Evaluation of the Environmental Risk of Contaminated Materials: Advice on the Most Appropriate Environmental Remediation Techniques
Abstract
1. Introduction
2. Overview of the Study Area
3. Methodology
3.1. Sampling
3.2. Laboratory Methods
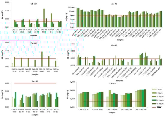
4. Results and Discussion
4.1. Interstitial Waters
4.2. Leaching Tests
4.3. Ammonium Acetate Extraction
4.4. Comparison of the Data from Leaching after 18 h of Stirring and from the Extraction with Ammonium Acetate
5. Conclusions
Author Contributions
Funding
Institutional Review Board Statement
Informed Consent Statement
Acknowledgments
Conflicts of Interest
References
- Mohiuddin, K.M.; Ogawa, Y.; Zakir, H.M.; Otomo, K.; Shikazono, N. Heavy metals contamination in water and sediments of an urban river in a developing country. Int. J. Environ. Sci. Technol. 2011, 8, 723–736. [Google Scholar] [CrossRef]
- Reza, R.; Singh, G. Heavy metal contamination and its indexing approach for river water. Int. J. Environ. Sci. Technol. 2010, 7, 785–792. [Google Scholar] [CrossRef]
- Pinho, C. Geochemical Evaluation of Environments Contaminated by Mining in Two Distinct Geological and Climatic Regions. Master’s Thesis, Évora University, Évora, Portugal, 2013. [Google Scholar]
- Pinho, C. Characterization of Environmental Risks of Contaminated Materials in the Alluvial Plain of a Metallurgical Unit in the State of Minas Gerais (Brazil). Ph.D. Thesis, University of Évora, Évora, Portugal, 2017. [Google Scholar]
- Fonseca, R.; Araújo, A.; Martins, L.; Dias, N.; Pinho, C.; Carneiro, J.; Cavacundo, O.; Borges, J.; Caldeira, B.; Matos, J.; et al. Consciência and Barreiro Grande—2nd Phase. In Report of Remediation Strategy; A Consulting Project between the University of Évora and the Brazilian Company Votorantim Metais S.A.; University of Évora: Évora, Portugal, 2015. [Google Scholar]
- USEPA. Nanotechnology for Site Remediation Fact Sheet; Solid Waste and Emergency Response; United States Environmental Protection Agency: Washington, DC, USA, 2008; 17p.
- Reis, E.; Lodolo, A.; Miertus, S. International Centre for Science and High Technology. Survey of Sediment Remediation Technologies 2007. Available online: http://www.clu-in.org/download/contaminantfocus/sediments/Survey-of-sediment-remediation-tech.pdf (accessed on 10 November 2017).
- Carvalho, G. Preliminary Determination of Constructive Parameters of Permeable Reactive Barriers using Columns for Remediation of Chromium with Zerovalent Iron. Master’s Thesis, Higher Institute of Engineering of Porto (HIEP), Porto, Portugal, 2008. [Google Scholar]
- Marinho, A.O.T.; Abreu, A.V.; Pol, A.; Costa, A.L.; Costa, D.A.A.; Ramos, D.B.S.A.; Nascimento, F.S.; Eccard, G.H.A.; Meyer, G.; Christofidis, H.V.; et al. Notebook of the Hydrographical Region of San Francisco; Ministry of the Environment, Secretariat of Water Resources: Brasília, Brazil, 2006; 148p.
- Oliveira, M.R. Investigation of the Contamination by Heavy Metals of Water and Current Sediment on the banks of the San Francisco River and tributaries, downstream of the Cemig, in the municipality of Três-Marias, Minas Gerais. Ph.D. Thesis, Federal University of Minas Gerais, Belo Horizonte, Brazil, 2007. [Google Scholar]
- Martins, L. Geochemical Evaluation of the Impact of Dredging Sediments from a Waterline with High Concentrations of Heavy Metals, in a Dry Tropical Climate. Master’s Thesis, University of Évora, Évora, Portugal, 2014. [Google Scholar]
- Ribeiro, E.V. Evaluation of the Water Quality of the San Francisco River in the Segment between Três Marias and Pirapora-MG: Heavy Metals and Anthropogenic Activities. Master’s Thesis, Federal University of Minas Gerais, Belo Horizonte, Brazil, 2010. [Google Scholar]
- Trindade, W.M. Concentration and Distribution of Heavy Metals in San Francisco River Sediments between Três-Marias and Pirapora/Minas Gerais: Natural and Anthropic Factors. Master’s Thesis, Federal University of Minas Gerais, Belo Horizonte, Brazil, 2010. [Google Scholar]
- Costa, R.D.; Knauer, L.G.; Prezotti, F.P.S.; Paula, F.L.; Duarte, F.T.; Teixeira, L.F. Geological Map Três-Marias—SE.23-Y-B-III Scale 1: 100,000. CODEMIG—Economic Development Company of Minas Gerais; Ministry of Mines and Energy, CPRM—Geological Service of Brazil: Rio de Janeiro, Brazil, 2011.
- Dias, N. Biogeochemical Study and Strategies for Soil Recovery with Critical Heavy Metals under the Influence of a Metallurgical Treatment Unit in the Two River Basin Drainage Basins of the San Francisco River (Minas Gerais, Brazil). Master’s Thesis, University of Évora, Évora, Portugal, 2014. [Google Scholar]
- CONAMA. CONAMA Normative Resolutions; Resolutions in Force Published between September 1984 and January 2012; Ministry of the Environment: Brasília, Brazil, 2012; 1125p.
- Oliveira, M.A.; Horn, A.H. Comparison of the Concentration of Heavy Metals in the Waters of the San Francisco River in Três Marias, from 1991 to the present, relating the performance of CMM-Três Marias. Geonomos 2006, 14, 55–63. [Google Scholar] [CrossRef][Green Version]
- Golder Associates. Geochemical Diagnosis of the Industrial Area of Votorantim Metals—Três-Marias Unit; Golder Associates, Brasil Consultoria e Projectos Ltd.: Sao Paulo, Brazil, 2007. [Google Scholar]
- Santos, J.F. Technical Report 25: Zinc Ore Profile. Ministry of Mines and Geology; 2010. Available online: http://www.mme.gov.br/sgm/galerias/arquivos/plano_duo_decenal/a_mineracao_brasileira/P16_RT25_Perfil_do_Minxrio_de_Zinco.pdf (accessed on 19 April 2016).
- Batista, A.A.M.; Ribeiro, M.Q.C.; Macedo, A.T.M.; Tonidandel, D. Technical Advice GEDIN Nº 00107/2008: Murici dam; State Environment Foundation: Belo Horizonte, Brazil, 2008. [Google Scholar]
- Environmental Conflicts Minas Gerais. Fight against Pollution and Fish Mortality in the San Francisco River in Três-Marias. Available online: http://conflitosambientaismg.lcc.ufmg.br/conflito/?id=197 (accessed on 20 April 2016).
- COPAM. COPAM Normative Resolution No. 166; State Council of Environmental Policy: Belo Horizonte, Brazil, 2011. [Google Scholar]
- Pinho, C.; Fonseca, R.; Carneiro, J. Environmental Characterization of an Alluvial Plain and Proposal for its Remediation. In Proceedings of the Congress of Geochemistry of the Portuguese-Speaking Countries—XIX Geochemistry Week, Vila Real, Portugal, 25–29 March 2018. [Google Scholar]
- Pinho, C.; Fonseca, R.; Araújo, A. Mineralogical identification and geochemical characterization of heavy metals in different granulometric fractions of contaminated alluvial sediments. In Proceedings of the Congress of Geochemistry of the Portuguese-Speaking Countries—XIX Geochemistry Week, Vila Real, Portugal, 25–29 March 2018. [Google Scholar]
- Fia, R.; Frizzarim, S.S.; Fia, F.L.R. Qualitative Analysis of Pollutants in Rainwater in Lavras—Minas Gerais. Br. J. Water Res. 2013, 18, 269–278. [Google Scholar]
- Tessier, A.; Campbell, P.G.C.; Bisson, M. Sequential extraction procedure for the speciation of particulate trace metals. Anal. Chem. 1979, 51, 844–851. [Google Scholar] [CrossRef]
- Fonseca, R.; Pinho, C.; Oliveira, M. The influence of particles recycling on the geochemistry of sediments in a large tropical dam lake in the Amazonian region, Brazil. J. S. Am. Earth Sci. 2016, 72, 328–350. [Google Scholar] [CrossRef]
- Pivetz, B.E. Phytoremediation of Contaminated Soil and Ground Water at Hazardous Waste Sites; United States Environmental Protection Agency, Office of Research and Development, Superfund Technology Support Center for Ground Water: Washington, DC, USA, 2001.
- Marques, A.P.G.C.; Rangel, A.O.S.S.; Castro, P.M.L. Remediation of Heavy Metal Contaminated Soils: Phytoremediation as a Potentially Promising Clean-Up Technology. Crit. Rev. Environ. Sci. Technol. 2009, 39, 622–654. [Google Scholar] [CrossRef]
- Powell, R.M. Permeable Reactive Barrier Technologies for Contaminant Remediation; EPA: Washington, DC, USA, 1998.
- USEPA. Technology Alternatives for the Remediation of Soils Contaminated with As, Cd, Cr, Hg, and Pb; United States Environmental Protection Agency: Washington, DC, USA, 1997.
- USEPA. Available online: https://www.epa.gov/superfund (accessed on 30 January 2016).






| Samples | Al | As | Cd | Cr | Cu | Fe | Mn | Ni | Pb | Zn |
|---|---|---|---|---|---|---|---|---|---|---|
| CA1-14 | 0.291 | <0.01 | 1.012 | 0.292 | 0.834 | 62.160 | 89.312 | 0.331 | 0.274 | 522.202 |
| CA1-22 | 0.173 | <0.01 | 0.044 | 0.268 | 0.025 | 14.763 | 11.013 | 0.009 | 0.003 | 6.821 |
| CA1-23 | 0.086 | <0.01 | 0.657 | 0.030 | 0.013 | <0.001 | 4.668 | 0.059 | 0.002 | 90.880 |
| CA1-27 | 0.042 | <0.01 | <0.001 | 0.014 | 0.017 | 1.047 | 1.289 | <0.001 | <0.001 | 1.797 |
| CA1-28 | 0.030 | <0.01 | <0.001 | 0.009 | <0.001 | 0.684 | 1.168 | <0.001 | <0.001 | 0.834 |
| CA1-29 | 0.052 | <0.01 | <0.001 | <0.001 | 0.394 | 1.057 | 0.173 | <0.001 | <0.001 | 1.143 |
| CA1-32 | 0.053 | 0.020 | 0.373 | 0.050 | 0.010 | 17.756 | 7.426 | 0.043 | 0.001 | 91.003 |
| CA1-35 | 0.611 | <0.01 | 0.152 | 0.246 | 0.007 | <0.001 | 5.404 | 0.044 | <0.001 | 28.405 |
| CA2-12 | 0.364 | 0.045 | 0.448 | 0.592 | 0.209 | 12.661 | 101.850 | 0.246 | 0.142 | 194.062 |
| CA3-38 | 0.005 | <0.01 | 0.396 | 0.069 | 0.024 | 3.536 | 18.394 | 0.015 | <0.001 | 22.434 |
| 1LAV(mg·L−1) | 3.500 | 0.010 | 0.005 | 0.050 | 2.000 | 2.450 | 0.400 | 0.020 | 0.010 | 1.050 |
| Samples | Al | As | Cd | Cr | Cu | Fe | Mn | Ni | Pb | Zn |
|---|---|---|---|---|---|---|---|---|---|---|
| CA1-14 | 0.603 | <0.01 | 1.372 | <0.001 | 0.152 | 3.563 | 41.921 | 0.264 | 0.235 | 714.473 |
| CA1-22 | <0.001 | 0.017 | <0.001 | <0.001 | 0.003 | 0.049 | 5.115 | <0.001 | <0.001 | 0.550 |
| CA1-23 | 0.057 | <0.01 | 0.022 | <0.001 | 0.010 | 1.022 | 1.500 | <0.001 | 0.009 | 0.837 |
| CA1-27 | <0.01 | <0.01 | <0.001 | <0.001 | <0.001 | 0.325 | 1.039 | <0.001 | <0.001 | 0.528 |
| CA1-28 | <0.001 | <0.01 | <0.001 | <0.001 | <0.001 | 0.195 | 6.981 | <0.001 | <0.001 | 2.321 |
| CA1-29 | 0.049 | <0.01 | 0.008 | <0.001 | 0.010 | 1.263 | 0.533 | <0.001 | 0.002 | 0.734 |
| CA1-32 | <0.001 | <0.01 | 0.402 | <0.001 | 0.014 | 0.575 | 14.323 | 0.085 | 0.011 | 113.534 |
| CA1-35 | 0.095 | <0.01 | 0.005 | <0.001 | 0.016 | 6.006 | 9.774 | 0.010 | 0.029 | 4.089 |
| CA2-12 | <0.001 | <0.01 | 0.017 | <0.001 | 0.031 | 68.603 | 16.475 | 0.144 | 0.010 | 94.610 |
| CA3-38 | 0.159 | <0.01 | 0.006 | <0.001 | 0.014 | 0.443 | 3.621 | <0.001 | <0.001 | 0.757 |
| 1LAV(mg·L−1) | 3.500 | 0.010 | 0.005 | 0.050 | 2.000 | 2.450 | 0.400 | 0.020 | 0.010 | 1.050 |
| 1 h | 3 h | 18 h | 24 h | 48 h | |||||||||||
|---|---|---|---|---|---|---|---|---|---|---|---|---|---|---|---|
| Sampler | Cd | Pb | Zn | C | Pb | Zn | Cd | Pb | Zn | Cd | Pb | Zn | Cd | Pb | Zn |
| CA0-1A | <0.001 | 0.003 | 0.009 | <0.001 | <0.001 | 0.007 | 0.007 | 0.014 | 0.013 | 0.007 | <0.001 | 0.059 | 0.002 | <0.001 | 0.003 |
| CA0-2B | <0.001 | <0.001 | 0.031 | <0.001 | <0.001 | 0.033 | 0.059 | 0.030 | 0.027 | 0.005 | <0.001 | 0.041 | 0.006 | <0.001 | 0.019 |
| CA0-3A | <0.001 | <0.001 | 0.016 | <0.001 | <0.001 | 0.053 | 0.025 | 0.013 | 0.014 | 0.004 | <0.001 | 0.065 | 0.004 | <0.001 | 0.029 |
| CA1-14 | 0.050 | <0.001 | 19.273 | 0.065 | <0.001 | 23.174 | 0.068 | 0.004 | 21.851 | 0.082 | 0.005 | 23.821 | 0.083 | 0.002 | 24.338 |
| CA1-21 | 0.005 | <0.001 | 1.055 | 0.023 | 0.006 | 1.319 | 0.037 | 0.015 | 0.936 | 0.014 | 0.002 | 1.250 | 0.018 | <0.001 | 1.522 |
| CA1-22 | 0.013 | <0.001 | 0.687 | 0.013 | <0.001 | 0.827 | 0.024 | 0.014 | 0.742 | 0.018 | 0.003 | 0.871 | 0.046 | 0.030 | 1.024 |
| CA1-23 | <0.001 | <0.001 | 0.691 | 0.005 | <0.001 | 0.965 | 0.010 | 0.003 | 0.744 | 0.013 | 0.003 | 0.943 | 0.020 | 0.003 | 1.039 |
| CA1-32 | 0.022 | <0.001 | 3.958 | 0.029 | 0.010 | 4.914 | 0.039 | 0.011 | 6.779 | 0.026 | 0.007 | 5.706 | 0.030 | 0.005 | 6.220 |
| CA1-33 | 0.023 | 0.016 | 4.272 | 0.033 | <0.001 | 5.228 | 0.072 | 0.032 | 5.558 | 0.034 | 0.039 | 6.110 | 0.035 | 0.020 | 6.542 |
| CA2-10 | 0.228 | 0.015 | 25.105 | 0.277 | 0.016 | 29.551 | 0.276 | 0.011 | 32.668 | 0.313 | 0.012 | 34.438 | 0.317 | 0.011 | 35.101 |
| CA2-10A | 0.127 | <0.001 | 5.206 | 0.154 | <0.001 | 6.129 | 0.189 | 0.004 | 7.633 | 0.197 | 0.008 | 7.642 | 0.218 | 0.003 | 8.269 |
| CA2-12 | 0.047 | 0.018 | 27.600 | 0.053 | 0.021 | 30.564 | 0.075 | 0.024 | 35.333 | 0.078 | 0.017 | 36.825 | 0.087 | 0.018 | 36.480 |
| CA3-18 | 0.037 | <0.001 | 1.332 | 0.061 | 0.025 | 1.497 | 0.062 | 0.006 | 1.824 | 0.065 | <0.001 | 1.915 | 0.067 | 0.004 | 1.769 |
| 1LVA(mg·L−1) | 0.005 | 0.010 | 1.050 | 0.005 | 0.010 | 1.050 | 0.005 | 0.010 | 1.050 | 0.005 | 0.010 | 1.050 | 0.005 | 0.010 | 1.050 |
| Samples | Cd | Cr | Cu | Ni | Pb | Zn |
|---|---|---|---|---|---|---|
| CA0-1A | 1.998 | <0.02 | 2.104 | <0.02 | 3.509 | 14.375 |
| CA0-2B | 4.312 | 0.724 | <0.02 | 1.607 | 4.627 | 14.764 |
| CA0-3A | 0.386 | 0.900 | 2.397 | 0.673 | 5.824 | 41.618 |
| CA1-14 | 8.925 | <0.02 | 35.632 | 1.099 | 88.192 | 3905.684 |
| CA1-21 | 11.043 | 1.590 | 9.357 | 2.144 | 36.022 | 1610.102 |
| CA1-22 | 16.368 | 0.070 | 18.275 | 1.471 | 121.447 | 3037.402 |
| CA1-23 | 15.014 | <0.02 | 49.778 | 8.821 | 47.353 | 1765.147 |
| CA1-32 | 14.275 | 0.575 | 11.322 | 1.497 | 158.781 | 3762.381 |
| CA1-33 | 8.514 | 0.778 | 76.367 | 0.942 | 626.532 | 11,095.956 |
| CA2-10 | 9.957 | 0.929 | 10.348 | 2.256 | 151.780 | 12,098.837 |
| CA2-10A | 27.313 | 0.628 | 54.180 | 1.944 | 269.454 | 7062.099 |
| CA2-12 | 16.876 | 4.936 | 496.951 | 7.421 | 555.862 | 10,823.381 |
| CA3-18 | 24.324 | 0.664 | 74.168 | 1.828 | 136.594 | 4222.505 |
| 1 LAV (mg·kg−1) | ||||||
| Normal | <0.6 | <33 | <17 | <14 | <8.4 | <58 |
| Intermediate | 33–37.3 | 17–35.7 | 14–18 | 8.4–35 | 58–123 | |
| Attention | 0.6–3.5 | 37.3–90 | 35.7–197 | 18–35.9 | 35–91.3 | 123–315 |
| Critical | >3.5 | >90 | >197 | >35.9 | >91.3 | >315 |
Publisher’s Note: MDPI stays neutral with regard to jurisdictional claims in published maps and institutional affiliations. |
© 2021 by the authors. Licensee MDPI, Basel, Switzerland. This article is an open access article distributed under the terms and conditions of the Creative Commons Attribution (CC BY) license (https://creativecommons.org/licenses/by/4.0/).
Share and Cite
Pinho, C.; Fonseca, R.; Carneiro, J.; Araújo, A. Evaluation of the Environmental Risk of Contaminated Materials: Advice on the Most Appropriate Environmental Remediation Techniques. Geosciences 2021, 11, 164. https://doi.org/10.3390/geosciences11040164
Pinho C, Fonseca R, Carneiro J, Araújo A. Evaluation of the Environmental Risk of Contaminated Materials: Advice on the Most Appropriate Environmental Remediation Techniques. Geosciences. 2021; 11(4):164. https://doi.org/10.3390/geosciences11040164
Chicago/Turabian StylePinho, Catarina, Rita Fonseca, Júlio Carneiro, and António Araújo. 2021. "Evaluation of the Environmental Risk of Contaminated Materials: Advice on the Most Appropriate Environmental Remediation Techniques" Geosciences 11, no. 4: 164. https://doi.org/10.3390/geosciences11040164
APA StylePinho, C., Fonseca, R., Carneiro, J., & Araújo, A. (2021). Evaluation of the Environmental Risk of Contaminated Materials: Advice on the Most Appropriate Environmental Remediation Techniques. Geosciences, 11(4), 164. https://doi.org/10.3390/geosciences11040164

