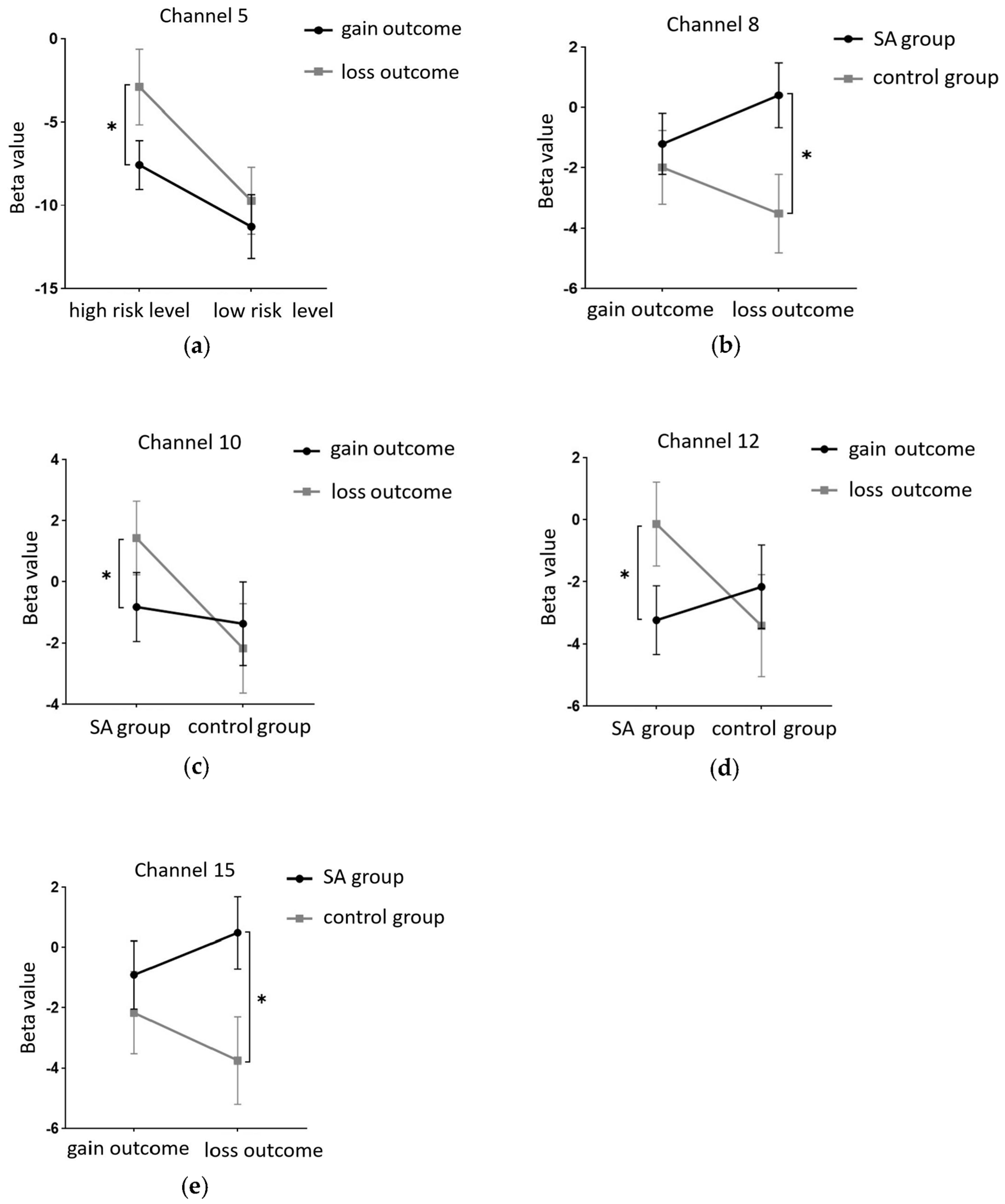
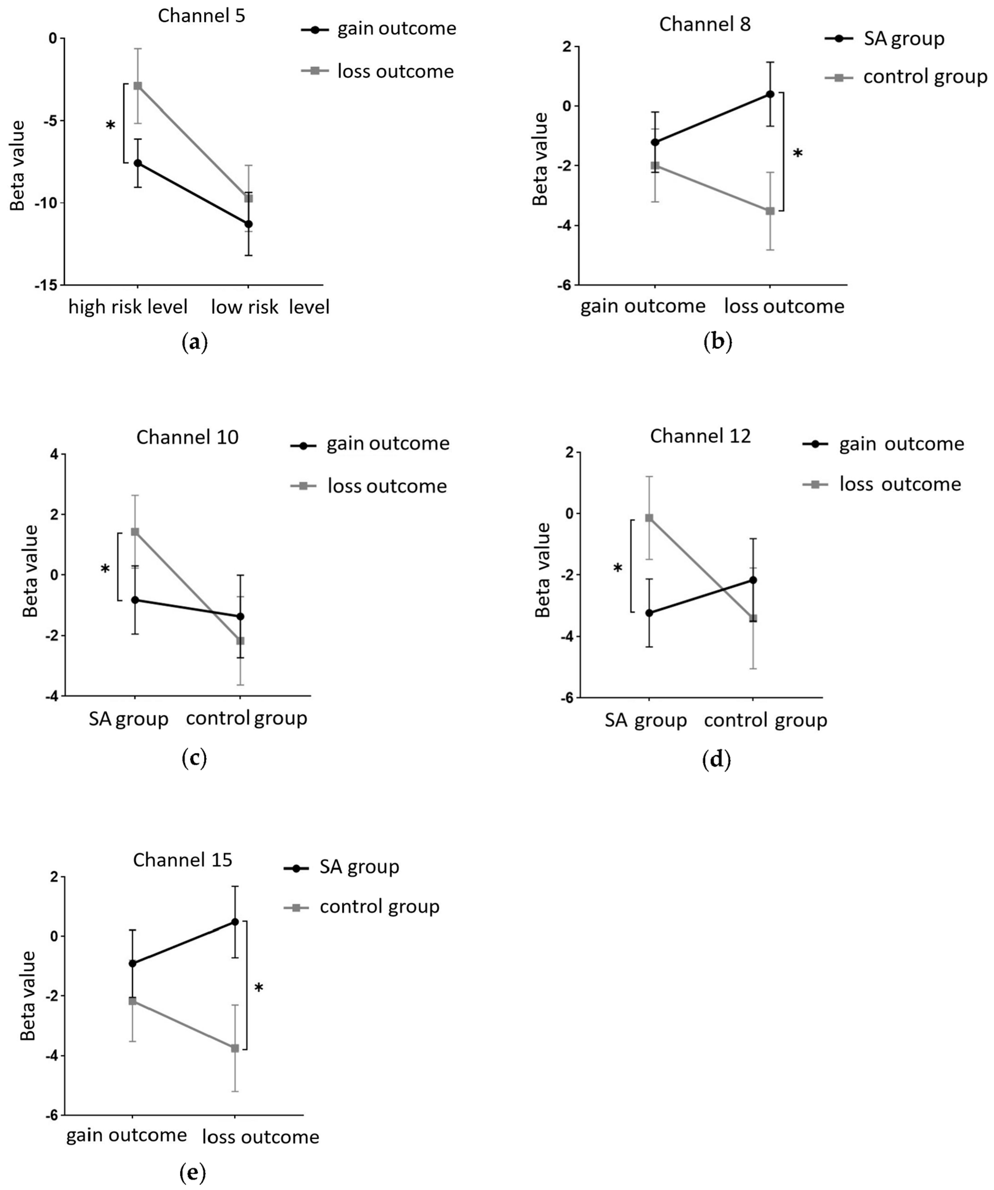
3.3. fNIRS Results
4. Discussion
Author Contributions
Funding
Institutional Review Board Statement
Informed Consent Statement
Data Availability Statement
Conflicts of Interest
References
- Kwon, M.; Lee, J.Y.; Won, W.Y.; Park, J.W.; Min, J.A.; Hahn, C.; Gu, X.; Choi, J.H.; Kim, D.J. Development and validation of a smartphone addiction scale (SAS). PLoS ONE 2013, 8, e56936. [Google Scholar] [CrossRef] [PubMed]
- Kwon, M.; Kim, D.J.; Cho, H.; Yang, S. The smartphone addiction scale: Development and validation of a short version for adolescents. PLoS ONE 2013, 8, e83558. [Google Scholar] [CrossRef] [PubMed]
- Loleska, S.; Pop-Jordanova, N. Is Smartphone Addiction in the Younger Population a Public Health Problem? Pril (Makedon Akad Nauk Umet Odd Med. Nauk.) 2021, 42, 29–36. [Google Scholar] [CrossRef] [PubMed]
- Lin, Y.H.; Lin, Y.C.; Lin, S.H.; Lee, Y.H.; Lin, P.H.; Chiang, C.L.; Chang, L.R.; Yang, C.C.; Kuo, T.B. To use or not to use? Compulsive behavior and its role in smartphone addiction. Transl. Psychiatry 2017, 7, e1030. [Google Scholar] [CrossRef] [PubMed]
- Mahapatra, S. Smartphone addiction and associated consequences: Role of loneliness and self-regulation. Behav. Inf. Technol. 2019, 38, 833–844. [Google Scholar] [CrossRef]
- Yuan, G.; Elhai, J.D.; Hall, B.J. The influence of depressive symptoms and fear of missing out on severity of problematic smartphone use and Internet gaming disorder among Chinese young adults: A three-wave mediation model. Addict. Behav. 2021, 112, 106648. [Google Scholar] [CrossRef] [PubMed]
- Patalay, P.; Gage, S.H. Changes in millennial adolescent mental health and health-related behaviours over 10 years: A population cohort comparison study. Int. J. Epidemiol. 2019, 48, 1650–1664. [Google Scholar] [CrossRef]
- Kim, Y.J.; Jang, H.M.; Lee, Y.; Lee, D.; Kim, D.J. Effects of internet and smartphone addictions on depression and anxiety based on propensity score matching analysis. Int. J. Environ. Res. Public Health 2018, 15, 859. [Google Scholar] [CrossRef]
- Rho, M.J.; Park, J.; Na, E.; Jeong, J.E.; Kim, J.K.; Kim, D.J.; Choi, I.Y. Types of problematic smartphone use based on psychiatric symptoms. Psychiatry Res. 2019, 275, 46–52. [Google Scholar] [CrossRef]
- Khoury, J.M.; Couto, L.; Santos, D.A.; VHO, E.S.; Drumond, J.P.S.; Silva, L.; Malloy-Diniz, L.; Albuquerque, M.R.; das Neves, M.C.L.; Duarte Garcia, F. Bad choices make good stories: The impaired decision-making process and skin conductance response in subjects with smartphone addiction. Front. Psychiatry 2019, 10, 73. [Google Scholar] [CrossRef]
- Balleine, B.W.; Doya, K.; O’Doherty, J.; Sakagami, M. Current trends in decision making. Ann. N. Y Acad. Sci. 2007, 1104, xi–xv. [Google Scholar] [CrossRef] [PubMed]
- Hastie, R. Problems for judgment and decision making. Annu. Rev. Psychol. 2001, 52, 653–683. [Google Scholar] [CrossRef]
- Fischhoff, B.; Broomell, S.B. Judgment and Decision Making. Annu. Rev. Psychol. 2020, 71, 331–355. [Google Scholar] [CrossRef] [PubMed]
- Wang, X.; Pan, Y.; Zhang, K.; Sui, Y.; Lv, T.; Xu, S.; Gao, L. Emotional experience and personality traits influence individual and joint risk-based decision making. SBP J. 2017, 45, 881–892. [Google Scholar] [CrossRef]
- Harris, C.R.; Jenkins, M. Gender differences in risk assessment: Why do women take fewer risks than men? Judgm. Decis. Mak. 2006, 1, 48–63. [Google Scholar] [CrossRef]
- Liu, Z.; Li, L.; Zheng, L.; Hu, Z.; Roberts, I.D.; Guo, X.; Yang, G. The neural basis of regret and relief during a sequential risk-taking task. Neuroscience 2016, 327, 136–145. [Google Scholar] [CrossRef] [PubMed]
- Dror, I.E.; Basola, B.; Busemeyer, J.R. Decision making under time pressure: An independent test of sequential sampling models. Mem. Cogn. 1999, 27, 713–725. [Google Scholar] [CrossRef]
- Wang, X.T.; Simons, F.; Brédart, S. Social cues and verbal framing in risky choice. J. Behav. Decis. Mak. 2001, 14, 1–15. [Google Scholar] [CrossRef]
- Balconi, M.; Siri, C.; Meucci, N.; Pezzoli, G.; Angioletti, L. Personality traits and cortical activity affect gambling behavior in Parkinson’s disease. J. Park. Dis. 2018, 8, 341–352. [Google Scholar] [CrossRef]
- Li, Y.; Chen, R.; Zhang, S.; Turel, O.; Bechara, A.; Feng, T.; Chen, H.; He, Q. Hemispheric mPFC asymmetry in decision making under ambiguity and risk: An fNIRS study. Behav. Brain Res. 2019, 359, 657–663. [Google Scholar] [CrossRef]
- Wilmer, H.H.; Chein, J.M. Mobile technology habits: Patterns of association among device usage, intertemporal preference, impulse control, and reward sensitivity. Psychon. Bull. Rev. 2016, 23, 1607–1614. [Google Scholar] [CrossRef] [PubMed]
- Wilmer, H.H.; Hampton, W.H.; Olino, T.M.; Olson, I.R.; Chein, J.M. Wired to be connected? Links between mobile technology engagement, intertemporal preference and frontostriatal white matter connectivity. Soc. Cogn. Affect. Neurosci. 2019, 14, 367–379. [Google Scholar] [PubMed]
- Shan, W.; Jin, S.H.; Davis, H.M.; Peng, K.P.; Shao, X.; Wu, Y.Y.; Liu, S.Q.; Lu, J.W.; Yang, J.H.; Zhang, W.Q.; et al. Mating strategies in Chinese culture: Female risk avoiding vs. male risk taking. Evol. Hum. Behav. 2012, 33, 182–192. [Google Scholar] [CrossRef]
- Soyata, A.Z.; Aksu, S.; Woods, A.J.; İşçen, P.; Saçar, K.T.; Karamürsel, S. Effect of transcranial direct current stimulation on decision making and cognitive flexibility in gambling disorder. Eur. Arch. Psychiatry Clin. Neurosci. 2019, 269, 275–284. [Google Scholar] [CrossRef] [PubMed]
- Zhao, H.; Rafik-Galea, S.; Fitriana, M.; Song, T.J. Translation and psychometric evaluation of Smartphone Addiction Scale-Short Version (SAS-SV) among Chinese college students. PLoS ONE 2022, 17, e0278092. [Google Scholar] [CrossRef] [PubMed]
- Su, S.; Pan, T.T.; Liu, X.Q.; Chen, X.W.; Wang, Y.J.; Li, M.Y. Development of the smart-phone addiction scale for college students. Chin. Ment. Health J. 2014, 28, 392–397. [Google Scholar]
- Lin, Q.; Xue, Z.; Yanfei, W. Revision of the Positive Emotional Negative Emotion Scale (PANAS). Appl. Psychol. 2008, 14, 249–254. [Google Scholar]
- Patton, J.H.; Stanford, M.S.; Barratt, E.S. Factor structure of the Barratt impulsiveness scale. J. Clin. Psychol. 1995, 6, 768–774. [Google Scholar] [CrossRef]
- Di, Z.; Gong, X.; Shi, J.; Ahmed, H.O.A.; Nandi, A.K. Internet addiction disorder detection of Chinese college students using several personality questionnaire data and support vector machine. Addict. Behav. Rep. 2019, 10, 100200. [Google Scholar] [CrossRef]
- Beck, A.T.; Ward, C.H.; Mendelson, M.; Mock, J.; Erbaugh, J. An inventory for measuring depression. Arch. Gen. Psychiatry 1961, 4, 561–571. [Google Scholar] [CrossRef]
- Sun, X.Y.; Li, Y.X.; Yu, C.Q.; Li, L.M. Reliability and validity of depression scales of Chinese version: A systematic review. Zhonghua Liu Xing Bing Xue Za Zhi 2017, 38, 110–116. [Google Scholar] [PubMed]
- Beck, A.T.; Epstein, N.; Brown, G.; Steer, R.A. An inventory for measuring clinical anxiety: Psychometric properties. J. Consult. Clin. Psychol. 1988, 56, 893–897. [Google Scholar] [CrossRef] [PubMed]
- Liang, Y. Depression and anxiety among elderly earthquake survivors in China. J. Health Psychol. 2017, 22, 1869–1879. [Google Scholar] [CrossRef] [PubMed]
- Liang, Y.; Wang, L.; Zhu, J. Factor structure and psychometric properties of Chinese version of Beck Anxiety Inventory in Chinese doctors. J. Health Psychol. 2018, 23, 657–666. [Google Scholar] [CrossRef] [PubMed]
- Tian, F.; Lin, Z.J.; Liu, H. EasyTopo: A toolbox for rapid diffuse optical topography based on a standard template of brain atlas. Opt. Tomogr. Spectrosc. Tissue X 2013, 8578, 458–467. [Google Scholar]
- Chen, B.; Liu, F.; Ding, S.; Ying, X.; Wang, L.; Wen, Y. Gender differences in factors associated with smartphone addiction: A cross-sectional study among medical college students. BMC Psychiatry 2017, 17, 341. [Google Scholar] [CrossRef] [PubMed]
- Long, J.; Liu, T.Q.; Liao, Y.H.; Qi, C.; He, H.Y.; Chen, S.B.; Billieux, J. Prevalence and correlates of problematic smartphone use in a large random sample of Chinese undergraduates. BMC Psychiatry 2016, 16, 408. [Google Scholar] [CrossRef]
- Pera, A. The psychology of addictive smartphone behavior in young adults: Problematic use, social anxiety, and depressive stress. Front. Psychiatry 2020, 11, 573473. [Google Scholar] [CrossRef]
- Hawker, C.O.; Merkouris, S.S.; Youssef, G.J.; Dowling, N.A. Exploring the associations between gambling cravings, self-efficacy, and gambling episodes: An Ecological Momentary Assessment study. Addict. Behav. 2021, 112, 106574. [Google Scholar] [CrossRef]
- Deng, X.; Gao, Q.; Hu, L.; Zhang, L.; Li, Y.; Bu, X. Differences in reward sensitivity between high and low problematic smartphone use adolescents: An ERP study. Int. J. Environ. Res. Public Health 2021, 18, 9603. [Google Scholar] [CrossRef]
- Sohn, S.Y.; Rees, P.; Wildridge, B.; Kalk, N.J.; Carter, B. Prevalence of problematic smartphone usage and associated mental health outcomes amongst children and young people: A systematic review, meta-analysis and GRADE of the evidence. BMC Psychiatry 2019, 19, 356. [Google Scholar]
- Bechara, A.; Damasio, A.R. The somatic marker hypothesis: A neural theory of economic decision. Games Econ. Behav. 2005, 52, 336–372. [Google Scholar] [CrossRef]
- Prabhakaran, M.C.; Patel, V.R.; Ganjiwale, D.J.; Nimbalkar, M.S. Factors associated with internet addiction among school-going adolescents in Vadodara. J. Fam. Med. Prim. Care 2016, 5, 765–769. [Google Scholar] [CrossRef]
- Lopez-Fernandez, O.; Mannikko, N.; Kaariainen, M.; Griffiths, M.D.; Kuss, D.J. Mobile gaming and problematic smartphone use: A comparative study between Belgium and Finland. J. Behav. Addict. 2018, 7, 88–99. [Google Scholar] [CrossRef]
- Lyu, J.; Krasonikolakis, I.; Chen, C.H. Unlocking the shopping myth: Can smartphone dependency relieve shopping anxiety?—A mixed-methods approach in UK Omnichannel retail. Inf. Manag. 2023, 60, 103818. [Google Scholar] [CrossRef]
- Aquino, T.G.; Cockburn, J.; Mamelak, A.N.; Rutishauser, U.; O’Doherty, J.P. Neurons in human pre-supplementary motor area encode key computations for value-based choice. Nat. Hum. Behav. 2023, 7, 970–985. [Google Scholar] [CrossRef] [PubMed]







| SA Group (M ± SD) | Control Group (M ± SD) | t | p | |
|---|---|---|---|---|
| Age | 19.92 ± 1.801 | 20.18 ± 2.976 | −0.436 | 0.665 |
| Gender | 1.60 ± 0.500 | 1.76 ± 0.437 | 37.394 | 0.266 |
| SAS-SV | 45.20 ± 7.948 | 25.00 ± 3.317 | 34.475 | ≤0.001 |
| SAS-C | 77.2 ± 13.329 | 55.82 ± 8.911 | 5.781 | ≤0.001 |
| Positive effects | 25.88 ± 4.157 | 28.76 ± 5.154 | −2.003 | 0.052 |
| Negative effects | 18.24 ± 5.166 | 14.12 ± 3.586 | 2.851 | 0.007 |
| BIS | 63.56 ± 9.247 | 59.06 ± 5.910 | 1.772 | 0.084 |
| Attentional impulsivity | 15.76 ± 2.728 | 13.29 ± 1.896 | 3.229 | 0.002 |
| Movement impulsivity | 22.20 ± 4.213 | 20.65 ± 3.372 | 1.267 | 0.212 |
| Unplanned impulsivity | 25.60 ± 3.958 | 25.12 ± 3.621 | 0.401 | 0.691 |
| BDI | 12.52 ± 10.215 | 2.53 ± 2.065 | 4.750 | ≤0.001 |
| BAI | 36.24 ± 10.199 | 27.24 ± 3.327 | 4.105 | ≤0.001 |
Disclaimer/Publisher’s Note: The statements, opinions and data contained in all publications are solely those of the individual author(s) and contributor(s) and not of MDPI and/or the editor(s). MDPI and/or the editor(s) disclaim responsibility for any injury to people or property resulting from any ideas, methods, instructions or products referred to in the content. |
© 2023 by the authors. Licensee MDPI, Basel, Switzerland. This article is an open access article distributed under the terms and conditions of the Creative Commons Attribution (CC BY) license (https://creativecommons.org/licenses/by/4.0/).
Share and Cite
Liu, X.; Tian, R.; Liu, H.; Bai, X.; Lei, Y. Exploring the Impact of Smartphone Addiction on Risk Decision-Making Behavior among College Students Based on fNIRS Technology. Brain Sci. 2023, 13, 1330. https://doi.org/10.3390/brainsci13091330
Liu X, Tian R, Liu H, Bai X, Lei Y. Exploring the Impact of Smartphone Addiction on Risk Decision-Making Behavior among College Students Based on fNIRS Technology. Brain Sciences. 2023; 13(9):1330. https://doi.org/10.3390/brainsci13091330
Chicago/Turabian StyleLiu, Xiaolong, Ruoyi Tian, Huafang Liu, Xue Bai, and Yi Lei. 2023. "Exploring the Impact of Smartphone Addiction on Risk Decision-Making Behavior among College Students Based on fNIRS Technology" Brain Sciences 13, no. 9: 1330. https://doi.org/10.3390/brainsci13091330
APA StyleLiu, X., Tian, R., Liu, H., Bai, X., & Lei, Y. (2023). Exploring the Impact of Smartphone Addiction on Risk Decision-Making Behavior among College Students Based on fNIRS Technology. Brain Sciences, 13(9), 1330. https://doi.org/10.3390/brainsci13091330

