Spatial and Temporal Variability of Glacier Surface Velocities and Outlet Areas on James Ross Island, Northern Antarctic Peninsula
Abstract
1. Introduction
- (1)
 - providing an extended and updated review of comparable glacier area change on James Ross Island;
 - (2)
 - analyzing temporal and spatial variability in ice dynamics between 2014 and 2018; and
 - (3)
 - determining potential atmospheric and oceanographic forcing factors.
 
2. Study Site
2.1. Ice Coverage and Glacier Specifications
2.2. Atmospheric and Oceanic Conditions
3. Materials and Methods
3.1. Surface Velocities
3.2. Glacier Calving Front Changes and Area Calculation
3.3. Meteorological and Oceanic Data
4. Results
4.1. Velocity Analysis
4.1.1. Spatial Variability
4.1.2. Temporal Variability
4.1.3. Validation
4.2. Area Changes
4.2.1. General Overview
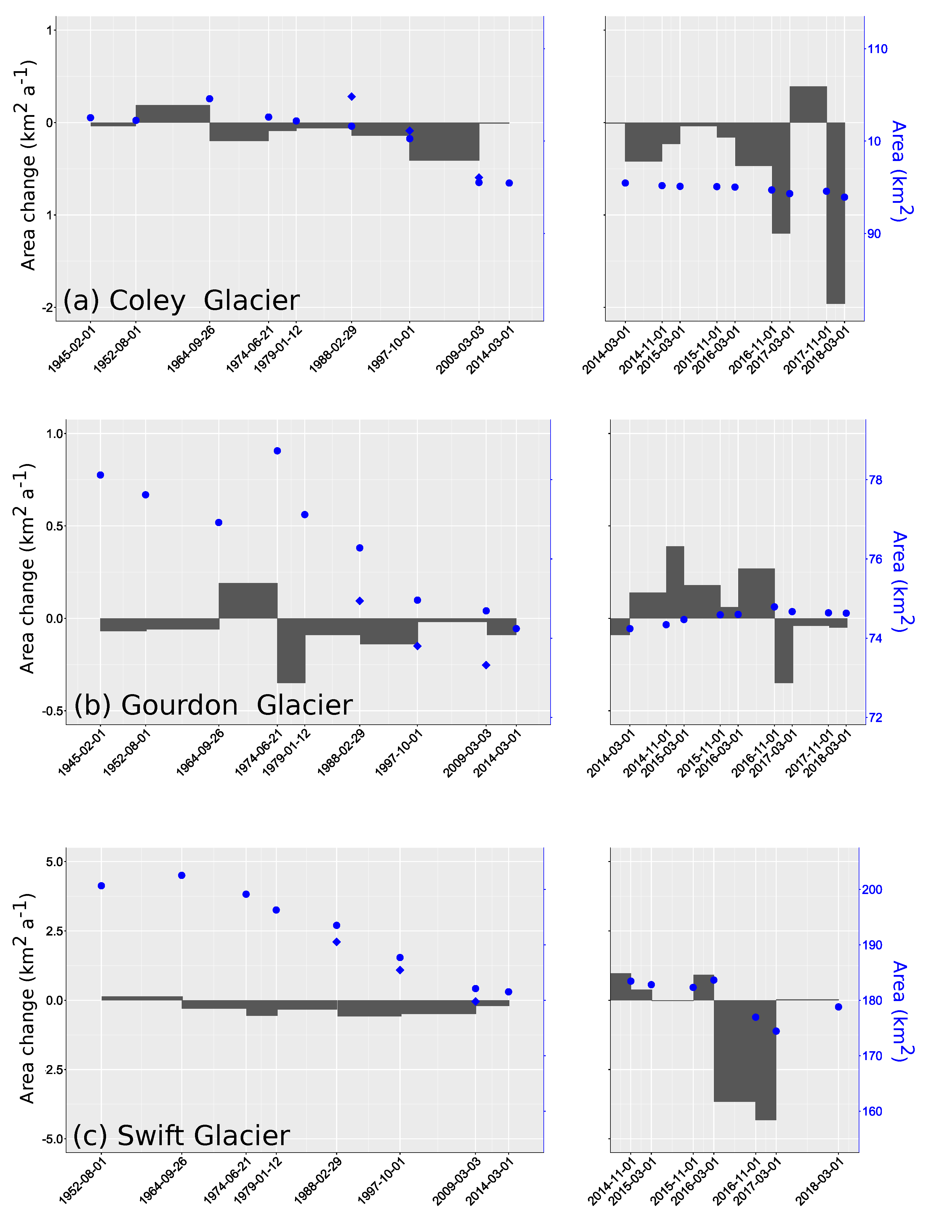
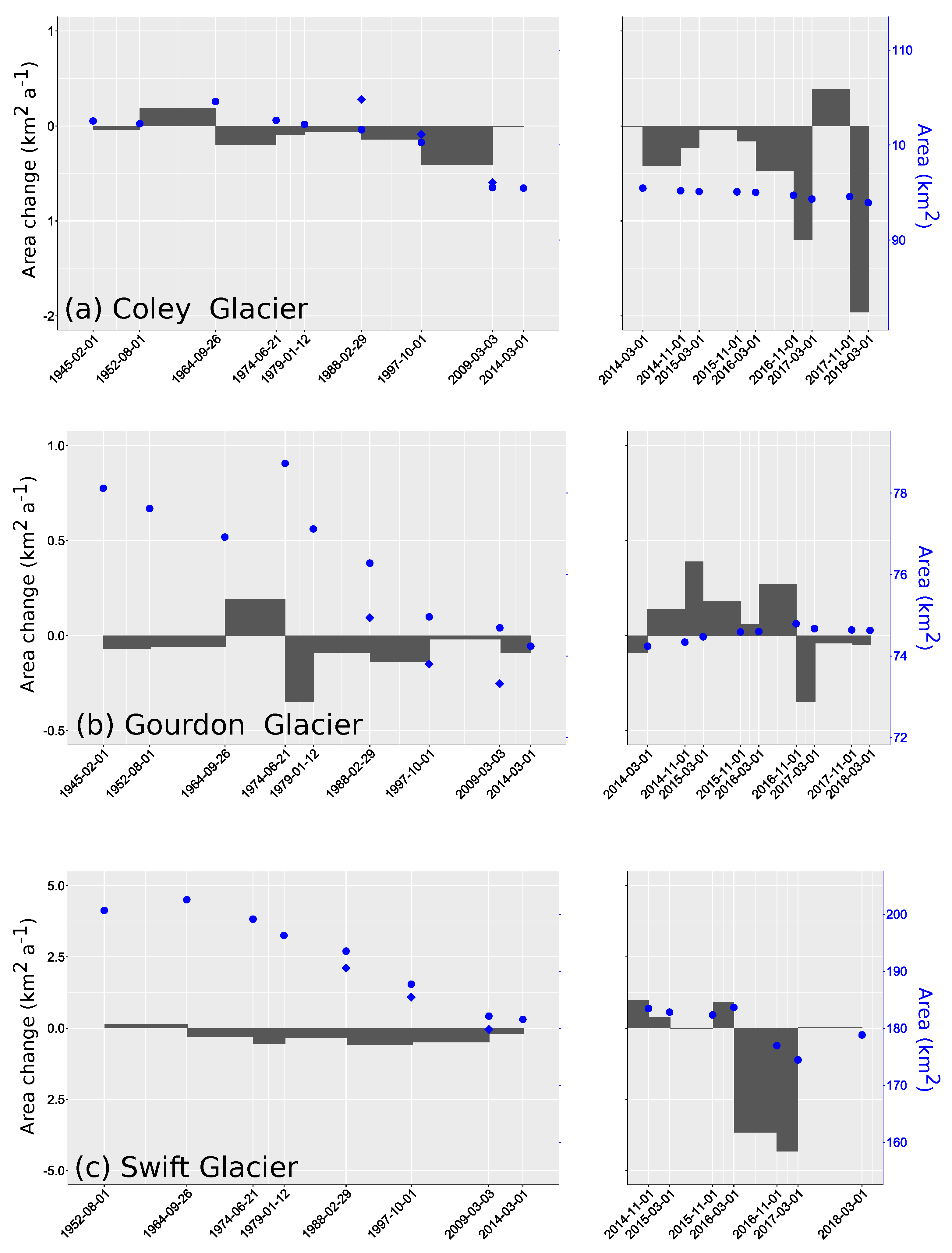
4.2.2. Detailed Analysis for Selected Glaciers
4.3. Potential Forcing Factors of Temporal Velocity Variations
5. Discussion
5.1. Velocity Analysis
5.2. Area Changes
5.3. Potential Forcing Factors of Temporal Velocity Variations
6. Conclusions
Author Contributions
Funding
Conflicts of Interest
Abbreviations
| ADD | Antarctic Digital Database | 
| a.s.l. | above sea level | 
| AWS | Automatic Weather Station | 
| b.s.l. | below sea level | 
| ELA | Equilibrium Line Altitude | 
| GLIMS | Global Land Ice Measurements from Space | 
| GNSS | Global Navigation Satellite System | 
| IBCSO | International Bathymetric Chart of the Southern Ocean | 
| JRI | James Ross Island | 
| MAR | Modèle Atmosphérique Régional | 
| MERRA-2 | Modern-Era Retrospective Analysis for Research and Applications version 2 | 
| RMSE | root-mean-square error | 
| SAM | Southern Annular Mode | 
| SAR | Synthetic Aperture Radar | 
| SCAR | Scientific Committee on Antarctic Research | 
| SST | Sea Surface Temperature | 
| TDX | TanDEM-X | 
| TSX | TerraSAR-X | 
| w.e. | water equivalent | 
Appendix A. Detailed Information of Applied Satellite Scenes for Intensity Feature Tracking and Area Calculations


| Sensor Scene 1 | Path | Date Scene 1 | Abs. Orbit Scene 1 | Date Scene 2 | Abs. Orbit Scene 2 | Time Step (days) | (m d) | (m d) | (m d) | 
|---|---|---|---|---|---|---|---|---|---|
| TSX | 0140-014 | 2014-08-13 | 22,989 | 2014-10-07 | 23,824 | 55 | 0.005 | 0.009 | 0.010 | 
| TDX | 0140-014 | 2014-10-07 | 23,824 | 2014-10-29 | 24,158 | 22 | 0.011 | 0.014 | 0.018 | 
| TDX | 0140-014 | 2014-10-29 | 24,158 | 2014-12-01 | 24,659 | 33 | 0.008 | 0.021 | 0.022 | 
| TSX | 0140-014 | 2014-12-01 | 24,659 | 2015-01-03 | 41,890 | 33 | 0.008 | 0.010 | 0.013 | 
| TSX | 0140-014 | 2015-01-03 | 41,890 | 2015-02-16 | 42,558 | 44 | 0.006 | 0.022 | 0.023 | 
| TSX | 0140-014 | 2015-02-16 | 42,558 | 2015-04-01 | 43,226 | 44 | 0.006 | 0.003 | 0.007 | 
| TSX | 0140-014 | 2015-04-01 | 43,226 | 2015-05-26 | 44,061 | 55 | 0.005 | 0.007 | 0.008 | 
| TSX | 0140-014 | 2015-05-26 | 44,061 | 2015-06-28 | 44,562 | 33 | 0.008 | 0.010 | 0.013 | 
| TSX | 0140-014 | 2015-06-28 | 44,562 | 2015-08-11 | 45,230 | 44 | 0.006 | 0.010 | 0.011 | 
| TSX | 0140-014 | 2015-08-11 | 45,230 | 2015-09-24 | 45,898 | 44 | 0.006 | 0.007 | 0.009 | 
| TSX | 0140-014 | 2015-09-24 | 45,898 | 2015-11-18 | 46,733 | 55 | 0.005 | 0.018 | 0.018 | 
| TSX | 0140-014 | 2015-11-18 | 46,733 | 2016-03-18 | 48,570 | 121 | 0.002 | 0.018 | 0.018 | 
| TSX | 0140-014 | 2016-03-18 | 48,570 | 2016-05-01 | 49,238 | 44 | 0.006 | 0.009 | 0.011 | 
| TSX | 0140-014 | 2016-05-01 | 49,238 | 2016-06-25 | 50,073 | 55 | 0.005 | 0.006 | 0.007 | 
| TSX | 0140-014 | 2016-06-25 | 50,073 | 2016-08-08 | 50,741 | 44 | 0.006 | 0.006 | 0.008 | 
| TDX | 0140-014 | 2016-08-08 | 50,741 | 2016-09-21 | 34,679 | 44 | 0.006 | 0.009 | 0.010 | 
| TDX | 0140-014 | 2016-09-21 | 34,679 | 2016-11-04 | 35,347 | 44 | 0.006 | 0.105 | 0.105 | 
| TDX | 0140-014 | 2016-11-04 | 35,347 | 2016-12-29 | 36,182 | 55 | 0.005 | 0.166 | 0.166 | 
| TDX | 0140-014 | 2016-12-29 | 36,182 | 2017-01-20 | 36,516 | 22 | 0.011 | 0.059 | 0.061 | 
| TDX | 0140-014 | 2017-01-20 | 36,516 | 2017-02-22 | 37,017 | 33 | 0.008 | 0.020 | 0.022 | 
| TDX | 0140-014 | 2017-02-22 | 37,017 | 2017-03-27 | 37,518 | 33 | 0.008 | 0.007 | 0.010 | 
| TDX | 0140-014 | 2017-03-27 | 37,518 | 2017-05-10 | 38,186 | 44 | 0.006 | 0.008 | 0.010 | 
| TDX | 0140-014 | 2017-05-10 | 38,186 | 2017-06-01 | 38,520 | 22 | 0.011 | 0.011 | 0.016 | 
| TDX | 0140-014 | 2017-06-01 | 38,520 | 2017-07-15 | 39,188 | 44 | 0.006 | 0.007 | 0.009 | 
| TDX | 0140-014 | 2017-07-15 | 39,188 | 2017-08-28 | 39,856 | 44 | 0.006 | 0.011 | 0.012 | 
| TSX | 0140-014 | 2017-08-28 | 39,856 | 2017-10-11 | 57,254 | 44 | 0.006 | 0.013 | 0.014 | 
| TSX | 0140-014 | 2017-10-11 | 57,254 | 2017-11-24 | 57,922 | 44 | 0.006 | 0.072 | 0.072 | 
| TSX | 0140-014 | 2017-11-24 | 57,922 | 2018-01-07 | 58,590 | 44 | 0.006 | 0.007 | 0.009 | 
| TSX | 0140-014 | 2018-01-07 | 58,590 | 2018-02-20 | 59,258 | 44 | 0.006 | 0.006 | 0.009 | 
| TSX | 0140-014 | 2018-02-20 | 59,258 | 2018-04-05 | 59,926 | 44 | 0.006 | 0.053 | 0.053 | 
| TSX | 0140-014 | 2018-04-05 | 59,926 | 2018-05-19 | 60,594 | 44 | 0.006 | 0.008 | 0.010 | 
| TSX | 0034-004 | 2014-11-13 | 24,386 | 2014-12-05 | 41,450 | 22 | 0.011 | 0.031 | 0.033 | 
| TSX | 0034-004 | 2014-12-05 | 41,450 | 2015-04-27 | 43,621 | 143 | 0.002 | 0.003 | 0.004 | 
| TSX | 0034-004 | 2015-04-27 | 43,621 | 2015-06-10 | 44,289 | 44 | 0.006 | 0.008 | 0.010 | 
| TSX | 0034-004 | 2015-06-10 | 44,289 | 2015-07-24 | 44,957 | 44 | 0.006 | 0.007 | 0.009 | 
| TSX | 0034-004 | 2015-07-24 | 44,957 | 2015-09-17 | 45,792 | 55 | 0.005 | 0.005 | 0.007 | 
| TSX | 0034-004 | 2015-09-17 | 45,792 | 2015-11-11 | 46,627 | 55 | 0.005 | 0.014 | 0.015 | 
| TSX | 0034-004 | 2015-11-11 | 46,627 | 2016-02-29 | 48,297 | 110 | 0.002 | 0.013 | 0.014 | 
| TDX | 0034-004 | 2016-02-29 | 48,297 | 2016-04-13 | 32,235 | 44 | 0.006 | 0.014 | 0.015 | 
| TSX | 0034-004 | 2016-04-13 | 32,235 | 2016-06-07 | 49,800 | 55 | 0.005 | 0.003 | 0.005 | 
| TDX | 0034-004 | 2016-06-07 | 49,800 | 2016-09-03 | 34,406 | 88 | 0.003 | 0.008 | 0.008 | 
| TDX | 0034-004 | 2016-09-03 | 34,406 | 2016-10-17 | 35,074 | 44 | 0.006 | 0.018 | 0.019 | 
| TDX | 0034-004 | 2016-10-17 | 35,074 | 2016-11-30 | 35,742 | 44 | 0.006 | 0.011 | 0.013 | 
| TDX | 0034-004 | 2016-11-30 | 35,742 | 2016-12-22 | 36,076 | 22 | 0.011 | 0.042 | 0.043 | 
| TDX | 0034-004 | 2016-12-22 | 36,076 | 2017-01-13 | 36,410 | 22 | 0.011 | 0.068 | 0.069 | 
| TDX | 0034-004 | 2017-01-13 | 36,410 | 2017-02-15 | 36,911 | 33 | 0.008 | 0.039 | 0.039 | 
| TDX | 0034-004 | 2017-02-15 | 36,911 | 2017-03-20 | 37,412 | 33 | 0.008 | 0.009 | 0.012 | 
| TDX | 0034-004 | 2017-03-20 | 37,412 | 2017-04-22 | 37,913 | 33 | 0.008 | 0.008 | 0.011 | 
| TDX | 0034-004 | 2017-04-22 | 37,913 | 2017-05-25 | 38,414 | 33 | 0.008 | 0.011 | 0.013 | 
| TDX | 0034-004 | 2017-05-25 | 38,414 | 2017-07-08 | 39,082 | 44 | 0.006 | 0.004 | 0.007 | 
| TDX | 0034-004 | 2017-07-08 | 39,082 | 2017-09-12 | 40,084 | 66 | 0.004 | 0.017 | 0.018 | 
| TSX | 0034-004 | 2017-09-12 | 40,084 | 2017-10-04 | 57,148 | 22 | 0.011 | 0.022 | 0.025 | 
| TSX | 0034-004 | 2017-10-04 | 57,148 | 2017-11-17 | 57,816 | 44 | 0.006 | 0.054 | 0.054 | 
| TSX | 0034-004 | 2017-11-17 | 57,816 | 2017-12-31 | 58,484 | 44 | 0.006 | 0.048 | 0.048 | 
| TSX | 0034-004 | 2017-12-31 | 58,484 | 2018-02-13 | 59,152 | 44 | 0.006 | 0.036 | 0.037 | 
| TSX | 0034-004 | 2018-02-13 | 59,152 | 2018-03-29 | 59,820 | 44 | 0.006 | 0.017 | 0.018 | 
| TSX | 0034-004 | 2018-03-29 | 59,820 | 2018-05-12 | 60,488 | 44 | 0.006 | 0.078 | 0.078 | 
| TSX | 0034-004 | 2018-05-12 | 60,488 | 2018-06-25 | 61,156 | 44 | 0.006 | 0.006 | 0.008 | 
| Mean | 0.006 | 0.023 | 0.024 | 
| Sensor | Date | WRS Path | WRS Row | 
|---|---|---|---|
| Landsat 8 | 2014-01-11 | 215 | 105 | 
| Landsat 8 | 2014-01-18 | 216 | 105 | 
| Landsat 8 | 2014-03-16 | 215 | 105 | 
| Landsat 8 | 2014-03-23 | 216 | 105 | 
| Landsat 8 | 2014-04-01 | 215 | 105 | 
| Landsat 8 | 2014-09-24 | 215 | 105 | 
| Landsat 8 | 2014-10-03 | 214 | 105 | 
| Landsat 8 | 2014-11-02 | 216 | 105 | 
| Landsat 8 | 2014-12-04 | 216 | 105 | 
| Landsat 8 | 2015-01-30 | 215 | 105 | 
| Landsat 8 | 2015-02-06 | 216 | 105 | 
| Landsat 8 | 2015-03-28 | 214 | 105 | 
| Landsat 8 | 2015-04-20 | 215 | 105 | 
| Landsat 8 | 2015-09-11 | 215 | 105 | 
| Landsat 8 | 2015-09-18 | 216 | 105 | 
| Landsat 8 | 2015-10-20 | 216 | 105 | 
| Landsat 8 | 2015-11-05 | 216 | 105 | 
| Landsat 8 | 2015-11-30 | 215 | 105 | 
| Landsat 8 | 2016-01-17 | 215 | 105 | 
| Landsat 8 | 2016-02-02 | 215 | 105 | 
| Landsat 8 | 2016-02-18 | 215 | 105 | 
| Landsat 8 | 2016-09-22 | 214 | 105 | 
| Landsat 8 | 2016-10-06 | 216 | 105 | 
| Landsat 8 | 2016-11-25 | 214 | 105 | 
| Landsat 8 | 2016-12-09 | 216 | 105 | 
| Landsat 8 | 2016-12-11 | 214 | 106 | 
| Landsat 8 | 2016-12-16 | 217 | 105 | 
| Landsat 8 | 2016-12-25 | 216 | 106 | 
| Landsat 8 | 2017-02-04 | 215 | 105 | 
| Landsat 8 | 2017-02-20 | 215 | 105 | 
| Landsat 8 | 2017-03-08 | 215 | 105 | 
| Landsat 8 | 2017-04-25 | 215 | 105 | 
| Landsat 8 | 2017-08-22 | 216 | 105 | 
| Landsat 8 | 2017-09-23 | 216 | 105 | 
| Landsat 8 | 2017-09-25 | 214 | 105 | 
| Landsat 8 | 2017-09-30 | 217 | 105 | 
| Landsat 8 | 2017-10-09 | 216 | 105 | 
| Landsat 8 | 2017-10-27 | 214 | 105 | 
| Landsat 8 | 2017-11-10 | 216 | 105 | 
| Landsat 8 | 2017-11-28 | 214 | 105 | 
| Landsat 8 | 2017-12-03 | 217 | 105 | 
| Landsat 8 | 2018-01-06 | 215 | 105 | 
| Landsat 8 | 2018-01-15 | 214 | 105 | 
| Landsat 8 | 2018-02-07 | 215 | 105 | 
| Landsat 8 | 2018-04-03 | 216 | 105 | 
| GLIMS ID | Area (km) 1945-02-01 | Area (km) 1952-08-01 | Area (km) 1964-09-26 | Area (km) 1974-06-21 | Area (km) 1979-01-12 | Area (km) 1988-02-29 | Area (km) 1997-10-01 | Area (km) 2000-02-21 | Area (km) 2008-03-09 | Area (km) 2009-03-03 | Area (km) 2014-03-01 | Area (km) 2018-03-01 | 
|---|---|---|---|---|---|---|---|---|---|---|---|---|
| James Ross Island North/East | ||||||||||||
| G302417E64049S (67) | 37.7 | 37.26 | 36.31 | 36.14 | 36 | |||||||
| G302479E64128S (136) | 112.42 | 111.39 | 110.35 | 110.29 | 110.38 | |||||||
| G302771E64094S (132) | 8.6 | 8.25 | 7.58 | 7.47 | 7.36 | |||||||
| G302783E64108S (131) | 6.79 | 6.6 | 6.21 | 6.21 | 6.19 | |||||||
| G302579E64173S (128) | 104.58 | 101.61 | 95.52 | 95.54 | 93.91 | |||||||
| G302503E64208S (124) | 78.73 | 76.28 | 74.69 | 74.24 | 74.63 | |||||||
| G302436E64248S (123), G302547E64322S (123b) | 93.1 | 91.85 | 89.29 | 89.61 | 89.41 | |||||||
| James Ross Island South | ||||||||||||
| G302603E64361S (121) | 8.41 | 7.91 | 6.47 | 6.31 | 6.24 | |||||||
| G302508E64342S (119) | 15.56 | 15.07 | 13.91 | 13.78 | 13.66 | |||||||
| G302425E64325S (118) | 21.3 | 19.98 | 18.86 | 18.99 | 18.62 | |||||||
| G302333E64350S (117) | 29.51 | 28.84 | 26.61 | 26.48 | 26.66 | |||||||
| G302228E64270S (115) | 69.44 | 60.9 | 49.67 | 48.6 | 45.83 | |||||||
| G302012E64324S (108) | 110.93 | 104.66 | 92.56 | 89.33 | 93.48 | |||||||
| G301861E64353S (106) | 25.88 | 25.32 | 22.94 | 23.04 | 22.88 | |||||||
| Röhss Bay | ||||||||||||
| (99) | 38.52 | 38.01 | 38.1 | |||||||||
| G302028E64232S (97) | 125.73 | 125.23 | 123.98 | |||||||||
| G302020E64160S (95) | 73.8 | 72.16 | 72.02 | |||||||||
| Röhss Bay East (93) | 66.73 | 65.77 | 65.56 | |||||||||
| Röhss Bay North (90–92) | 72.19 | 69.62 | 68.55 | |||||||||
| G301629E64129S (87) | 5.82 | 5.81 | 5.37 | 5.32 | ||||||||
| Röhss Bay Ice Shelf | 330.88 | 221.93 | 0 | |||||||||
| Ulu Peninsula | ||||||||||||
| G301636E64062S (89) | 14.26 | 13.76 | 12.34 | 12.33 | 12.23 | |||||||
| G301659E64016S (78) | 7.24 | 7 | 7.33 | 7.82 | ||||||||
| G301912E63989S (72) | 74.51 | 70.8 | 70.38 | 69.62 | 69.07 | |||||||
| G301946E63935S (27) | 33.01 | 30.54 | 28.63 | 28.36 | 28.12 | |||||||
| G302104E64073S (58) | 21.9 | 21.71 | 20.48 | 20.41 | ||||||||
| Sensor | Date | Time | Orbit Cycle | Rel. Orbit | Abs. Orbit | 
|---|---|---|---|---|---|
| SENTINEL-1A | 2014-10-08 | 12:19:35 | 17 | 40 | 2735 | 
| SENTINEL-1A | 2014-10-08 | 12:26:42 | 17 | 40 | 2735 | 
| SENTINEL-1A | 2014-11-01 | 11:06:12 | 32 | 38 | 3085 | 
| SENTINEL-1A | 2014-11-01 | 10:54:39 | 32 | 38 | 3085 | 
| SENTINEL-1A | 2014-12-07 | 10:34:43 | 35 | 38 | 3610 | 
| SENTINEL-1A | 2014-12-07 | 10:58:25 | 35 | 38 | 3610 | 
| SENTINEL-1A | 2015-01-12 | 10:03:36 | 38 | 38 | 4135 | 
| SENTINEL-1A | 2015-01-12 | 10:05:12 | 38 | 38 | 4135 | 
| SENTINEL-1A | 2015-02-05 | 10:27:44 | 40 | 38 | 4485 | 
| SENTINEL-1A | 2015-02-05 | 10:27:47 | 40 | 38 | 4485 | 
| SENTINEL-1A | 2015-03-25 | 10:24:10 | 44 | 38 | 5185 | 
| SENTINEL-1A | 2015-03-25 | 10:31:00 | 44 | 38 | 5185 | 
| SENTINEL-1A | 2015-04-18 | 10:28:42 | 46 | 38 | 5535 | 
| SENTINEL-1A | 2015-04-18 | 10:22:37 | 46 | 38 | 5535 | 
| SENTINEL-1A | 2015-05-14 | 16:59:55 | 48 | 38 | 5885 | 
| SENTINEL-1A | 2015-05-14 | 17:06:43 | 48 | 38 | 5885 | 
| SENTINEL-1A | 2015-06-17 | 10:03:25 | 51 | 38 | 6410 | 
| SENTINEL-1A | 2015-06-17 | 12:35:43 | 51 | 38 | 6410 | 
| SENTINEL-1A | 2015-07-11 | 11:19:23 | 53 | 38 | 6760 | 
| SENTINEL-1A | 2015-07-11 | 11:20:00 | 53 | 38 | 6760 | 
| SENTINEL-1A | 2015-08-16 | 09:46:22 | 56 | 38 | 7285 | 
| SENTINEL-1A | 2015-08-16 | 09:41:26 | 56 | 38 | 7285 | 
| SENTINEL-1A | 2015-09-09 | 09:39:16 | 58 | 38 | 7635 | 
| SENTINEL-1A | 2015-09-09 | 09:39:59 | 58 | 38 | 7635 | 
| SENTINEL-1A | 2015-10-15 | 09:38:13 | 61 | 38 | 8160 | 
| SENTINEL-1A | 2015-10-15 | 09:39:48 | 61 | 38 | 8160 | 
| SENTINEL-1A | 2015-11-20 | 09:58:35 | 64 | 38 | 8685 | 
| SENTINEL-1A | 2015-11-20 | 09:55:39 | 64 | 38 | 8685 | 
| SENTINEL-1A | 2015-12-14 | 09:56:32 | 66 | 38 | 9035 | 
| SENTINEL-1A | 2016-01-19 | 15:26:56 | 69 | 38 | 9560 | 
| SENTINEL-1A | 2016-02-12 | 10:17:22 | 71 | 38 | 9910 | 
| SENTINEL-1A | 2016-03-07 | 11:10:42 | 73 | 38 | 10,260 | 
| SENTINEL-1A | 2016-04-12 | 09:55:33 | 76 | 38 | 10,785 | 
| SENTINEL-1A | 2016-05-18 | 09:32:52 | 79 | 38 | 11,310 | 
| SENTINEL-1A | 2016-06-11 | 09:39:44 | 81 | 38 | 11,660 | 
| SENTINEL-1A | 2016-07-05 | 09:37:35 | 83 | 38 | 12,010 | 
| SENTINEL-1A | 2016-08-10 | 09:37:17 | 86 | 38 | 12,535 | 
| SENTINEL-1A | 2016-07-03 | 09:36:30 | 88 | 38 | 12,885 | 
| SENTINEL-1A | 2016-10-09 | 09:33:33 | 91 | 38 | 13,410 | 
| SENTINEL-1A | 2016-11-02 | 09:41:38 | 93 | 38 | 13,760 | 
| SENTINEL-1A | 2016-12-08 | 09:36:20 | 96 | 38 | 14,285 | 
| SENTINEL-1A | 2017-01-01 | 09:41:46 | 98 | 38 | 14,635 | 
| SENTINEL-1A | 2017-02-06 | 09:37:26 | 101 | 38 | 15,160 | 
| SENTINEL-1A | 2017-03-02 | 09:40:51 | 103 | 38 | 15,510 | 
| SENTINEL-1A | 2017-04-07 | 10:34:43 | 106 | 38 | 16,035 | 
| SENTINEL-1A | 2017-05-01 | 09:36:10 | 108 | 38 | 16,385 | 
| SENTINEL-1A | 2017-06-06 | 09:36:21 | 111 | 38 | 16,910 | 
| SENTINEL-1A | 2017-07-12 | 09:38:49 | 114 | 38 | 17,435 | 
| SENTINEL-1A | 2017-08-05 | 09:42:56 | 116 | 38 | 17,785 | 
| SENTINEL-1A | 2017-07-22 | 09:46:09 | 120 | 38 | 18,485 | 
| SENTINEL-1A | 2017-10-16 | 09:44:49 | 122 | 38 | 18,835 | 
| SENTINEL-1A | 2017-11-09 | 09:35:21 | 124 | 38 | 19,185 | 
| SENTINEL-1A | 2017-12-03 | 09:45:22 | 126 | 38 | 19,535 | 
| SENTINEL-1B | 2018-01-02 | 09:46:35 | 58 | 38 | 8989 | 
| SENTINEL-1B | 2018-02-07 | 14:01:21 | 61 | 38 | 9514 | 
| SENTINEL-1B | 2018-03-03 | 09:46:54 | 63 | 38 | 9864 | 
| SENTINEL-1B | 2018-04-08 | 09:33:07 | 66 | 38 | 10,389 | 
| SENTINEL-1B | 2018-05-14 | 09:35:21 | 69 | 38 | 10,914 | 
Appendix B. Comparison of Meteorological Data
| Climate Variable | MERRA-2 | MAR | AWS/Minikin | Marambio | SST | SAM | 
|---|---|---|---|---|---|---|
| Temperature 2 m Plateau | January 2012– August 2018 | January 2012– December 2017 | March 2015– June 2017 | |||
| Temperature 2 m Gourdon | January 2012– November 2018 | January 2012– December 2017 | March 2014– November 2018 | |||
| Precipitation Plateau | January 2012– August 2018 | January 2012– December 2017 | ||||
| Precipitation Gourdon | January 2012– August 2018 | January 2012– December 2017 | ||||
| Northward Wind Plateau 2 m | January 2012– August 2018 | January 2012– December 2017 | March 2017– June 2017 | January 2012– September 2018 | ||
| Eastward Wind Plateau 2 m | January 2012– August 2018 | January 2012– December 2017 | March 2017– June 2017 | January 2012 September 2018 | ||
| Northward Wind Gourdon 2 m | January 2012– August 2018 | January 2012– December 2017 | March 2017– August 2018 | January 2012– September 2018 | ||
| Eastward Wind Gourdon 2 m | January 2012– August 2018 | January 2012– December 2017 | March 2017– August 2018 | January 2012– September 2018 | ||
| Relative Humidity Gourdon 2 m | January 2012– December 2017 | March 2014– August 2018 | January 2014– May 2018 | |||
| Surface Pressure Gourdon | January 2012– August 2018 | January 2012– December 2017 | March 2017– August 2018 | January 2012– September 2018 | ||
| Sea Surface Temperature | January 2012– December 2017 | |||||
| Southern Annular Mode | January 2012– September 2018 | 

| Climate Variables | In-Situ with MAR | In-Situ with | MAR with | |||
|---|---|---|---|---|---|---|
| Kendall’s Tau | Kendall’s p | Kendall’s Tau | Kendall’s p | Kendall’s Tau | Kendall’s p | |
| Temperature 2 m Plateau | 0.80 | 0.80 | 0.98 | |||
| Temperature 2 m Gourdon | 0.80 | 0.80 | 0.96 | |||
| Relative Humidity Gourdon 2 m | 0.39 | 0.000114 | 0.36 | 0.000467 | 0.91 | |
| Surface Pressure Gourdon | 1.00 | 0.96 | 0.96 | |||
Appendix C. Correlation Analysis
| Time-Lag | Kendall’s Tau | Kendall’s p | Kendall’s Tau | Kendall’s p | Kendall’s Tau | Kendall’s p | 
|---|---|---|---|---|---|---|
| Coley Glacier | Gourdon Glacier | Swift Glacier | ||||
| Area changes | ||||||
| 0 | −0.12 | 0.27 | 0.23 | 0.03 | −0.41 | 0.00 | 
| 1 | −0.01 | 0.96 | 0.21 | 0.05 | −0.47 | 0.00 | 
| 2 | 0.00 | 1.00 | 0.21 | 0.06 | −0.50 | 0.00 | 
| 3 | 0.06 | 0.57 | 0.19 | 0.08 | −0.51 | 0.00 | 
| 4 | 0.16 | 0.15 | 0.26 | 0.02 | −0.44 | 0.00 | 
| 5 | 0.20 | 0.07 | 0.32 | 0.00 | −0.34 | 0.00 | 
| 6 | 0.22 | 0.05 | 0.34 | 0.00 | −0.33 | 0.00 | 
| 7 | 0.23 | 0.05 | 0.30 | 0.01 | −0.30 | 0.01 | 
| 8 | 0.17 | 0.15 | 0.26 | 0.03 | −0.19 | 0.10 | 
| 9 | 0.11 | 0.35 | 0.17 | 0.15 | −0.11 | 0.34 | 
| 10 | 0.06 | 0.60 | 0.13 | 0.29 | −0.10 | 0.41 | 
| 11 | 0.00 | 1.00 | 0.12 | 0.31 | −0.05 | 0.69 | 
| 12 | 0.07 | 0.58 | 0.14 | 0.25 | 0.04 | 0.74 | 
| 13 | 0.06 | 0.65 | 0.07 | 0.59 | 0.16 | 0.21 | 
| 14 | 0.11 | 0.40 | 0.00 | 0.97 | 0.30 | 0.02 | 
| 15 | 0.15 | 0.25 | −0.01 | 0.93 | 0.37 | 0.01 | 
| Air Temperature 2m Plateau | ||||||
| 0 | 0.27 | 0.01 | 0.10 | 0.35 | 0.06 | 0.57 | 
| 1 | 0.15 | 0.16 | 0.11 | 0.30 | 0.08 | 0.45 | 
| 2 | 0.00 | 0.97 | 0.04 | 0.69 | 0.12 | 0.27 | 
| 3 | −0.16 | 0.13 | −0.01 | 0.94 | 0.10 | 0.35 | 
| 4 | −0.31 | 0.00 | −0.06 | 0.55 | 0.10 | 0.36 | 
| 5 | −0.35 | 0.00 | −0.13 | 0.19 | 0.13 | 0.22 | 
| 6 | −0.39 | 0.00 | −0.16 | 0.11 | 0.16 | 0.11 | 
| 7 | −0.36 | 0.00 | −0.19 | 0.06 | 0.19 | 0.07 | 
| 8 | −0.18 | 0.08 | −0.20 | 0.05 | 0.17 | 0.09 | 
| 9 | −0.01 | 0.95 | −0.15 | 0.13 | 0.16 | 0.12 | 
| 10 | 0.12 | 0.24 | −0.12 | 0.26 | 0.13 | 0.21 | 
| 11 | 0.23 | 0.02 | −0.09 | 0.36 | 0.16 | 0.13 | 
| 12 | 0.25 | 0.02 | −0.05 | 0.66 | 0.06 | 0.57 | 
| 13 | 0.21 | 0.04 | −0.01 | 0.95 | 0.02 | 0.84 | 
| 14 | 0.11 | 0.29 | −0.01 | 0.95 | 0.00 | 0.96 | 
| 15 | −0.05 | 0.63 | −0.05 | 0.62 | −0.01 | 0.95 | 
| 16 | −0.23 | 0.03 | −0.07 | 0.47 | −0.03 | 0.77 | 
| 17 | −0.33 | 0.00 | −0.16 | 0.13 | 0.01 | 0.91 | 
| Sea Surface Temperature (SST) | ||||||
| 0 | 0.25 | 0.02 | 0.16 | 0.14 | −0.01 | 0.92 | 
| 1 | 0.12 | 0.27 | 0.14 | 0.20 | 0.02 | 0.88 | 
| 2 | −0.05 | 0.65 | 0.06 | 0.57 | 0.04 | 0.74 | 
| 3 | −0.20 | 0.05 | 0.00 | 0.99 | 0.06 | 0.55 | 
| 4 | −0.31 | 0.00 | −0.10 | 0.34 | 0.13 | 0.21 | 
| 5 | −0.37 | 0.00 | −0.16 | 0.11 | 0.18 | 0.08 | 
| 6 | −0.41 | 0.00 | −0.20 | 0.05 | 0.22 | 0.03 | 
| 7 | −0.30 | 0.00 | −0.22 | 0.03 | 0.22 | 0.03 | 
| 8 | −0.11 | 0.28 | −0.20 | 0.05 | 0.22 | 0.03 | 
| 9 | 0.05 | 0.64 | −0.17 | 0.09 | 0.17 | 0.10 | 
| 10 | 0.18 | 0.08 | −0.15 | 0.14 | 0.18 | 0.08 | 
| 11 | 0.27 | 0.01 | −0.09 | 0.40 | 0.17 | 0.10 | 
| 12 | 0.35 | 0.00 | −0.04 | 0.69 | 0.13 | 0.21 | 
| 13 | 0.33 | 0.00 | −0.01 | 0.91 | 0.18 | 0.08 | 
| 14 | 0.24 | 0.02 | −0.02 | 0.82 | 0.19 | 0.07 | 
| 15 | 0.05 | 0.62 | −0.03 | 0.74 | 0.21 | 0.04 | 
| 16 | −0.09 | 0.38 | −0.07 | 0.51 | 0.16 | 0.12 | 
| 17 | −0.22 | 0.03 | −0.14 | 0.18 | 0.17 | 0.10 | 
| Time-Lag | Kendall’s Tau | Kendall’s p | Kendall’s Tau | Kendall’s p | Kendall’s Tau | Kendall’s p | 
|---|---|---|---|---|---|---|
| Coley Glacier | Gourdon Glacier | Swift Glacier | ||||
| Southern Annular Mode | ||||||
| 0 | 0.05 | 0.62 | 0.24 | 0.02 | −0.26 | 0.01 | 
| 1 | 0.07 | 0.48 | 0.23 | 0.03 | −0.26 | 0.01 | 
| 2 | 0.03 | 0.81 | 0.11 | 0.26 | −0.29 | 0.00 | 
| 3 | −0.09 | 0.38 | 0.07 | 0.50 | −0.23 | 0.03 | 
| 4 | −0.04 | 0.67 | 0.07 | 0.49 | −0.22 | 0.04 | 
| 5 | 0.03 | 0.77 | 0.08 | 0.42 | −0.20 | 0.05 | 
| 6 | −0.01 | 0.89 | 0.14 | 0.16 | −0.25 | 0.02 | 
| 7 | 0.06 | 0.58 | 0.16 | 0.11 | −0.13 | 0.21 | 
| 8 | 0.11 | 0.26 | 0.18 | 0.08 | −0.13 | 0.21 | 
| 9 | 0.08 | 0.44 | 0.13 | 0.20 | −0.14 | 0.17 | 
| 10 | 0.03 | 0.78 | 0.07 | 0.49 | 0.07 | 0.50 | 
| 11 | −0.04 | 0.70 | 0.07 | 0.51 | 0.05 | 0.62 | 
| 12 | −0.14 | 0.17 | 0.00 | 1.00 | 0.10 | 0.31 | 
| 13 | −0.24 | 0.02 | 0.03 | 0.76 | 0.07 | 0.48 | 
| 14 | −0.19 | 0.07 | 0.01 | 0.89 | 0.14 | 0.16 | 
| 15 | −0.18 | 0.08 | 0.03 | 0.74 | 0.12 | 0.26 | 
| 16 | −0.20 | 0.05 | −0.03 | 0.75 | 0.26 | 0.01 | 
| 17 | −0.16 | 0.11 | −0.10 | 0.33 | 0.18 | 0.08 | 
| Precipitation Plateau | ||||||
| 0 | 0.08 | 0.47 | −0.06 | 0.56 | −0.09 | 0.41 | 
| 1 | 0.06 | 0.58 | 0.02 | 0.85 | −0.05 | 0.63 | 
| 2 | 0.07 | 0.52 | 0.15 | 0.15 | −0.10 | 0.33 | 
| 3 | 0.20 | 0.06 | 0.15 | 0.17 | −0.02 | 0.86 | 
| 4 | −0.02 | 0.85 | 0.11 | 0.30 | −0.01 | 0.94 | 
| 5 | −0.05 | 0.62 | 0.07 | 0.50 | 0.08 | 0.45 | 
| 6 | 0.12 | 0.24 | 0.04 | 0.68 | 0.04 | 0.70 | 
| 7 | −0.01 | 0.90 | 0.05 | 0.66 | 0.03 | 0.81 | 
| 8 | 0.00 | 0.98 | −0.04 | 0.71 | −0.02 | 0.82 | 
| 9 | 0.08 | 0.44 | 0.00 | 0.98 | −0.01 | 0.92 | 
| 10 | 0.08 | 0.46 | 0.04 | 0.72 | 0.03 | 0.75 | 
| 11 | 0.20 | 0.05 | 0.06 | 0.58 | 0.00 | 0.98 | 
| 12 | 0.12 | 0.24 | 0.18 | 0.08 | 0.03 | 0.78 | 
| 13 | 0.14 | 0.18 | 0.20 | 0.06 | 0.01 | 0.92 | 
| 14 | 0.01 | 0.91 | 0.21 | 0.04 | 0.00 | 0.98 | 
| 15 | −0.04 | 0.68 | 0.10 | 0.31 | 0.01 | 0.89 | 
| 16 | −0.12 | 0.24 | 0.00 | 0.98 | −0.03 | 0.78 | 
| 17 | −0.10 | 0.33 | −0.07 | 0.50 | 0.00 | 1.00 | 
| Northward Wind Plateau 2 m | ||||||
| 0 | −0.04 | 0.74 | 0.04 | 0.70 | −0.07 | 0.50 | 
| 1 | −0.05 | 0.66 | 0.03 | 0.79 | −0.03 | 0.75 | 
| 2 | −0.06 | 0.54 | 0.01 | 0.93 | −0.03 | 0.75 | 
| 3 | −0.05 | 0.61 | −0.01 | 0.90 | 0.04 | 0.67 | 
| 4 | 0.02 | 0.87 | 0.10 | 0.31 | −0.09 | 0.37 | 
| 5 | 0.03 | 0.75 | 0.04 | 0.66 | −0.04 | 0.71 | 
| 6 | −0.03 | 0.74 | 0.01 | 0.93 | 0.05 | 0.65 | 
| 7 | 0.00 | 0.98 | −0.04 | 0.71 | 0.00 | 0.97 | 
| 8 | −0.05 | 0.63 | 0.02 | 0.81 | −0.02 | 0.86 | 
| 9 | −0.10 | 0.32 | −0.02 | 0.84 | 0.07 | 0.51 | 
| 10 | −0.17 | 0.10 | −0.08 | 0.45 | 0.09 | 0.39 | 
| 11 | −0.28 | 0.01 | −0.08 | 0.43 | 0.08 | 0.44 | 
| 12 | −0.24 | 0.02 | −0.14 | 0.17 | 0.23 | 0.03 | 
| 13 | −0.23 | 0.02 | −0.17 | 0.10 | 0.17 | 0.10 | 
| 14 | −0.25 | 0.01 | −0.13 | 0.21 | 0.22 | 0.03 | 
| 15 | −0.17 | 0.10 | −0.14 | 0.18 | 0.18 | 0.08 | 
| 16 | −0.06 | 0.58 | −0.20 | 0.05 | 0.16 | 0.11 | 
| 17 | −0.16 | 0.12 | −0.16 | 0.12 | 0.15 | 0.14 | 
| Time-Lag | Kendall’s Tau | Kendall’s p | Kendall’s Tau | Kendall’s p | Kendall’s Tau | Kendall’s p | 
|---|---|---|---|---|---|---|
| Coley Glacier | Gourdon Glacier | Swift Glacier | ||||
| Eastward Wind Plateau 2 m | ||||||
| 0 | −0.22 | 0.05 | 0.02 | 0.88 | −0.10 | 0.35 | 
| 1 | −0.07 | 0.49 | −0.03 | 0.75 | −0.07 | 0.52 | 
| 2 | 0.01 | 0.93 | −0.03 | 0.79 | 0.01 | 0.91 | 
| 3 | 0.08 | 0.47 | 0.03 | 0.77 | 0.07 | 0.48 | 
| 4 | 0.20 | 0.05 | 0.01 | 0.95 | 0.02 | 0.81 | 
| 5 | 0.19 | 0.06 | 0.08 | 0.46 | −0.02 | 0.84 | 
| 6 | 0.20 | 0.05 | 0.08 | 0.44 | −0.06 | 0.58 | 
| 7 | 0.19 | 0.06 | 0.09 | 0.40 | −0.03 | 0.75 | 
| 8 | 0.03 | 0.74 | 0.03 | 0.77 | 0.04 | 0.69 | 
| 9 | −0.13 | 0.22 | 0.01 | 0.92 | 0.06 | 0.57 | 
| 10 | −0.26 | 0.01 | −0.05 | 0.65 | 0.07 | 0.51 | 
| 11 | −0.38 | 0.00 | −0.05 | 0.62 | 0.06 | 0.53 | 
| 12 | −0.39 | 0.00 | −0.10 | 0.33 | 0.10 | 0.35 | 
| 13 | −0.36 | 0.00 | −0.18 | 0.08 | 0.17 | 0.10 | 
| 14 | −0.28 | 0.01 | −0.18 | 0.08 | 0.20 | 0.05 | 
| 15 | −0.11 | 0.28 | −0.16 | 0.13 | 0.20 | 0.05 | 
| 16 | −0.01 | 0.93 | −0.11 | 0.28 | 0.17 | 0.09 | 
| 17 | 0.07 | 0.50 | −0.16 | 0.13 | 0.13 | 0.21 | 
| Precipitation Gourdon | ||||||
| 0 | 0.10 | 0.38 | −0.04 | 0.70 | −0.09 | 0.42 | 
| 1 | 0.01 | 0.96 | 0.01 | 0.94 | −0.04 | 0.74 | 
| 2 | −0.05 | 0.66 | 0.14 | 0.18 | −0.10 | 0.35 | 
| 3 | 0.09 | 0.40 | 0.10 | 0.33 | −0.03 | 0.78 | 
| 4 | −0.08 | 0.45 | 0.11 | 0.29 | −0.04 | 0.70 | 
| 5 | −0.08 | 0.46 | 0.05 | 0.64 | 0.07 | 0.49 | 
| 6 | 0.10 | 0.32 | 0.02 | 0.84 | 0.07 | 0.47 | 
| 7 | 0.02 | 0.84 | 0.01 | 0.93 | 0.01 | 0.92 | 
| 8 | 0.06 | 0.53 | −0.01 | 0.93 | −0.05 | 0.60 | 
| 9 | 0.14 | 0.16 | −0.01 | 0.92 | −0.03 | 0.78 | 
| 10 | 0.13 | 0.20 | 0.07 | 0.47 | 0.01 | 0.95 | 
| 11 | 0.23 | 0.02 | 0.10 | 0.34 | −0.03 | 0.78 | 
| 12 | 0.14 | 0.18 | 0.21 | 0.04 | 0.01 | 0.92 | 
| 13 | 0.13 | 0.22 | 0.20 | 0.05 | 0.01 | 0.92 | 
| 14 | 0.00 | 1.00 | 0.21 | 0.04 | −0.02 | 0.83 | 
| 15 | −0.08 | 0.44 | 0.06 | 0.54 | 0.00 | 0.97 | 
| 16 | −0.18 | 0.09 | −0.06 | 0.54 | −0.02 | 0.86 | 
| 17 | −0.20 | 0.05 | −0.08 | 0.42 | 0.02 | 0.83 | 
| Air Temperature 2m Gourdon | ||||||
| 0 | 0.21 | 0.05 | 0.14 | 0.18 | 0.08 | 0.47 | 
| 1 | 0.08 | 0.48 | 0.11 | 0.30 | 0.08 | 0.45 | 
| 2 | −0.05 | 0.65 | 0.03 | 0.75 | 0.14 | 0.19 | 
| 3 | −0.20 | 0.06 | −0.04 | 0.74 | 0.12 | 0.25 | 
| 4 | −0.36 | 0.00 | −0.09 | 0.36 | 0.13 | 0.22 | 
| 5 | −0.40 | 0.00 | −0.16 | 0.12 | 0.13 | 0.19 | 
| 6 | −0.40 | 0.00 | −0.18 | 0.07 | 0.17 | 0.10 | 
| 7 | −0.34 | 0.00 | −0.19 | 0.06 | 0.19 | 0.06 | 
| 8 | −0.15 | 0.14 | −0.20 | 0.05 | 0.21 | 0.04 | 
| 9 | −0.01 | 0.92 | −0.15 | 0.14 | 0.20 | 0.05 | 
| 10 | 0.11 | 0.29 | −0.14 | 0.18 | 0.17 | 0.10 | 
| 11 | 0.19 | 0.07 | −0.12 | 0.23 | 0.21 | 0.04 | 
| 12 | 0.17 | 0.09 | −0.09 | 0.37 | 0.10 | 0.34 | 
| 13 | 0.12 | 0.25 | −0.08 | 0.46 | 0.05 | 0.60 | 
| 14 | 0.03 | 0.81 | −0.08 | 0.45 | 0.04 | 0.67 | 
| 15 | −0.11 | 0.30 | −0.12 | 0.23 | 0.06 | 0.56 | 
| 16 | −0.27 | 0.01 | −0.12 | 0.25 | 0.04 | 0.67 | 
| 17 | −0.38 | 0.00 | −0.21 | 0.04 | 0.08 | 0.42 | 
| Time-Lag | Kendall’s Tau | Kendall’s p | Kendall’s Tau | Kendall’s p | Kendall’s Tau | Kendall’s p | 
|---|---|---|---|---|---|---|
| Coley Glacier | Gourdon Glacier | Swift Glacier | ||||
| Northward Wind Gourdon 2 m | ||||||
| 0 | −0.12 | 0.27 | −0.07 | 0.54 | −0.07 | 0.53 | 
| 1 | −0.06 | 0.57 | −0.05 | 0.64 | −0.02 | 0.82 | 
| 2 | −0.04 | 0.72 | 0.00 | 0.97 | −0.04 | 0.71 | 
| 3 | 0.04 | 0.72 | 0.00 | 0.99 | 0.05 | 0.64 | 
| 4 | 0.07 | 0.51 | 0.06 | 0.55 | −0.10 | 0.35 | 
| 5 | 0.09 | 0.36 | 0.03 | 0.73 | −0.07 | 0.49 | 
| 6 | 0.08 | 0.45 | 0.00 | 0.98 | −0.04 | 0.69 | 
| 7 | 0.09 | 0.39 | −0.06 | 0.56 | −0.07 | 0.48 | 
| 8 | −0.07 | 0.49 | 0.01 | 0.92 | −0.08 | 0.43 | 
| 9 | −0.10 | 0.31 | −0.02 | 0.83 | −0.01 | 0.94 | 
| 10 | −0.15 | 0.14 | 0.00 | 0.98 | 0.02 | 0.85 | 
| 11 | −0.24 | 0.02 | 0.03 | 0.81 | 0.02 | 0.83 | 
| 12 | −0.17 | 0.09 | −0.02 | 0.81 | 0.14 | 0.18 | 
| 13 | −0.15 | 0.14 | −0.08 | 0.46 | 0.11 | 0.29 | 
| 14 | −0.16 | 0.12 | −0.08 | 0.43 | 0.15 | 0.15 | 
| 15 | 0.00 | 0.99 | −0.06 | 0.58 | 0.13 | 0.21 | 
| 16 | 0.09 | 0.37 | −0.09 | 0.38 | 0.08 | 0.44 | 
| 17 | 0.03 | 0.74 | −0.04 | 0.67 | 0.10 | 0.33 | 
| Eastward Wind Gourdon 2 m | ||||||
| 0 | −0.25 | 0.02 | −0.04 | 0.72 | −0.10 | 0.38 | 
| 1 | −0.10 | 0.37 | −0.08 | 0.48 | −0.08 | 0.44 | 
| 2 | 0.01 | 0.95 | −0.04 | 0.71 | −0.04 | 0.71 | 
| 3 | 0.12 | 0.25 | 0.02 | 0.88 | 0.04 | 0.72 | 
| 4 | 0.24 | 0.02 | 0.03 | 0.76 | 0.01 | 0.92 | 
| 5 | 0.27 | 0.01 | 0.07 | 0.48 | −0.01 | 0.90 | 
| 6 | 0.29 | 0.00 | 0.09 | 0.38 | −0.08 | 0.45 | 
| 7 | 0.24 | 0.02 | 0.10 | 0.35 | −0.04 | 0.66 | 
| 8 | 0.10 | 0.35 | 0.08 | 0.45 | 0.01 | 0.92 | 
| 9 | −0.07 | 0.48 | 0.06 | 0.59 | 0.00 | 0.98 | 
| 10 | −0.20 | 0.05 | 0.02 | 0.85 | 0.04 | 0.69 | 
| 11 | −0.33 | 0.00 | 0.01 | 0.89 | 0.02 | 0.85 | 
| 12 | −0.36 | 0.00 | −0.02 | 0.87 | 0.04 | 0.66 | 
| 13 | −0.33 | 0.00 | −0.10 | 0.31 | 0.09 | 0.40 | 
| 14 | −0.27 | 0.01 | −0.14 | 0.18 | 0.13 | 0.21 | 
| 15 | −0.13 | 0.21 | −0.14 | 0.18 | 0.14 | 0.18 | 
| 16 | −0.01 | 0.95 | −0.08 | 0.45 | 0.11 | 0.28 | 
| 17 | 0.13 | 0.21 | −0.10 | 0.34 | 0.07 | 0.47 | 
| Rel. Humidity Gourdon 2 m | ||||||
| 0 | 0.17 | 0.12 | −0.09 | 0.41 | 0.01 | 0.93 | 
| 1 | 0.10 | 0.35 | 0.00 | 0.99 | 0.03 | 0.80 | 
| 2 | 0.09 | 0.39 | 0.10 | 0.34 | −0.08 | 0.43 | 
| 3 | 0.16 | 0.13 | 0.07 | 0.50 | −0.08 | 0.43 | 
| 4 | 0.00 | 0.98 | 0.11 | 0.30 | −0.16 | 0.12 | 
| 5 | −0.01 | 0.94 | 0.05 | 0.65 | −0.09 | 0.37 | 
| 6 | 0.08 | 0.41 | 0.08 | 0.45 | −0.06 | 0.54 | 
| 7 | −0.05 | 0.62 | 0.00 | 0.98 | −0.12 | 0.23 | 
| 8 | −0.01 | 0.93 | −0.01 | 0.90 | −0.19 | 0.06 | 
| 9 | 0.06 | 0.58 | 0.00 | 0.96 | −0.19 | 0.06 | 
| 10 | 0.14 | 0.17 | 0.05 | 0.61 | −0.11 | 0.26 | 
| 11 | 0.23 | 0.02 | 0.09 | 0.39 | −0.19 | 0.06 | 
| 12 | 0.25 | 0.01 | 0.19 | 0.06 | −0.12 | 0.24 | 
| 13 | 0.30 | 0.00 | 0.27 | 0.01 | −0.15 | 0.14 | 
| 14 | 0.26 | 0.01 | 0.27 | 0.01 | −0.17 | 0.10 | 
| 15 | 0.22 | 0.03 | 0.22 | 0.03 | −0.22 | 0.03 | 
| 16 | 0.19 | 0.06 | 0.15 | 0.13 | −0.22 | 0.03 | 
| 17 | 0.11 | 0.29 | 0.17 | 0.09 | −0.16 | 0.12 | 
| Time-Lag | Kendall’s Tau | Kendall’s p | Kendall’s Tau | Kendall’s p | Kendall’s Tau | Kendall’s p | 
|---|---|---|---|---|---|---|
| Coley Glacier | Gourdon Glacier | Swift Glacier | ||||
| Surface Pressure Gourdon | ||||||
| 0 | −0.11 | 0.33 | −0.05 | 0.67 | 0.27 | 0.01 | 
| 1 | −0.10 | 0.36 | −0.14 | 0.20 | 0.28 | 0.01 | 
| 2 | −0.08 | 0.44 | −0.20 | 0.06 | 0.32 | 0.00 | 
| 3 | −0.09 | 0.41 | −0.22 | 0.04 | 0.22 | 0.04 | 
| 4 | 0.03 | 0.79 | −0.15 | 0.15 | 0.26 | 0.01 | 
| 5 | 0.10 | 0.34 | −0.08 | 0.43 | 0.21 | 0.04 | 
| 6 | 0.03 | 0.77 | −0.09 | 0.40 | 0.25 | 0.01 | 
| 7 | 0.07 | 0.51 | −0.07 | 0.48 | 0.15 | 0.15 | 
| 8 | 0.16 | 0.11 | −0.01 | 0.92 | 0.08 | 0.46 | 
| 9 | 0.14 | 0.18 | 0.02 | 0.83 | 0.08 | 0.43 | 
| 10 | 0.07 | 0.48 | 0.00 | 0.98 | 0.00 | 1.00 | 
| 11 | 0.01 | 0.92 | −0.06 | 0.54 | −0.01 | 0.89 | 
| 12 | −0.06 | 0.59 | −0.10 | 0.34 | −0.13 | 0.21 | 
| 13 | −0.08 | 0.42 | −0.09 | 0.39 | −0.15 | 0.13 | 
| 14 | −0.09 | 0.38 | −0.11 | 0.30 | −0.15 | 0.13 | 
| 15 | −0.14 | 0.16 | −0.14 | 0.16 | −0.14 | 0.17 | 
| 16 | −0.09 | 0.40 | −0.09 | 0.38 | −0.20 | 0.05 | 
| 17 | −0.07 | 0.48 | −0.03 | 0.74 | −0.22 | 0.03 | 
Appendix D. Processing of Outlet Areas with the Common-Box Approach

References
- Turner, J.; Colwell, S.R.; Marshall, G.J.; Lachlan-Cope, T.A.; Carleton, A.M.; Jones, P.D.; Lagun, V.; Reid, P.A.; Iagovkina, S. Antarctic climate change during the last 50 years. Int. J. Climatol. 2005, 25, 279–294. [Google Scholar] [CrossRef]
 - Vaughan, D.G.; Marshall, G.J.; Connolley, W.M.; Parkinson, C.; Mulvaney, R.; Hodgson, D.A.; King, J.C.; Pudsey, C.J.; Turner, J. Recent rapid regional climate warming on the Antarctic Peninsula. Clim. Chang. 2003, 60, 243–274. [Google Scholar] [CrossRef]
 - Oliva, M.; Navarro, F.; Hrbáček, F.; Hernández, A.; Nývlt, D.; Pereira, P.; Ruiz-Fernández, J.; Trigo, R. Recent regional climate cooling on the Antarctic Peninsula and associated impacts on the cryosphere. Sci. Total Environ. 2016. [Google Scholar] [CrossRef] [PubMed]
 - Skvarca, P. Fast recession of the northern Larsen Ice Shelf monitored by space images. Ann. Glaciol. 1993, 17, 317–321. [Google Scholar] [CrossRef]
 - Skvarca, P.; Rott, H.; Nagler, T. Satellite imagery, a base line for glacier variation study on James Ross Island, Antarctica. Ann. Glaciol. 1995, 21, 291–296. [Google Scholar] [CrossRef][Green Version]
 - Rott, H.; Skvarca, P.; Nagler, T. Rapid Collapse of Northern Larsen Ice Shelf, Antarctica. Science 1996, 271, 788–792. [Google Scholar] [CrossRef]
 - Rott, H.; Rack, W.; Nagler, T.; Skvarca, P. Climatically induced retreat and collapse of northern Larsen Ice Shelf, Antarctic Peninsula. Ann. Glaciol. 1998, 27, 86–92. [Google Scholar] [CrossRef]
 - Scambos, T.A.; Berthier, E.; Haran, T.; Shuman, C.A.; Cook, A.J.; Ligtenberg, S.R.M.; Bohlander, J. Detailed ice loss pattern in the northern Antarctic Peninsula: widespread decline driven by ice front retreats. Cryosphere 2014, 8, 2135–2145. [Google Scholar] [CrossRef]
 - Turner, J.; Lu, H.; White, I.; King, J.C.; Phillips, T.; Hosking, J.S.; Bracegirdle, T.J.; Marshall, G.J.; Mulvaney, R.; Deb, P. Absence of 21st century warming on Antarctic Peninsula consistent with natural variability. Nature 2016, 535, 411–415. [Google Scholar] [CrossRef]
 - Engel, Z.; Láska, K.; Nývlt, D.; Stachoň, Z. Surface mass balance of small glaciers on James Ross Island, north-eastern Antarctic Peninsula, during 2009–2015. J. Glaciol. 2018, 64, 349–361. [Google Scholar] [CrossRef]
 - WGMS. Global Glacier Change Bulletin No. 2 (2014–2015); Zemp, M., Nussbaumer, S.U., Gärtner-Roer, I., Huber, J., Machguth, H., Paul, F., Hoelzle, M., Eds.; ICSU(WDS)/IUGG(IACS)/UNEP/UNESCO/WMO, World Glacier Monitoring Service: Zurich, Switzerland, 2017. [Google Scholar] [CrossRef]
 - WGMS. Submitted values for Global Glacier Change Bulletin Version 3. 2019. Available online: https://wgms.ch/latest-glacier-mass-balance-data/ (accessed on 1 July 2019).
 - Abram, N.J.; Mulvaney, R.; Arrowsmith, C. Environmental signals in a highly resolved ice core from James Ross Island, Antarctica. J. Geophys. Res. Atmos. 2011, 116. [Google Scholar] [CrossRef]
 - Glasser, N.F.; Scambos, T.A.; Bohlander, J.; Truffer, M.; Pettit, E.; Davies, B.J. From ice-shelf tributary to tidewater glacier: continued rapid recession, acceleration and thinning of Röhss Glacier following the 1995 collapse of the Prince Gustav Ice Shelf, Antarctic Peninsula. J. Glaciol. 2011, 57, 397–406. [Google Scholar] [CrossRef]
 - Davies, B.J.; Carrivick, J.L.; Glasser, N.F.; Hambrey, M.J.; Smellie, J.L. Variable glacier response to atmospheric warming, northern Antarctic Peninsula, 1988–2009. Cryosphere 2012, 6, 1031–1048. [Google Scholar] [CrossRef]
 - SCAR. Antarctic Digital Database. 2018. Available online: https://www.add.scar.org/ (accessed on 22 November 2018).
 - Cook, A.J.; Holland, P.R.; Meredith, M.P.; Murray, T.; Luckman, A.; Vaughan, D.G. Ocean forcing of glacier retreat in the western Antarctic Peninsula. Science 2016, 353, 283–286. [Google Scholar] [CrossRef] [PubMed]
 - Walker, C.C.; Gardner, A.S. Rapid drawdown of Antarctica’s Wordie Ice Shelf glaciers in response to ENSO/Southern Annular Mode-driven warming in the Southern Ocean. Earth Planet. Sci. Lett. 2017, 476, 100–110. [Google Scholar] [CrossRef]
 - Friedl, P.; Seehaus, T.C.; Wendt, A.; Braun, M.H.; Höppner, K. Recent dynamic changes on Fleming Glacier after the disintegration of Wordie Ice Shelf, Antarctic Peninsula. Cryosphere 2018, 12, 1347–1365. [Google Scholar] [CrossRef]
 - Rabassa, J.; Skvarca, P.; Bertani, L.; Mazzoni, E. Glacier Inventory of James Ross and Vega Islands, Antarctic Peninsula. Ann. Glaciol. 1982, 3, 260–264. [Google Scholar] [CrossRef]
 - Ferrigno, J.G.; Cook, A.J.; Foley, K.M.; Williams, R.S., Jr.; Swithinbank, C.; Fox, A.J.; Thomson, J.W.; Sievers, J. Coastal-Change and Glaciological Map of the Trinity Peninsula Area and South Shetland Islands, Antarctica: 1843-2001: Chapter A in Coastal-Change and Glaciological Maps of Antarctica; USGS Numbered Series 2600-A; U.S. Geological Survey: Reston, VA, USA, 2006.
 - Arigony-Neto, J.; Skvarca, P.; Marinsek, S.; Braun, M.; Humbert, A.; Junior, C.W.M.; Jaña, R. Monitoring Glacier Changes on the Antarctic Peninsula. In Global Land Ice Measurements from Space; Kargel, J.S., Leonard, G.J., Bishop, M.P., Kääb, A., Raup, B.H., Eds.; Springer: Berlin/Heidelberg, Germany, 2014; pp. 717–741. [Google Scholar]
 - Smellie, J.L.; Johnson, J.S.; McIntosh, W.C.; Esser, R.; Gudmundsson, M.T.; Hambrey, M.J.; van Wyk de Vries, B. Six million years of glacial history recorded in volcanic lithofacies of the James Ross Island Volcanic Group, Antarctic Peninsula. Palaeogeogr. Palaeoclimatol. Palaeoecol. 2008, 260, 122–148. [Google Scholar] [CrossRef]
 - Jiskoot, H.; Curran, C.J.; Tessler, D.L.; Shenton, L.R. Changes in Clemenceau Icefield and Chaba Group glaciers, Canada, related to hypsometry, tributary detachment, length–slope and area–aspect relations. Ann. Glaciol. 2009, 50, 133–143. [Google Scholar] [CrossRef]
 - Davies, B.J.; Golledge, N.R.; Glasser, N.F.; Carrivick, J.L.; Ligtenberg, S.R.M.; Barrand, N.E.; van den Broeke, M.R.; Hambrey, M.J.; Smellie, J.L. Modelled glacier response to centennial temperature and precipitation trends on the Antarctic Peninsula. Nat. Clim. Chang. 2014, 4, 993–998. [Google Scholar] [CrossRef]
 - Arndt, J.E.; Schenke, H.W.; Jakobsson, M.; Nitsche, F.O.; Buys, G.; Goleby, B.; Rebesco, M.; Bohoyo, F.; Hong, J.K.; Black, J.; et al. The International Bathymetric Chart of the Southern Ocean Version 1.0—A new bathymetric compilation covering circum-Antarctic waters. Geophys. Res. Lett. 2013, 40, 1–7. [Google Scholar] [CrossRef]
 - Morris, E.M.; Vaughan, D.G. Spatial and Temporal Variation of Surface Temperature on the Antarctic Peninsula And The Limit of Viability of Ice Shelves. In Antarctic Peninsula Climate Variability: Historical and Paleoenvironmental Perspectives; American Geophysical Union (AGU): Washington, DC, USA, 2013; pp. 61–68. [Google Scholar]
 - Marshall, G.J.; Thompson, D.W.J. The signatures of large-scale patterns of atmospheric variability in Antarctic surface temperatures. J. Geophys. Res. Atmos. 2016, 121, 3276–3289. [Google Scholar] [CrossRef]
 - Cape, M.R.; Vernet, M.; Skvarca, P.; Marinsek, S.; Scambos, T.; Domack, E. Foehn winds link climate-driven warming to ice shelf evolution in Antarctica. J. Geophys. Res. Atmos. 2015, 120. [Google Scholar] [CrossRef]
 - Van Den Broeke, M.R.; Van Lipzig, N.P.M. Response of Wintertime Antarctic Temperatures to the Antarctic Oscillation: Results of a Regional Climate Model. In Antarctic Peninsula Climate Variability: Historical and Paleoenvironmental Perspectives; American Geophysical Union (AGU): Washington, DC, USA, 2003; pp. 43–58. [Google Scholar] [CrossRef]
 - Thompson, D.W.J.; Solomon, S. Interpretation of recent Southern Hemisphere climate change. Science 2002, 296, 895–899. [Google Scholar] [CrossRef] [PubMed]
 - Marshall, G.J.; Thompson, D.W.J.; van den Broeke, M.R. The Signature of Southern Hemisphere Atmospheric Circulation Patterns in Antarctic Precipitation. Geophys. Res. Lett. 2017, 44, 11580–11589. [Google Scholar] [CrossRef] [PubMed]
 - Marshall, G.J.; Orr, A.; Turner, J. A Predominant Reversal in the Relationship between the SAM and East Antarctic Temperatures during the Twenty-First Century. J. Clim. 2013, 26, 5196–5204. [Google Scholar] [CrossRef]
 - Moffat, C.; Meredith, M. Shelf–ocean exchange and hydrography west of the Antarctic Peninsula: A review. Philos. Trans. R. Soc. A 2018, 376, 20170164. [Google Scholar] [CrossRef]
 - Strozzi, T.; Luckman, A.; Murray, T.; Wegmuller, U.; Werner, C.L. Glacier motion estimation using SAR offset-tracking procedures. IEEE Trans. Geosci. Remote Sens. 2002, 40, 2384–2391. [Google Scholar] [CrossRef]
 - Burgess, E.W.; Forster, R.R.; Larsen, C.F.; Braun, M. Surge dynamics on Bering Glacier, Alaska, in 2008–2011. Cryosphere 2012, 6, 1251–1262. [Google Scholar] [CrossRef]
 - Seehaus, T.; Cook, A.J.; Silva, A.B.; Braun, M. Changes in glacier dynamics in the northern Antarctic Peninsula since 1985. Cryosphere 2018, 12, 577–594. [Google Scholar] [CrossRef]
 - Seehaus, T.; Marinsek, S.; Helm, V.; Skvarca, P.; Braun, M. Changes in ice dynamics, elevation and mass discharge of Dinsmoor–Bombardier–Edgeworth glacier system, Antarctic Peninsula. Earth Planet. Sci. Lett. 2015, 427, 125–135. [Google Scholar] [CrossRef]
 - Moon, T.; Joughin, I. Changes in ice front position on Greenland’s outlet glaciers from 1992 to 2007. J. Geophys. Res. Earth Surf. 2008, 113. [Google Scholar] [CrossRef]
 - Vijay, S.; Khan, S.A.; Kusk, A.; Solgaard, A.M.; Moon, T.; Bjørk, A.A. Resolving Seasonal Ice Velocity of 45 Greenlandic Glaciers With Very High Temporal Details. Geophys. Res. Lett. 2019. [Google Scholar] [CrossRef]
 - Cook, A.J.; Vaughan, D.G.; Luckman, A.J.; Murray, T. A new Antarctic Peninsula glacier basin inventory and observed area changes since the 1940s. Antarct. Sci. 2014, 26, 614–624. [Google Scholar] [CrossRef]
 - De Ridder, K.; Gallée, H. Land Surface-Induced Regional Climate Change in Southern Israel. J. Appl. Meteor. 1998, 37, 1470–1485. [Google Scholar] [CrossRef]
 - Brun, E.; David, P.; Sudul, M.; Brunot, G. A numerical model to simulate snow cover stratigraphy for operational avalanche forecasting. J. Glaciol. 1992, 38, 13–22. [Google Scholar] [CrossRef]
 - Gallée, H.; Schayes, G. Development of a Three-Dimensional Meso-Gamma Primitive Equation Model: Katabatic Winds Simulation in the Area of Terra Nova Bay, Antarctica. Mon. Weather Rev. 1994, 122, 671–685. [Google Scholar] [CrossRef]
 - Lang, C.; Fettweis, X.; Erpicum, M. Future climate and surface mass balance of Svalbard glaciers in an RCP8.5 climate scenario: A study with the regional climate model MAR forced by MIROC5. Cryosphere 2015, 9, 945–956. [Google Scholar] [CrossRef]
 - Gallée, H.; Trouvilliez, A.; Agosta, C.; Genthon, C.; Favier, V.; Naaim-Bouvet, F. Transport of Snow by the Wind: A Comparison Between Observations in Adélie Land, Antarctica, and Simulations Made with the Regional Climate Model MAR. Bound.-Layer Meteor. 2013, 146, 133–147. [Google Scholar] [CrossRef]
 - Amory, C.; Trouvilliez, A.; Gallée, H.; Favier, V.; Naaim-Bouvet, F.; Genthon, C.; Agosta, C.; Piard, L.; Bellot, H. Comparison between observed and simulated aeolian snow mass fluxes in Adélie Land, East Antarctica. Cryosphere 2015, 9, 1373–1383. [Google Scholar] [CrossRef]
 - Fettweis, X.; Box, J.E.; Agosta, C.; Amory, C.; Kittel, C.; Lang, C.; As, D.V.; Machguth, H.; Gallée, H. Reconstructions of the 1900-2015 Greenland ice sheet surface mass balance using the regional climate MAR model. Cryosphere 2017, 11, 1015–1033. [Google Scholar] [CrossRef]
 - Kittel, C.; Amory, C.; Agosta, C.; Delhasse, A.; Doutreloup, S.; Huot, P.V.; Wyard, C.; Fichefet, T.; Fettweis, X. Sensitivity of the current Antarctic surface mass balance to sea surface conditions using MAR. Cryosphere 2018, 12, 3827–3839. [Google Scholar] [CrossRef]
 - Agosta, C.; Amory, C.; Kittel, C.; Orsi, A.; Favier, V.; Gallée, H.; van den Broeke, M.R.; Lenaerts, J.T.M.; van Wessem, J.M.; van de Berg, W.J.; et al. Estimation of the Antarctic surface mass balance using the regional climate model MAR (1979–2015) and identification of dominant processes. Cryosphere 2019, 13, 281–296. [Google Scholar] [CrossRef]
 - Datta, R.T.; Tedesco, M.; Agosta, C.; Fettweis, X.; Kuipers Munneke, P.; van den Broeke, M.R. Melting over the northeast Antarctic Peninsula (1999–2009): Evaluation of a high-resolution regional climate model. Cryosphere 2018, 12, 2901–2922. [Google Scholar] [CrossRef]
 - Marshall, G.J. An Observation-Based Southern Hemisphere Annular Mode Index. 2018. Available online: https://legacy.bas.ac.uk/met/gjma/sam.html (accessed on 7 March 2019).
 - NOAA/OAR/ESRL. PSD NOAA OI SST V2, Boulder, Colorado, USA. 2018. Available online: https://www.esrl.noaa.gov/psd/ (accessed on 31 January 2019).
 - Muckenhuber, S.; Sandven, S. Open-source sea ice drift algorithm for Sentinel-1 SAR imagery using a combination of feature tracking and pattern matching. Cryosphere 2017, 11, 1835–1850. [Google Scholar] [CrossRef]
 - Osmanoglu, B.; Navarro, F.J.; Hock, R.; Braun, M.; Corcuera, M.I. Surface velocity and mass balance of Livingston Island ice cap, Antarctica. Cryosphere 2014, 8, 1807–1823. [Google Scholar] [CrossRef][Green Version]
 - Moon, T.; Joughin, I.; Smith, B.; van den Broeke, M.R.; van de Berg, W.J.; Noël, B.; Usher, M. Distinct patterns of seasonal Greenland glacier velocity. Geophys. Res. Lett. 2014, 41, 7209–7216. [Google Scholar] [CrossRef] [PubMed]
 - Koziol, C.P.; Arnold, N. Modelling seasonal meltwater forcing of the velocity of land-terminating margins of the Greenland Ice Sheet. Cryosphere 2018, 12, 971–991. [Google Scholar] [CrossRef]
 - Moon, T.; Joughin, I.; Smith, B.; Howat, I. 21st-Century Evolution of Greenland Outlet Glacier Velocities. Science 2012, 336, 576–578. [Google Scholar] [CrossRef]
 - Post, A.; O’Neel, S.; Motyka, R.J.; Streveler, G. A complex relationship between calving glaciers and climate. Eos Trans. Am. Geophys. Union 2011, 92, 305–306. [Google Scholar] [CrossRef]
 - Mercenier, R.; Lüthi, M.P.; Vieli, A. Calving relation for tidewater glaciers based on detailed stress field analysis. Cryosphere Discuss. 2017, 2017, 1–33. [Google Scholar] [CrossRef]
 - Nick, F.M.; Vieli, A.; Howat, I.M.; Joughin, I. Large-scale changes in Greenland outlet glacier dynamics triggered at the terminus. Nat. Geosci. 2009, 2, 110–114. [Google Scholar] [CrossRef]
 - Hogg, A.E.; Gudmundsson, G.H. Impacts of the Larsen-C Ice Shelf calving event. Nat. Clim. Chang. 2017, 7, 540–542. [Google Scholar] [CrossRef]
 - Vallot, D.; Åström, J.; Zwinger, T.; Pettersson, R.; Everett, A.; Benn, D.I.; Luckman, A.; van Pelt, W.J.J.; Nick, F.; Kohler, J. Effects of undercutting and sliding on calving: A global approach applied to Kronebreen, Svalbard. Cryosphere 2018, 12, 609–625. [Google Scholar] [CrossRef]
 - Molod, A.; Takacs, L.; Suarez, M.; Bacmeister, J. Development of the GEOS-5 atmospheric general circulation model: Evolution from MERRA to MERRA2. Geosci. Model Dev. 2015, 8, 1339–1356. [Google Scholar] [CrossRef]
 - Gelaro, R.; McCarty, W.; Suárez, M.J.; Todling, R.; Molod, A.; Takacs, L.; Randles, C.A.; Darmenov, A.; Bosilovich, M.G.; Reichle, R.; et al. The Modern-Era Retrospective Analysis for Research and Applications, Version 2 (MERRA-2). J. Clim. 2017, 30, 5419–5454. [Google Scholar] [CrossRef]
 - Puka, L. Kendall’s Tau. In International Encyclopedia of Statistical Science; Lovric, M., Ed.; Springer: Berlin/Heidelberg, Germany, 2011; pp. 713–715. [Google Scholar]
 - Hennemuth, B.; Bender, S.; Bülow, K.; Dreier, N.; Keup-Thiel, E.; Krüger, O.; Mudersbach, C.; Radermacher, C.; Schoetter, R. Statistical Methods for the Analysis of Simulated and Observed Climate Data: Applied in Projects and Institutions Dealing with Climate Change Impact and Adaptation; CSC Report 13; Climate Service Center: Hamburg, Germany, January 2013. [Google Scholar]
 - Walter, J.I.; Box, J.E.; Tulaczyk, S.; Brodsky, E.E.; Howat, I.M.; Ahn, Y.; Brown, A. Oceanic mechanical forcing of a marine-terminating Greenland glacier. Ann. Glaciol. 2012, 53, 181–192. [Google Scholar] [CrossRef]
 





| GLIMS ID (ID in Davies et al. 2012) | Velocity Mean (md) | Area Change Rate (kma) Maximum <1987–1988 | Area Change Rate (kma) 1988–2008/2009 | Area Change Rate (kma) 2008/2009–2014 | Area Change Rate (kma) 2014–2018 | Area Change Rate (kma) 1988–2009 (Davies et al. 2012) | 
|---|---|---|---|---|---|---|
| James Ross Island North/East | ||||||
| G302417E64049S (67) | 0.051 | −0.010 | −0.045 | −0.034 | −0.035 | −0.079 | 
| G302479E64128S (136) | 0.074 | −0.024 | −0.049 | −0.012 | 0.022 | −0.056 | 
| G302771E64094S (132) | 0.043 | −0.008 | −0.032 | −0.022 | −0.027 | −0.064 | 
| G302783E64108S (131) | 0.053 | −0.004 | −0.019 | 0.000 | −0.005 | −0.055 | 
| G302579E64173S (128) | 0.024 | −0.127 | −0.290 | 0.004 | −0.407 | −0.416 | 
| G302503E64208S (124) | 0.102 | −0.179 | −0.076 | −0.090 | 0.097 | −0.077 | 
| G302436E64248S (123), G302547E64322S (123b) | 0.037 | −0.091 | −0.122 | 0.064 | −0.050 | −0.115 | 
| Mean | 0.055 | −0.063 | −0.090 | −0.013 | −0.058 | −0.123 | 
| James Ross Island South | ||||||
| G302603E64361S (121) | 0.053 | −0.055 | −0.068 | −0.032 | −0.017 | −0.081 | 
| G302508E64342S (119) | 0.071 | −0.021 | −0.055 | −0.026 | −0.030 | −0.068 | 
| G302425E64325S (118) | 0.046 | −0.037 | −0.053 | 0.026 | −0.092 | −0.058 | 
| G302333E64350S (117) | 0.082 | −0.029 | −0.106 | −0.026 | 0.045 | −0.118 | 
| G302228E64270S (115) | 0.178 | −0.364 | −0.534 | −0.214 | −0.692 | −0.511 | 
| G302012E64324S (108) | 0.070 | −0.267 | −0.576 | −0.646 | 1.037 | −0.573 | 
| G301861E64353S (106) | 0.059 | −0.016 | −0.113 | 0.020 | −0.040 | −0.132 | 
| Mean | 0.080 | −0.113 | −0.215 | −0.128 | 0.030 | −0.220 | 
| Röhss Bay | ||||||
| (99) | 0.077 | −0.085 | 0.022 | |||
| G302028E64232S (97) | 0.170 | −0.084 | −0.312 | −3.004 | ||
| G302020E64160S (95) | 0.157 | −0.274 | −0.035 | −1.436 | ||
| Röhss Bay East (93) | 0.125 | −0.161 | −0.052 | |||
| Röhss Bay North (90–92) | 0.057 | −0.430 | −0.267 | |||
| G301629E64129S (87) | 0.038 | −0.074 | −0.012 | −0.033 | ||
| Röhss Bay (Ice shelf) | −28.955 | |||||
| Mean | 0.104 | −0.184 | −0.110 | |||
| Ulu Peninsula | ||||||
| G301636E64062S (89) | 0.067 | −0.012 | −0.068 | −0.002 | −0.025 | −0.096 | 
| G301659E64016S (78) | 0.052 | −0.011 | 0.066 | 0.122 | −0.022 | |
| G301912E63989S (72) | 0.085 | −0.086 | −0.020 | −0.152 | −0.137 | −0.130 | 
| G301946E63935S (27) | 0.067 | −0.057 | −0.091 | −0.054 | −0.060 | −0.144 | 
| G302104E64073S (58) | 0.089 | −0.005 | −0.017 | −0.075 | ||
| Mean | 0.072 | −0.040 | −0.047 | −0.036 | −0.023 | −0.093 | 
| Whole studied area of James Ross Island | ||||||
| Mean | 0.077 | −1.646 | −0.093 | −0.039 | ||
| (without Röhss Bay) | 0.069 | −0.079 | −0.128 | −0.065 | −0.016 | −0.151 | 
| GLIMS ID (ID in Davies et al. 2012) | Ratio Area Plateau/Outlet | Frontal Glacier Width (km) | 
|---|---|---|
| James Ross Island North/East | ||
| G302417E64049S (67) | 1.79 | 1.09 | 
| G302479E64128S (136) | 10.04 | 2.33 | 
| G302771E64094S (132) | 0.59 | 1.71 | 
| G302783E64108S (131) | 0.92 | |
| G302579E64173S (128) | 1.75 | 3.37 | 
| G302503E64208S (124) | 2.48 | 1.90 | 
| G302436E64248S (123) | 1.44 | 1.97 | 
| G302547E64322S (123b) | 0.45 | 0.80 | 
| James Ross Island South | ||
| G302603E64361S (121) | 0.09 | 1.28 | 
| G302508E64342S (119) | 0.071 | 1.67 | 
| G302425E64325S (118) | 1.50 | 3.13 | 
| G302333E64350S (117) | 0.77 | 2.94 | 
| G302228E64270S (115) | 2.69 | 5.03 | 
| G302012E64324S (108) | 0.97 | 6.01 | 
| G301861E64353S (106) | 1.11 | 1.92 | 
| Röhss Bay | ||
| (99) | 7.48 | 1.96 | 
| G302028E64232S (97) | 5.64 | 3.14 | 
| G302020E64160S (95) | 5.81 | 3.68 | 
| Röhss Bay East (93) | 3.40 | |
| Röhss Bay North (90–92) | 14.13 | |
| G301629E64129S (87) | 1.30 | |
| Ulu Peninsula | ||
| G301636E64062S (89) | 2.24 | |
| G301659E64016S (78) | 1.07 | |
| G301912E63989S (72) | 2.66 | |
| G301946E63935S (27) | 2.46 | |
| G302104E64073S (58) | 1.36 | |
© 2019 by the authors. Licensee MDPI, Basel, Switzerland. This article is an open access article distributed under the terms and conditions of the Creative Commons Attribution (CC BY) license (http://creativecommons.org/licenses/by/4.0/).
Share and Cite
Lippl, S.; Friedl, P.; Kittel, C.; Marinsek, S.; Seehaus, T.C.; Braun, M.H. Spatial and Temporal Variability of Glacier Surface Velocities and Outlet Areas on James Ross Island, Northern Antarctic Peninsula. Geosciences 2019, 9, 374. https://doi.org/10.3390/geosciences9090374
Lippl S, Friedl P, Kittel C, Marinsek S, Seehaus TC, Braun MH. Spatial and Temporal Variability of Glacier Surface Velocities and Outlet Areas on James Ross Island, Northern Antarctic Peninsula. Geosciences. 2019; 9(9):374. https://doi.org/10.3390/geosciences9090374
Chicago/Turabian StyleLippl, Stefan, Peter Friedl, Christoph Kittel, Sebastián Marinsek, Thorsten C. Seehaus, and Matthias H. Braun. 2019. "Spatial and Temporal Variability of Glacier Surface Velocities and Outlet Areas on James Ross Island, Northern Antarctic Peninsula" Geosciences 9, no. 9: 374. https://doi.org/10.3390/geosciences9090374
APA StyleLippl, S., Friedl, P., Kittel, C., Marinsek, S., Seehaus, T. C., & Braun, M. H. (2019). Spatial and Temporal Variability of Glacier Surface Velocities and Outlet Areas on James Ross Island, Northern Antarctic Peninsula. Geosciences, 9(9), 374. https://doi.org/10.3390/geosciences9090374
        
