Effect of Lexical-Semantic Cues during Real-Time Sentence Processing in Aphasia
Abstract
1. Introduction
- (1a)
- The girl hits the boy.
- (1b)
- The girl that hits the boy is angry.
- (1c)
- The boyi that the girl hiti <
the boy> was angry.
1.1. Interference Effect during Sentence Processing
- (2)
- It was the beari that the hunters chasedi in the cold forest yesterday.
- (3)
- It was [the injured and dangerous bear]i that the hunters chasedi in the cold forest yesterday.
1.2. Evidence from Aphasia of the Effect of Lexical Processing Deficits on Syntactic Processing
1.3. The Current Study
- (4a)
- Unbiased adjective: The eagle saw the voracious snakei that the bear cautiously encounteredi <
the snake> underneath the narrow bridge. - (4b)
- Biased adjective: The eagle saw the venomous snakei that the bear cautiously encounteredi <
the snake> underneath the narrow bridge.
2. Methods
2.1. Participants
2.2. Materials
2.2.1. Visual Stimuli
2.2.2. Sentence Stimuli
2.3. Procedure
2.4. Analysis Approach
2.4.1. Preprocessing
2.4.2. Statistical Analysis Approaches
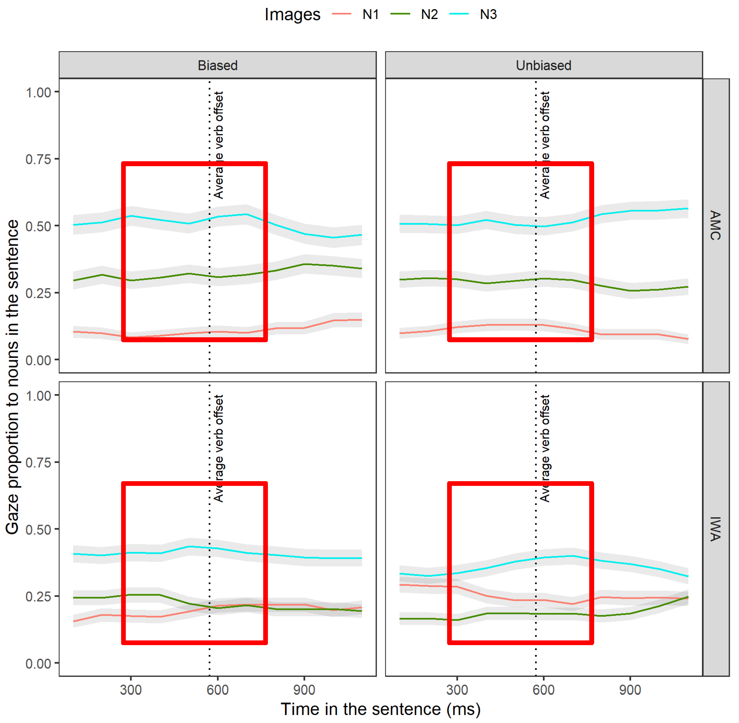
3. Results
3.1. Experimental Condition Effect on Lexical Processing
3.1.1. Effect of Condition on Encoding the Noun Preceding the Manipulation (N1)
3.1.2. Effect of Condition on Encoding the Noun following the Manipulation (N2)
3.2. Experimental Condition Effect on Syntactic Retrieval
3.2.1. Effect of Condition on Re-Activation of N2 Relative to N1 at the Verb-Frame (Time Window 4b)
3.2.2. Effect of Condition on Re-Activation of N2 Relative to N3 at the Verb-Frame (Time Window 4b)
4. Discussion
4.1. Real-Time Dynamics of Lexical Encoding and Retrieval during Sentence Processing in Unimpaired Individuals
4.2. Real-Time Dynamics of Lexical Encoding and Retrieval during Sentence Processing in Individuals with Aphasia
4.3. The Underlying Nature of Lexical-Semantic Processing Deficit in Aphasia
- (5a)
- It was the generali that the lawyer chasedi <
the general> in the office yesterday. - (5b)
- It was the generali that Christopher chasedi <
the general> in the office yesterday. - (5c)
- It was the victorious four-star generali that the lawyer chasedi <
the general> in the office yesterday.
5. Conclusions
Author Contributions
Funding
Institutional Review Board Statement
Informed Consent Statement
Data Availability Statement
Acknowledgments
Conflicts of Interest
Appendix A
| Unbiased Adjective | Biased Adjective |
|---|---|
| The duck followed the perfect kitten that the cow deliberately nudged across the grassy meadow. | The duck followed the playful kitten that the cow deliberately nudged across the grassy meadow. |
| The veterinarian greeted the popular king that the criminal mistakenly expected at the stunningly lavish gala. | The veterinarian greeted the powerful king that the criminal mistakenly expected at the stunningly lavish gala. |
| The scorpion annoyed the anxious bull that the bee constantly pestered in the abandoned railroad yard. | The scorpion annoyed the angry bull that the bee constantly pestered in the abandoned railroad yard. |
| The crocodile spied the weird owl that the chameleon momentarily faced in the exotic animal show. | The crocodile spied the wise owl that the chameleon momentarily faced during the exotic animal show. |
| The crab helped the coy puppy that the rabbit relentlessly teased before playful tussle. | The crab helped the cute puppy that the rabbit relentlessly teased before the playful tussle. |
| The lawyer visited the forgetful gymnast that the butler allegedly helped with the illegal cover-up. | The lawyer visited the flexible gymnast that the butler allegedly helped with the illegal cover-up. |
| The magician passed the redheaded nun that the mailman compassionately soothed after the traumatic event. | The magician passed the religious nun that the mailman compassionately soothed after the traumatic event. |
| The ladybug observed the smelly bat that the opossum deliberately avoided near the historic monument. | The ladybug observed the scary bat that the opossum deliberately avoided near the historic monument. |
| The astronaut approached the sad jockey that the salesman incorrectly judged throughout the dinner party. | The astronaut approached the short jockey that the salesman incorrectly judged throughout the dinner party. |
| The otter spotted the shiny octopus that seagull unsurprisingly smelled after the hot and sunny day. | The otter spotted the slimy octopus that seagull unsurprisingly smelled after the hot and sunny day. |
| The deer noticed the male gorilla that the hummingbird thoroughly amused with the acrobatic display. | The deer noticed the mean gorilla that the hummingbird thoroughly amused with the acrobatic display. |
| The ostrich recognized the delightful toucan that the baboon hesitantly touched during the bizarre encounter. | The ostrich recognized the colorful toucan that the baboon hesitantly touched during the bizarre encounter. |
| The spider scared the live rooster that the porcupine accidentally bumped on the side of the country road. | The spider scared the loud rooster that the porcupine accidentally bumped on the side of the country road. |
| The dentist helped the tired maid that the plumber heartlessly cheated in spite of the cautious investment. | The dentist helped the tidy maid that the plumber heartlessly cheated in spite of the cautious investment. |
| The orangutan examined the defenseless cockroach that the parrot quickly located near the bottom of the staircase. | The orangutan examined the disgusting cockroach that the parrot quickly located near the bottom of the staircase. |
Appendix B. Model Details for Analyzing the Noun Preceding Adjective
Appendix C. Model Details for Analyzing the Noun following Adjective
Appendix D. Downstream Effect of Condition on Encoding the Noun after the Manipulation (N3)

| Predictors | Estimates | CI | P (Two Tailed) |
|---|---|---|---|
| (Intercept) | 0.44 | 0.36–0.53 | <0.001 |
| Linear | 0.53 | 0.26–0.81 | <0.001 |
| Quadratic | −0.31 | −0.47–−0.15 | <0.001 |
| Condition [Unbiased] | −0.06 | −0.12–0.00 | 0.056 |
| Group [IWA] | −0.11 | −0.22–−0.01 | 0.036 |
| Linear × Condition [Unbiased] | 0.09 | −0.14–0.32 | 0.458 |
| Quadratic × Condition [Unbiased] | 0.07 | −0.09–0.22 | 0.387 |
| Linear × Group [IWA] | −0.20 | −0.56–0.16 | 0.275 |
| Quadratic × Group [IWA] | 0.23 | 0.03–0.43 | 0.027 |
| Condition [Unbiased] × Group [IWA] | 0.01 | −0.06–0.07 | 0.853 |
| (Linear × Condition [Unbiased]) × Group [IWA] | −0.04 | −0.32–0.24 | 0.774 |
| (Quadratic × Condition [Unbiased]) × Group [IWA] | −0.08 | −0.26–0.10 | 0.397 |
Appendix E. Evidence of N2 Re-Activation at the Verb-Frame (Time Window 4)

| Predictors | Estimates | CI | P (Two Tailed) |
| (Intercept) | 0.12 | 0.06–0.18 | <0.001 |
| Linear | −0.01 | −0.10–0.07 | 0.793 |
| Quadratic | −0.01 | −0.05–0.03 | 0.654 |
| Images [N2] | 0.17 | 0.10–0.24 | <0.001 |
| Group [IWA] | 0.10 | 0.02–0.18 | 0.016 |
| Linear × Images [N2] | 0.02 | −0.09–0.14 | 0.696 |
| Quadratic × Images [N2] | 0.01 | −0.05–0.07 | 0.764 |
| Linear × Group [IWA] | 0.01 | −0.10–0.13 | 0.832 |
| Quadratic × Group [IWA] | 0.02 | −0.04–0.08 | 0.532 |
| Images [N2] × Group [IWA] | −0.19 | −0.29–−0.09 | <0.001 |
| (Linear × Images [N2]) × Group [IWA] | −0.02 | −0.18–0.14 | 0.803 |
| (Quadratic × Images [N2]) × Group [IWA] | −0.00 | −0.08–0.08 | 0.982 |
Appendix F. Summary of Results
| Process | ![]() | |||
| Activation and Deactivation of N1 | Activation and Deactivation of N2 | Activation and Deactivation of N3 | Dependency Linking/Re-Activation of N2 | |
| Results-AMC | Across the entire time course of processing N1, there was an effect of condition. The effect emerges upon hearing the adjective. In the biased condition, deactivation (looking away from N1 when processing the adjective occurred earlier than in the unbiased condition. | Across the entire time course of processing N2, there was a marginal effect of condition. The difference emerges at the offset of N2. In the biased condition, N2 was deactivated earlier as compared to the unbiased condition. | AMC did not show a significant effect of condition for activation and deactivation of N3. | There was a condition effect for the AMC group such that they revealed a higher rate of activation of N2 in the biased compared to the unbiased condition. Moreover, the level and rate of activation of N3 were lower in the biased condition. |
| Results-IWA | IWA did not show an effect of condition for N1 processing. | IWA did not show an effect of condition for N2. | IWA did not show an effect of condition for N3. | IWA showed an earlier rise in the re-activation of N2 in the biased condition They revealed a reduced interference effect in the biased condition as manifested by reduced looks to N1. They revealed no different gaze patterns toward N3 between the conditions. |
References
- McElree, B.; Foraker, S.; Dyer, L. Memory structures that subserve sentence comprehension. J. Mem. Lang. 2003, 48, 67–91. [Google Scholar] [CrossRef]
- Nicol, J.; Swinney, D. The role of structure in coreference assignment during sentence comprehension. J. Psycholinguist. Res. 1989, 18, 5–19. [Google Scholar] [CrossRef] [PubMed]
- Sheppard, S.M.; Walenski, M.; Love, T.; Shapiro, L.P. The auditory comprehension of wh-questions in aphasia: Support for the intervener hypothesis. J. Speech Lang. Hear. Res. 2015, 58, 781–797. [Google Scholar] [CrossRef] [PubMed]
- Koring, L.; Mak, P.; Reuland, E. The time course of argument reactivation revealed: Using the visual world paradigm. Cognition 2012, 123, 361–379. [Google Scholar] [CrossRef] [PubMed]
- Gordon, P.C.; Hendrick, R.; Johnson, M.; Lee, Y. Similarity-based interference during language comprehension: Evidence from eye tracking during reading. J. Exp. Psychol. Learn. Mem. Cogn. 2006, 32, 1304. [Google Scholar] [CrossRef] [PubMed]
- Gordon, P.C.; Hendrick, R.; Levine, W.H. Memory-Load Interference in Syntactic Processing. Psychol. Sci. 2002, 13, 425–430. [Google Scholar] [CrossRef]
- Gordon, P.C.; Hendrick, R.; Johnson, M. Memory interference during language processing. J. Exp. Psychol. Learn. Mem. Cogn. 2001, 27, 1411–1423. [Google Scholar] [CrossRef]
- Van Dyke, J.A. Interference effects from grammatically unavailable constituents during sentence processing. J. Exp. Psychol. Learn. Mem. Cogn. 2007, 33, 407. [Google Scholar] [CrossRef]
- Van Dyke, J.A.; McElree, B. Retrieval interference in sentence comprehension. J. Mem. Lang. 2006, 55, 157–166. [Google Scholar] [CrossRef]
- Lewis, R.L.; Vasishth, S.; Van Dyke, J.A. Computational principles of working memory in sentence comprehension. Trends Cogn. Sci. 2006, 10, 447–454. [Google Scholar] [CrossRef]
- Lewis, R.L.; Vasishth, S. An activation-based model of sentence processing as skilled memory retrieval. Cogn. Sci. 2005, 29, 375–419. [Google Scholar] [CrossRef] [PubMed]
- Thompson, C.K.; Choy, J.J. Pronominal resolution and gap filling in agrammatic aphasia: Evidence from eye movements. J. Psycholinguist. Res. 2009, 38, 255–283. [Google Scholar] [CrossRef]
- Dickey, M.W.; Choy, J.J.; Thompson, C.K. Real-time comprehension of wh- movement in aphasia: Evidence from eyetracking while listening. Brain Lang. 2007, 100, 1–22. [Google Scholar] [CrossRef] [PubMed]
- Caramazza, A.; Zurif, E.B. Dissociation of algorithmic and heuristic processes in language comprehension: Evidence from aphasia. Brain Lang. 1976, 3, 572–582. [Google Scholar] [CrossRef]
- Grodzinsky, Y. The neurology of syntax: Language use without Broca’s area. Behav. Brain Sci. 2000, 23, 1–21. [Google Scholar] [CrossRef]
- Love, T.; Swinney, D.; Walenski, M.; Zurif, E. How left inferior frontal cortex participates in syntactic processing: Evidence from aphasia. Brain Lang. 2008, 107, 203–219. [Google Scholar] [CrossRef]
- Murphy, E. The Oscillatory Nature of Language; Cambridge University Press: Cambridge, UK, 2020. [Google Scholar]
- Grodzinsky, Y. A restrictive theory of agrammatic comprehension. Brain Lang. 1995, 50, 27–51. [Google Scholar] [CrossRef]
- Ferrill, M.; Love, T.; Walenski, M.; Shapiro, L.P. The time-course of lexical activation during sentence comprehension in people with aphasia. Am. J. Speech-Lang. Pathol. 2012, 21, S179–S189. [Google Scholar] [CrossRef][Green Version]
- Swaab, T.Y.; Brown, C.; Hagoort, P. Understanding ambiguous words in sentence contexts: Electrophysiological evidence for delayed contextual selection in Broca’s aphasia. Neuropsychologia 1998, 36, 737–761. [Google Scholar] [CrossRef]
- Swaab, T.; Brown, C.; Hagoort, P. Spoken Sentence Comprehension in Aphasia: Event-related Potential Evidence for a Lexical Integration Deficit. J. Cogn. Neurosci. 1997, 9, 39–66. [Google Scholar] [CrossRef]
- Hagoort, P.; Brown, C.M.; Swaab, T.Y. Lexical—semantic event–related potential effects in patients with left hemisphere lesions and aphasia, and patients with right hemisphere lesions without aphasia. Brain 1996, 119, 627–649. [Google Scholar] [CrossRef] [PubMed]
- Choy, J.J.; Thompson, C.K. Binding in agrammatic aphasia: Processing to comprehension. Aphasiology 2010, 24, 551–579. [Google Scholar] [CrossRef] [PubMed]
- Hofmeister, P.; Vasishth, S. Distinctiveness and encoding effects in online sentence comprehension. Front. Psychol. 2014, 5, 1237. [Google Scholar] [CrossRef]
- Hofmeister, P. Representational Complexity and Memory Retrieval in Language Comprehension. Lang. Cogn. Process. 2011, 26, 376–405. [Google Scholar] [CrossRef]
- Kluender, R.; Kutas, M. Bridging the gap: Evidence from ERPs on the processing of unbounded dependencies. J. Cogn. Neurosci. 1993, 5, 196–214. [Google Scholar] [CrossRef]
- McElree, B. Sentence Comprehension Is Mediated by Content-Addressable Memory Structures. J. Psycholinguist. Res. 2000, 29, 111–123. [Google Scholar] [CrossRef]
- Trueswell, J.C.; Tanenhaus, M.K.; Garnsey, S.M. Semantic influences on parsing: Use of thematic role information in syntactic ambiguity resolution. J. Mem. Lang. 1994, 33, 285–318. [Google Scholar] [CrossRef]
- Martin, A.E.; McElree, B. Retrieval cues and syntactic ambiguity resolution: Speed-accuracy tradeoff evidence. Lang. Cogn. Neurosci. 2018, 33, 769–783. [Google Scholar] [CrossRef]
- McElree, B.; Dosher, B.A. Serial position and set size in short-term memory: The time course of recognition. J. Exp. Psychol. Gen. 1989, 118, 346–373. [Google Scholar] [CrossRef]
- Parker, D.; Shvartsman, M.; Van Dyke, J.A. The cue-based retrieval theory of sentence comprehension: New findings and new challenges. In Language Processing and Disorders; Cambridge Scholars Publishing: Newcastle upon Tyne, UK, 2017; pp. 121–144. [Google Scholar]
- Karimi, H.; Diaz, M.; Ferreira, F. “A cruel king” is not the same as “a king who is cruel”: Modifier position affects how words are encoded and retrieved from memory. J. Exp. Psychol. Learn. Mem. Cogn. 2019, 45, 2010. [Google Scholar] [CrossRef]
- Karimi, H.; Brothers, T.; Ferreira, F. Phonological versus semantic prediction in focus and repair constructions: No evidence for differential predictions. Cogn. Psychol. 2019, 112, 25–47. [Google Scholar] [CrossRef] [PubMed]
- Troyer, M.; Hofmeister, P.; Kutas, M. Elaboration over a discourse facilitates retrieval in sentence processing. Front. Psychol. 2016, 7, 374. [Google Scholar] [CrossRef][Green Version]
- Nairne, J.S. A feature model of immediate memory. Mem. Cogn. 1990, 18, 251–269. [Google Scholar] [CrossRef] [PubMed]
- Vasishth, S.; Lewis, R.L. Argument-head distance and processing complexity: Explaining both locality and antilocality effects. Language 2006, 82, 767–794. [Google Scholar] [CrossRef]
- Choy, J.J. Effects of Lexical Processing Deficits on Sentence Comprehension in Agrammatic Broca’s Aphasia; Northwestern University: Evanston, IL, USA, 2011. [Google Scholar]
- Cooper, R.M. The control of eye fixation by the meaning of spoken language: A new methodology for the real-time investigation of speech perception, memory, and language processing. Cogn. Psychol. 1974, 6, 84–107. [Google Scholar] [CrossRef]
- Huettig, F.; Rommers, J.; Meyer, A.S. Using the visual world paradigm to study language processing: A review and critical evaluation. Acta Psychol. 2011, 137, 151–171. [Google Scholar] [CrossRef] [PubMed]
- Tanenhaus, M.K.; Trueswell, J.C. Sentence Comprehension. In Speech, Language, and Communication; Academic Press: San Diego, CA, USA, 1995. [Google Scholar]
- Wendt, D.; Brand, T.; Kollmeier, B. An eye-tracking paradigm for analyzing the processing time of sentences with different linguistic complexities. PLoS ONE 2014, 9, e100186. [Google Scholar] [CrossRef] [PubMed]
- Goodglass, H.; Kaplan, E.; Barresi, B. BDAE-3: Boston Diagnostic Aphasia Examination, 3rd ed.; Lippincott Williams & Wilkins: Philadelphia, PA, USA, 2001. [Google Scholar]
- Kertesz, A. WAB-R: Western Aphasia Battery-Revised; PsychCorp: San Antonio, TX, USA, 2007. [Google Scholar]
- Love, T.; Oster, E. On the categorization of aphasic typologies: The SOAP (a test of syntactic complexity). J. Psycholinguist. Res. 2002, 31, 503–529. [Google Scholar] [CrossRef]
- Altmann, G.T.; Kamide, Y. Incremental interpretation at verbs: Restricting the domain of subsequent reference. Cognition 1999, 73, 247–264. [Google Scholar] [CrossRef]
- Eberhard, K.M.; Spivey-Knowlton, M.J.; Sedivy, J.C.; Tanenhaus, M.K. Eye movements as a window into real-time spoken language comprehension in natural contexts. J. Psycholinguist. Res. 1995, 24, 409–436. [Google Scholar] [CrossRef]
- Dink, J.W.; Ferguson, B. eyetrackingR: An R Library for Eye-Tracking Data Analysis; 2015; Volume 6, p. 2017. Available online: www.eyetracking-r.com (accessed on 20 November 2021).
- Mirman, D. Growth Curve Analysis and Visualization Using R; Chapman and Hall/CRC: Boca Raton, FL, USA, 2017. [Google Scholar]
- Mirman, D.; Yee, E.; Blumstein, S.E.; Magnuson, J.S. Theories of spoken word recognition deficits in aphasia: Evidence from eye-tracking and computational modeling. Brain Lang 2011, 117, 53–68. [Google Scholar] [CrossRef] [PubMed]
- Mirman, D.; Dixon, J.A.; Magnuson, J.S. Statistical and computational models of the visual world paradigm: Growth curves and individual differences. J. Mem. Lang. 2008, 59, 475–494. [Google Scholar] [CrossRef] [PubMed]
- Brown, M.; Salverda, A.P.; Dilley, L.C.; Tanenhaus, M.K. Expectations from preceding prosody influence segmentation in online sentence processing. Psychon. Bull. Rev. 2011, 18, 1189–1196. [Google Scholar] [CrossRef] [PubMed]
- Baker, C.; Love, T. It’s about time! Time as a parameter for lexical and syntactic processing: An eye-tracking-while-listening investigation. Lang. Cogn. Neurosci. 2021, 37, 1–21. [Google Scholar] [CrossRef]
- Akhavan, N.; Blumenfeld, H.K.; Love, T. Auditory Sentence Processing in Bilinguals: The Role of Cognitive Control. Front. Psychol. 2020, 11, 898. (In English) [Google Scholar] [CrossRef]
- Hadar, B.; Skrzypek, J.E.; Wingfield, A.; Ben-David, B.M. Working memory load affects processing time in spoken word recognition: Evidence from eye-movements. Front. Neurosci. 2016, 10, 221. [Google Scholar] [CrossRef]
- Barr, D.J.; Levy, R.; Scheepers, C.; Tily, H.J. Random effects structure for confirmatory hypothesis testing: Keep it maximal. J. Mem. Lang. 2013, 68, 255–278. [Google Scholar] [CrossRef]
- Bates, D.; Mächler, M.; Bolker, B.; Walker, S. Fitting linear mixed-effects models using lme4. arXiv 2014, arXiv:1406.5823. [Google Scholar]
- Maris, E.; Oostenveld, R. Nonparametric statistical testing of EEG-and MEG-data. J. Neurosci. Methods 2007, 164, 177–190. [Google Scholar] [CrossRef]
- Hahn, N.; Snedeker, J.; Rabagliati, H. Rapid linguistic ambiguity resolution in young children with autism spectrum disorder: Eye tracking evidence for the limits of weak central coherence. Autism Res. 2015, 8, 717–726. [Google Scholar] [CrossRef]
- Huang, Y.; Snedeker, J. Evidence from the visual world paradigm raises questions about unaccusativity and growth curve analyses. Cognition 2020, 200, 104251. [Google Scholar] [CrossRef] [PubMed]
- Anderson, J.R.; Budiu, R.; Reder, L.M. Theory of sentence memory as part of a general theory of memory. J. Mem. Lang. 2001, 45, 337–367. [Google Scholar] [CrossRef][Green Version]
- Bradshaw, G.L.; Anderson, J.R. Elaborative encoding as an explanation of levels of processing. J. Verbal Learn. Verbal Behav. 1982, 21, 165–174. [Google Scholar] [CrossRef]
- Waddill, P.J.; McDaniel, M.A. Distinctiveness effects in recall. Mem. Cogn. 1998, 26, 108–120. [Google Scholar] [CrossRef]
- Nairne, J.S. Modeling distinctiveness: Implications for general memory theory. In Distinctiveness and Memory; Oxford University Press: Oxford, UK, 2006; pp. 27–46. [Google Scholar]
- Nairne, J.S. A Functional Analysis of Primary Memory. 2001. Available online: https://psycnet.apa.org/record/2001-00138-015 (accessed on 20 November 2021).
- Hofmeister, P.; Jaeger, T.F.; Arnon, I.; Sag, I.A.; Snider, N. The source ambiguity problem: Distinguishing the effects of grammar and processing on acceptability judgments. Lang. Cogn. Processes 2013, 28, 48–87. [Google Scholar] [CrossRef]
- Karimi, H.; Ferreira, F. Good-enough linguistic representations and online cognitive equilibrium in language processing. Q. J. Exp. Psychol. 2016, 69, 1013–1040. [Google Scholar] [CrossRef]
- Huettig, F.; Altmann, G.T. Word meaning and the control of eye fixation: Semantic competitor effects and the visual world paradigm. Cognition 2005, 96, B23–B32. [Google Scholar] [CrossRef]
- Yee, E.; Blumstein, S.E.; Sedivy, J.C. Lexical-Semantic Activation in Broca’s and Wernicke’s Aphasia: Evidence from Eye Movements. J. Cogn. Neurosci. 2008, 20, 592–612. [Google Scholar] [CrossRef]
- Kukona, A.; Cho, P.W.; Magnuson, J.S.; Tabor, W. Lexical interference effects in sentence processing: Evidence from the visual world paradigm and self-organizing models. J. Exp. Psychol. Learn. Mem. Cogn. 2014, 40, 326. [Google Scholar] [CrossRef]
- Nozari, N.; Trueswell, J.C.; Thompson-Schill, S.L. The interplay of local attraction, context and domain-general cognitive control in activation and suppression of semantic distractors during sentence comprehension. Psychon. Bull. Rev. 2016, 23, 1942–1953. [Google Scholar] [CrossRef]
- Nozari, N. The dual origin of semantic errors in access deficit: Activation vs. inhibition deficit. Cogn. Neuropsychol. 2019, 36, 31–53. [Google Scholar] [CrossRef] [PubMed]
- Nozari, N.; Dell, G.S.; Schwartz, M.F. Is comprehension necessary for error detection? A conflict-based account of monitoring in speech production. Cogn. Psychol. 2011, 63, 1–33. [Google Scholar] [CrossRef] [PubMed]
- Gordon, P.C.; Hendrick, R.; Johnson, M. Effects of noun phrase type on sentence complexity. J. Mem. Lang. 2004, 51, 97–114. [Google Scholar] [CrossRef]







| Processing Level | Gaze Movement Pattern |
|---|---|
| Lexical access | Gaze movement toward a visual representation of a target noun upon hearing it in the sentence |
| Lexical integration | After lexical access, gaze divergence from a previously accessed target noun indicates its integration into the syntactic structure |
| Dependency linking | Gaze movement that returns to a noun representation that was previously activated (re-activation) when it is syntactically licensed |
| Interference effects | An equivalent proportion of gazes toward related as well as non-target nouns (i.e., that are not relevant at a given point in a sentence) indicates an individual’s susceptibility to the interference effect |
| IWA | Sex | Years Post-Stroke | Age at Testing | Years of Education | Aphasia Subtype | Lesion Location | BDAE-v3 | WAB-R AQ | SOAP-SR (%) | SOAP- OR (%) |
|---|---|---|---|---|---|---|---|---|---|---|
| 009 | M | 15 | 55 | 17 | Mixed non-fluent | Large L lesion, IFG (BA 44/BA45) w/posterior | 4 | 67.7 | 60% | 40 |
| 017 | M | 18 | 66 | 15 | Anomic | L anterior cerebral and middle cerebral infarct | 4 | 95.4 | 100 | 90 |
| 101 | M | 9 | 67 | 20 | Broca | Large L lesion posterior IFG (BA 44) w/posterior | 2 | 82.6 | 100 | 30 |
| 130 | M | 8 | 63 | 16 | Broca /Anomia | L IPL with posterior ext. sparing STG | 4 | 90.5 | 75 | 55 |
| 140 | F | 16 | 42 | - | - | L MCA infarct | 2 | 75.7 | 80 | 30 |
| 151 | F | 7 | 65 | 16 | Anomic | L MCA infarct with subcortical extension | 4 | 95.8 | 100 | 100 |
| 159 | F | 6 | 64 | 16 | Broca | L MCA infarct | 3 | 92.4 | 100 | 70 |
| 165 | F | 4 | 64 | 12 | Broca | L MCA infarct | 3 | ND | 80 | 60 |
| 169 | M | 4 | 59 | 12 | Broca | L MCA infarct | 2 | 28.2 | 80 | 40 |
| 190 | F | 6 | 76 | 12 | Broca | Left superior temporal lobe | 3 | 88.2 | 90 | 40 |
| 191 | M | 1 | 57 | 16 | Broca | L MCA infarct | 4.5 | 98.4 | 100 | 60 |
| AMC Group | Ages 57–66 years (mean = ~61.9); 7 females, 4 males; education 14–18 years (mean = 15.7) * | |||||||||
| Condition | Sample Sentence | Visual Array |
|---|---|---|
| Unbiased Adjective | “The eagle saw the voracious snake that the bear cautiously encountered underneath the narrow bridge.” | ![]() |
| Biased Adjective | “The eagle saw the venomous snake that the bear cautiously encountered underneath the narrow bridge.” |
| Predictors | Estimates | CI | P (Two Tailed) |
|---|---|---|---|
| (Intercept) | 0.37 | 0.31–0.42 | <0.001 |
| Linear | −0.08 | −0.31–0.15 | 0.506 |
| Quadratic | −0.53 | −0.72–−0.34 | <0.001 |
| Condition [Unbiased] | 0.02 | −0.03–0.07 | 0.497 |
| Group [IWA] | −0.02 | −0.09–0.05 | 0.512 |
| Linear × Condition [Unbiased] | 0.31 | 0.07–0.56 | 0.012 |
| Quadratic × Condition [Unbiased] | −0.05 | −0.24–0.14 | 0.589 |
| Linear × Group [IWA] | 0.19 | −0.09–0.47 | 0.178 |
| Quadratic × Group [IWA] | 0.20 | −0.03–0.43 | 0.093 |
| Condition [Unbiased] × Group [IWA] | −0.02 | −0.06 0.02 | 0.367 |
| (Linear × Condition [Unbiased]) × Group [IWA] | −0.37 | −0.64–−0.10 | 0.008 |
| (Quadratic × Condition [Unbiased]) × Group [IWA] | 0.07 | −0.14–0.27 | 0.523 |
| Predictors | Estimates | CI | P (Two Tailed) |
|---|---|---|---|
| (Intercept) | 0.38 | 0.33–0.43 | <0.001 |
| Linear | 0.35 | 0.07–0.62 | 0.014 |
| Quadratic | −0.51 | −0.71–−0.31 | <0.001 |
| Condition [Unbiased] | 0.01 | −0.05–0.07 | 0.763 |
| Group [IWA] | −0.05 | −0.11–0.00 | 0.066 |
| Linear × Condition [Unbiased] | 0.20 | −0.02–0.41 | 0.078 |
| Quadratic × Condition [Unbiased] | 0.11 | −0.07–0.30 | 0.237 |
| Linear × Group [IWA] | −0.12 | −0.48–0.23 | 0.497 |
| Quadratic × Group [IWA] | 0.18 | −0.06–0.43 | 0.149 |
| Condition [Unbiased] × Group [IWA] | −0.00 | −0.06–0.06 | 0.971 |
| (Linear × Condition [Unbiased]) × Group [IWA] | −0.22 | −0.46–0.02 | 0.075 |
| (Quadratic × Condition [Unbiased]) × Group [IWA] | −0.08 | −0.27–0.10 | 0.362 |
| Predictors | Estimates | CI | P (Two Tailed) |
|---|---|---|---|
| (Intercept) | 0.12 | 0.04–0.19 | 0.002 |
| Linear | 0.01 | −0.12–0.14 | 0.857 |
| Quadratic | 0.03 | −0.04–0.10 | 0.413 |
| Images [N2] | 0.19 | 0.11–0.27 | <0.001 |
| Condition [Unbiased] | 0.00 | −0.04–0.05 | 0.924 |
| Linear × Images [N2] | 0.05 | −0.11–0.20 | 0.547 |
| Quadratic × Images [N2] | −0.02 | −0.12–0.08 | 0.725 |
| Linear × Condition [Unbiased] | −0.06 | −0.17–0.06 | 0.333 |
| Quadratic × Condition [Unbiased] | −0.07 | −0.15–0.00 | 0.059 |
| Images [N2] × Condition [Unbiased] | −0.03 | −0.06–−0.00 | 0.049 |
| (Linear × Images [N2]) × Condition [Unbiased] | −0.04 | −0.14–0.07 | 0.473 |
| (Quadratic × Images [N2]) × Condition [Unbiased] | 0.05 | −0.05–0.16 | 0.323 |
| Predictors | Estimates | CI | P (Two Tailed) |
|---|---|---|---|
| (Intercept) | 0.20 | 0.14–0.25 | <0.001 |
| Linear | 0.06 | −0.01–0.12 | 0.081 |
| Quadratic | −0.03 | −0.08–0.02 | 0.255 |
| Images [N2] | 0.03 | −0.02–0.09 | 0.217 |
| Condition [Unbiased] | 0.05 | 0.00–0.10 | 0.031 |
| Linear × Images [N2] | −0.12 | −0.21–−0.04 | 0.003 |
| Linear × Images [N2] | 0.03 | −0.04–0.10 | 0.362 |
| Linear × Condition [Unbiased] | −0.11 | −0.19–−0.04 | 0.004 |
| Quadratic × Condition [Unbiased] | 0.07 | 0.00–0.15 | 0.044 |
| Images [N2] × Condition [Unbiased] | −0.10 | −0.13–−0.07 | <0.001 |
| (Linear × Images [N2] × Condition [Unbiased] | 0.24 | 0.14–0.34 | <0.001 |
| (Quadratic × Images [N2] × Condition [Unbiased] | −0.05 | −0.15–0.05 | 0.359 |
| Predictors | Estimates | CI | P (Two Tailed) |
|---|---|---|---|
| (Intercept) | 0.31 | 0.21–0.41 | <0.001 |
| Linear | 0.07 | −0.08–0.21 | 0.368 |
| Quadratic | 0.01 | −0.06–0.08 | 0.777 |
| Images [N3] | 0.21 | 0.07–0.35 | 0.003 |
| Condition [Unbiased] | −0.03 | −0.07–0.00 | 0.080 |
| Linear × Images [N3] | −0.10 | −0.31–0.11 | 0.347 |
| Quadratic × Images [N3] | −0.07 | −0.17–0.03 | 0.168 |
| Linear × Condition [Unbiased] | −0.10 | −0.19–−0.01 | 0.026 |
| Quadratic × Condition [Unbiased] | −0.02 | −0.11–0.07 | 0.654 |
| Images [N3] × Condition [Unbiased] | 0.04 | 0.00–0.08 | 0.044 |
| (Linear × Images [N3]) × Condition [Unbiased] | 0.21 | 0.08–0.33 | 0.001 |
| (Quadratic × Images [N3]) × Condition [Unbiased] | 0.11 | −0.02–0.23 | 0.089 |
| Predictors | Estimates | CI | P (Two Tailed) |
|---|---|---|---|
| (Intercept) | 0.23 | 0.15–0.31 | <0.001 |
| Linear | −0.07 | −0.14–0.01 | 0.073 |
| Quadratic | 0.00 | −0.07–0.07 | 0.986 |
| Images [N3] | 0.18 | 0.07–0.28 | 0.001 |
| Condition [Unbiased] | −0.04 | −0.09–0.01 | 0.118 |
| Linear × Images [N3] | 0.04 | −0.05–0.14 | 0.368 |
| Quadratic × Images [N3] | −0.02 | −0.12–0.07 | 0.638 |
| Linear × Condition [Unbiased] | 0.13 | 0.05–0.21 | 0.002 |
| Quadratic × Condition [Unbiased] | 0.03 | −0.05–0.10 | 0.474 |
| Images [N3] × Condition [Unbiased] | 0.01 | −0.03–0.04 | 0.687 |
| (Linear × Images [N3]) × Condition [Unbiased] | −0.09 | −0.19–0.02 | 0.101 |
| (Quadratic × Images [N3]) × Condition Unbiased] | −0.08 | −0.19–0.02 | 0.128 |
Publisher’s Note: MDPI stays neutral with regard to jurisdictional claims in published maps and institutional affiliations. |
© 2022 by the authors. Licensee MDPI, Basel, Switzerland. This article is an open access article distributed under the terms and conditions of the Creative Commons Attribution (CC BY) license (https://creativecommons.org/licenses/by/4.0/).
Share and Cite
Akhavan, N.; Sen, C.; Baker, C.; Abbott, N.; Gravier, M.; Love, T. Effect of Lexical-Semantic Cues during Real-Time Sentence Processing in Aphasia. Brain Sci. 2022, 12, 312. https://doi.org/10.3390/brainsci12030312
Akhavan N, Sen C, Baker C, Abbott N, Gravier M, Love T. Effect of Lexical-Semantic Cues during Real-Time Sentence Processing in Aphasia. Brain Sciences. 2022; 12(3):312. https://doi.org/10.3390/brainsci12030312
Chicago/Turabian StyleAkhavan, Niloofar, Christina Sen, Carolyn Baker, Noelle Abbott, Michelle Gravier, and Tracy Love. 2022. "Effect of Lexical-Semantic Cues during Real-Time Sentence Processing in Aphasia" Brain Sciences 12, no. 3: 312. https://doi.org/10.3390/brainsci12030312
APA StyleAkhavan, N., Sen, C., Baker, C., Abbott, N., Gravier, M., & Love, T. (2022). Effect of Lexical-Semantic Cues during Real-Time Sentence Processing in Aphasia. Brain Sciences, 12(3), 312. https://doi.org/10.3390/brainsci12030312



