The Influence of the Mineralogical Composition of Ultramafic Rocks on Their Engineering Performance: A Case Study from the Veria-Naousa and Gerania Ophiolite Complexes (Greece)
Abstract
1. Introduction
2. Geological Setting
2.1. The Veria-Naousa Ophiolite Complex
2.2. The Gerania Ophiolite Complex
3. Materials and Methods
4. Results
4.1. Petrographic Features
4.1.1. Microscopic Observations
4.1.2. XRD Analysis
4.2. Surface Texture
4.3. Engineering Properties of Aggregates
4.3.1. Physical and Physicochemical Properties
4.3.2. Mechanical Properties
5. Discussion
5.1. The Influence of Mineralogical Composition on the Physical and Physicochemical Properties
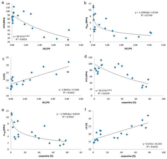
5.2. The influence of Mineralogical Composition on the Mechanical Properties
6. Conclusions
Author Contributions
Acknowledgments
Conflicts of Interest
References
- Escartin, J.; Hirth, G.; Evans, B. Strength of slightly serpentinized peridotites: Implications for the tectonics of oceanic lithosphere. Geology 2001, 29, 1023–1026. [Google Scholar] [CrossRef]
- Rigopoulos, I.; Tsikouras, B.; Pomonis, P.; Hatzipanagiotou, K. The influence of alteration on the engineering properties of dolerites: The example from the Pindos and Vourinos ophiolites (northern Greece). Int. J. Rock Mech. Min. Sci. 2010, 47, 69–80. [Google Scholar] [CrossRef]
- Rigopoulos, I.; Tsikouras, B.; Pomonis, P.; Hatzipanagiotou, K. Assessment of the engineering behavior of ultramafic and mafic rocks using chemical indices. Eng. Geol. 2015, 196, 222–237. [Google Scholar] [CrossRef]
- Petrounias, P.; Rogkala, A.; Kalpogiannaki, M.; Tsikouras, B.; Hatzipanagiotou, K. Comparative study of physico-mechanical properties of ultrabasic rocks (Veria-Naousa ophiolite) and andesites from central Macedonia (Greece). Bull. Geol. Soc. Gr. 2016, 50, 1989–1998. [Google Scholar]
- Petrounias, P.; Giannakopoulou, P.P.; Rogkala, A.; Stamatis, P.M.; Tsikouras, B.; Papoulis, D.; Lampropoulou, P.; Hatzipanagiotou, K. The Influence of Alteration of Aggregates on the Quality of the Concrete: A Case Study from Serpentinites and Andesites from Central Macedonia (North Greece). Geosciences 2018, 8, 115. [Google Scholar] [CrossRef]
- Smith, M.R.; Collis, L. Aggregates: Sand, Gravel and Crushed Rock Aggregates for Construction Purposes; Special Publications 17; Geological Society: London, UK, 2001. [Google Scholar]
- Pomonis, P.; Rigopoulos, I.; Tsikouras, B.; Hatzipanagiotou, K. Relationships between petrographic and physicomechanical properties of basic igneous rocks from the Pindos ophiolitic complex, NW Greece. Bull. Geol. Soc. Greece 2007, 2, 947–958. [Google Scholar] [CrossRef]
- Yilmaz, M.; Goktan, R.M.; Kibici, Y. Relations between some quantitative petrographic characteristics and mechanical strength properties of granitic building stones. Int. J. Rock Mech. Min. Sci. 2011, 48, 506–513. [Google Scholar] [CrossRef]
- Yilmaz, M.; Turgul, A. The effect of different sandstone aggregates on concrete strength. Constr. Build. Mater. 2012, 35, 294–303. [Google Scholar] [CrossRef]
- Giannakopoulou, P.P.; Tsikouras, B.; Hatzipanagiotou, K. The interdependence of mechanical properties of ultramafic rocks from Gerania ophiolitic complex. Bull. Geol. Soc. Greece 2016, 50, 1829–1837. [Google Scholar] [CrossRef]
- Tandon, R.S.; Gupta, V. The control of mineral constituents and textural characteristics on the petrophysical and mechanical (PM) properties of different rocks of the Himalaya. Eng. Geol. 2013, 153, 125–143. [Google Scholar] [CrossRef]
- Ündül, Ö. Assessment of mineralogical and petrographic factors affecting petro-physical properties, strength and cracking processes of volcanic rocks. Eng. Geol. 2016, 210, 10–22. [Google Scholar] [CrossRef]
- Cowie, S.; Walton, G. The effect of mineralogical parameters on the mechanical properties of granitic rocks. Eng. Geol. 2018. [Google Scholar] [CrossRef]
- Ioannou, I.; Fournari, R.; Petrou, M.F. Testing the Soundness of aggregates using different methologies. Constr. Build. Mater. 2013, 40, 604–610. [Google Scholar] [CrossRef]
- Arel, E.; Turgul, A. Weathering and its relation to geomechanical properties of Gavusbasi granitic rocks in northwestern Turkey. Bull. Eng. Geol. Environ. 2001, 60, 123–133. [Google Scholar]
- Ceryan, S.; Tudes, S.; Ceryan, N. Influence of weathering on the engineering properties of Harsit granitic rocks (NE Turkey). Bull. Eng. Geol. Environ. 2008, 67, 97–104. [Google Scholar] [CrossRef]
- Das, A.; Krishnaswami, S.; Sarin, M.M.; Pande, K. Chemical weathering in the Krishna Basin and Western Ghats of the Deccan Traps, India: Rates of basalt weathering and their controls. Geochim. Cosmochim. Acta 2005, 69, 2067–2084. [Google Scholar] [CrossRef]
- Orhan, M.; Isik, N.; Topal, T.; Ozer, M. Effect of weathering on the geomechanical properties of andesite, Ankara-Turkey. Environ. Geol. 2006, 50, 85–100. [Google Scholar] [CrossRef]
- Cascini, L.; Nocera, S.; Critelli, S.; Gulla, G.; Matano, F. Weathering and land sliding in Sila Massif gneiss (Northern Calabria, Italy). In Proceedings of the 7th International Congress-International Association of Engineering Geology, Rotterdam, The Netherlands, 5–9 September 1994; pp. 1613–1622. [Google Scholar]
- Price, J.R.; Velbel, M.A. Chemical weathering indices applied to weathering profiles developed on heterogeneous felsic metamorphic parent rocks. Chem. Geol. 2003, 202, 397–416. [Google Scholar] [CrossRef]
- Augustin, N.; Lackschewitz, K.S.; Kuhn, T.; Devey, C.W. Mineralogical and chemical mass changes in mafic and ultramafic rocks from the Logatchev hydrothermal field (MAR 15°N). Mar. Geol. 2008, 256, 18–29. [Google Scholar] [CrossRef]
- Diamantis, K.; Gartzos, E.; Migiros, G. Study on uniaxial compressive strength, point load strength index, dynamic and physical properties of serpentinites from Central Greece: Test results and empirical relations. Eng. Geol. 2009, 108, 199–207. [Google Scholar] [CrossRef]
- Rigopoulos, I.; Tsikouras, B.; Pomonis, P.; Hatzipanagiotou, K. The impact of petrographic characteristics on the engineering properties of ultrabasic rocks from northern and central Greece. Q. J. Eng. Geol. Hydrogeol. 2012, 45, 423–433. [Google Scholar] [CrossRef]
- Undul, O.; Turgul, A. The influence of weathering on the engineering properties of dunites. Rock Mech. Rock Eng. 2012, 45, 225–239. [Google Scholar] [CrossRef]
- Deschamps, F.; Godard, M.; Guillot, S.; Hattori, K. Geochemistry of subduction zone serpentinites: A review. Lithos 2013, 178, 96–127. [Google Scholar] [CrossRef]
- Shervais, J.W.; Kolesar, P.; Andreasen, K. Afield and chemical study of serpentinization—Stonyford, California: Chemical flux and mass balance. Int. Geol. Rev. 2005, 47, 1–23. [Google Scholar] [CrossRef]
- Malvoisin, B. Mass transfer in the oceanic lithosphere: Serpentinization is not isochemical. Earth Planet. Sci. Lett. 2015, 430, 75–85. [Google Scholar] [CrossRef]
- Sleep, N.H.; Meibom, A.; Fridriksson, T.; Coleman, R.G.; Bird, D.K. H2-rich fluids from serpentinization: Geochemical and biotic implications. Proc. Natl. Acad. Sci. USA 2004, 101, 12818–12823. [Google Scholar] [CrossRef] [PubMed]
- Reynard, B. Serpentine in active subduction zones. Lithos 2013, 178, 171–185. [Google Scholar] [CrossRef]
- Guillot, S.; Hattori, K.H.; Sigoyer, J.; Nagler, T.; Auzende, A.L. Evidence of hydration of the mantle wedge and its role in the exhumation of eclogites. Earth Planet. Sci. Lett. 2001, 193, 115–127. [Google Scholar] [CrossRef]
- Maffione, M.; Thieulot, C.; Hinsbergen, D.J.J.; Morris, A.; Plümper, O.; Spakman, W. Dynamics of intraoceanic subduction initiation: 1. oceanic detachment fault inversion and the formation of supra-subduction zone ophiolites. Geochem. Geophys. 2015, 16, 1753–1770. [Google Scholar] [CrossRef]
- Guillot, S.; Schwartz, S.; Reynard, B.; Agard, P.; Prigent, C. Tectonic significance of serpentinites. Tectonophysics 2015, 646, 1–19. [Google Scholar] [CrossRef]
- Mercier, J.; Vergely, P.; Bebien, J. Les ophiolites helleniques “obductees” au Jurassique superieursont-elles les vestiges d’ un ocean tethysienou d’ une mermarginale perieuropeenne. C. R. Somm. Soc. Geol. Fr. 1975, 17, 108–112. [Google Scholar]
- Saccani, E.; Photiades, A.; Santato, A.; Zeda, O. New evidence for supra-subduction zone ophiolites in the Vardar zone of northern Greece: Implications for the tectonomagmatic evolution of the Vardar oceanic basin. Ofioliti 2008, 33, 65–85. [Google Scholar]
- Rogkala, A.; Petrounias, P.; Tsikouras, B.; Hatzipanagiotou, K. Petrogenetic significance of spinel from serpentinised peridotites from Veria-Naousa ophiolite. Bull. Geol. Soc. Gr. 2016, 50, 1999–2008. [Google Scholar]
- Rogkala, A.; Petrounias, P.; Tsikouras, B.; Hatzipanagiotou, K. New occurrence of pyroxenites in the Veria-Naousa ophiolite (North Greece): Implications on their origin and petrogenetic evolution. Geosciences 2017, 7, 92. [Google Scholar] [CrossRef]
- Brunn, J.H. Geological Map of Greece, Veroia Sheet, 1:50.000; IGME: Athens, Greece, 1982. [Google Scholar]
- Clément, B. Découverte d’un flysch éocrétacé en Béotie (Grèce continentale). C. R. Acad. Sci. 1971, 272, 791–792. [Google Scholar]
- Bornovas, J. Geological Map of Greece, Kapareli Sheet, 1:50.000; IGME: Athens, Greece, 1981. [Google Scholar]
- Clément, B. Evolution Géodynamique d’un Secteur des Hellénides Internes: L’Attique-Béotie (Gréce Continentale). Ph.D. Thesis, University Lille, Lille, France, 1983. [Google Scholar]
- Vacondios, I. Etude Metallogenique des Chromites Liees aux Ophiolites de Type Mediterranee Occdentale ou orientale: Le chromites de Tinos et des Gerannees. Ph.D. Thesis, University of Patras, Patras, Greece, 1997. [Google Scholar]
- Danelian, T.; Robertson, A.H.F. Palaeogeographic implications of the age of radiolarian-rich sediments in Beotia (Greece). Bull. Geol. Soc. Gr. 1998, 32, 21–29. [Google Scholar]
- Part 1: Composition, Specifications and Conformity Criteria for Common Cements; EN 932-1; European Standard: Pilsen, Czech Republic, 2011.
- Part 3: Procedure and Terminology for Simplified Petrographic Description; EN 932; European Standard: Pilsen, Czech Republic, 1996.
- Bish, D.L.; Post, J.E. Quantitative mineralogical analysis using the Rietveld full pattern fitting method. Am. Mineral. 1993, 78, 932–940. [Google Scholar]
- BSI (British Standards Institution). Part 1: Methods for Determination of Particle Size and Shape. In Methods for Sampling and Testing of Mineral Aggregates, Sands and Fillers; BSI: London, UK, 1975. [Google Scholar]
- AASHTO (American Association of State Highway and Transportation Officials). Standard Method of Test for Total Evaporable Moisture Content of Aggregate by Drying; T255; AASHTO: Washington, DC, USA, 2000. [Google Scholar]
- Brown, E. (Ed.) ISRM Suggested Methods. In “Rock Characterization Testing and Monitoring”; Pergamon Press: Oxford, UK, 1981. [Google Scholar]
- ASTM. Resistance to Abrasion of Small-Size Coarse Aggregate by Use of the Los Angeles Machine; ASTM C-131; American Society for Testing and Materials: Philadelphia, PA, USA, 1989. [Google Scholar]
- Tests for Thermal and Weathering Properties of Aggregates—Part 2: Magnesium Sulfate Test; EN 1367-2; European Committee for Standardization: Brussels, Belgium, 1999.
- ASTM. Standard Test Method of Unconfined Compressive Strength of Intact Rock Core Specimens; ASTM D-2938; American Society for Testing and Materials: Philadelphia, PA, USA, 1986. [Google Scholar]
- ISRM Suggested method for determining point load strength. Int. J. Rock Mech Min. Sci. Geomech. Abstr. 1985, 22, 51–62.
- Zorlu, K.; Ulusay, R.; Ocakoglu, F.; Gokceoglu, C.; Sommez, H. Predicting intact rock properties of selected sandstones using petrographic thin-section data. Int. J. Rock Mech. Min. Sci. 2004, 41, 93–98. [Google Scholar] [CrossRef]
- Sajid, M.; Coggan, J.; Arif, M.; Andersen, J.; Rollinson, G. Petrographic features as an effective indicator for the variation in strength of granites. Eng. Geol. 2016, 202, 44–54. [Google Scholar] [CrossRef]
- Christensen, N.I. Serpentinites, peridotites and seismology. Int. Geol. Rev. 2004, 46, 795–816. [Google Scholar] [CrossRef]
- Undul, O.; Turgul, A. On the variations of geo-engineering properties of dunites and diorites related to weathering. Environ. Earth Sci. 2016, 75, 1326. [Google Scholar] [CrossRef]
- Frost, B.R.; Beard, J.S. On silica activity and serpentinization. J. Petrol. 2007, 48, 1351–1368. [Google Scholar] [CrossRef]
- Evans, B.W. Control of the products of serpentinization by the Fe2+Mg-1 exchange potential of olivine and orthopyroxene. J. Petrol. 2008, 49, 1873–1887. [Google Scholar] [CrossRef]
- Diamantis, K.; Gartzos, E.; Migiros, G. Influence of petrographic characteristics on physico-mechanical properties of ultrabasic rocks from central Greece. Bull. Eng. Geol. Environ. 2014, 73, 1273–1292. [Google Scholar] [CrossRef]
- Rigopoulos, I.; Tsikouras, B.; Pomonis, P.; Hatzipanagiotou, K. Microcracks in ultrabasic rocks under uniaxial compressive stress. Eng. Geol. 2011, 117, 104–113. [Google Scholar] [CrossRef]
- Koohmishi, M.; Palassi, M. Evaluation of morphological properties of railway ballast particles by image processing method. Transp. Geot. 2017, 12, 15–25. [Google Scholar] [CrossRef]
- Sabey, B.E. Road surface characteristics and skidding resistance. J. Br. Granite Whinstone Fed. 1965, 5, 7–20. [Google Scholar] [CrossRef]








| Lithology | Samples | ol | opx | cpx | sp | mgt | chl | talc | bruc | ath | Srp | SEC/PR |
|---|---|---|---|---|---|---|---|---|---|---|---|---|
| Serpentinized harzburgite | BE.01B | 3.0 | 9.5 | 0.0 | 7.0 | 2.5 | 0.0 | 0.0 | 0.0 | 0.0 | 78.0 | 4.13 |
| Serpentinized harzburgite | BE.12B | 9.6 | 19.0 | 2.0 | 9.5 | 4.9 | 0.0 | 0.0 | 0.0 | 0.0 | 55.0 | 1.49 |
| Serpentinized lherzolite | BE.102 | 3.0 | 11.0 | 7.0 | 2.5 | 1.5 | 0.0 | 0.0 | 0.0 | 0.0 | 75.0 | 3.26 |
| Serpentinized lherzolite | BE.103B | 9.0 | 8.4 | 6.1 | 6.5 | 0.0 | 0.0 | 0.0 | 0.0 | 0.0 | 70.0 | 2.33 |
| Serpentinized harzburgite | BE.122 | 0.0 | 11.5 | 0.0 | 8.2 | 3.3 | 7.8 | 0.0 | 0.0 | 0.0 | 69.2 | 4.08 |
| Ol-orthopyroxenite | BE.67 | 5.0 | 83.8 | 9.2 | 0.0 | 0.0 | 0.0 | 0.0 | 0.0 | 0.8 | 1.2 | 1.38 |
| Ol-orthopyroxenite | BE.67B | 5.4 | 81.1 | 12.0 | 0.0 | 0.0 | 0.0 | 0.0 | 0.0 | 0.0 | 1.5 | 0.03 |
| Serpentinized dunite | GE.17 | 40.5 | 0.0 | 0.0 | 1.6 | 0.0 | 0.0 | 0.0 | 17.9 | 0.0 | 40.0 | 0.92 |
| Lherzolite | GE.25 | 51.4 | 19.0 | 17.9 | 8.5 | 0.0 | 0.0 | 0.0 | 0.0 | 0.0 | 3.0 | 0.09 |
| Serpentinized lherzolite | GE.26 | 18.4 | 19.0 | 11.6 | 3.0 | 0.0 | 0.0 | 0.0 | 0.0 | 0.0 | 48.0 | 0.05 |
| Harzburgite | GE.28 | 60.5 | 24.0 | 3.89 | 3.5 | 1.5 | 0.0 | 0.0 | 0.0 | 0.0 | 6.6 | 0.14 |
| Lherzolite | GE.30 | 51.4 | 16.7 | 17.9 | 8.7 | 0.0 | 0.0 | 0.0 | 0.0 | 0.0 | 5.2 | 0.12 |
| Lherzolite | GE.31 | 46.5 | 14.6 | 19.3 | 7.1 | 0.0 | 0.0 | 2.4 | 0.0 | 0.0 | 10.0 | 0.05 |
| Lherzolite | GE.32 | 50.0 | 16.5 | 14.0 | 8.5 | 0.0 | 0.0 | 0.0 | 0.0 | 0.0 | 11.0 | 0.43 |
| Lherzolite | GE.33 | 51.4 | 17.0 | 17.9 | 8.5 | 0.0 | 0.0 | 0.0 | 0.0 | 0.0 | 5.0 | 0.86 |
| Dunite | GE.34 | 50.0 | 18.0 | 0.0 | 2.0 | 0.0 | 0.0 | 0.0 | 0.0 | 0.0 | 30.0 | 0.12 |
| Serpentinized dunite | GE.37 | 43.7 | 3.9 | 0.0 | 6.3 | 4.6 | 0.0 | 6.5 | 0.0 | 0.0 | 35.0 | 0.01 |
| Lherzolite | GE.39 | 56.2 | 15.1 | 14.9 | 3.2 | 0.0 | 0.0 | 0.0 | 0.0 | 0.0 | 10.6 | 0.02 |
| Lithology | Samples | w (%) | nt (%) | S (%) |
|---|---|---|---|---|
| Serpentinized harzburgite | BE.01B | 2.58 | 6.49 | 75.34 |
| Serpentinized harzburgite | BE.12B | 2.18 | 3.30 | 25.20 |
| Serpentinized lherzolite | BE.102 | 2.00 | 4.00 | 36.46 |
| Serpentinized lherzolite | BE.103B | 1.94 | 4.99 | 75.12 |
| Serpentinized harzburgite | BE.122 | 1.25 | 3.21 | 30.00 |
| Ol-orthopyroxenite | BE.67 | 0.41 | 1.18 | 12.90 |
| Ol-orthopyroxenite | BE.67B | 0.45 | 1.30 | 13.10 |
| Serpentinized dunite | GE.17 | 0.90 | 1.56 | 14.62 |
| Lherzolite | GE.25 | 0.04 | 0.78 | 17.49 |
| Serpentinized lherzolite | GE.26 | 0.40 | 0.91 | 20.00 |
| Harzburgite | GE.28 | 0.08 | 0.42 | 11.76 |
| Lherzolite | GE.30 | 0.25 | 0.92 | 12.33 |
| Lherzolite | GE.31 | 0.22 | 0.53 | 18.06 |
| Lherzolite | GE.32 | 0.16 | 0.89 | 14.39 |
| Lherzolite | GE.33 | 0.08 | 0.16 | 14.37 |
| Dunite | GE.34 | 0.36 | 0.76 | 13.45 |
| Serpentinized dunite | GE.37 | 0.43 | 0.76 | 22.82 |
| Lherzolite | GE.39 | 0.25 | 0.89 | 18.02 |
| Lithology | Samples | LA (%) | UCS (MPa) (N = 6) | Is(50) (MPa) (N = 3) |
|---|---|---|---|---|
| Serpentinized harzburgite | BE.01B | 32.00 | 51.00 | 2.76 |
| Serpentinized harzburgite | BE.12B | 25.16 | 55.40 | 1.88 |
| Serpentinized lherzolite | BE.102 | 24.00 | 28.00 | 1.55 |
| Serpentinized lherzolite | BE.103B | 28.97 | 32.00 | 1.16 |
| Serpentinized harzburgite | BE.122 | 25.51 | 25.45 | 3.00 |
| Ol-orthopyroxenite | BE.67 | 14.22 | 85.70 | 11.26 |
| Ol-orthopyroxenite | BE.67B | 14.55 | 84.20 | 10.80 |
| Serpentinized dunite | GE.17 | 20.30 | 93.05 | 3.46 |
| Lherzolite | GE.25 | 15.89 | 79.00 | 6.92 |
| Serpentinized lherzolite | GE.26 | 19.63 | 66.00 | 7.30 |
| Harzburgite | GE.28 | 15.73 | 86.20 | 3.28 |
| Lherzolite | GE.30 | 16.61 | 75.00 | 3.84 |
| Lherzolite | GE.31 | 22.20 | 111.63 | 8.84 |
| Lherzolite | GE.32 | 22.01 | 97.00 | 3.93 |
| Lherzolite | GE.33 | 20.92 | 69.12 | 8.45 |
| Dunite | GE.34 | 17.51 | 88.86 | 5.38 |
| Serpentinized dunite | GE.37 | 17.36 | 100.00 | 4.22 |
| Lherzolite | GE.39 | 19.76 | 95.39 | 4.61 |
| Pairs | t-test | dF | p-value | t-tables | ||
|---|---|---|---|---|---|---|
| α = 0.01 | α = 0.02 | α = 0.05 | ||||
| SEC/PR-w | 1.552 | 17 | 0.1391 | 2.898 | 2.567 | 2.110 |
| SEC/PR-nt | –3.657 | 17 | 0.0019 | 2.898 | 2.567 | 2.110 |
| SEC/PR-S | –5.436 | 17 | 0.00004 | 2.898 | 2.567 | 2.110 |
| Serpentine-w | –3.334 | 17 | 0.039 | 2.898 | 2.567 | 2.110 |
| Serpentine-nt | –4.163 | 17 | 0.006 | 2.898 | 2.567 | 2.110 |
| Serpentine-S | –5.372 | 17 | 0.00005 | 2.898 | 2.567 | 2.110 |
| Pairs | t-test | dF | p-value | t-tables | ||
|---|---|---|---|---|---|---|
| α = 0.01 | α = 0.02 | α = 0.05 | ||||
| SEC/PR-UCS | −11.419 | 17 | 2.1 × 10−9 | 2.898 | 2.567 | 2.110 |
| SEC/PR-Is(50) | −4.196 | 17 | 0.0006 | 2.898 | 2.567 | 2.110 |
| SEC/PR-LA | −21.148 | 17 | 1.2 × 10−13 | 2.898 | 2.567 | 2.110 |
| Serpentine-UCS | −11.956 | 17 | 1.06 × 10−9 | 2.898 | 2.567 | 2.110 |
| Serpentine-Is(50) | −6.241 | 17 | 9 × 10−6 | 2.898 | 2.567 | 2.110 |
| Serpentine-LA | −18.182 | 17 | 1.41 × 10−12 | 2.898 | 2.567 | 2.110 |
© 2018 by the authors. Licensee MDPI, Basel, Switzerland. This article is an open access article distributed under the terms and conditions of the Creative Commons Attribution (CC BY) license (http://creativecommons.org/licenses/by/4.0/).
Share and Cite
Giannakopoulou, P.P.; Petrounias, P.; Rogkala, A.; Tsikouras, B.; Stamatis, P.M.; Pomonis, P.; Hatzipanagiotou, K. The Influence of the Mineralogical Composition of Ultramafic Rocks on Their Engineering Performance: A Case Study from the Veria-Naousa and Gerania Ophiolite Complexes (Greece). Geosciences 2018, 8, 251. https://doi.org/10.3390/geosciences8070251
Giannakopoulou PP, Petrounias P, Rogkala A, Tsikouras B, Stamatis PM, Pomonis P, Hatzipanagiotou K. The Influence of the Mineralogical Composition of Ultramafic Rocks on Their Engineering Performance: A Case Study from the Veria-Naousa and Gerania Ophiolite Complexes (Greece). Geosciences. 2018; 8(7):251. https://doi.org/10.3390/geosciences8070251
Chicago/Turabian StyleGiannakopoulou, Panagiota P., Petros Petrounias, Aikaterini Rogkala, Basilios Tsikouras, Panagiotis M. Stamatis, Panagiotis Pomonis, and Konstantin Hatzipanagiotou. 2018. "The Influence of the Mineralogical Composition of Ultramafic Rocks on Their Engineering Performance: A Case Study from the Veria-Naousa and Gerania Ophiolite Complexes (Greece)" Geosciences 8, no. 7: 251. https://doi.org/10.3390/geosciences8070251
APA StyleGiannakopoulou, P. P., Petrounias, P., Rogkala, A., Tsikouras, B., Stamatis, P. M., Pomonis, P., & Hatzipanagiotou, K. (2018). The Influence of the Mineralogical Composition of Ultramafic Rocks on Their Engineering Performance: A Case Study from the Veria-Naousa and Gerania Ophiolite Complexes (Greece). Geosciences, 8(7), 251. https://doi.org/10.3390/geosciences8070251

