Chemical Recycling of Epoxy Thermosets: From Sources to Wastes
Abstract
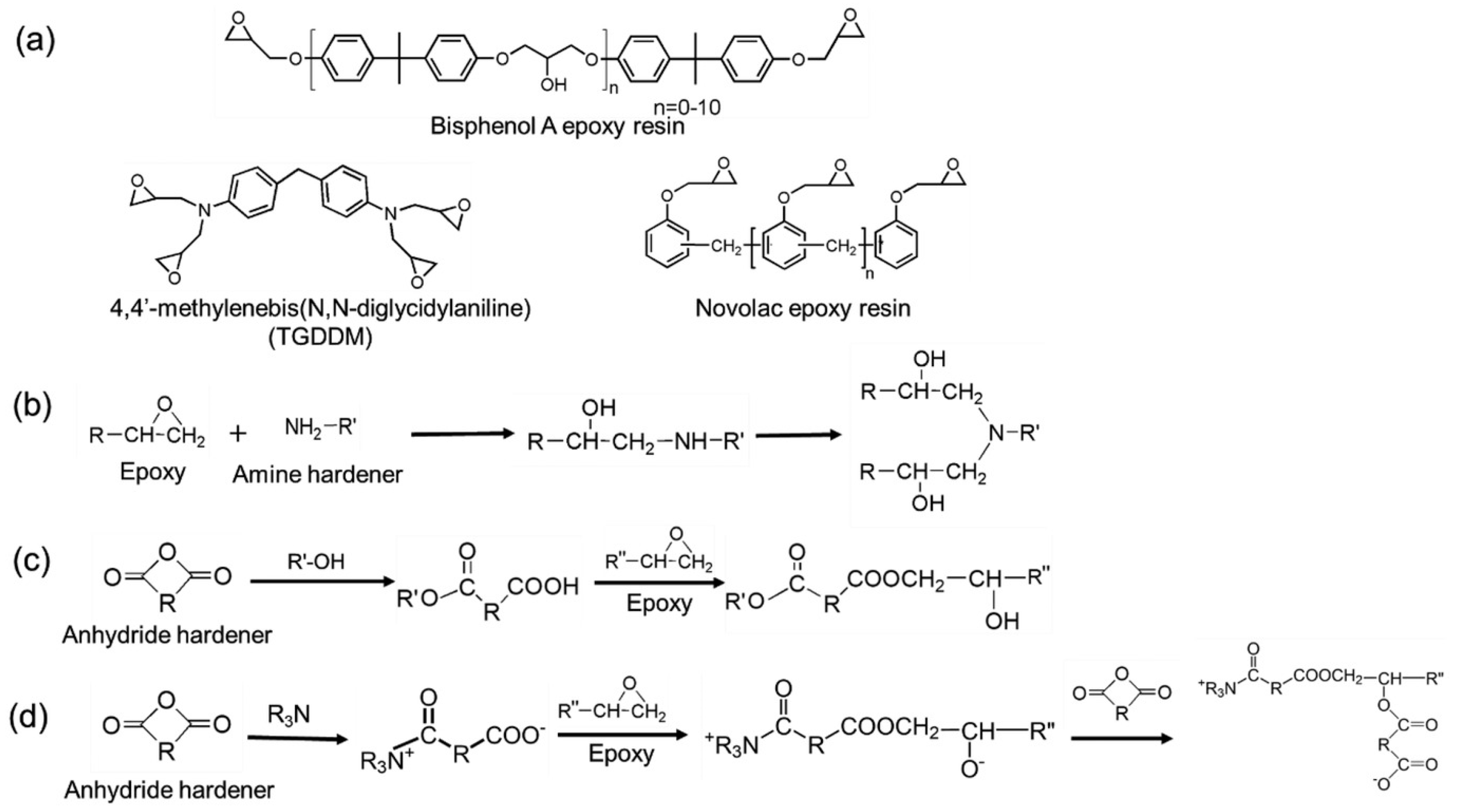
1. Introduction
2. Recycling Strategies of Epoxy Thermosets
3. Recycling from Wastes
3.1. Alcoholysis
3.2. Ammonolysis
3.3. Hydrolysis
3.4. Oxidation
3.5. Lewis Acid Catalysis
3.6. C–O Cleavage
4. Recycling from Sources
4.1. Transesterification
4.2. Imine Exchange
4.3. Disulfide Exchange
4.4. Siloxane Equilibration
4.5. Bio-Based Sources
5. Conclusions and Perspectives
Author Contributions
Funding
Data Availability Statement
Conflicts of Interest
References
- OECD. Plastics Flows and Their Impacts on the Environment; OECD: Paris, France, 2022. [Google Scholar] [CrossRef]
- Kakadellis, S.; Rosetto, G. Achieving a circular bioeconomy for plastics. Science 2021, 373, 49–50. [Google Scholar] [CrossRef] [PubMed]
- Geyer, R.; Jambeck, J.R.; Law, K.L. Production, use, and fate of all plastics ever made. Sci. Adv. 2017, 3, e1700782. [Google Scholar] [CrossRef]
- Biron, M. 2—The Plastics Industry: Economic Overview. In Thermoplastics and Thermoplastic Composites, 2nd ed.; Biron, M., Ed.; William Andrew Publishing: Norwich, NY, USA, 2013; pp. 31–131. [Google Scholar]
- Shieh, P.; Zhang, W.; Husted, K.E.L.; Kristufek, S.L.; Xiong, B.; Lundberg, D.J.; Lem, J.; Veysset, D.; Sun, Y.; Nelson, K.A.; et al. Cleavable comonomers enable degradable, recyclable thermoset plastics. Nature 2020, 583, 542–547. [Google Scholar] [CrossRef] [PubMed]
- Shundo, A.; Yamamoto, S.; Tanaka, K. Network Formation and Physical Properties of Epoxy Resins for Future Practical Applications. JACS Au 2022, 2, 1522–1542. [Google Scholar] [CrossRef]
- Tian, W.; Liu, L.; Meng, F.; Liu, Y.; Li, Y.; Wang, F. The failure behaviour of an epoxy glass flake coating/steel system under marine alternating hydrostatic pressure. Corros. Sci. 2014, 86, 81–92. [Google Scholar] [CrossRef]
- Toldy, A.; Szolnoki, B.; Marosi, G. Flame retardancy of fibre-reinforced epoxy resin composites for aerospace applications. Polym. Degrad. Stab. 2011, 96, 371–376. [Google Scholar] [CrossRef]
- Liu, Y.Y.; Wei, H.; Wu, S.; Guo, Z. Kinetic Study of Epoxy Resin Decomposition in Near-Critical Water. Chem. Eng. Technol. 2012, 35, 713–719. [Google Scholar] [CrossRef]
- Guo, J.; Zhang, X.; Gu, H.; Wang, Y.; Yan, X.; Ding, D.; Long, J.; Tadakamalla, S.; Wang, Q.; Khan, M.A.; et al. Reinforced magnetic epoxy nanocomposites with conductive polypyrrole nanocoating on nanomagnetite as a coupling agent. RSC Adv. 2014, 4, 36560–36572. [Google Scholar] [CrossRef]
- Gu, H.; Guo, J.; He, Q.; Tadakamalla, S.; Zhang, X.; Yan, X.; Huang, Y.; Colorado, H.A.; Wei, S.; Guo, Z. Flame-Retardant Epoxy Resin Nanocomposites Reinforced with Polyaniline-Stabilized Silica Nanoparticles. Ind. Eng. Chem. Res. 2013, 52, 7718–7728. [Google Scholar] [CrossRef]
- Auvergne, R.; Caillol, S.; David, G.; Boutevin, B.; Pascault, J.-P. Biobased Thermosetting Epoxy: Present and Future. Chem. Rev. 2014, 114, 1082–1115. [Google Scholar] [CrossRef]
- Domun, N.; Hadavinia, H.; Zhang, T.; Sainsbury, T.; Liaghat, G.H.; Vahid, S. Improving the fracture toughness and the strength of epoxy using nanomaterials—A review of the current status. Nanoscale 2015, 7, 10294–10329. [Google Scholar] [CrossRef]
- Huang, Y.-S.; Zhou, Y.; Zeng, X.; Zhang, D.; Wu, S. Reversible Crosslinking of Commodity Polymers via Photocontrolled Metal–Ligand Coordination for High-Performance and Recyclable Thermoset Plastics. Adv. Mater. 2023, 35, 2305517. [Google Scholar] [CrossRef]
- Cheng, J.; Chen, J.; Yang, W.T. Synthesis and characterization of novel multifunctional epoxy resin. Chin. Chem. Lett. 2007, 18, 469–472. [Google Scholar] [CrossRef]
- Jin, F.-L.; Li, X.; Park, S.-J. Synthesis and application of epoxy resins: A review. J. Ind. Eng. Chem. 2015, 29, 1–11. [Google Scholar] [CrossRef]
- Akatsuka, M.; Takezawa, Y.; Amagi, S. Influences of inorganic fillers on curing reactions of epoxy resins initiated with a boron trifluoride amine complex. Polymer 2001, 42, 3003–3007. [Google Scholar] [CrossRef]
- Jyotishkumar, P.; Koetz, J.; Tiersch, B.; Strehmel, V.; Özdilek, C.; Moldenaers, P.; Hässler, R.; Thomas, S. Complex Phase Separation in Poly(acrylonitrile−butadiene−styrene)-Modified Epoxy/4,4′-Diaminodiphenyl Sulfone Blends: Generation of New Micro- and Nanosubstructures. J. Phys. Chem. B 2009, 113, 5418–5430. [Google Scholar] [CrossRef] [PubMed]
- Gu, H.; Tadakamalla, S.; Zhang, X.; Huang, Y.; Jiang, Y.; Colorado, H.A.; Luo, Z.; Wei, S.; Guo, Z. Epoxy resin nanosuspensions and reinforced nanocomposites from polyaniline stabilized multi-walled carbon nanotubes. J. Mater. Chem. C 2013, 1, 729–743. [Google Scholar] [CrossRef]
- Tuncer, E.; Sauers, I.; James, D.; Ellis, A.; Paranthaman, P.; Aytug, T.; Sathyamurthy, S.; More, K.; Li, J.; Goyal, A. Electrical properties of epoxy resin based nano-composites. Nanotechnology 2006, 18, 025703. [Google Scholar] [CrossRef]
- Li, J.; Zhang, Y.; Yan, M.; Zhong, C.; Zhao, L.; Zhai, D.; Luo, H.; Yuan, X.; Zhang, D. 3D printing of flexible piezoelectric composite with integrated sensing and actuation applications. Adv. Powder Mater. 2024, 3, 100226. [Google Scholar] [CrossRef]
- Russo, C.; Ramírez, J.L.; Fernández-Francos, X.; De la Flor, S. Electro-responsive shape-memory composites obtained via dual-curing processing. Polym. Adv. Technol. 2022, 33, 1715–1726. [Google Scholar] [CrossRef]
- Slobodian, P.; Riha, P.; Olejnik, R.; Matyas, J. Electrothermal Actuation and Release of Adhesiveness of Conductive Carbon Nanotube/Epoxy Composites by Joule Heating. Macromol. Symp. 2022, 405, 2100267. [Google Scholar] [CrossRef]
- Lu, H.; Yang, D. Improved electrical actuation and dielectric strength of rubber composites with polydopamine noncovalent and silane covalent modification of carbon nanotube. Polym. Int. 2023, 72, 997–1005. [Google Scholar] [CrossRef]
- Lalegani Dezaki, M.; Bodaghi, M.; Serjouei, A.; Afazov, S.; Zolfagharian, A. Adaptive reversible composite-based shape memory alloy soft actuators. Sens. Actuators A Phys. 2022, 345, 113779. [Google Scholar] [CrossRef]
- Jiang, L.; Li, M.; Sheng, J.; Chen, C.; Jiang, S.; Fu, Y.; Huang, Z.; Li, J.; Geng, T. Self-Repairable Carbon Fiber-Reinforced Epoxy Vitrimer Actuator with Multistimulus Responses and Programmable Morphing. ACS Appl. Mater. Interfaces 2024, 16, 59188–59201. [Google Scholar] [CrossRef]
- Sheng, J.; Jiang, S.; Geng, T.; Huang, Z.; Li, J.; Jiang, L. Ultrarobust Actuator Comprising High-Strength Carbon Fibers and Commercially Available Polycarbonate with Multi-Stimulus Responses and Programmable Deformation. Polymers 2024, 16, 1144. [Google Scholar] [CrossRef] [PubMed]
- Margoy, D.; Gouzman, I.; Grossman, E.; Bolker, A.; Eliaz, N.; Verker, R. Epoxy-based shape memory composite for space applications. Acta Astronaut. 2021, 178, 908–919. [Google Scholar] [CrossRef]
- Topham, E.; McMillan, D.; Bradley, S.; Hart, E. Recycling offshore wind farms at decommissioning stage. Energy Policy 2019, 129, 698–709. [Google Scholar] [CrossRef]
- Hahladakis, J.N.; Velis, C.A.; Weber, R.; Iacovidou, E.; Purnell, P. An overview of chemical additives present in plastics: Migration, release, fate and environmental impact during their use, disposal and recycling. J. Hazard. Mater. 2018, 344, 179–199. [Google Scholar] [CrossRef]
- Navarro, C.A.; Giffin, C.R.; Zhang, B.; Yu, Z.; Nutt, S.R.; Williams, T.J. A structural chemistry look at composites recycling. Mater. Horiz. 2020, 7, 2479–2486. [Google Scholar] [CrossRef]
- Zhang, Y.; Kang, S.; Allen, S.; Allen, D.; Gao, T.; Sillanpää, M. Atmospheric microplastics: A review on current status and perspectives. Earth Sci. Rev. 2020, 203, 103118. [Google Scholar] [CrossRef]
- Stubbins, A.; Law, K.L.; Muñoz, S.E.; Bianchi, T.S.; Zhu, L. Plastics in the Earth system. Science 2021, 373, 51–55. [Google Scholar] [CrossRef] [PubMed]
- Hale, R.C.; Seeley, M.E.; La Guardia, M.J.; Mai, L.; Zeng, E.Y. A Global Perspective on Microplastics. J. Geophys. Res. Ocean. 2020, 125, e2018JC014719. [Google Scholar] [CrossRef]
- Yang, Y.; Pei, Z.; Zhang, X.; Tao, L.; Wei, Y.; Ji, Y. Carbon nanotube–vitrimer composite for facile and efficient photo-welding of epoxy. Chem. Sci. 2014, 5, 3486–3492. [Google Scholar] [CrossRef]
- Xu, X.; Ma, S.; Wang, S.; Wu, J.; Li, Q.; Lu, N.; Liu, Y.; Yang, J.; Feng, J.; Zhu, J. Dihydrazone-based dynamic covalent epoxy networks with high creep resistance, controlled degradability, and intrinsic antibacterial properties from bioresources. J. Mater. Chem. A 2020, 8, 11261–11274. [Google Scholar] [CrossRef]
- Li, Y.; Wu, Y.; Li, K.; Lin, H.; Wang, M.; Zheng, L.; Wu, C.; Zhang, X. Recycling of Epoxy Resins with Degradable Structures or Dynamic Cross-Linking Networks: A Review. Ind. Eng. Chem. Res. 2024, 63, 5005–5027. [Google Scholar] [CrossRef]
- Liu, T.; Hao, C.; Wang, L.; Li, Y.; Liu, W.; Xin, J.; Zhang, J. Eugenol-Derived Biobased Epoxy: Shape Memory, Repairing, and Recyclability. Macromolecules 2017, 50, 8588–8597. [Google Scholar] [CrossRef]
- Schneiderman, D.K.; Hillmyer, M.A. 50th Anniversary Perspective: There Is a Great Future in Sustainable Polymers. Macromolecules 2017, 50, 3733–3749. [Google Scholar] [CrossRef]
- Kumar, S.; Krishnan, S.; Samal, S.K.; Mohanty, S.; Nayak, S.K. Itaconic acid used as a versatile building block for the synthesis of renewable resource-based resins and polyesters for future prospective: A review. Polym. Int. 2017, 66, 1349–1363. [Google Scholar] [CrossRef]
- García, D.; Vegas, I.; Cacho, I. Mechanical recycling of GFRP waste as short-fiber reinforcements in microconcrete. Constr. Build. Mater. 2014, 64, 293–300. [Google Scholar] [CrossRef]
- Yazdanbakhsh, A.; Bank, L.C.; Rieder, K.-A.; Tian, Y.; Chen, C. Concrete with discrete slender elements from mechanically recycled wind turbine blades. Resour. Conserv. Recycl. 2018, 128, 11–21. [Google Scholar] [CrossRef]
- Palmer, J.; Ghita, O.R.; Savage, L.; Evans, K.E. Successful closed-loop recycling of thermoset composites. Compos. Part A Appl. Sci. Manuf. 2009, 40, 490–498. [Google Scholar] [CrossRef]
- Al-Salem, S.M.; Lettieri, P.; Baeyens, J. Recycling and recovery routes of plastic solid waste (PSW): A review. Waste Manag. 2009, 29, 2625–2643. [Google Scholar] [CrossRef] [PubMed]
- Zhao, X.; Long, Y.; Xu, S.; Liu, X.; Chen, L.; Wang, Y.-Z. Recovery of epoxy thermosets and their composites. Mater. Today 2023, 64, 72–97. [Google Scholar] [CrossRef]
- Cheng, H.; Sun, Y.; Wang, X.; Chang, J.; Jing, D. Recycling Carbon Fiber/Epoxy Resin Composites by Thermal Excitation Oxide Semiconductors. Fibers Polym. 2019, 20, 760–769. [Google Scholar] [CrossRef]
- Obunai, K.; Fukuta, T.; Ozaki, K. Carbon fiber extraction from waste CFRP by microwave irradiation. Compos. Part A Appl. Sci. Manuf. 2015, 78, 160–165. [Google Scholar] [CrossRef]
- Deng, J.; Xu, L.; Zhang, L.; Peng, J.; Guo, S.; Liu, J.; Koppala, S. Recycling of Carbon Fibers from CFRP Waste by Microwave Thermolysis. Processes 2019, 7, 207. [Google Scholar] [CrossRef]
- Wu, T.; Zhang, W.; Jin, X.; Liang, X.; Sui, G.; Yang, X. Efficient reclamation of carbon fibers from epoxy composite waste through catalytic pyrolysis in molten ZnCl2. RSC Adv. 2019, 9, 377–388. [Google Scholar] [CrossRef]
- Jiang, Y.; Li, J.; Li, D.; Ma, Y.; Zhou, S.; Wang, Y.; Zhang, D. Bio-based hyperbranched epoxy resins: Synthesis and recycling. Chem. Soc. Rev. 2024, 53, 624–655. [Google Scholar] [CrossRef]
- Long, Y.; Bai, L.; Liu, L.; Shen, C.; Chen, Q.; Liu, X.; Xu, S.; Wang, Y.-Z. Association between Serviceability and Recyclability of Amine-Cured Epoxy Thermosets. ACS Sustain. Chem. Eng. 2023, 11, 12790–12797. [Google Scholar] [CrossRef]
- Liu, T.; Shao, L.; Zhao, B.; Chang, Y.-C.; Zhang, J. Progress in Chemical Recycling of Carbon Fiber Reinforced Epoxy Composites. Macromol. Rapid Commun. 2022, 43, 2200538. [Google Scholar] [CrossRef]
- Dyakonov, T.; Chen, Y.; Holland, K.; Drbohlav, J.; Burns, D.; Velde, D.V.; Seib, L.; Soloski, E.J.; Kuhn, J.; Mann, P.J.; et al. Thermal analysis of some aromatic amine cured model epoxy resin systems—I: Materials synthesis and characterization, cure and post-cure. Polym. Degrad. Stab. 1996, 53, 217–242. [Google Scholar] [CrossRef]
- Blanco, M.; Corcuera, M.A.; Riccardi, C.C.; Mondragon, I. Mechanistic kinetic model of an epoxy resin cured with a mixture of amines of different functionalities. Polymer 2005, 46, 7989–8000. [Google Scholar] [CrossRef]
- McGroarty, J. DDS as an Epoxy Resin Hardener. Ind. Eng. Chem. 1960, 52, 17–18. [Google Scholar] [CrossRef]
- Pizzi, A.; Ibeh, C.C. 4—Aminos. In Handbook of Thermoset Plastics, 3rd ed.; Dodiuk, H., Goodman, S.H., Eds.; William Andrew Publishing: Boston, MA, USA, 2014; pp. 75–91. [Google Scholar]
- Heise, M.S.; Martin, G.C. Curing mechanism and thermal properties of epoxy-imidazole systems. Macromolecules 1989, 22, 99–104. [Google Scholar] [CrossRef]
- Fedtke, M.; Domaratius, F.; Pfitzmann, A. Curing of epoxy resins with dicyandiamide. Polym. Bull. 1990, 23, 381–388. [Google Scholar] [CrossRef]
- Hong, S.-G.; Chan, C.-K.; Chuang, C.-C.; Keong, C.-W.; Hsueh, Y.-P. The Curing Behavior and Adhesion Strength of the Epoxidized Natural Rubber Modified Epoxy/Dicyandiamide System. J. Polym. Res. 2005, 12, 295–303. [Google Scholar] [CrossRef]
- Fischer, R.F. Polyesters from Epoxides and Anhydrides. Ind. Eng. Chem. 1960, 52, 321–323. [Google Scholar] [CrossRef]
- Zhao, H.; Gao, J.; Li, Y.; Shen, S. Curing Kinetics and Thermal Property Characterization of Bisphenol-F Epoxy Resin and MeTHPA System. J. Therm. Anal. Calorim. 2003, 74, 227–236. [Google Scholar] [CrossRef]
- Montserrat, S.; Málek, J. A kinetic analysis of the curing reaction of an epoxy resin. Thermochim. Acta 1993, 228, 47–60. [Google Scholar] [CrossRef]
- Feild, R.B.; Robinson, C.F. Pyromellitic Dianhydride in Curing of Epoxy Resins. Ind. Eng. Chem. 1957, 49, 369–373. [Google Scholar] [CrossRef]
- Mishra, S.; Goje, A.S. Kinetic and thermodynamic study of methanolysis of poly(ethylene terephthalate) waste powder. Polym. Int. 2003, 52, 337–342. [Google Scholar] [CrossRef]
- Pham, D.D.; Cho, J. Low-energy catalytic methanolysis of poly(ethyleneterephthalate). Green Chem. 2021, 23, 511–525. [Google Scholar] [CrossRef]
- Tanaka, S.; Sato, J.; Nakajima, Y. Capturing ethylene glycol with dimethyl carbonate towards depolymerisation of polyethylene terephthalate at ambient temperature. Green Chem. 2021, 23, 9412–9416. [Google Scholar] [CrossRef]
- Sako, T.; Sugeta, T.; Otake, K.; Nakazawa, N.; Sato, M.; Namiki, K.; Tsugumi, M. Depolymerization of Polyethylene Terephthalate to Monomers with Supercritical Methanol. J. Chem. Eng. Jpn. 1997, 30, 342–346. [Google Scholar] [CrossRef]
- Paszun, D.; Spychaj, T. Chemical Recycling of Poly(ethylene terephthalate). Ind. Eng. Chem. Res. 1997, 36, 1373–1383. [Google Scholar] [CrossRef]
- Achilias, D.S.; Karayannidis, G.P. The Chemical Recycling of PET in the Framework of Sustainable Development. Water Air Soil Pollut. Focus 2004, 4, 385–396. [Google Scholar] [CrossRef]
- Shukla, S.R.; Harad, A.M. Glycolysis of polyethylene terephthalate waste fibers. J. Appl. Polym. Sci. 2005, 97, 513–517. [Google Scholar] [CrossRef]
- Hu, Y.; Wang, Y.; Zhang, X.; Qian, J.; Xing, X.; Wang, X. Synthesis of poly(ethylene terephthalate) based on glycolysis of waste PET fiber. J. Macromol. Sci. Part A 2020, 57, 430–438. [Google Scholar] [CrossRef]
- Xin, J.; Zhang, Q.; Huang, J.; Huang, R.; Jaffery, Q.Z.; Yan, D.; Zhou, Q.; Xu, J.; Lu, X. Progress in the catalytic glycolysis of polyethylene terephthalate. J. Environ. Manag. 2021, 296, 113267. [Google Scholar] [CrossRef]
- Kuang, X.; Shi, Q.; Zhou, Y.; Zhao, Z.; Wang, T.; Qi, H.J. Dissolution of epoxy thermosets via mild alcoholysis: The mechanism and kinetics study. RSC Adv. 2018, 8, 1493–1502. [Google Scholar] [CrossRef]
- Kuang, X.; Zhou, Y.; Shi, Q.; Wang, T.; Qi, H.J. Recycling of Epoxy Thermoset and Composites via Good Solvent Assisted and Small Molecules Participated Exchange Reactions. ACS Sustain. Chem. Eng. 2018, 6, 9189–9197. [Google Scholar] [CrossRef]
- Hamel, C.M.; Kuang, X.; Chen, K.; Qi, H.J. Reaction-Diffusion Model for Thermosetting Polymer Dissolution through Exchange Reactions Assisted by Small-Molecule Solvents. Macromolecules 2019, 52, 3636–3645. [Google Scholar] [CrossRef]
- El Gersifi, K.; Durand, G.; Tersac, G. Solvolysis of bisphenol A diglycidyl ether/anhydride model networks. Polym. Degrad. Stab. 2006, 91, 690–702. [Google Scholar] [CrossRef]
- Okajima, I.; Hiramatsu, M.; Shimamura, Y.; Awaya, T.; Sako, T. Chemical recycling of carbon fiber reinforced plastic using supercritical methanol. J. Supercrit. Fluids 2014, 91, 68–76. [Google Scholar] [CrossRef]
- Piñero-Hernanz, R.; García-Serna, J.; Dodds, C.; Hyde, J.; Poliakoff, M.; Cocero, M.J.; Kingman, S.; Pickering, S.; Lester, E. Chemical recycling of carbon fibre composites using alcohols under subcritical and supercritical conditions. J. Supercrit. Fluids 2008, 46, 83–92. [Google Scholar] [CrossRef]
- Jiang, G.; Pickering, S.J.; Lester, E.H.; Warrior, N.A. Decomposition of Epoxy Resin in Supercritical Isopropanol. Ind. Eng. Chem. Res. 2010, 49, 4535–4541. [Google Scholar] [CrossRef]
- Yan, H.; Lu, C.-X.; Jing, D.-Q.; Chang, C.-B.; Liu, N.-X.; Hou, X.-L. Recycling of carbon fibers in epoxy resin composites using supercritical 1-propanol. New Carbon Mater. 2016, 31, 46–54. [Google Scholar] [CrossRef]
- Henry, L.; Schneller, A.; Doerfler, J.; Mueller, W.M.; Aymonier, C.; Horn, S. Semi-continuous flow recycling method for carbon fibre reinforced thermoset polymers by near- and supercritical solvolysis. Polym. Degrad. Stab. 2016, 133, 264–274. [Google Scholar] [CrossRef]
- Zhao, X.; Wang, X.-L.; Tian, F.; An, W.-L.; Xu, S.; Wang, Y.-Z. A fast and mild closed-loop recycling of anhydride-cured epoxy through microwave-assisted catalytic degradation by trifunctional amine and subsequent reuse without separation. Green Chem. 2019, 21, 2487–2493. [Google Scholar] [CrossRef]
- Reddy, K.S.K.; Gao, W.-J.; Chen, C.-H.; Juang, T.-Y.; Abu-Omar, M.M.; Lin, C.-H. Degradation of Thermal-Mechanically Stable Epoxy Thermosets, Recycling of Carbon Fiber, and Reapplication of the Degraded Products. ACS Sustain. Chem. Eng. 2021, 9, 5304–5314. [Google Scholar] [CrossRef]
- Sokoli, H.U.; Simonsen, M.E.; Nielsen, R.P.; Henriksen, J.; Madsen, M.L.; Pedersen, N.H.; Søgaard, E.G. Characterization of the Liquid Products from Hydrolyzed Epoxy and Polyester Resin Composites Using Solid-Phase Microextraction and Recovery of the Monomer Phthalic Acid. Ind. Eng. Chem. Res. 2016, 55, 9118–9128. [Google Scholar] [CrossRef]
- Liu, Y.; Liu, J.; Jiang, Z.; Tang, T. Chemical recycling of carbon fibre reinforced epoxy resin composites in subcritical water: Synergistic effect of phenol and KOH on the decomposition efficiency. Polym. Degrad. Stab. 2012, 97, 214–220. [Google Scholar] [CrossRef]
- Li, K.; Zhang, L.; Xu, Z. Decomposition behavior and mechanism of epoxy resin from waste integrated circuits under supercritical water condition. J. Hazard. Mater. 2019, 374, 356–364. [Google Scholar] [CrossRef]
- Kim, Y.N.; Kim, Y.-O.; Kim, S.Y.; Park, M.; Yang, B.; Kim, J.; Jung, Y.C. Application of supercritical water for green recycling of epoxy-based carbon fiber reinforced plastic. Compos. Sci. Technol. 2019, 173, 66–72. [Google Scholar] [CrossRef]
- Liu, T.; Guo, X.; Liu, W.; Hao, C.; Wang, L.; Hiscox, W.C.; Liu, C.; Jin, C.; Xin, J.; Zhang, J. Selective cleavage of ester linkages of anhydride-cured epoxy using a benign method and reuse of the decomposed polymer in new epoxy preparation. Green Chem. 2017, 19, 4364–4372. [Google Scholar] [CrossRef]
- Zhao, X.; Zhao, X.; An, W.; Long, Y.; Liu, X.; Chen, L.; Xu, S.; Wang, Y.-Z. Reconstruction of new high-performance epoxy thermoset based on the full utilization of the degradation products of waste epoxy thermoset. J. Environ. Chem. Eng. 2023, 11, 110032. [Google Scholar] [CrossRef]
- Zhao, X.; Liu, X.; Feng, K.; An, W.-L.; Tian, F.; Du, R.; Xu, S.; Chen, L.; Wu, G.; Wang, Y.-Z. Multicycling of Epoxy Thermoset Through a Two-Step Strategy of Alcoholysis and Hydrolysis using a Self-Separating Catalysis System. ChemSusChem 2022, 15, e202101607. [Google Scholar] [CrossRef]
- Zhao, Q.; Jiang, J.; Li, C.; Li, Y. Efficient recycling of carbon fibers from amine-cured CFRP composites under facile condition. Polym. Degrad. Stab. 2020, 179, 109268. [Google Scholar] [CrossRef]
- Deng, T.; Liu, Y.; Cui, X.; Yang, Y.; Jia, S.; Wang, Y.; Lu, C.; Li, D.; Cai, R.; Hou, X. Cleavage of C–N bonds in carbon fiber/epoxy resin composites. Green Chem. 2015, 17, 2141–2145. [Google Scholar] [CrossRef]
- Dang, W.; Kubouchi, M.; Yamamoto, S.; Sembokuya, H.; Tsuda, K. An approach to chemical recycling of epoxy resin cured with amine using nitric acid. Polymer 2002, 43, 2953–2958. [Google Scholar] [CrossRef]
- Dang, W.; Kubouchi, M.; Sembokuya, H.; Tsuda, K. Chemical recycling of glass fiber reinforced epoxy resin cured with amine using nitric acid. Polymer 2005, 46, 1905–1912. [Google Scholar] [CrossRef]
- Liu, Y.; Meng, L.; Huang, Y.; Du, J. Recycling of carbon/epoxy composites. J. Appl. Polym. Sci. 2004, 94, 1912–1916. [Google Scholar] [CrossRef]
- Yuyan, L.; Linghui, M.; Yudong, H.; Lixun, L. Method of Recovering the Fibrous Fraction of Glass/Epoxy Composites. J. Reinf. Plast. Compos. 2006, 25, 1525–1533. [Google Scholar] [CrossRef]
- Lee, S.-H.; Choi, H.-O.; Kim, J.-S.; Lee, C.-K.; Kim, Y.-K.; Ju, C.-S. Circulating flow reactor for recycling of carbon fiber from carbon fiber reinforced epoxy composite. Korean J. Chem. Eng. 2011, 28, 449–454. [Google Scholar] [CrossRef]
- Ma, J.H.; Wang, X.B.; Li, B.; Huang, L.N. Investigation on Recycling Technology of Carbon Fiber Reinforced Epoxy Resin Cured with Amine. Adv. Mater. Res. 2009, 79, 409–412. [Google Scholar] [CrossRef]
- Das, M.; Chacko, R.; Varughese, S. An Efficient Method of Recycling of CFRP Waste Using Peracetic Acid. ACS Sustain. Chem. Eng. 2018, 6, 1564–1571. [Google Scholar] [CrossRef]
- Ma, Y.; Navarro, C.A.; Williams, T.J.; Nutt, S.R. Recovery and reuse of acid digested amine/epoxy-based composite matrices. Polym. Degrad. Stab. 2020, 175, 109125. [Google Scholar] [CrossRef]
- Rani, M.; Choudhary, P.; Krishnan, V.; Zafar, S. Development of sustainable microwave-based approach to recover glass fibers for wind turbine blades composite waste. Resour. Conserv. Recycl. 2022, 179, 106107. [Google Scholar] [CrossRef]
- Ma, Y.; Nutt, S. Chemical treatment for recycling of amine/epoxy composites at atmospheric pressure. Polym. Degrad. Stab. 2018, 153, 307–317. [Google Scholar] [CrossRef]
- Li, J.; Xu, P.-L.; Zhu, Y.-K.; Ding, J.-P.; Xue, L.-X.; Wang, Y.-Z. A promising strategy for chemical recycling of carbon fiber/thermoset composites: Self-accelerating decomposition in a mild oxidative system. Green Chem. 2012, 14, 3260–3263. [Google Scholar] [CrossRef]
- Xu, P.; Li, J.; Ding, J. Chemical recycling of carbon fibre/epoxy composites in a mixed solution of peroxide hydrogen and N,N-dimethylformamide. Compos. Sci. Technol. 2013, 82, 54–59. [Google Scholar] [CrossRef]
- Kim, D.H.; Lee, M.; Goh, M. Enhanced and Eco-Friendly Recycling of Carbon-Fiber-Reinforced Plastics Using Water at Ambient Pressure. ACS Sustain. Chem. Eng. 2020, 8, 2433–2440. [Google Scholar] [CrossRef]
- Kim, D.H.; Yu, A.; Goh, M. Oxidative chemical depolymerization of thermoset epoxy resin for green recycling. J. Ind. Eng. Chem. 2021, 96, 76–81. [Google Scholar] [CrossRef]
- Lo, J.N.; Nutt, S.R.; Williams, T.J. Recycling Benzoxazine–Epoxy Composites via Catalytic Oxidation. ACS Sustain. Chem. Eng. 2018, 6, 7227–7231. [Google Scholar] [CrossRef]
- Grotjahn, D.B.; Brown, D.B.; Martin, J.K.; Marelius, D.C.; Abadjian, M.-C.; Tran, H.N.; Kalyuzhny, G.; Vecchio, K.S.; Specht, Z.G.; Cortes-Llamas, S.A.; et al. Evolution of Iridium-Based Molecular Catalysts during Water Oxidation with Ceric Ammonium Nitrate. J. Am. Chem. Soc. 2011, 133, 19024–19027. [Google Scholar] [CrossRef]
- Nair, V.; Deepthi, A. Cerium(IV) Ammonium NitrateA Versatile Single-Electron Oxidant. Chem. Rev. 2007, 107, 1862–1891. [Google Scholar] [CrossRef] [PubMed]
- Navarro, C.A.; Ma, Y.; Michael, K.H.; Breunig, H.M.; Nutt, S.R.; Williams, T.J. Catalytic, aerobic depolymerization of epoxy thermoset composites. Green Chem. 2021, 23, 6356–6360. [Google Scholar] [CrossRef]
- Long, Y.; Tian, F.; Bai, L.; An, W.; Zhao, X.; Du, R.; Liu, X.; Zhou, X.; Xu, S.; Wang, Y.-Z. A mild and efficient oxidative degradation system of epoxy thermosets: Full recovery and degradation mechanism. Green Chem. 2022, 24, 7082–7091. [Google Scholar] [CrossRef]
- Wang, Y.; Cui, X.; Ge, H.; Yang, Y.; Wang, Y.; Zhang, C.; Li, J.; Deng, T.; Qin, Z.; Hou, X. Chemical Recycling of Carbon Fiber Reinforced Epoxy Resin Composites via Selective Cleavage of the Carbon–Nitrogen Bond. ACS Sustain. Chem. Eng. 2015, 3, 3332–3337. [Google Scholar] [CrossRef]
- Liu, T.; Zhang, M.; Guo, X.; Liu, C.; Liu, T.; Xin, J.; Zhang, J. Mild chemical recycling of aerospace fiber/epoxy composite wastes and utilization of the decomposed resin. Polym. Degrad. Stab. 2017, 139, 20–27. [Google Scholar] [CrossRef]
- Ahrens, A.; Bonde, A.; Sun, H.; Wittig, N.K.; Hammershøj, H.C.D.; Batista, G.M.F.; Sommerfeldt, A.; Frølich, S.; Birkedal, H.; Skrydstrup, T. Catalytic disconnection of C–O bonds in epoxy resins and composites. Nature 2023, 617, 730–737. [Google Scholar] [CrossRef] [PubMed]
- Liao, Y.; Takahashi, K.; Nozaki, K. Nickel-Catalyzed C(sp3)–O Hydrogenolysis via a Remote-Concerted Oxidative Addition and Its Application to Degradation of a Bisphenol A-Based Epoxy Resin. J. Am. Chem. Soc. 2024, 146, 2419–2425. [Google Scholar] [CrossRef] [PubMed]
- Sun, H.; Ahrens, A.; Batista, G.M.F.; Donslund, B.S.; Ravn, A.K.; Schwibinger, E.V.; Nova, A.; Skrydstrup, T. Solvent–base mismatch enables the deconstruction of epoxy polymers and bisphenol A recovery. Green Chem. 2024, 26, 815–824. [Google Scholar] [CrossRef]
- DiPucchio, R.C.; Stevenson, K.R.; Lahive, C.W.; Michener, W.E.; Beckham, G.T. Base-Mediated Depolymerization of Amine-Cured Epoxy Resins. ACS Sustain. Chem. Eng. 2023, 11, 16946–16954. [Google Scholar] [CrossRef]
- Rossow, T.; Seiffert, S. Supramolecular Polymer Networks: Preparation, Properties, and Potential. In Supramolecular Polymer Networks and Gels; Seiffert, S., Ed.; Springer International Publishing: Cham, Switzerland, 2015; pp. 1–46. [Google Scholar]
- Heinzmann, C.; Weder, C.; de Espinosa, L.M. Supramolecular polymer adhesives: Advanced materials inspired by nature. Chem. Soc. Rev. 2016, 45, 342–358. [Google Scholar] [CrossRef]
- Whittell, G.R.; Hager, M.D.; Schubert, U.S.; Manners, I. Functional soft materials from metallopolymers and metallosupramolecular polymers. Nat. Mater. 2011, 10, 176–188. [Google Scholar] [CrossRef] [PubMed]
- Voorhaar, L.; Hoogenboom, R. Supramolecular polymer networks: Hydrogels and bulk materials. Chem. Soc. Rev. 2016, 45, 4013–4031. [Google Scholar] [CrossRef]
- Kloxin, C.J.; Scott, T.F.; Adzima, B.J.; Bowman, C.N. Covalent Adaptable Networks (CANs): A Unique Paradigm in Cross-Linked Polymers. Macromolecules 2010, 43, 2643–2653. [Google Scholar] [CrossRef] [PubMed]
- Yang, Y.; Xu, Y.; Ji, Y.; Wei, Y. Functional Epoxy Vitrimers and Composites. Prog. Mater. Sci. 2021, 120, 100710. [Google Scholar] [CrossRef]
- Denissen, W.; Winne, J.M.; Du Prez, F.E. Vitrimers: Permanent organic networks with glass-like fluidity. Chem. Sci. 2016, 7, 30–38. [Google Scholar] [CrossRef]
- Montarnal, D.; Capelot, M.; Tournilhac, F.; Leibler, L. Silica-Like Malleable Materials from Permanent Organic Networks. Science 2011, 334, 965–968. [Google Scholar] [CrossRef] [PubMed]
- Jin, Y.; Lei, Z.; Taynton, P.; Huang, S.; Zhang, W. Malleable and Recyclable Thermosets: The Next Generation of Plastics. Matter 2019, 1, 1456–1493. [Google Scholar] [CrossRef]
- Christensen, P.R.; Scheuermann, A.M.; Loeffler, K.E.; Helms, B.A. Closed-loop recycling of plastics enabled by dynamic covalent diketoenamine bonds. Nat. Chem. 2019, 11, 442–448. [Google Scholar] [CrossRef]
- Zhang, Z.; Lei, D.; Zhang, C.; Wang, Z.; Jin, Y.; Zhang, W.; Liu, X.; Sun, J. Strong and Tough Supramolecular Covalent Adaptable Networks with Room-Temperature Closed-Loop Recyclability. Adv. Mater. 2023, 35, 2208619. [Google Scholar] [CrossRef]
- Mahajan, J.S.; O’Dea, R.M.; Norris, J.B.; Korley, L.T.J.; Epps, T.H., III. Aromatics from Lignocellulosic Biomass: A Platform for High-Performance Thermosets. ACS Sustain. Chem. Eng. 2020, 8, 15072–15096. [Google Scholar] [CrossRef]
- Clarke, R.W.; Rognerud, E.G.; Puente-Urbina, A.; Barnes, D.; Murdy, P.; McGraw, M.L.; Newkirk, J.M.; Beach, R.; Wrubel, J.A.; Hamernik, L.J.; et al. Manufacture and Testing of Biomass-Derivable Thermosets for Wind Blade Recycling. Science 2024, 385, 854–860. [Google Scholar] [CrossRef]
- Wu, X.; Hartmann, P.; Berne, D.; De Bruyn, M.; Cuminet, F.; Wang, Z.; Zechner, J.M.; Boese, A.D.; Placet, V.; Caillol, S.; et al. Closed-loop recyclability of a biomass-derived epoxy-amine thermoset by methanolysis. Science 2024, 384, eadj9989. [Google Scholar] [CrossRef]
- Meng, J.; Zeng, Y.; Zhu, G.; Zhang, J.; Chen, P.; Cheng, Y.; Fang, Z.; Guo, K. Sustainable bio-based furan epoxy resin with flame retardancy. Polym. Chem. 2019, 10, 2370–2375. [Google Scholar] [CrossRef]
- Yu, K.; Shi, Q.; Dunn, M.L.; Wang, T.; Qi, H.J. Carbon Fiber Reinforced Thermoset Composite with Near 100% Recyclability. Adv. Funct. Mater. 2016, 26, 6098–6106. [Google Scholar] [CrossRef]
- Shi, Q.; Yu, K.; Kuang, X.; Mu, X.; Dunn, C.K.; Dunn, M.L.; Wang, T.; Jerry Qi, H. Recyclable 3D printing of vitrimer epoxy. Mater. Horiz. 2017, 4, 598–607. [Google Scholar] [CrossRef]
- Yang, Y.; Peng, G.; Wu, S.; Hao, W. A repairable anhydride-epoxy system with high mechanical properties inspired by vitrimers. Polymer 2018, 159, 162–168. [Google Scholar] [CrossRef]
- Chen, G.-K.; Wu, K.; Zhang, Q.; Shi, Y.-C.; Lu, M.-G. Dual-Responsive Shape Memory and Thermally Reconfigurable Reduced Graphene Oxide-Vitrimer Composites. Macromol. Res. 2019, 27, 526–533. [Google Scholar] [CrossRef]
- Kuang, X.; Guo, E.; Chen, K.; Qi, H.J. Extraction of Biolubricant via Chemical Recycling of Thermosetting Polymers. ACS Sustain. Chem. Eng. 2019, 7, 6880–6888. [Google Scholar] [CrossRef]
- Tang, Z.; Liu, Y.; Guo, B.; Zhang, L. Malleable, Mechanically Strong, and Adaptive Elastomers Enabled by Interfacial Exchangeable Bonds. Macromolecules 2017, 50, 7584–7592. [Google Scholar] [CrossRef]
- Demongeot, A.; Groote, R.; Goossens, H.; Hoeks, T.; Tournilhac, F.; Leibler, L. Cross-Linking of Poly(butylene terephthalate) by Reactive Extrusion Using Zn(II) Epoxy-Vitrimer Chemistry. Macromolecules 2017, 50, 6117–6127. [Google Scholar] [CrossRef]
- Altuna, F.I.; Hoppe, C.E.; Williams, R.J.J. Shape memory epoxy vitrimers based on DGEBA crosslinked with dicarboxylic acids and their blends with citric acid. RSC Adv. 2016, 6, 88647–88655. [Google Scholar] [CrossRef]
- Takahashi, A.; Ohishi, T.; Goseki, R.; Otsuka, H. Degradable epoxy resins prepared from diepoxide monomer with dynamic covalent disulfide linkage. Polymer 2016, 82, 319–326. [Google Scholar] [CrossRef]
- Johnson, L.M.; Ledet, E.; Huffman, N.D.; Swarner, S.L.; Shepherd, S.D.; Durham, P.G.; Rothrock, G.D. Controlled degradation of disulfide-based epoxy thermosets for extreme environments. Polymer 2015, 64, 84–92. [Google Scholar] [CrossRef]
- Ruiz de Luzuriaga, A.; Martin, R.; Markaide, N.; Rekondo, A.; Cabañero, G.; Rodríguez, J.; Odriozola, I. Epoxy resin with exchangeable disulfide crosslinks to obtain reprocessable, repairable and recyclable fiber-reinforced thermoset composites. Mater. Horiz. 2016, 3, 241–247. [Google Scholar] [CrossRef]
- Capon, B. Neighbouring group participation. Q. Rev. Chem. Soc. 1964, 18, 45–111. [Google Scholar] [CrossRef]
- Altuna, F.I.; Pettarin, V.; Williams, R.J.J. Self-healable polymer networks based on the cross-linking of epoxidised soybean oil by an aqueous citric acid solution. Green Chem. 2013, 15, 3360–3366. [Google Scholar] [CrossRef]
- Delahaye, M.; Tanini, F.; Holloway, J.O.; Winne, J.M.; Du Prez, F.E. Double neighbouring group participation for ultrafast exchange in phthalate monoester networks. Polym. Chem. 2020, 11, 5207–5215. [Google Scholar] [CrossRef]
- Delahaye, M.; Winne, J.M.; Du Prez, F.E. Internal Catalysis in Covalent Adaptable Networks: Phthalate Monoester Transesterification as a Versatile Dynamic Cross-Linking Chemistry. J. Am. Chem. Soc. 2019, 141, 15277–15287. [Google Scholar] [CrossRef] [PubMed]
- Zhang, H.; Majumdar, S.; van Benthem, R.A.T.M.; Sijbesma, R.P.; Heuts, J.P.A. Intramolecularly Catalyzed Dynamic Polyester Networks Using Neighboring Carboxylic and Sulfonic Acid Groups. ACS Macro Lett. 2020, 9, 272–277. [Google Scholar] [CrossRef]
- Zhang, J.; Chen, S.; Qin, B.; Zhang, D.; Guo, P.; He, Q. Preparation of hyperbranched polymeric ionic liquids for epoxy resin with simultaneous improvement of strength and toughness. Polymer 2019, 164, 154–162. [Google Scholar] [CrossRef]
- Wei, F.; Zhang, J.; Wu, C.; Luo, M.; Ye, B.; Zhang, H.; Wang, J.; Miao, M.; Li, T.; Zhang, D. Closed-Loop Recycling of Tough and Flame-Retardant Epoxy Resins. Macromolecules 2023, 56, 5290–5305. [Google Scholar] [CrossRef]
- Zhong, L.; Hao, Y.; Zhang, J.; Wei, F.; Li, T.; Miao, M.; Zhang, D. Closed-Loop Recyclable Fully Bio-Based Epoxy Vitrimers from Ferulic Acid-Derived Hyperbranched Epoxy Resin. Macromolecules 2022, 55, 595–607. [Google Scholar] [CrossRef]
- Zhang, J.; Jiang, C.; Deng, G.; Luo, M.; Ye, B.; Zhang, H.; Miao, M.; Li, T.; Zhang, D. Closed-loop recycling of tough epoxy supramolecular thermosets constructed with hyperbranched topological structure. Nat. Commun. 2024, 15, 4869. [Google Scholar] [CrossRef]
- Belowich, M.E.; Stoddart, J.F. Dynamic imine chemistry. Chem. Soc. Rev. 2012, 41, 2003–2024. [Google Scholar] [CrossRef]
- Roig, A.; Hidalgo, P.; Ramis, X.; De la Flor, S.; Serra, À. Vitrimeric Epoxy-Amine Polyimine Networks Based on a Renewable Vanillin Derivative. ACS Appl. Polym. Mater. 2022, 4, 9341–9350. [Google Scholar] [CrossRef]
- Xie, W.; Huang, S.; Liu, S.; Zhao, J. Imine-functionalized biomass-derived dynamic covalent thermosets enabled by heat-induced self-crosslinking and reversible structures. Chem. Eng. J. 2021, 404, 126598. [Google Scholar] [CrossRef]
- Ma, J.; Li, G.; Hua, X.; Liu, N.; Liu, Z.; Zhang, F.; Yu, L.; Chen, X.; Shang, L.; Ao, Y. Biodegradable epoxy resin from vanillin with excellent flame-retardant and outstanding mechanical properties. Polym. Degrad. Stab. 2022, 201, 109989. [Google Scholar] [CrossRef]
- Wang, S.; Ma, S.; Li, Q.; Xu, X.; Wang, B.; Yuan, W.; Zhou, S.; You, S.; Zhu, J. Facile in situ preparation of high-performance epoxy vitrimer from renewable resources and its application in nondestructive recyclable carbon fiber composite. Green Chem. 2019, 21, 1484–1497. [Google Scholar] [CrossRef]
- Zhao, S.; Abu-Omar, M.M. Recyclable and Malleable Epoxy Thermoset Bearing Aromatic Imine Bonds. Macromolecules 2018, 51, 9816–9824. [Google Scholar] [CrossRef]
- Chen, M.; Zhou, L.; Wu, Y.; Zhao, X.; Zhang, Y. Rapid Stress Relaxation and Moderate Temperature of Malleability Enabled by the Synergy of Disulfide Metathesis and Carboxylate Transesterification in Epoxy Vitrimers. ACS Macro Lett. 2019, 8, 255–260. [Google Scholar] [CrossRef]
- Lei, Z.Q.; Xiang, H.P.; Yuan, Y.J.; Rong, M.Z.; Zhang, M.Q. Room-Temperature Self-Healable and Remoldable Cross-linked Polymer Based on the Dynamic Exchange of Disulfide Bonds. Chem. Mater. 2014, 26, 2038–2046. [Google Scholar] [CrossRef]
- Osthoff, R.C.; Bueche, A.M.; Grubb, W.T. Chemical Stress-Relaxation of Polydimethylsiloxane Elastomers1. J. Am. Chem. Soc. 1954, 76, 4659–4663. [Google Scholar] [CrossRef]
- Zheng, P.; McCarthy, T.J. A Surprise from 1954: Siloxane Equilibration Is a Simple, Robust, and Obvious Polymer Self-Healing Mechanism. J. Am. Chem. Soc. 2012, 134, 2024–2027. [Google Scholar] [CrossRef]
- Wu, X.; Yang, X.; Yu, R.; Zhao, X.-J.; Zhang, Y.; Huang, W. A facile access to stiff epoxy vitrimers with excellent mechanical properties via siloxane equilibration. J. Mater. Chem. A 2018, 6, 10184–10188. [Google Scholar] [CrossRef]
- Wang, B.; Ma, S.; Li, Q.; Zhang, H.; Liu, J.; Wang, R.; Chen, Z.; Xu, X.; Wang, S.; Lu, N.; et al. Facile synthesis of “digestible”, rigid-and-flexible, bio-based building block for high-performance degradable thermosetting plastics. Green Chem. 2020, 22, 1275–1290. [Google Scholar] [CrossRef]
- Chen, X.; Chen, S.; Xu, Z.; Zhang, J.; Miao, M.; Zhang, D. Degradable and recyclable bio-based thermoset epoxy resins. Green Chem. 2020, 22, 4187–4198. [Google Scholar] [CrossRef]
- Dinu, R.; Pidvoronia, A.; Lafont, U.; Damiano, O.; Mija, A. High performance, recyclable and sustainable by design natural polyphenol-based epoxy polyester thermosets. Green Chem. 2023, 25, 2327–2337. [Google Scholar] [CrossRef]
- Zhang, W.; Gao, F.; Chen, X.; Shen, L.; Chen, Y.; Lin, Y. Recyclable, Degradable, and Fully Bio-Based Covalent Adaptable Polymer Networks Enabled by a Dynamic Diacetal Motif. ACS Sustain. Chem. Eng. 2023, 11, 3065–3073. [Google Scholar] [CrossRef]















Disclaimer/Publisher’s Note: The statements, opinions and data contained in all publications are solely those of the individual author(s) and contributor(s) and not of MDPI and/or the editor(s). MDPI and/or the editor(s) disclaim responsibility for any injury to people or property resulting from any ideas, methods, instructions or products referred to in the content. |
© 2024 by the authors. Licensee MDPI, Basel, Switzerland. This article is an open access article distributed under the terms and conditions of the Creative Commons Attribution (CC BY) license (https://creativecommons.org/licenses/by/4.0/).
Share and Cite
Zhang, S.; He, E.; Liang, H.; Yang, Z.; Wang, Y.; Yang, Z.; Gao, C.; Wang, G.; Wei, Y.; Ji, Y. Chemical Recycling of Epoxy Thermosets: From Sources to Wastes. Actuators 2024, 13, 449. https://doi.org/10.3390/act13110449
Zhang S, He E, Liang H, Yang Z, Wang Y, Yang Z, Gao C, Wang G, Wei Y, Ji Y. Chemical Recycling of Epoxy Thermosets: From Sources to Wastes. Actuators. 2024; 13(11):449. https://doi.org/10.3390/act13110449
Chicago/Turabian StyleZhang, Shuhan, Enjian He, Huan Liang, Zhijun Yang, Yixuan Wang, Zhongqiang Yang, Chao Gao, Guoli Wang, Yen Wei, and Yan Ji. 2024. "Chemical Recycling of Epoxy Thermosets: From Sources to Wastes" Actuators 13, no. 11: 449. https://doi.org/10.3390/act13110449
APA StyleZhang, S., He, E., Liang, H., Yang, Z., Wang, Y., Yang, Z., Gao, C., Wang, G., Wei, Y., & Ji, Y. (2024). Chemical Recycling of Epoxy Thermosets: From Sources to Wastes. Actuators, 13(11), 449. https://doi.org/10.3390/act13110449

