One-Dimensional Nonlinear Seismic Response Analysis Using Strength-Controlled Constitutive Models: The Case of the Leaning Tower of Pisa’s Subsoil
Abstract
:1. Introduction
2. Subsoil
2.1. Geological Description of the Study Area
2.2. Geotechnical Model of the Leaning Tower of Pisa Subsoil
3. Seismic Input
- Definition of a Uniform Hazard Spectrum (UHS) obtained by means of a Probabilistic Seismic Hazard Assessment [19] using one or more Ground Motion Predictive Equation (GMPE);
- Disaggregation of the seismic hazard to obtain the most likely combinations of M and R for a given return period (RP) [20];
- Definition of a Scenario Earthquake selected from the seismic catalogue, compatible with the previously defined UHS, and evaluated with the same GMPEs of point 1.
4. Site Response Analysis
4.1. Seismic Response Analyses with Equivalent-Linear Models
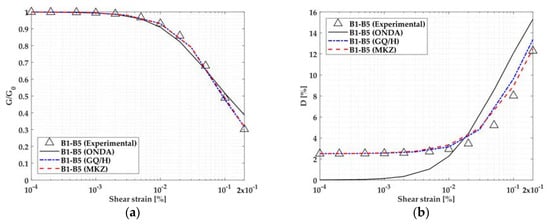
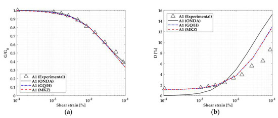
4.2. Seismic Response Analyses with Nonlinear Models
4.3. Seismic Response Analysis Results
5. Closing Remarks
Author Contributions
Acknowledgments
Conflicts of Interest
References
- Squeglia, N.; Bentivoglio, G. Role of Monitoring in Historical Building Restoration: The Case of Leaning Tower of Pisa. Int. J. Archit. Herit. 2015, 9, 38–47. [Google Scholar] [CrossRef]
- Burland, J.B.; Jamiolkowski, M.; Viggiani, C. The stabilization of the Leaning Tower of Pisa. Soil. Found. 2003, 43, 63–80. [Google Scholar] [CrossRef]
- Macchi, G.; Ghelfi, S. Problemi di consolidamento strutturale. In La Torre Restituita; Settis, A., Ed.; Poligrafico dello Stato: Rome, Italy, 2005. [Google Scholar]
- Bartelletti, R.; Fiorentino, G.; Lanzo, G.; Lavorato, D.; Marano, G.C.; Monti, G.; Nuti, C.; Quaranta, G.; Sabetta, F.; Squeglia, N. Behavior of the Leaning Tower of Pisa: Insights on Seismic Input and Soil-Structure Interaction. Appl. Mech. Mater. 2016, 847, 454–462. [Google Scholar] [CrossRef]
- Bartelletti, R.; Fiorentino, G.; Lanzo, G.; Lavorato, D.; Marano, G.C.; Monti, G.; Nuti, C.; Quaranta, G.; Sabetta, F.; Squeglia, N. Dynamic Soil Structure interaction of the Leaning Tower of Pisa. In Proceedings of the DISS—Dynamic Interaction of Soil and Structure the 4th International Workshop, Rome, Italy, 12–13 November 2015. [Google Scholar]
- Fiorentino, G.; Lavorato, D.; Quaranta, G.; Pagliaroli, A.; Carlucci, G.; Nuti, C.; Sabetta, F.; Della Monica, G.; Piersanti, M.; Lanzo, G.; et al. Numerical and experimental analysis of the leaning Tower of Pisa under earthquake. Procedia Eng. 2017, 199, 3350–3355. [Google Scholar] [CrossRef]
- Angina, A.; Steri, A.; Stacul, S.; Lo Presti, D. Free-Field Seismic Response Analysis: The Piazza dei Miracoli in Pisa Case Study. Int. J. Geotech. Earthq. Eng. 2018, 9. [Google Scholar] [CrossRef]
- Matasovic, N. Seismic Response of Composite Horizontally-Layered Soil Deposits, Ph.D. Thesis, University of California, Los Angeles, CA, USA, 1993. [Google Scholar]
- Consorzio Lamma Geological Maps 100k and 250k. Available online: http://159.213.57.101/geologia/map.phtml?winsize=medium&language=it&config=concessioni (accessed on 12 April 2018).
- Regione Toscana Geoscopio. Available online: http://www502.regione.toscana.it/geoscopio/geologia.html (accessed on 12 April 2018).
- Viggiani, C.; Pepe, M. Il Sottosuolo della Torre. In La Torre Restituita; Gli studi e gli interventi che hanno consentito la stabilizzazione della Torre di Pisa; Poligrafico dello Stato: Rome, Italy, 2005. [Google Scholar]
- Fiorentino, G.; Lavorato, D.; Quaranta, G.; Pagliaroli, A.; Carlucci, G.; Sabetta, F.; Della Monica, G.; Lanzo, G.; Aprile, V.; Marano, G.C.; et al. Leaning Tower of Pisa: Uncertainty reduction for seismic risk assessment through dynamic monitoring, site response analysis and soil-structure interaction modelling. Earthq. Spectra 2018. under review. [Google Scholar]
- Grandori, G.; Faccioli, E. Studio per la Definizione del Terremoto di Verifica per le Analisi Sulla Torre di Pisa—Relazione Finale; Comitato per gli interventi di consolidamento e restauro della Torre di Pisa, Incarico Prot: Roman, Italy, 1993. [Google Scholar]
- Raptakis, D.; Makra, K. Shear wave velocity structure in western Thessaloniki (Greece) using mainly alternative SPAC method. Soil Dyn. Earthq. Eng. 2010, 30, 202–214. [Google Scholar] [CrossRef]
- Rovithis, E.; Kirtas, E.; Bliziotis, D.; Maltezos, E.; Pitilakis, D.; Makra, K.; Savvaidis, A.; Karakostas, C.; Lekidis, V. A LiDAR-aided urban-scale assessment of soil-structure interaction effects: The case of Kalochori residential area (N. Greece). Bull. Earthq. Eng. 2017, 15, 4821–4850. [Google Scholar] [CrossRef]
- Progetto INGV-DPC S1 Proseguimento della Assistenza al DPC per il Completamento e la Gestione della Mappa di Pericolosità Sismica Prevista dall’Ordinanza PCM 3274 e Progettazione di Ulteriori Sviluppi. Convenzione INGV-DPC (2004–2006). Task 1—Completamento delle Elaborazion. Available online: http://esse1.mi.ingv.it (accessed on 12 April 2018).
- MIBAC. Linee Guida per la Valutazione e Riduzione del Rischio Sismico del Patrimonio Culturale Allineate alle Nuove Norme Tecniche per le Costruzioni (Circolare n.26 2010—Segretariato Generale); Special Recommendation for Cultural Heritage; Ministero dei Beni e delle Attività Culturali e del Turismo: Rome, Italy, 2011; pp. 5–8. (In Italian) [Google Scholar]
- Sabetta, F. Seismic hazard and design earthquakes for the central archaeological area of Rome. Bull. Earthq. Eng. 2014, 12, 1307–1317. [Google Scholar] [CrossRef]
- Cornell, C.A. Engineering seismic risk analysis. Bull. Seismol. Soc. Am. 1968, 58, 1583–1606. [Google Scholar]
- Bazzurro, P.; Allin Cornell, C. Disaggregation of seismic hazard. Bull. Seismol. Soc. Am. 1999, 89, 501–520. [Google Scholar]
- Rovida, A.; Locati, M.; Camassi, R.; Lolli, B.; Gasperini, P.; Azzaro, R.; Bernardini, F.; D’Amico, S.; Ercolani, E.; Rossi, A.; et al. CPTI15, the 2015 version of the Parametric Catalogue of Italian Earthquakes. Istituto Nazionale di Geofisica e Vulcanologia. Available online: https://emidius.mi.ingv.it/CPTI15-DBMI15/ (accessed on 12 April 2018).
- Akkar, S.; Bommer, J.J. Empirical Equations for the Prediction of PGA, PGV, and Spectral Accelerations in Europe, the Mediterranean Region, and the Middle East. Seismol. Res. Lett. 2010, 81, 195–206. [Google Scholar] [CrossRef]
- EN-1998-1. Eurocode 8—Design of Structures for Earthquake Resistance—Part 1: General Rules, Seismic Actions and Rules for Buildings; European Union: Brussels, Belgium, 2004. [Google Scholar]
- NTC. Nuove Norme Tecniche per le Costruzioni (DM 14/01/2008); Consiglio Superiore dei Lavori Pubblici: Rome, Italy, 2008. [Google Scholar]
- Luzi, L.; Puglia, R.; Russo, E.; D’Amico, M.; Felicetta, C.; Pacor, F.; Lanzano, G.; Çeken, U.; Clinton, J.; Costa, G.; et al. The Engineering Strong-Motion Database: A Platform to Access Pan-European Accelerometric Data. Seismol. Res. Lett. 2016, 87, 987–997. [Google Scholar] [CrossRef]
- Rollins, K.M.; Evans, M.D.; Diehl, N.B.; Daily, W.D., III. Shear Modulus and Damping Relationships for Gravels. J. Geotech. Geoenviron. Eng. 1998, 124, 396–405. [Google Scholar] [CrossRef]
- Darendeli, M.B. Development of a New Family of Normalized Modulus Reduction and Material Damping Curves. Ph.D. Thesis, The University of Texas at Austin, Austin, TX, USA, 2001. [Google Scholar]
- Kottke, A.R.; Rathje, E.M. Technical Manual for Strata; University of Texas: Austin, TX, USA, 2010. [Google Scholar]
- Hashash, Y.M.A.; Musgrove, M.I.; Harmon, J.A.; Groholski, D.R.; Phillips, C.A.; Park, D. DEEPSOIL 6.1. User Manual; Board of Trustees of University of Illinois at Urbana-Champaign, Urbana Google Scholar: Springfield, IL, USA, 2016. [Google Scholar]
- Groholski, D.R.; Hashash, Y.M.A.; Musgrove, M.; Harmon, J.; Kim, B. Evaluation of 1-D Non-linear Site Response Analysis using a General Quadratic/Hyperbolic Strength-Controlled Constitutive Model. In Proceedings of the 6th International Conference on Earthquake Geotechnical Engineering, Christchurch, New Zealand, 1–4 November 2015. [Google Scholar]
- Groholski, D.R.; Hashash, Y.M.A.; Kim, B.; Musgrove, M.; Harmon, J.; Stewart, J.P. Simplified Model for Small-Strain Nonlinearity and Strength in 1D Seismic Site Response Analysis Supplement Data. J. Geotech. Geoenviron. Eng. 2016, 142, 4016042. [Google Scholar] [CrossRef]
- Lo Presti, D.C.; Lai, C.G.; Puci, I. ONDA: Computer Code for Nonlinear Seismic Response Analyses of Soil Deposits. J. Geotech. Geoenviron. Eng. 2006, 132, 223–236. [Google Scholar] [CrossRef]
- Lo Presti, D.; Stacul, S. ONDA (One-dimensional Non-linear Dynamic Analysis): ONDA 1.4 User’s Manual Version 1.4. Available online: http://doi.org/10.13140/RG.2.2.32409.83043 (accessed on 12 April 2018).
- Idriss, I.M.; Sun, J.I. SHAKE91: A Computer Program for Conducting Equivalent Linear Seismic Response Analyses of Horizontally Layered Soil Deposits; University of California: Oakland, CA, USA, 1992. [Google Scholar]
- Chopra, A.K. Dynamics of Structures; Prentice Hall: Upper Saddle River, NJ, USA, 1995. [Google Scholar]
- Newmark, N.M. A Method of Computation for Structural Dynamics. J. Eng. Mech. Div. 1959, 85, 67–94. [Google Scholar]
- Ramberg, W.; Osgood, W.R. Description of Stress-Strain Curves by Three Parameters; National Advisory Committee for Aeronautics: Washington, DC, USA, 1943. [Google Scholar]
- Hardin, B.O.; Drnevich, V.P. Shear Modulus and Damping in Soils. J. Soil Mech. Found. Div. 1972, 98, 667–692. [Google Scholar]
- Masing, G. Eigenspannungen und Verfestigung beim Messing. In Proceedings of the 2nd International Congress of Applied Mechanics, Zürich, Switzerland, 12–17 September 1926. [Google Scholar]
- Tatsuoka, F.; Siddique, M.S.A.; Park, C.S.; Sakamoto, M.; Abe, F. Modelling stress-strain relations of sand. Soils Found. 1993, 33, 60–81. [Google Scholar] [CrossRef]
- Camelliti, A. Influenza dei Parametri del Terreno sulla Risposta Sismica dei Depositi. Ph.D. Thesis, Technical University of Turin, Department of Structural and Geotechnical Engineering, Turin, Italy, 1999. [Google Scholar]
- Squeglia, N.; Stacul, S.; Diddi, E. The restoration of San Paolo Church in Pisa: Geotechnical aspects. Riv. Ital. Geotec. 2015, 49, 58–69. [Google Scholar]



















| Hor. | Layer | USCS Class. | ΔH (m) | K0 (-) | OCR (-) | PI (%) | φ (°) | c‘ (kPa) | U.W. (kN/m3) | Vs (m/s) | G/G0-γ & D-γ Curves |
|---|---|---|---|---|---|---|---|---|---|---|---|
| MG | MG | - | 3.0 | - | - | - | - | - | 18.50 ± 0.80 | 180 | [26] Average curve |
| A | A1 | ML | 5.4 | 1.05 | 3.5 | 13 | 34 | 6.8 | 18.86 ± 0.72 | 180 | RC Test (2016) |
| A2 | SC-SM | 2.0 | 0.88 | 2.5 | 30 | 34 | 6.8 | 18.07 ± 0.85 | 180 | [27]-PI = 30, σ‘v = 0.55 bar | |
| B | B1 | CH | 3.5 | 0.62 | 2 | 43 | 26 | 2.4 | 17.00 ± 0.89 | 180 | RC tests |
| B2 | CH | 2.0 | 0.54 | 1.5 | 33 | 26 | 7.7 | 17.49 ± 0.57 | 180 | RC tests | |
| B3 | CH | 4.9 | 0.42 | 1.5 | 41 | 20 | 15.9 | 16.67 ± 0.58 | 180 | RC tests | |
| B4 | CH | 1.2 | 0.61 | 1.5 | 33 | 30 | 0 | 19.48 ± 0.96 | 230 | RC tests | |
| B5 | CL | 3.0 | 0.61 | 1.5 | 23 | 30 | 0 | 19.76 ± 0.79 | 230 | RC tests | |
| B6 | SC-SM | 2.4 | 0.88 | 2.5 | 8 | 34 | 0 | 19.11 ± 0.49 | 230 | [27]-PI = 8, σ‘v = 2.0 bar | |
| B7 | CH | 4.6 | 0.54 | 1.5 | 34 | 26 | 3.1 | 18.62 ± 0.97 | 230 | RC tests | |
| B8 | CL | 1.4 | 0.54 | 1.5 | 23 | 26 | 3.1 | 18.41 ± 0.51 | 230 | RC tests | |
| B9 | CH | 4.0 | 0.54 | 1.5 | 31 | 26 | 3.1 | 19.01 ± 1.41 | 230 | RC tests | |
| B10 | CH | 2.6 | 0.54 | 1.5 | 29 | 26 | 3.1 | 19.38 ± 0.44 | 230 | RC tests | |
| C | C1 | SC-SM | 27.6 | - | - | - | - | - | 20.52 ± 1.29 | 340 | [27]-PI = 0, σ‘v = 3.50 bar |
| C2 | - | 11.1 | - | - | 15 | - | - | - | 340 | [27]-PI = 15, σ‘v = 5.0 bar | |
| C3 | - | 16.3 | - | - | - | - | - | - | 340 | [27]-PI = 0, σ‘v = 6.0 bar | |
| Bedrock (C3) | - | - | - | - | - | - | 21.00 | 500 | - |
© 2018 by the authors. Licensee MDPI, Basel, Switzerland. This article is an open access article distributed under the terms and conditions of the Creative Commons Attribution (CC BY) license (http://creativecommons.org/licenses/by/4.0/).
Share and Cite
Fiorentino, G.; Nuti, C.; Squeglia, N.; Lavorato, D.; Stacul, S. One-Dimensional Nonlinear Seismic Response Analysis Using Strength-Controlled Constitutive Models: The Case of the Leaning Tower of Pisa’s Subsoil. Geosciences 2018, 8, 228. https://doi.org/10.3390/geosciences8070228
Fiorentino G, Nuti C, Squeglia N, Lavorato D, Stacul S. One-Dimensional Nonlinear Seismic Response Analysis Using Strength-Controlled Constitutive Models: The Case of the Leaning Tower of Pisa’s Subsoil. Geosciences. 2018; 8(7):228. https://doi.org/10.3390/geosciences8070228
Chicago/Turabian StyleFiorentino, Gabriele, Camillo Nuti, Nunziante Squeglia, Davide Lavorato, and Stefano Stacul. 2018. "One-Dimensional Nonlinear Seismic Response Analysis Using Strength-Controlled Constitutive Models: The Case of the Leaning Tower of Pisa’s Subsoil" Geosciences 8, no. 7: 228. https://doi.org/10.3390/geosciences8070228
APA StyleFiorentino, G., Nuti, C., Squeglia, N., Lavorato, D., & Stacul, S. (2018). One-Dimensional Nonlinear Seismic Response Analysis Using Strength-Controlled Constitutive Models: The Case of the Leaning Tower of Pisa’s Subsoil. Geosciences, 8(7), 228. https://doi.org/10.3390/geosciences8070228

