Design and Experimental Study on Vibration Reduction of an UAV Lidar Using Rubber Material
Abstract
1. Introduction
2. Hyperelasticity-Viscoelasticity Constitutive Model Theory of Rubber
2.1. Mooney-Rivilin Hyperelastic Constitutive Model
- When an external load (stress) is applied to the rubber material, deformation (strain) occurs immediately;
- After the load acting on the rubber material is unloaded, the material fully returns to its original state;
- The rubber material is an isotropic material and the volume is incompressible;
- There is a strain energy function, and the stress of the material can be obtained by taking the partial derivative of this function.
2.2. Generalized Maxwell Viscoelastic Constitutive Model
2.3. Hyperelasticity-Viscoelasticity Constitutive Model
3. Nonlinear Constitutive Parameter Testing of Rubber
3.1. Generalized Maxwell Viscoelastic Constitutive Model
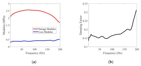
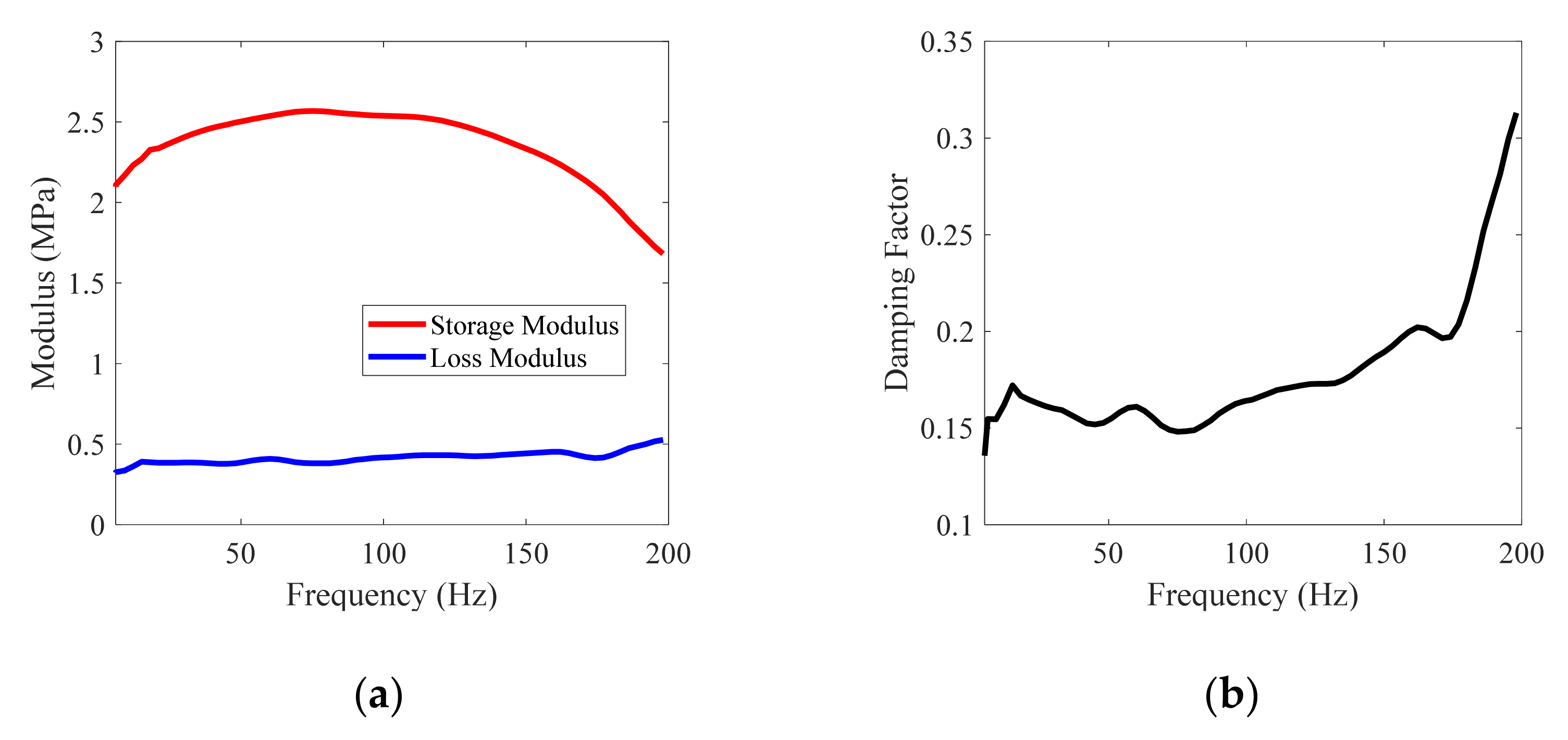
3.2. Rubber Viscoelasticity Parameter Test
4. Vibration Reduction Design of UAV LiDAR
Dynamic Model of Radar Vibration Reduction System
- (1)
- When 0 < λ < 1, almost all the excitation transmitted by the UAV bracket passes through the shock absorber, and the shock absorber has no vibration reduction effect.
- (2)
- When λ ≈ 1, that is, when the input excitation frequency is very close to the natural frequency of the shock absorber, the structure will resonate in this case, which not only has no vibration reduction effect, but also increases the interference to some extent.
- (3)
- When , the shock absorber does not have the effect of vibration reduction, resulting in vibration amplification. It can be seen from the figure that in the frequency range without vibration reduction effect, when it gradually increases, the displacement transmissibility has a general decreasing law. It can be seen that the damping effect of the shock absorber is significantly improved by appropriately increasing the damping energy, and this effect is especially obvious in the frequency range of resonance occurrence.
- (4)
- When , it can be seen from the figure that the transmissibility gradually decreases with the increase in frequency, indicating that the vibration reduction effect is better. However, when the frequency increases, the transmissibility also increases. At this time, increasing the damping weakens the vibration reduction effect of the structure.
5. Finite Element Simulation of LiDAR Vibration Reduction System
5.1. Radar Mounting Base Vibration Input Condition Test
5.2. Finite Element Modeling and Modal Analysis
5.3. Vibration Test System
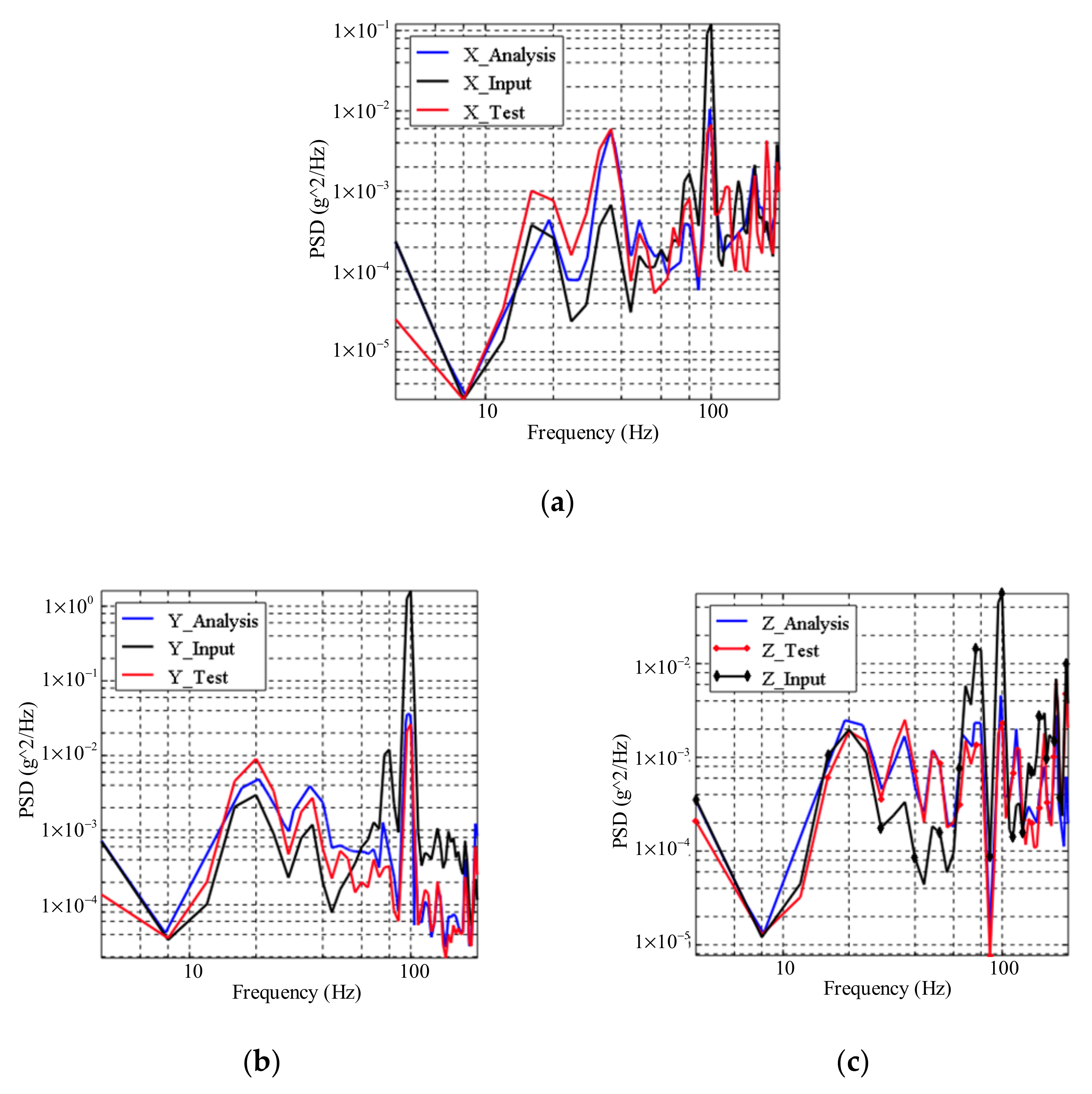
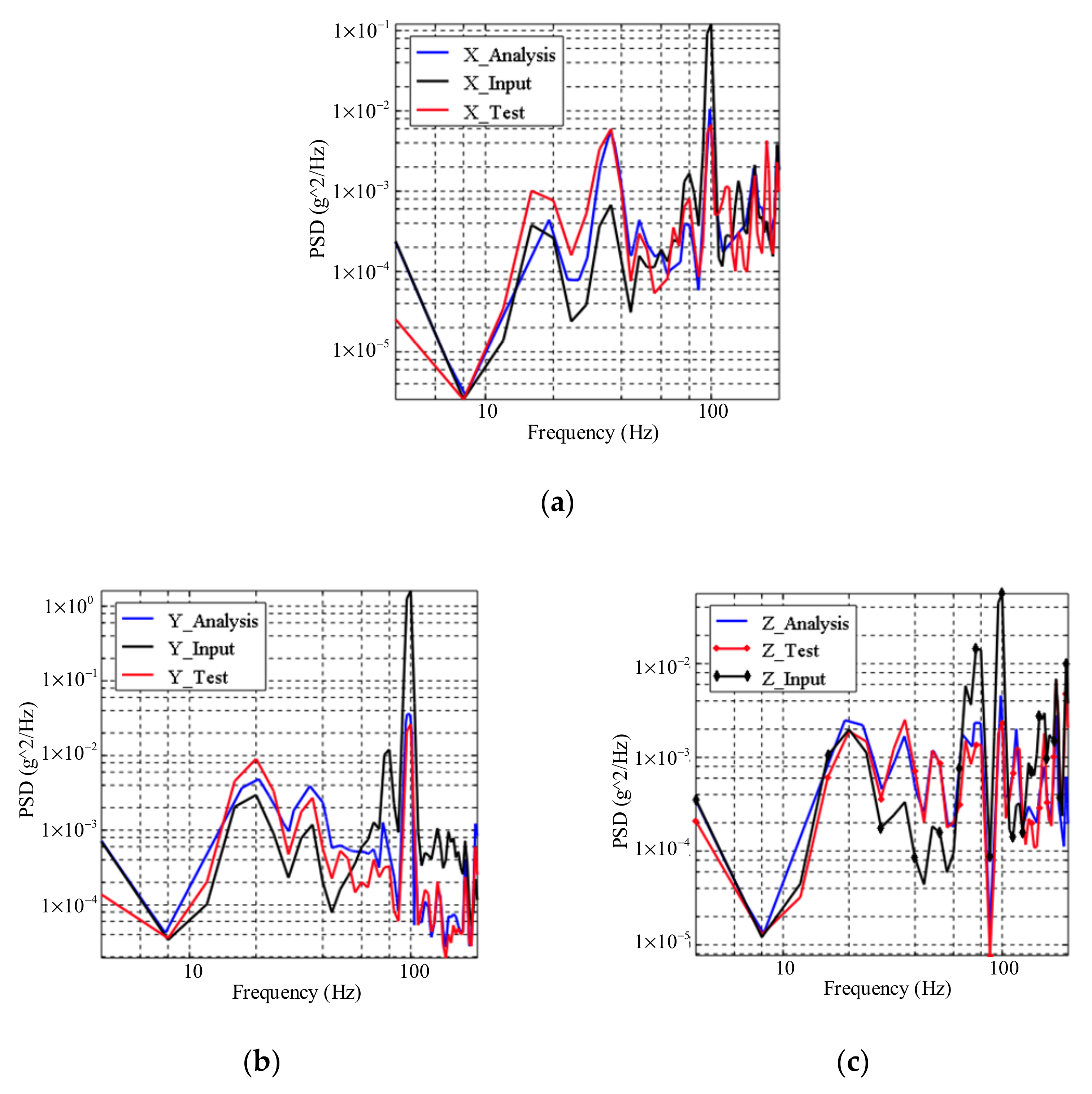
5.4. Vibration Response Simulation and Test Verification
6. Conclusions
Author Contributions
Funding
Conflicts of Interest
References
- Qin, Y.; Li, Z.L.; Sun, D.G.; Wang, Y.; Sun, B. A Distributed-order Maxwell Constitutive Model for Vibration Isolation SR and its Shock Response. Mech. Sci. Technol. Aerosp. Eng. 2021, 40, 16–21. [Google Scholar]
- He, S.L.; Yu, A.; Ren, J. Study on Rationality of Fractional Derivative Constitutive Model of Rubber Viscoelasticity. J. Kunming Univ. 2020, 42, 78–83. [Google Scholar]
- Du, Y.G.; Fu, Z.H.; Yang, Z.C. The Calculation and Test for a MRD Vibration Isolation System Based on a Modified Ogden Material Model. Spacecr. Environ. Eng. 2017, 34, 265–269. [Google Scholar]
- Zhang, Q.; Shi, J.W.; Suo, S.F.; Meng, G.G. Finite Element Analysis of Rubber Material Based on Mooney-Rivlin Model and Yeoh Model. Synth. Rubber Ind. 2020, 43, 468–471. [Google Scholar]
- Vaiana, N.; Rosati, L. Classification and Unified Phenomenological Modeling of Complex Uniaxial Rate-Independent Hysteretic Responses. Mech. Syst. Signal Process. 2023, 182, 109539. [Google Scholar] [CrossRef]
- Pellecchia, D.; Lo Feudo, S.; Vaiana, N.; Dion, J.-L.; Rosati, L. A Procedure to Model and Design Elastomeric-Based Isolation Systems for the Seismic Protection of Rocking Art Objects. Comput.-Aided Civ. Infrastruct. Eng. 2022, 37, 1298–1315. [Google Scholar] [CrossRef]
- Vaiana, N.; Sessa, S.; Marmo, F.; Rosati, L. An Accurate and Computationally Efficient Uniaxial Phenomenological Model for Steel and Fiber Reinforced Elastomeric Bearings. Compos. Struct. 2019, 211, 196–212. [Google Scholar] [CrossRef]
- Li, X.F.; Yang, X.X. A Review of Elastic Constitutive Model For Rubber Materials. China Elastomers 2005, 1, 52–60. [Google Scholar]
- Pan, X.Y. An Investigation on Calculation and Modeling Methods for Dynamic Properties of a Rubber Isolator. Ph.D. Thesis, Zhejiang University of Technology, Hangzhou, China, 2009. [Google Scholar]
- Arruda, E.M.; Boyce, M.C. A Three-Dimensional Constitutive Model for the Large Stretch Behavior of Rubber Elastic Materials. J. Mech. Phys. Solids 1993, 41, 389–412. [Google Scholar] [CrossRef]
- Mooney, M. A Theory of Large Elastic Deformation. J. Appl. Phys. 1940, 11, 582. [Google Scholar] [CrossRef]
- Sasso, M.; Palmieri, G.; Chiappini, G.; Amodio, D. Characterization of Hyperelastic Rubber-like Materials by Biaxial and Uniaxial Stretching Tests Based on Optical Methods. Polym. Test. 2008, 27, 995–1004. [Google Scholar] [CrossRef]
- Lin, B. A New Model for Hyperelasticity. Acta Mech. 2009, 208, 39–53. [Google Scholar] [CrossRef]
- Yaya, K.; Bechir, H. A New Hyper-Elastic Model for Predicting Multi-Axial Behaviour of Rubber-like Materials: Formulation and Computational Aspects. Mech. Time-Depend. Mater. 2018, 22, 167–186. [Google Scholar] [CrossRef]
- Xiao, Q.S.; Zhao, Y.L.; Jin, Z. On the Equivalent test of Hyper-elastic Constitutive Model for Rubber Material of Absorber. Shipbuild. Ocean Eng. 2018, 47, 126–130. [Google Scholar]
- Han, B.H. Research on Measurement and Application of Rubber Material Constant Based on Mooney-Rivlin Model. Rubber Ind. 2018, 65, 21–25. [Google Scholar]
- Jiang, X.; Yu, L.; Yang, H.; Zhou, W. Shaking Table Test Study of Low-Buried and Unsymmetrical Pressure Tunnels with Rubber Shock Absorber Layer. Geotech. Geol. Eng. 2021, 39, 171–183. [Google Scholar] [CrossRef]
- Korostelev, S.A. Stress–Strain State of Internal Rubber Shock-Absorbing Components in a Small Supporting Roller of a Caterpillar System. Russ. Eng. Res. 2019, 39, 821–826. [Google Scholar] [CrossRef]
- Ju, S.-H.; Yuantien, C.-C.; Hsieh, W.-K. Study of Lead Rubber Bearings for Vibration Reduction in High-Tech Factories. Appl. Sci. 2020, 10, 1502. [Google Scholar] [CrossRef]
- Zeng, Z.; Ahmed Shuaibu, A.; Liu, F.; Ye, M.; Wang, W. Experimental Study on the Vibration Reduction Characteristics of the Ballasted Track with Rubber Composite Sleepers. Constr. Build. Mater. 2020, 262, 120766. [Google Scholar] [CrossRef]
- He, W.; Zou, C.; Pang, Y.; Wang, X. Environmental Noise and Vibration Characteristics of Rubber-Spring Floating Slab Track. Environ. Sci. Pollut. Res. 2021, 28, 13671–13689. [Google Scholar] [CrossRef]
- Wang, B.; Kari, L. Modeling and Vibration Control of a Smart Vibration Isolation System Based on Magneto-Sensitive Rubber. Smart Mater. Struct. 2019, 28, 065026. [Google Scholar] [CrossRef]
- Menga, N.; Bottiglione, F.; Carbone, G. The Nonlinear Dynamic Behavior of a Rubber-Layer Roller Bearing (RLRB) for Vibration Isolation. J. Sound Vib. 2019, 463, 114952. [Google Scholar] [CrossRef]
- Wang, B.; Kari, L. A Nonlinear Constitutive Model by Spring, Fractional Derivative and Modified Bounding Surface Model to Represent the Amplitude, Frequency and the Magnetic Dependency for Magneto-Sensitive Rubber. J. Sound Vib. 2019, 438, 344–352. [Google Scholar] [CrossRef]
- Li, J.Q. Practical numerical algorithm for dynamic response of viscoelastic composite structures. Machinery 2001, 28, 25–26. [Google Scholar]
- Singh, M.; Chang, T.-S. Seismic Analysis of Structures with Viscoelastic Dampers. J. Eng. Mech.-ASCE 2009, 135, 571–580. [Google Scholar] [CrossRef]
- Yajima, T.; Nagahama, H. Differential Geometry of Viscoelastic Models with Fractional-Order Derivatives. J. Phys. Math. Theor. 2010, 43, 385207. [Google Scholar] [CrossRef]
- Ning, W.W.; Chen, L.W.; Sun, L.M. Analysis and comparison of vibration test conditions for naval electronic equipment. Environ. Technol. 2017, 35, 76–80. [Google Scholar]
- Kaihong, Z.; Yunpeng, L.; Congyi, W.; Cheng, L. Non-Circular Gear Modal Analysis Based on ABAQUS. In Proceedings of the 2015 8th International Conference on Intelligent Computation Technology and Automation (ICICTA), Nanchang, China, 14–15 June 2015; pp. 576–579. [Google Scholar]
- Wu, W.Z.; Cheng, L.; Zhang, P. Finite Element Analysis of Rigid Strength of a Spaceborne Radar Electronic Equipment. Electromech. Eng. 2016, 32, 56–59. [Google Scholar]
- Vaiana, N.; Sessa, S.; Marmo, F.; Rosati, L. Nonlinear Dynamic Analysis of Hysteretic Mechanical Systems by Combining a Novel Rate-Independent Model and an Explicit Time Integration Method. Nonlinear Dyn. 2019, 98, 2879–2901. [Google Scholar] [CrossRef]
- Vaiana, N.; Capuano, R.; Rosati, L. Evaluation of Path-Dependent Work and Internal Energy Change for Hysteretic Mechanical Systems. Mech. Syst. Signal Process. 2023, 186, 109862. [Google Scholar] [CrossRef]
























| Material Model Coefficients | C10 | C01 | D |
|---|---|---|---|
| Coefficient value | 0.1197 | 0.0160 | 0.0 |
| Components | Materials | Density (kg/mm2) | Elastic Modulus (Mpa) | Poisson’s Ratio |
|---|---|---|---|---|
| UAV payload mounting bracket | Q235 | 7.8 × 10−9 | 2.1 × 105 | 0.27 |
| Clamping ring | Q235 | 7.8 × 10−9 | 2.1 × 105 | 0.27 |
| Connecting column | Q235 | 7.8 × 10−9 | 2.1 × 105 | 0.27 |
| Mounting plate | AL7075 | 7.8 × 10−9 | 2.1 × 105 | 0.33 |
| LiDAR mounting bracket | AL7075 | 7.8 × 10−9 | 2.1 × 105 | 0.33 |
| Camera bracket | AL7075 | 7.8 × 10−9 | 2.1 × 105 | 0.33 |
| LiDAR | AL7075 | 7.8 × 10−9 | 2.1 × 105 | 0.33 |
| Camera, GPS load | AL7075 | 7.8 × 10−9 | 2.1 × 105 | 0.33 |
| Mode Order | Mode Frequency (Hz) | Mode Shape |
|---|---|---|
| 1 | 96.190 | LiDAR translates in the X direction |
| 2 | 125.74 | LiDAR translates in the X and Z directions |
| 3 | 147.14 | LiDAR translates in the Y direction |
| 4 | 214.01 | LiDAR translates in the X and Z directions |
| 5 | 218.93 | LiDAR twists in the Z direction |
| 6 | 248.70 | LiDAR twists in the X direction |
| 7 | 257.89 | LiDAR twists in the Y direction |
| 8 | 356.54 | Local modes of other structures |
| 9 | 450.33 | Local modes of other structures |
| 10 | 530.00 | LiDAR twists in the Z direction |
| Degrees of Freedom | X | Y | Z | |||
|---|---|---|---|---|---|---|
| Mode order | 1 | 4 | 3 | 5 | 2 | 4 |
| Frequency (Hz) | 96.190 | 214.01 | 147.14 | 218.93 | 125.74 | 214.01 |
| Participation factor | 1.031 | 0.577 | 1.607 | 0.223 | 1.604 | 0.722 |
| Directions | Root Mean Square Acceleration Value (g) | ||
|---|---|---|---|
| X | Y | Z | |
| simulation results | 0.45 | 0.62 | 0.48 |
| test results | 0.42 | 0.57 | 0.45 |
| error | 7.14% | 8.77% | 6.67% |
| Directions | The Shock Absorber Does Not Work (Measurement Point A1) | The Shock Absorber Works (Measurement Point A6) | Vibration Reduction Efficiency | ||
|---|---|---|---|---|---|
| Time Domain Response (g) | RMS Acceleration Value (g) | Time Domain Response (g) | RMS Acceleration Value (g) | ||
| X direction | 38.21 | 6.68 | 2.77 | 0.56 | 91.62% |
| Y direction | 37.22 | 5.88 | 3.64 | 0.82 | 86.06% |
| Z direction | 33.46 | 4.80 | 3.15 | 0.54 | 88.75% |
Publisher’s Note: MDPI stays neutral with regard to jurisdictional claims in published maps and institutional affiliations. |
© 2022 by the authors. Licensee MDPI, Basel, Switzerland. This article is an open access article distributed under the terms and conditions of the Creative Commons Attribution (CC BY) license (https://creativecommons.org/licenses/by/4.0/).
Share and Cite
Fu, J.; Liu, G.; Fan, C.; Liu, Z.; Luo, H. Design and Experimental Study on Vibration Reduction of an UAV Lidar Using Rubber Material. Actuators 2022, 11, 345. https://doi.org/10.3390/act11120345
Fu J, Liu G, Fan C, Liu Z, Luo H. Design and Experimental Study on Vibration Reduction of an UAV Lidar Using Rubber Material. Actuators. 2022; 11(12):345. https://doi.org/10.3390/act11120345
Chicago/Turabian StyleFu, Jia, Guangming Liu, Chaohui Fan, Ziyang Liu, and Haitao Luo. 2022. "Design and Experimental Study on Vibration Reduction of an UAV Lidar Using Rubber Material" Actuators 11, no. 12: 345. https://doi.org/10.3390/act11120345
APA StyleFu, J., Liu, G., Fan, C., Liu, Z., & Luo, H. (2022). Design and Experimental Study on Vibration Reduction of an UAV Lidar Using Rubber Material. Actuators, 11(12), 345. https://doi.org/10.3390/act11120345

