Just-Noticeable Differences of Fundamental Frequency Change in Mandarin-Speaking Children with Cochlear Implants
Abstract
:1. Introduction
2. Materials and Methods
2.1. Participants
2.2. Stimuli
2.3. Procedure
2.4. Statistical Analysis
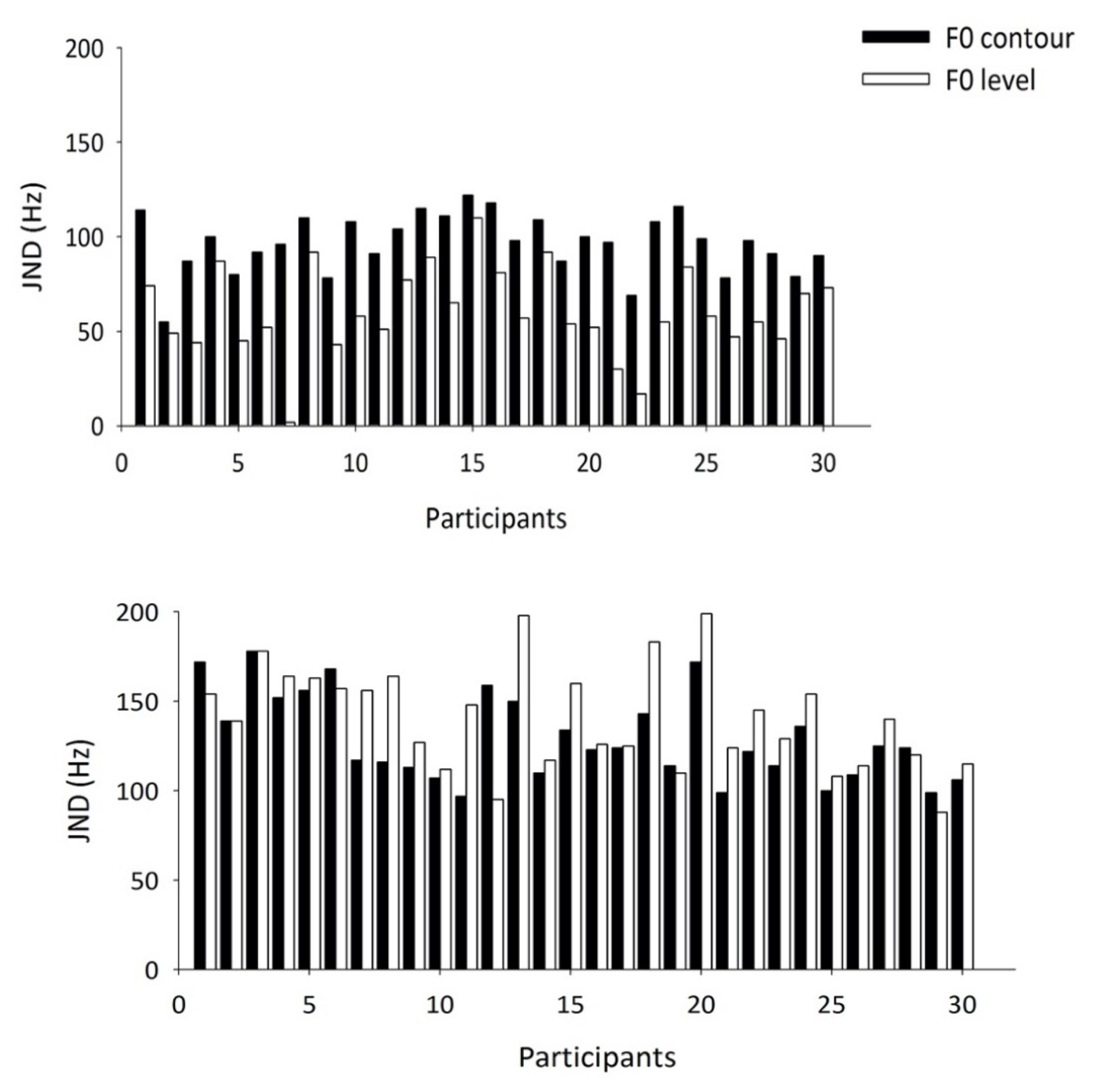
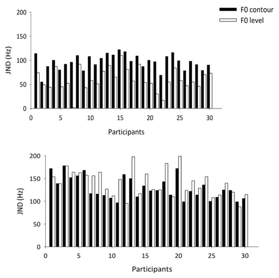
3. Results
4. Discussion
5. Conclusions
Author Contributions
Funding
Institutional Review Board Statement
Informed Consent Statement
Data Availability Statement
Acknowledgments
Conflicts of Interest
References
- Yip, M. Tone; Cambridge University Press: Cambridge, UK, 2002; p. 1. [Google Scholar]
- Lin, M. The acoustic characteristics and perceptual cues of tones in Standard Chinese. Chin. Yuwen. 1988, 204, 182–193. [Google Scholar]
- Fu, Q.J.; Zeng, F.G. Identification of temporal envelope cues in Chinese tone recognition. Asia Pac. J. Speech Lang. Hear. 2000, 5, 45–57. [Google Scholar] [CrossRef]
- Liu, S.; Samuel, A.G. Perception of Mandarin lexical tones when F0 information is neutralized. Lang. Speech. 2004, 47, 109–138. [Google Scholar] [CrossRef] [PubMed]
- Kong, Y.Y.; Zeng, F.G. Temporal and spectral cues in Mandarin tone recognition. J. Acoust. Soc. Am. 2006, 120, 2830–2840. [Google Scholar] [CrossRef] [PubMed]
- Communiqué on the Main Data of the Sixth National Census in 2010. Available online: http://www.gov.cn/test/2012-04/20/content_2118413.htm (accessed on 20 April 2012).
- Du, X.; Sun, X.; Huang, Z. Introduction of ”Study of Chinese language education in CI postoperative rehabilitation”. China Sci J. Hear. Speech Rehab. 2005, 6, 12. [Google Scholar]
- Chen, Y.; Wong, L.L.; Chen, F.; Xi, X. Tone and sentence perception in young Mandarin-speaking children with cochlear implants. Int. J. Pediatr. Otorhinolaryng. 2014, 78, 1923–1930. [Google Scholar] [CrossRef]
- Wei, C.G.; Cao, K.; Jin, X.; Chen, X.; Zeng, F.G. Psychophysical performance and Mandarin tone recognition in noise by cochlear implant users. Ear Hear. 2007, 28 (Suppl. S2), 62S. [Google Scholar] [CrossRef] [Green Version]
- Peng, S.C.; Tomblin, J.B.; Turner, C.W. Production and perception of speech intonation in pediatric cochlear implant recipients and individuals with normal hearing. Ear Hear. 2008, 29, 336–351. [Google Scholar] [CrossRef]
- See, R.L.; Driscoll, V.D.; Gfeller, K.; Kliethermes, S.; Oleson, J. Speech intonation and melodic contour recognition in children with cochlear implants and with normal hearing. Otol. Neurotol. 2013, 34, 490. [Google Scholar] [CrossRef] [Green Version]
- Han, D.; Liu, B.; Zhou, N.; Chen, X.; Kong, Y.; Liu, H.; Xu, L. Lexical tone perception with HiResolution and HiResolution 120 sound-processing strategies in pediatric Mandarin-speaking cochlear implant users. Ear Hear. 2009, 30, 169. [Google Scholar] [CrossRef] [Green Version]
- Schatzer, R.; Krenmayr, A.; Au, D.K.; Kals, M.; Zierhofer, C. Temporal fine structure in cochlear implants: Preliminary speech perception results in Cantonese-speaking implant users. Acta Oto-Laryngol. 2010, 130, 1031–1039. [Google Scholar] [CrossRef] [PubMed]
- Huang, W.; Wong, L.L.; Chen, F.; Liu, H.; Liang, W. Effects of Fundamental Frequency Contours on Sentence Recognition in Mandarin-Speaking Children With Cochlear Implants. J. Speech Lang. Hear. Res. 2020, 63, 3855–3864. [Google Scholar] [CrossRef] [PubMed]
- Peng, S.C.; Lu, H.-P.; Lu, N.; Lin, Y.S.; Deroche, M.L.; Chatterjee, M. Processing of acoustic cues in lexical-tone identification by pediatric cochlear-implant recipients. J. Speech Lang. Hear. Res. 2017, 60, 1223–1235. [Google Scholar] [CrossRef] [PubMed]
- Galvin, J.J., III; Fu, Q.J.; Shannon, R.V. Melodic contour identification and music perception by cochlear implant users. Ann. N. Y. Acad. Sci. 2009, 1169, 518. [Google Scholar] [CrossRef] [Green Version]
- Hopyan, T.; Peretz, I.; Chan, L.P.; Papsin, B.C.; Gordon, K.A. Children using cochlear implants capitalize on acoustical hearing for music perception. Front. Psychol. 2012, 3, 425. [Google Scholar] [CrossRef] [Green Version]
- Deroche, M.L.; Lu, H.P.; Limb, C.J.; Lin, Y.S.; Chatterjee, M. Deficits in the pitch sensitivity of cochlear-implanted children speaking English or Mandarin. Front. Neurosci. 2014, 8, 282. [Google Scholar] [CrossRef] [Green Version]
- Deroche, M.L.; Kulkarni, A.M.; Christensen, J.A.; Limb, C.J.; Chatterjee, M. Deficits in the sensitivity to pitch sweeps by school-aged children wearing cochlear implants. Front. Neurosci. 2016, 10, 73. [Google Scholar] [CrossRef] [Green Version]
- Huang, W.T.; Nan, Y.; Dong, Q.; Liu, C. Just-noticeable difference of tone pitch contour change for Mandarin congenital amusics. J. Acoust. Soc. Am. 2015, 138, EL99–EL104. [Google Scholar] [CrossRef]
- Mok PP, K.; Fung HS, H.; Li, V.G. Assessing the link between perception and production in Cantonese tone acquisition. J. Speech Lang. Hear. Res. 2019, 62, 1243–1257. [Google Scholar] [CrossRef]
- Mok, P.P.K.; Li, V.G.; Fung, H.S.H. Development of phonetic contrasts in Cantonese tone acquisition. J. Speech Lang. Hear. Res. 2020, 63, 95–108. [Google Scholar] [CrossRef]
- Xu Rattanasone, N.; Tang, P.; Yuen, I.; Gao, L.; Demuth, K. Five-year-olds’ acoustic realization of Mandarin tone sandhi and lexical tones in context are not yet fully adult-like. Front. Psychol. 2018, 9, 817. [Google Scholar] [CrossRef] [PubMed]
- Wong, P. Perceptual evidence for protracted development in monosyllabic Mandarin lexical tone production in preschool children in Taiwan. J. Acoust. Soc. Am. 2013, 133, 434–443. [Google Scholar] [CrossRef] [PubMed] [Green Version]
- Sharma, A.; Dorman, M.F.; Kral, A. The influence of a sensitive period on central auditory development in children with unilateral and bilateral cochlear implants. Hear. Res. 2005, 203, 134–143. [Google Scholar] [CrossRef] [PubMed]
- Sharma, A.; Dorman, M.F.; Spahr, A.J. A sensitive period for the development of the central auditory system in children with cochlear implants: Implications for age of implantation. Ear Hear. 2002, 23, 532–539. [Google Scholar] [CrossRef]
- Hiskey, M.S. A study of the intelligence of deaf and hearing children. Am. Ann. Deaf. 1956, 329–339. [Google Scholar]
- Boersma, P. Praat, a system for doing phonetics by computer. Glot. Int. 2001, 5, 341–345. [Google Scholar]
- Liu, Y.L. Research on the Chinese Proficiency Test; No. 504; Modern Press Co., Ltd.: Beijing, China, 1989. [Google Scholar]
- Liu, C. Just noticeable difference of tone pitch contour change for English-and Chinese-native listeners. J. Acoust. Soc. Am. 2013, 134, 3011–3020. [Google Scholar] [CrossRef]
- Wang, X.D.; Wang, M.; Chen, L. Hemispheric lateralization for early auditory processing of lexical tones: Dependence on pitch level and pitch contour. Neuropsychologia 2013, 51, 2238–2244. [Google Scholar] [CrossRef]
- Moore, J.K.; Linthicum, F.H., Jr. The human auditory system: A timeline of development. Int. J. Audiol. 2007, 46, 460–478. [Google Scholar] [CrossRef]
- Ponton, C.; Eggermont, J.J.; Khosla, D.; Kwong, B.; Don, M. Maturation of human central auditory system activity: Separating auditory evoked potentials by dipole source modeling. Clin. Neurophysiol. 2002, 113, 407–420. [Google Scholar] [CrossRef]
- Wei, C.G.; Cao, K.; Zeng, F.G. Mandarin tone recognition in cochlear-implant subjects. Hear. Res. 2004, 197, 87–95. [Google Scholar] [CrossRef] [PubMed]
- Chen, Y.; Wong, L.L.; Zhu, S.; Xi, X. A structural equation modeling approach to examining factors influencing outcomes with cochlear implant in mandarin-speaking children. PLoS ONE 2015, 10, e0136576. [Google Scholar] [CrossRef] [PubMed] [Green Version]
- Carlyon, R.P.; Van Wieringen, A.; Long, C.J.; Deeks, J.M.; Wouters, J. Temporal pitch mechanisms in acoustic and electric hearing. J. Acoust. Soc. Am. 2002, 112, 621–633. [Google Scholar] [CrossRef] [PubMed]
- Zeng, F.G. Temporal pitch in electric hearing. Hear. Res. 2002, 174, 101–106. [Google Scholar] [CrossRef]
- Vandali, A.; Sly, D.; Cowan, R.; Van Hoesel, R. Pitch and loudness matching of unmodulated and modulated stimuli in cochlear implantees. Hear. Res. 2013, 302, 32–49. [Google Scholar] [CrossRef]
- Xu, L.; Chen, X.; Lu, H.; Zhou, N.; Wang, S.; Liu, Q.; Han, D. Tone perception and production in pediatric cochlear implants users. Acta Otolaryngol. 2011, 131, 395–398. [Google Scholar] [CrossRef]
- Freni, F.; Gazia, F.; Slavutsky, V.; Perello Scherdel, E.; Nicenboim, L.; Posada, R.; Galletti, F. Cochlear implant surgery: Endomeatal approach versus posterior tympanotomy. Int. J. Environ. Res. Public Health 2020, 17, 4187. [Google Scholar] [CrossRef]
- Xu, Y.; Wang, Q.E. Pitch targets and their realization: Evidence from Mandarin Chinese. Speech Commun. 2001, 33, 319–337. [Google Scholar] [CrossRef]




| No. | Sex | AAT (Years) | HAT (Years) | AAI (Years) | Hearing Device | DCI (Years) | DAVT (Years) | ||
|---|---|---|---|---|---|---|---|---|---|
| Left Device | Right Device | CI Speech Processing Strategies | |||||||
| 1 | F | 5.75 | 1.75 | 3.58 | Phonak | MED-EL | FS4 | 2.17 | 2.17 |
| 2 | F | 5.08 | 0.42 | 3.33 | Phonak | Cochlear | ACE | 1.75 | 1.75 |
| 3 | M | 4.33 | 0.33 | 1.42 | Phonak | AB | HiRes120 | 2.91 | 2.91 |
| 4 | F | 4.83 | 0.83 | 2.92 | Cochlear | Phonak | ACE | 1.91 | 1.75 |
| 5 | M | 4.92 | 3.67 | 3.67 | Cochlear | Widex | ACE | 1.25 | 1.25 |
| 6 | M | 5.33 | 0 | 3.17 | Phonak | MED-EL | FS4 | 2.16 | 2.16 |
| 7 | M | 3.92 | 0 | 1.33 | Phonak | MED-EL | FS4 | 2.59 | 2.5 |
| 8 | F | 4.83 | 0 | 2.58 | Phonak | Nurotron | C-tone | 2.25 | 1.91 |
| 9 | F | 4.08 | 1 | 3.33 | MED-EL | Phonak | FS4 | 0.75 | 0.75 |
| 10 | F | 4.08 | 0 | 2.58 | MED-EL | Phonak | FS4 | 1.5 | 1.33 |
| 11 | F | 4 | 0.33 | 2.75 | Phonak | Cochlear | ACE | 1.25 | 1.25 |
| 12 | M | 4.17 | 0 | 3 | MED-EL | Phonak | FS4 | 1.17 | 1.17 |
| 13 | M | 4.33 | 0.75 | 3.25 | Phonak | Cochlear | ACE | 1.08 | 1.08 |
| 14 | M | 3.75 | 0 | 2 | AB | Phonak | HiRes120 | 1.75 | 1.5 |
| 15 | M | 4.25 | 0 | 2.25 | Phonak | Cochlear | FS4 | 2 | 2 |
| 16 | M | 3.5 | 0 | 1.67 | Phonak | MED-EL | FS4 | 1.83 | 1.25 |
| 17 | F | 4.17 | 0.67 | 1.58 | Cochlear | Widex | ACE | 2.59 | 1.59 |
| 18 | M | 3.83 | 0.67 | 1.92 | Cochlear | Phonak | ACE | 1.91 | 1.91 |
| 19 | M | 4 | 0 | 2.08 | Phonak | Cochlear | ACE | 1.92 | 1.67 |
| 20 | M | 3.58 | 0 | 0.67 | Phonak | AB | HiRes120 | 2.91 | 2.08 |
| 21 | M | 3.5 | 0 | 1.58 | Phonak | Cochlear | ACE | 1.92 | 1.92 |
| 22 | F | 3.42 | 0.67 | 2.08 | MED-EL | Phonak | FS4 | 1.34 | 1.34 |
| 23 | M | 3.5 | 0 | 1.83 | Cochlear | Phonak | ACE | 1.67 | 1.5 |
| 24 | M | 4.08 | 0 | 2.08 | Cochlear | Phonak | ACE | 2 | 1.5 |
| 25 | F | 5.75 | 0.92 | 2.5 | AB | Null | HiRes120 | 3.25 | 1.75 |
| 26 | M | 4.92 | 0 | 1.67 | MED-EL | Null | FS4 | 3.25 | 1.33 |
| 27 | F | 4.33 | 0 | 1.17 | Null | MED-EL | FS4 | 3.17 | 1.5 |
| 28 | F | 5.5 | 0 | 2.17 | AB | Null | HiRes120 | 3.33 | 0.92 |
| 29 | M | 5.33 | 0 | 4.17 | Phonak | MED-EL | FS4 | 1.17 | 0.83 |
| 30 | M | 3.83 | 0 | 2.08 | Cochlear | Null | ACE | 1.53 | 1.67 |
| CI Speech Processing Strategies | JND-L > JND-C | JND-L = JND-C | JND-L < JND-C |
|---|---|---|---|
| FS4 (n = 12) | 66.7% | 0% | 33.3% |
| ACE (n = 12) | 83.3% | 8.3% | 8.3% |
| HiRes 120 (n = 5) | 60% | 20% | 20% |
| C-tone (n = 1) | 100% | 0% | 0% |
| Source of Variation | df | F Value | Partial Eta2 |
|---|---|---|---|
| group | 1 | 102.12 *** | 0.64 |
| F0 dimension | 1 | 21.17 *** | 0.27 |
| group × F0 dimention | 1 | 4.54 *** | 0.57 |
Publisher’s Note: MDPI stays neutral with regard to jurisdictional claims in published maps and institutional affiliations. |
© 2022 by the authors. Licensee MDPI, Basel, Switzerland. This article is an open access article distributed under the terms and conditions of the Creative Commons Attribution (CC BY) license (https://creativecommons.org/licenses/by/4.0/).
Share and Cite
Huang, W.; Wong, L.L.N.; Chen, F. Just-Noticeable Differences of Fundamental Frequency Change in Mandarin-Speaking Children with Cochlear Implants. Brain Sci. 2022, 12, 443. https://doi.org/10.3390/brainsci12040443
Huang W, Wong LLN, Chen F. Just-Noticeable Differences of Fundamental Frequency Change in Mandarin-Speaking Children with Cochlear Implants. Brain Sciences. 2022; 12(4):443. https://doi.org/10.3390/brainsci12040443
Chicago/Turabian StyleHuang, Wanting, Lena L. N. Wong, and Fei Chen. 2022. "Just-Noticeable Differences of Fundamental Frequency Change in Mandarin-Speaking Children with Cochlear Implants" Brain Sciences 12, no. 4: 443. https://doi.org/10.3390/brainsci12040443
APA StyleHuang, W., Wong, L. L. N., & Chen, F. (2022). Just-Noticeable Differences of Fundamental Frequency Change in Mandarin-Speaking Children with Cochlear Implants. Brain Sciences, 12(4), 443. https://doi.org/10.3390/brainsci12040443

