Phytochemical Analysis, In Vitro Anticholinesterase, Antioxidant Activity and In Vivo Nootropic Effect of Ferula ammoniacum (Dorema ammoniacum) D. Don. in Scopolamine-Induced Memory Impairment in Mice
Abstract
1. Introduction
2. Material and Methods
2.1. Drugs and Chemicals
2.2. Plant Material Collection and Identification
2.3. Preparation of F. ammoniacum Aerial Parts Extract/Fractions
2.4. HPLC-UV Characterization of Phytochemicals
2.5. Assessment of Total Phenolic Contents
2.6. Assessment of Total Flavonoid Contents
2.7. In Vitro Cholinesterase Inhibition Potential of Extracts
2.8. DPPH (2,2-Diphenyl-1-picrylhydrazyl) Free Radical Scavenging Potential of Extracts
2.9. ABTS (2,2′-Azinobis-3-ethylbenzothiazoline-6-sulfonic Acid) Free Radical Scavenging Potential of Extracts
2.10. In Vivo Studies
2.10.1. Experimental Animals
2.10.2. Acute Toxicity Studies of the Fa.EtAc Fraction
2.10.3. Experimental Design
2.11. Behavioural Assessment
2.11.1. Y-Maze Spontaneous Alternation Behaviour Test
2.11.2. The Novel Object Recognition Test and Novel Object Location Tests
2.11.3. Isolation of Frontal Cortex and Hippocampus
2.12. Statistical Analysis
3. Results
3.1. Identification and Quantification of Phytochemicals Compounds
3.2. Total Phenolic Content
3.3. Total Flavonoid Contents
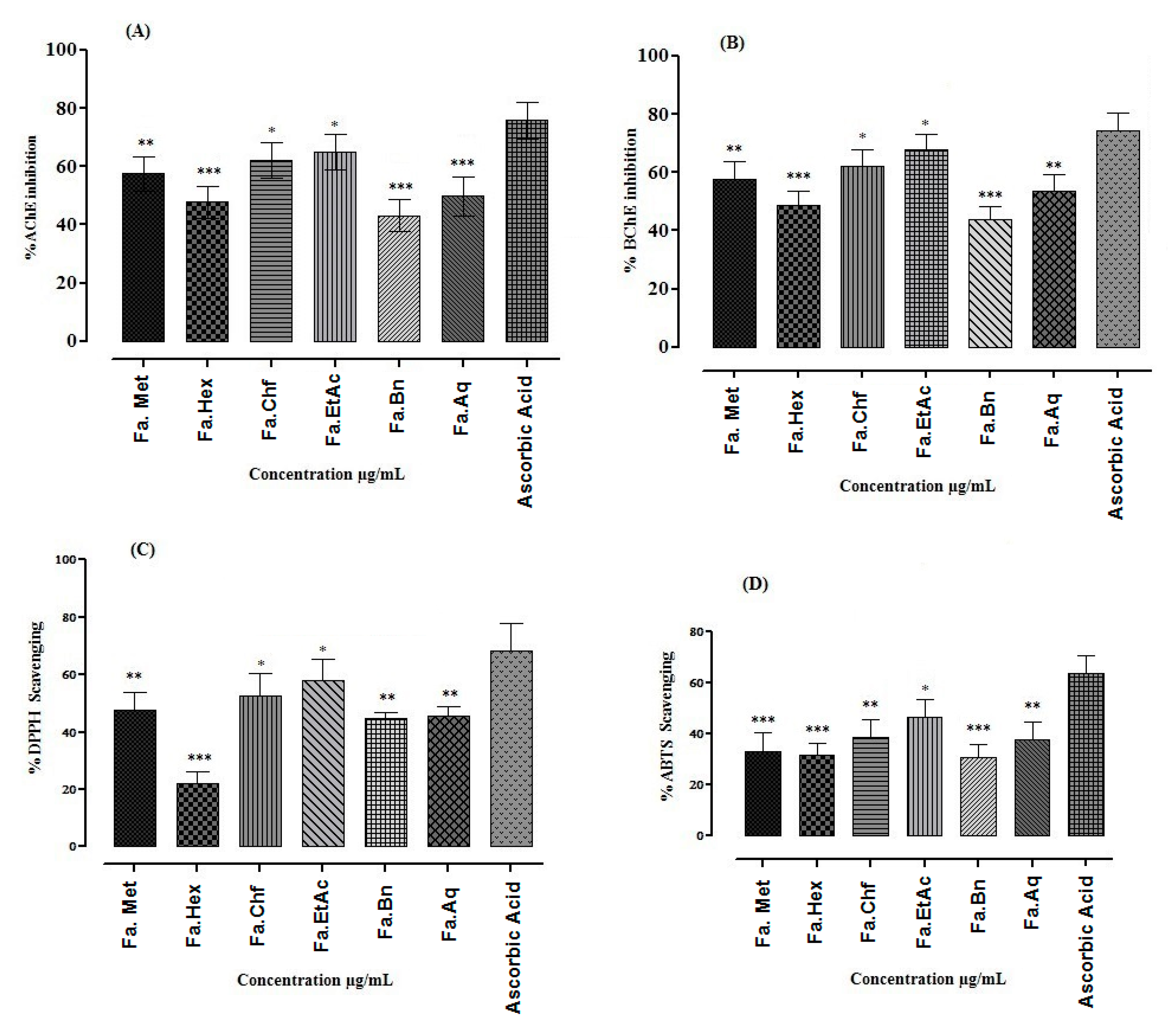
3.4. In Vitro Cholinesterase Inhibitory Potential of F. ammoniacum Aerial Parts Methanolic Extract/Fractions
3.5. In Vitro DPPH and ABTS Free Radicals Scavenging Potential of Extracts
3.6. Nootropic Effect of the Extracts in Y-Maze Test
3.7. Nootropic Effect of Extracts in Novel Object Recognition Test
3.8. Effect of Extracts on Brain Cholinesterases (AChE and BChE) Activity in Y-Maze Test in Mice
3.9. Effect of Extracts on Brain Cholinesterases (AChE and BChE) Activity in NORT in Mice
3.10. Effect of Extracts on Brain Antioxidant Activity in Y-Maze Test
4. Discussion
5. Conclusions
Supplementary Materials
Author Contributions
Funding
Institutional Review Board Statement
Informed Consent Statement
Acknowledgments
Conflicts of Interest
References
- World Health Organization. The World Health Report 2001: Mental Health: New Understanding, New Hope; WHO: Geneva, Switzerland, 2001. [Google Scholar]
- Thakur, A.K.; Kamboj, P.; Goswami, K.; Ahuja, K. Pathophysiology and management of Alzheimer’s disease: An overview. J. Anal. Pharm. Res. 2018, 7. [Google Scholar] [CrossRef]
- Ortner, M.; Stange, M.; Schneider, H.; Schroeder, C.; Buerger, K.; Müller, C.; Dorn, B.; Goldhardt, O.; Diehl-Schmid, J.; Förstl, H.; et al. Serum Concentrations of Cholinesterase Inhibitors in Patients with Alzheimer’s Dementia Are Frequently Below the Recommended Levels. Front. Pharmacol. 2020, 11. [Google Scholar] [CrossRef]
- Stanciu, G.D.; Luca, A.; Rusu, R.N.; Bild, V.; Beschea Chiriac, S.I.; Solcan, C.; Bild, W.; Ababei, D.C. Alzheimer’s Disease Pharmacotherapy in Relation to Cholinergic System Involvement. Biomolecules 2020, 10, 40. [Google Scholar] [CrossRef] [PubMed]
- Kim, G.W.; Kim, B.C.; Park, K.S.; Jeong, G.W. A pilot study of brain morphometry following donepezil treatment in mild cognitive impairment: Volume changes of cortical/subcortical regions and hippocampal subfields. Sci. Rep. 2020, 10, 10912. [Google Scholar] [CrossRef] [PubMed]
- Okello, E.J.; Mather, J. Comparative Kinetics of Acetyl- and Butyryl-Cholinesterase Inhibition by Green Tea Catechins|Relevance to the Symptomatic Treatment of Alzheimer’s Disease. Nutrients 2020, 12, 1090. [Google Scholar] [CrossRef] [PubMed]
- Uddin, M.J.; Zidorn, C. Traditional herbal medicines against CNS disorders from Bangladesh. Nat. Prod. Bioprospect. 2020, 10, 377–410. [Google Scholar] [CrossRef]
- Heinrich, M. Galanthamine from Galanthus and other Amaryllidaceae—Chemistry and biology based on traditional use. Alkaloids Chem. Biol. 2010, 68, 157–165. [Google Scholar]
- Fleiss, B.; Van Steenwinckel, J.; Bokobza, C.K.; Shearer, I.; Ross-Munro, E.; Gressens, P. Microglia-Mediated Neurodegeneration in Perinatal Brain Injuries. Biomolecules 2021, 11, 99. [Google Scholar] [CrossRef] [PubMed]
- Schmitz, T.W.; Soreq, H.; Poirier, J.; Spreng, R.N. Longitudinal Basal Forebrain Degeneration Interacts with TREM2/C3 Biomarkers of Inflammation in Presymptomatic Alzheimer’s Disease. J. Neurosci. 2020, 40, 1931–1942. [Google Scholar] [CrossRef] [PubMed]
- Simpson, D.S.A.; Oliver, P.L. ROS generation in microglia: Understanding oxidative stress and inflammation in neurodegenerative disease. Antioxidants 2020, 9, 743. [Google Scholar] [CrossRef]
- Bobadilla, M.; García-Sanmartín, J.; Martínez, A. Natural Food Supplements Reduce Oxidative Stress in Primary Neurons and in the Mouse Brain, Suggesting Applications in the Prevention of Neurodegenerative Diseases. Antioxidants 2021, 10, 46. [Google Scholar] [CrossRef]
- Nazir, N.; Zahoor, M.; Nisar, M.; Khan, I.; Karim, N.; Abdel-Halim, H.; Ali, A. Phytochemical analysis and antidiabetic potential of Elaeagnus umbellata (Thunb.) in streptozotocin-induced diabetic rats: Pharmacological and computational approach. BMC Complement. Altern. Med. 2018, 18, 1–16. [Google Scholar] [CrossRef]
- Nazir, N.; Karim, N.; Abdel-Halim, H.; Khan, I.; Wadood, S.F.; Nisar, M. Phytochemical analysis, molecular docking and antiamnesic effects of methanolic extract of Silybum marianum (L.) Gaertn seeds in scopolamine induced memory impairment in mice. J. Ethnopharmcol. 2018, 210, 198–208. [Google Scholar] [CrossRef]
- Rahimi, R.; Bahramsoltani, R. Traditional Persian Medicinal Plants Database; Department of Traditional Pharmacy, School of Persian Medicine, Tehran University of Medical Sciences: Tehran, Iran, 2018. [Google Scholar]
- Pandpazir, M.; Kiani, A.; Fakhri, S.; Mousavi, Z. Anti-Inflammatory Effect and Skin Toxicity of Aqueous Extract of Dorema ammoniacum Gum in Experimental Animals. Res. J. Pharmacogn. 2018, 5, 1–8. [Google Scholar]
- Abizadeh, M.; Heysieattalab, S.; Saeedi, N.; Hosseinmardi, N.; Janahmadi, M.; Salari, F.; Golpayegani, S.M.; Shojaii, A. Ameliorating Effects of Dorema ammoniacum on PTZ-Induced Seizures and Epileptiform Brain Activity in Rats. Planta Med. 2020, 86, 1353–1362. [Google Scholar] [CrossRef]
- Ghasemi, F.; Tamadon, H.; Hosseinmardi, N.; Janahmadi, M. Effects of Dorema ammoniacum Gum on Neuronal Epileptiform Activity-Induced by Pentylenetetrazole. Iran. J. Pharm. Res. 2018, 17, 735–742. [Google Scholar] [PubMed]
- Motevalian, M.; Mehrzadi, S.; Ahadi, S.; Shojaii, A. Anticonvulsant activity of Dorema ammoniacum gum: Evidence for the involvement of benzodiazepines and opioid receptors. Res. Pharm. Sci. 2017, 12, 53–59. [Google Scholar] [CrossRef] [PubMed]
- Mazaheritehrani, M.; Hosseinzadeh, R.; Mohadjerani, M.; Tajbakhsh, M.; Ebrahimi, S.N. Acetylcholinesterase inhibitory activity of Dorema ammoniacum gum extracts and molecular docking studies. Int. J. Pharm. Sci. Res. 2020, 11, 637–644. [Google Scholar]
- Rajani, M.; Saxena, N.; Ravishankara, M.N.; Desai, N.; Padh, H. Evaluation of the Antimicrobial Activity of Ammoniacum Gum from Dorema ammoniacum. Pharm. Biol. 2002, 40, 534–541. [Google Scholar] [CrossRef][Green Version]
- Mehrpour, M.; Yousefi, M.; AfzalAghaee, M.; Rakhshandeh, H.; Azizi, H.; Hadianfar, A.; Mehrpur, O.; Ghandehari, K.; Bahrami-Taghanaki, H. Evaluation of Dorema ammoniacum and Acupuncture’s Therapeutic Effects in Patients with Ischemic Stroke: A Randomized Controlled Clinical Trial. Res. Sq. 2020. [Google Scholar] [CrossRef]
- Masoudi, S.; Kakavand, S. Volatile constituents of the aerial parts of Terataenium lasiopentalum (Boiss.) Manden., stems and leaves of Dorema ammoniacum D. Don. and leaves, fruits and stems of Leutea petiolare (DC.) M.pimen from Iran. J. Chil. Chem. Soc. 2017, 62, 3311–3314. [Google Scholar] [CrossRef]
- Zandpour, F.; Vahabi, M.; Allafchian, A.; Farhang, H. Phytochemical investigation of the essential oils from the leaf and stem of Dorema ammoniacum D. Don. (Apiaceae) in Central Zagros, Iran. J. Herb Drug. 2016, 7, 109–116. [Google Scholar]
- Raeesdana, A.; Farzaei, M.; Amini, M.; Rahimi, R. Chemical composition of essential oil and evaluation of acute and sub-acute toxicity of Dorema ammoniacum d. Don. Oleo-gum-resin in rats. Afr. J. Tradit. Complement. Altern. Med. 2018, 15, 26–33. [Google Scholar] [CrossRef]
- Zibaee, E.; Amiri, M.S.; Boghrati, Z.; Farhadi, F.; Ramezani, M.; Emami, S.A.; Sahebkar, A. Ethnomedicinal Uses, Phytochemistry and Pharmacology of Dorema Species (Apiaceae): A Review. J. Pharmacopunct. 2020, 23, 91–123. [Google Scholar] [CrossRef] [PubMed]
- Zandpour, F.; Allafchian, A.; Vahabi, M.; Jalali, S.A.H. The green synthesis of silver nanoparticles by Arial part of Dorema ammoniacum D. extract with antimicrobial analysis. IET Nanobiotechnol. 2018, 12, 491–495. [Google Scholar] [CrossRef]
- Dadizadeh, E.; Talebpour, A.; Eskandani, M.; Nazemiyeh, H. Free radical scavenging potential and essential oil composition of the Dorema glabrum Fisch. & C.A. Mey. roots from Iran. Bioimpacts 2011, 1, 241–244. [Google Scholar]
- Hadjiakhoondia, A.; Delazarb, A.; Ajania, Y.; Tavakolia, S.; Yassaa, N. Phytochemical and Antioxidant Investigation of the Aerial Parts of Dorema glabrum Fisch. & C.A. Mey. Iran. J. Pharma. Res. 2015, 14, 925–931. [Google Scholar]
- Mirzaei, A.; Mirzaei, N.; Ghavamizadeh, M. Antioxidant activity and cytotoxicity of Dorema aucheri by Artemia urmiana: A brine shrimp lethality test. Life Sci. J. 2013, 10, 8–12. [Google Scholar]
- Zeb, A. A reversed phase HPLC-DAD method for the determination of phenolic compounds in plant leaves. Anal. Methods 2015, 7, 7753–7757. [Google Scholar] [CrossRef]
- Kim, D.; Jeond, S.; Lee, C. Antioxidant capacity of phenolic phytochemicals from various cultivars of plums. Food Chem. 2003, 81, 321–326. [Google Scholar] [CrossRef]
- Ellman, G.L.; Courtney, K.; Andres, V.; Featherstone, R. A new and rapid colorimetric determination of acetylcholinesterase activity. Biochem. Pharmacol. 1961, 7, 88–95. [Google Scholar] [CrossRef]
- Brand-Williams, W.; Cuvelier, M.; Berset, C. Use of a free radical method to evaluate antioxidant activity. LWT Food Sci. Technol. 1995, 28, 25–30. [Google Scholar] [CrossRef]
- Re, R.; Pellegrini, N.; Proteggente, A.; Pannala, A.; Yong, M.R.E. Antioxidant activity applying an improved FBTS radical cation decolorization assay. Free Rad. Biol. Med. 1999, 26, 1231–1237. [Google Scholar] [CrossRef]
- Nazir, N.; Zahoor, M.; Nisar, M.; Karim, N.; Latif, A.; Ahmad, S.; Uddin, Z. Evaluation of neuroprotective and anti-amnesic effects of Elaeagnus umbellata Thunb. On scopolamine-induced memory impairment in mice. BMC Complement. Med. Ther. 2020, 20, 1–17. [Google Scholar] [CrossRef] [PubMed]
- Gaspary, K.V.; Reolon, G.K.; Gusso, D.; Bonan, C. Novel object recognition and object location tasks in zebrafish: Influence of habituation and NMDA receptor antagonism. Neurobiol. Learn. Mem. 2018, 155, 249–260. [Google Scholar] [CrossRef] [PubMed]
- Adhami, H.R.; Lutz, J.; Kahlig, H.; Zehl, M.; Krenn, L. Compounds from Gum Ammoniacum with Acetylcholinesterase Inhibitory Activity. Sci. Pharm. 2013, 81, 793–806. [Google Scholar] [CrossRef]
- Mlozi, S.H.; Mmongoyo, J.A.; Chacha, M. The in vivo toxicity evaluation of leaf and root methanolic extracts of Tephrosia vogelii Hook.f using animal model. Clin. Phytosci. 2020, 6, 1–9. [Google Scholar] [CrossRef]
- Iranshahi, M.; Shaki, F.; Mashlab, A.; Porzel, A.; Wessjohann, L.A.; Kopetdaghins, A.E. Sesquiterpene Derivatives from the Aerial Parts and the Roots of Dorema kopetdaghense. J. Nat. Prod. 2007, 70, 1240–1243. [Google Scholar] [CrossRef] [PubMed]
- Cichon, N.; Saluk-Bijak, J.; Gorniak, L.; Przyslo, L.; Bijak, M. Flavonoids as a Natural Enhancer of Neuroplasticity—An Overview of the Mechanism of Neurorestorative Action. Antioxidants 2020, 9, 1035. [Google Scholar] [CrossRef]
- Ahangarpour, A.; Zamaneh, H.T.; Jabari, A.; Nia, H.M.; Heidari, H. Antidiabetic and hypolipidemic effects of Dorema aucheri hydroalcoholic leave extract in streptozotocin-nicotinamide induced type 2 diabetes in male rats. Iran. J. Basic. Med. Sci. 2014, 17, 808–814. [Google Scholar]
- Lopa, S.S.; Al-Amin, M.Y.; Hasan, M.K.; Ahammed, M.S.; Islam, K.M.M.; Alam, A.H.M.K.; Tanaka, T.; Sadik, M.G. Phytochemical Analysis and Cholinesterase Inhibitory and Antioxidant Activities of Enhydra fluctuans Relevant in the Management of Alzheimer’s Disease. Int. J. Food Sci. 2021, 2021. [Google Scholar] [CrossRef]
- Saeedi, M.; Rashidy-Pour, A. Association between chronic stress and Alzheimer’s disease: Therapeutic effects of Saffron. Biomed. Pharmacother. 2021, 133, 110995. [Google Scholar] [CrossRef]
- Nazir, N.; Khalil, A.A.K.; Nisar, M.; Zahoor, M.; Ahmad, S. HPLC-UV characterization, anticholinesterase, and free radical-scavenging activities of Rosa moschata Herrm. leaves and fruits methanolic extracts. Braz. J. Bot. 2020, 43, 523–530. [Google Scholar] [CrossRef]
- Sharma, S.; Raj, K.; Singh, S. Neuroprotective Effect of Quercetin in Combination with Piperine Against Rotenone- and Iron Supplement–Induced Parkinson’s Disease in Experimental Rats. Neurotox. Res. 2020, 37, 198–209. [Google Scholar] [CrossRef] [PubMed]
- Arafa, M.H.; Atteia, H.H. Protective Role of Epigallocatechin Gallate in a Rat Model of Cisplatin-Induced Cerebral Inflammation and Oxidative Damage: Impact of Modulating NF-κB and Nrf2. Neurotox. Res. 2020, 37, 380–396. [Google Scholar] [CrossRef] [PubMed]
- Rebas, E.; Rzajew, J.; Radzik, T.; Zylinska, L. Neuroprotective Polyphenols: A Modulatory Action on Neurotransmitter Pathways. Curr. Neuropharmacol. 2020, 18, 431–445. [Google Scholar] [CrossRef] [PubMed]
- Adedayo, B.C.; Oyeleye, S.I.; Okeke, B.M.; Oboh, G. Anti-cholinesterase and antioxidant properties of alkaloid and phenolic-rich extracts from pawpaw (Carica papaya) leaf: A comparative study. Flavour. Fragr. J. 2021, 36, 47–54. [Google Scholar] [CrossRef]
- Bekdash, R.A. The Cholinergic System, the Adrenergic System and the Neuropathology of Alzheimer’s Disease. Int. J. Mol. Sci. 2021, 22, 1273. [Google Scholar] [CrossRef] [PubMed]
- Thancharoen, O.; Limwattananon, C.; Waleekhachonloet, O.; Rattanachotphanit, T.; Limwattananon, P.; Limpawattana, P. Ginkgo biloba Extract (EGb761), Cholinesterase Inhibitors, and Memantine for the Treatment of Mild-to-Moderate Alzheimer’s Disease: A Network Meta-Analysis. Drugs Aging 2019, 36, 435–452. [Google Scholar] [CrossRef]
- Wang, X.; Zhang, D.; Song, W.; Cai, C.F.; Zhou, Z.; Fu, Q.; Yan, X.; Cao, Y.; Fang, M. Neuroprotective effects of the aerial parts of Polygala tenuifolia Wild extract on scopolamine-induced learning and memory impairments in mice. Biomed. Rep. 2020, 13. [Google Scholar] [CrossRef] [PubMed]
- Nakamichi, N.; Nakao, S.; Nishiyama, M.; Takeda, Y.; Ishimoto, T.; Masuo, Y.; Matsumoto, S.; Suzuki, M.; Kato, Y. Oral administration of the food derived hydrophilic antioxidant ergothioneine enhances object recognition memory in mice. Curr. Mol. Pharmacol. 2020, 14, 220–233. [Google Scholar] [CrossRef] [PubMed]
- Miranda, M.; Morici, J.F.; Zanoni, M.B.; Bekinschtein, P. Brain-Derived Neurotrophic Factor: A Key Molecule for Memory in the Healthy and the Pathological Brain. Front. Cell. Neurosci. 2019, 13, 363. [Google Scholar] [CrossRef] [PubMed]









| Group | Group Category | Treatment Given | Route |
|---|---|---|---|
| I | DW + Sal | Sal (8 mL/kg) | p.o. |
| II | DW + Scop | Scop (1 mg/kg) | i.p. |
| III | DZP + Scop | DZP (2 mg/kg) + Scope (1 mg/kg) | p.o., i.p. |
| IV | Fa.EtAc 50 + Scop | Fa.EtAc (50 mg/kg) + Scop (1 mg/kg) | p.o. |
| V | Fa.EtAc 100 + Scop | Fa.EtAc (100 mg/kg) + Scop (1 mg/kg) | p.o |
| VI | Fa.EtAc 200 + Scop | Fa.EtAc (200 mg/kg) + Scop (1 mg/kg) | p.o. |
| Extract | Peak No | Retention Time (min) | Detected Phenolic Compounds | Sample Peak Area | Standard Peak Area | Concentration (µg/mL) |
|---|---|---|---|---|---|---|
| Fa.Met | 1 | 6.5 | Chlorogenic acid | 132.221 | 12.9 | 9.20 |
| 2 | 10.5 | Quercetin | 64.97 | 90.9 | 7.14 | |
| 3 | 30.5 | Mandelic acid | 110.82 | 72.0 | 15.39 | |
| 4 | 35.5 | Phloroglucinol | 415.64 | 25.02 | 14.95 | |
| 5 | 36.3 | Hydroxy benzoic acid | 4190.44 | 40.19 | 93.83 | |
| Fa.EtAc | 1 | 3.1 | Malic acid | 50.88 | 40.32 | 12.63 |
| 2 | 6.5 | Chlorogenic acid | 180.83 | 12.9 | 140.17 | |
| 3 | 8.0 | Epigallocatechin gallate | 90.70 | 7261.47 | 69.52 | |
| 4 | 10.5 | Quercetin | 27.82 | 90.9 | 3.05 | |
| 5 | 16.6 | Ellagic acid | 24.46 | 319.24 | 0.76 | |
| 6 | 22.7 | Rutin | 107.12 | 2241.2 | 47.82 | |
| 7 | 28.1 | Pyrogallol | 9.1 | 1.014 | 91.0 |
| S. No | Extract/Fractions | TPC (mg GAE/g) | TFC (mg QE/g) |
|---|---|---|---|
| 1 | Fa.Met | 68.25 ± 1.14 | 66.97 ± 0.99 |
| 2 | Fa.Hex | 65.55 ± 0.84 | 68.01 ± 1.17 |
| 3 | Fa.Chf | 75.12 ± 1.58 | 77.83 ± 2.16 |
| 4 | Fa.EtAc | 88.23 ± 1.13 | 85.93 ± 0.67 |
| 5 | Fa.Bn | 55.18 ± 0.68 | 45.51 ± 1.99 |
| 6 | Fa.Aq | 51.75 ± 1.87 | 59.79 ± 1.39 |
Publisher’s Note: MDPI stays neutral with regard to jurisdictional claims in published maps and institutional affiliations. |
© 2021 by the authors. Licensee MDPI, Basel, Switzerland. This article is an open access article distributed under the terms and conditions of the Creative Commons Attribution (CC BY) license (http://creativecommons.org/licenses/by/4.0/).
Share and Cite
Nazir, N.; Nisar, M.; Zahoor, M.; Uddin, F.; Ullah, S.; Ullah, R.; Ansari, S.A.; Mahmood, H.M.; Bari, A.; Alobaid, A. Phytochemical Analysis, In Vitro Anticholinesterase, Antioxidant Activity and In Vivo Nootropic Effect of Ferula ammoniacum (Dorema ammoniacum) D. Don. in Scopolamine-Induced Memory Impairment in Mice. Brain Sci. 2021, 11, 259. https://doi.org/10.3390/brainsci11020259
Nazir N, Nisar M, Zahoor M, Uddin F, Ullah S, Ullah R, Ansari SA, Mahmood HM, Bari A, Alobaid A. Phytochemical Analysis, In Vitro Anticholinesterase, Antioxidant Activity and In Vivo Nootropic Effect of Ferula ammoniacum (Dorema ammoniacum) D. Don. in Scopolamine-Induced Memory Impairment in Mice. Brain Sciences. 2021; 11(2):259. https://doi.org/10.3390/brainsci11020259
Chicago/Turabian StyleNazir, Nausheen, Mohammad Nisar, Muhammad Zahoor, Faheem Uddin, Saeed Ullah, Riaz Ullah, Siddique Akber Ansari, Hafiz Majid Mahmood, Ahmed Bari, and Abdulrehman Alobaid. 2021. "Phytochemical Analysis, In Vitro Anticholinesterase, Antioxidant Activity and In Vivo Nootropic Effect of Ferula ammoniacum (Dorema ammoniacum) D. Don. in Scopolamine-Induced Memory Impairment in Mice" Brain Sciences 11, no. 2: 259. https://doi.org/10.3390/brainsci11020259
APA StyleNazir, N., Nisar, M., Zahoor, M., Uddin, F., Ullah, S., Ullah, R., Ansari, S. A., Mahmood, H. M., Bari, A., & Alobaid, A. (2021). Phytochemical Analysis, In Vitro Anticholinesterase, Antioxidant Activity and In Vivo Nootropic Effect of Ferula ammoniacum (Dorema ammoniacum) D. Don. in Scopolamine-Induced Memory Impairment in Mice. Brain Sciences, 11(2), 259. https://doi.org/10.3390/brainsci11020259

