Theoretical and Numerical Study on Dynamic Response of Propellant Actuator
Abstract
| Symbol | Parameter Description | Unit |
|---|---|---|
| S | Cross section area of gun barrel | m2 |
| V0 | Volume of powder chamber | m3 |
| m | Piston mass | kg |
| ω | Propellant mass | kg |
| p0 | Start-up pressure | kPa |
| φ | Coefficient of minor work | --- |
| θ | Adiabatic coefficient | --- |
| ρp | Propellant density | kg·m−3 |
| n | Burn rate pressure index | |
| u1 | Burn rate | m·(s·Pa)–1 |
| α | Co-volume | m3·kg–1 |
| lp | Piston stroke | m |
| χ | Propellant shape characteristic value | --- |
| λ | Propellant shape characteristic value | --- |
| μ | Propellant shape characteristic value | --- |
| Φ | Diameter of propellant actuator | m |
| L | Length of propellant actuator | m |
| D | Distance between piston end and actuator end | m |
| hs | Shear slice thickness | m |
| hd | Initial drop height | m |
1. Introduction
2. Working Principle of Propellant Actuator
3. Experimental Test
3.1. Experimental Method
3.2. Experimental Kit
4. Numerical Studies
4.1. Interior Ballistic Model
- (1)
- Propellant gas obeys the Nobel–Abel equation of state;
- (2)
- The combustion of the propellant follows the geometrical combustion law;
- (3)
- The gas components have the same physical and chemical parameters and gas phase velocity;
- (4)
- The composition of combustion products remains unchanged;
- (5)
- The influence of gas in the original cavity on combustion reaction, and heat loss and device deformation and gas loss are all ignored.
4.2. Numerical Model of Propellant Actuator
5. Results and Discussion
5.1. Analysis of Normal Ignition Condition
5.1.1. Typical Conditions
5.1.2. Optimization Analysis
5.2. Analysis of Accidental Drop Condition
5.2.1. Typical Conditions
5.2.2. Optimization Analysis
6. Conclusions
- (1)
- The total trend and the peak value of the simulation curve of the gas pressure–time characteristic obtained from the interior ballistic model of the propellant actuator were consistent with the experimental curve, with the peak error of 7.87% and the curve rise time error of 8.89%, revealing that the interior ballistic model of the propellant actuator is reasonable and accurate.
- (2)
- The simulation results demonstrated that the gas pressure generated by 5 mg propellant barely pushed the piston to overcome the restriction of the shear slice with a thickness of 0.3 mm and larger. Then, the gas pressure generated by 6 mg and 7 mg propellant succeeded in pushing the piston to break through the restriction of the shear slice with a thickness of 0.2 mm and 0.3 mm, but it failed to overcome the confinement of the shear slice with a thickness of 0.4 mm and larger. Last but not least, the gas pressure generated by 8 mg propellant and larger had no difficulty propelling the piston downward to the end.
- (3)
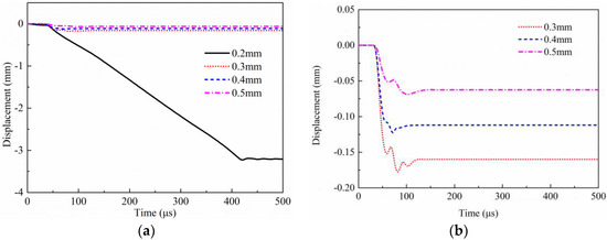
- When accidentally dropping to the ground axially, the propellant actuator with 0.2 mm shear slice could not confine the movement of the piston. On the other hand, the propellant actuator with 0.3 mm shear slice and larger could restrict the movement of the piston.
- (4)
- The propellant charge and the thickness of the shear slice cooperatively affect the dynamic feature of the actuator, and it is sensible to use more than 8 mg propellant of Lead-2, 4, 6-trinitroresorcinate styphnate in order to push the piston downward. Meanwhile, taking into account the safety requirements of transportation and service treatment, the thickness of the shear slice is not recommended to be less than 0.3 mm.
Author Contributions
Funding
Institutional Review Board Statement
Informed Consent Statement
Data Availability Statement
Acknowledgments
Conflicts of Interest
References
- Mu, H.; Luo, Y.; Luo, Y.; Chen, L. Numerical analysis of energy recovery of hybrid loader actuators based on parameters optimization. Actuators 2022, 11, 260. [Google Scholar] [CrossRef]
- Wang, L.; Jiang, Q.; Weng, Z.; Yuan, Q.; Wang, Z. Effects of flexural rigidity on soft actuators via adhering to large cylinders. Actuators 2022, 11, 286. [Google Scholar] [CrossRef]
- Jiao, Z.; Zhuang, Z.; Cheng, Y.; Deng, X.; Sun, C.; Yu, Y.; Li, F. Lightweight dual-mode soft actuator fabricated from bellows and foam materials. Actuators 2022, 11, 245. [Google Scholar] [CrossRef]
- Ida, E.; Mattioni, V. Cable-driven parallel robot actuators state of the art and novel servo-winch concept. Actuators 2022, 11, 290. [Google Scholar] [CrossRef]
- Fu, B.; Qi, H.; Xu, J.; Yang, Y. Composite sliding mode control of high precision electromechanical actuator considering friction nonlinearity. Actuators 2022, 11, 265. [Google Scholar] [CrossRef]
- Manca, R.; Puliti, M.; Circosta, S.; Galluzzi, R.; Salvatore, S.; Amati, N. Design and Optimization of an Active Leveling System Actuator for Lunar Lander Application. Actuators 2022, 11, 263. [Google Scholar] [CrossRef]
- Kalita, B.; Leonessa, A.; Dwivedy, S. A review on the development of pneumatic artificial muscle actuators: Force model and application. Actuators 2022, 11, 288. [Google Scholar] [CrossRef]
- Xie, S.; Zhang, J.; Chen, R. Miniaturized propellant actuator with interference fit between sliding pin and substrate. J. Detect. Control. 2018, 4, 116–121. [Google Scholar]
- Sun, J.; Guo, C.; Wu, R. Simulation research on the function process of the pin puller. Initiat. Pyrotech. 2017, 1, 10–13. [Google Scholar]
- Lu, J.; Zhang, S.; Yuan, L. An analysis on the combustion-kinetic process of retracting actuator. Initiat. Pyrotech. 1997, 1, 23–25+29. [Google Scholar]
- Briand, D.; Dubois, P.; Bonjour, L. Large deformation balloon micro-actuator based on pyrotechnics on chip. In Proceedings of the 2008 IEEE 21st International Conference on Micro Electro Mechanical Systems, Tucson, AZ, USA, 13–17 January 2008; IEEE: New York, NY, USA; pp. 535–538. [Google Scholar]
- Wu, Q.; Wen, Q.; Wang, Y. Theoretical analysis and simulation on pin moving process of explosive actuator. Initiat. Pyrotech. 2017, 1, 5–9. [Google Scholar]
- Lu, J.; Zhang, R.; Cui, W. Output parameters calculations and tests of piston actuator. Initiat. Pyrotech. 1996, 1, 13–16. [Google Scholar]
- Chen, J. Study on a Terminal Trajectory Correction Rocket and Its Fuze. Ph.D. Thesis, Nanjing University of Science and Technology, Nanjing, China, 2015. [Google Scholar]
- Wang, R.; Wang, Y.; Wang, C. Numerical simulation of the delay arming process of initiating explosive brakes. J. Beijing Inst. Technol. 2015, 24, 4–7. [Google Scholar]
- The 801st Teaching and Research Section in East China Institute of Technology. Internal Ballistics; East China Institute of Technology Press: Shanghai, China, 1986. [Google Scholar]
- Jin, Z. Interior Ballistics of Gun; Beijing Institute of Technology Press: Beijing, China, 2004. [Google Scholar]
- Zhang, X. Interior Ballistics of Gun; Beijing Institute of Technology Press: Beijing, China, 2014. [Google Scholar]
- Ye, Y.; Yan, N. Analysis of internal ballistic characteristics of low-impact unlocking bolt. J. Beijing Inst. Technol. 2012, 38, 1332–1336. [Google Scholar]
- Zhang, X.; Wang, Y. Analysis of dynamic characteristics for rarefaction wave gun during the launching. J. Appl. Mech. 2010, 77, 051601. [Google Scholar] [CrossRef]
- Luo, Q.; Zhang, X. Research for a projectile positioning structure for stacked projectile weapons. J. Appl. Mech. 2011, 78, 051015. [Google Scholar] [CrossRef]
- Zhang, X.; Zhou, W. Numerical simulation of interior ballistics processes of a high speed counter-mass pro pelling gun. In Proceedings of the 24th International Symposium on Ballistics, New Orleans, LA, USA, 22–26 September 2008; pp. 126–131. [Google Scholar]
- Zhang, R.; Yin, C.; Luo, X. The numerical analysis of the magnetorheological elastomer bulging for sheet metal. Procedia Manuf. 2020, 50, 110–113. [Google Scholar] [CrossRef]















| Parameter | Value |
|---|---|
| Cross section area of gun barrel S (m2) [16] | 1.81 × 10−5 |
| Volume of powder chamber V0 (m3) [16] | 9 × 10−8 |
| Piston mass m (kg) [16] | 7.5 × 10−4 |
| Propellant mass (kg) [16] | 1.2 × 10−5 |
| Start-up pressure p0 (kPa) [16] | 101 |
| Coefficient of minor work [17] | 1.22 |
| Adiabatic coefficient [17] | 0.2 |
| Propellant density (kg·m−3) [17] | 1620 |
| Burn rate pressure index n [18] | 0.72 |
| Burn rate (m·(s·Pa)−1) [18] | 2.0024 × 10−8 |
| Co-volume (m3·kg−1) [18] | 1 × 10−3 |
| Piston stroke lp (m) [18] | 5.5 × 10−3 |
| Propellant shape characteristic value [19] | 1.00716 |
| Propellant shape characteristic value [19] | −0.0071 |
| Propellant shape characteristic value [19] | 0 |
| Experiment | Simulation | Error | |
|---|---|---|---|
| Peak pressure (MPa) | 53.90 | 58.14 | 7.87% |
| Rising time (μs) | 94.10 | 85.74 | 8.89% |
| Material | Density (g/cm3) | Elastic Modulus (GPa) | Yield Strength (MPa) | Poisson Ratio |
|---|---|---|---|---|
| 1Cr18Ni9Ti | 7.85 | 207 | 205 | 0.27 |
| Thickness Charge | 0.2 mm | 0.3 mm | 0.4 mm | 0.5 mm | ||||
|---|---|---|---|---|---|---|---|---|
| Tm (µs) | up (mm) | Tm (µs) | up (mm) | Tm (µs) | up (mm) | Tm (µs) | up (mm) | |
| 5 mg | 376 | 3.238 | NAN | 0.015 | NAN | 0.011 | NAN | 0.009 |
| 6 mg | 268 | 3.286 | 370 | 3.236 | NAN | 0.018 | NAN | 0.013 |
| 7 mg | 228 | 3.341 | 258 | 3.294 | NAN | 2.792 | NAN | 0.132 |
| 8 mg | 204 | 3.386 | 220 | 3.339 | 246 | 3.290 | 324 | 3.237 |
| 9 mg | 186 | 3.400 | 194 | 3.386 | 210 | 3.338 | 230 | 3.294 |
| 10 mg | 172 | 3.400 | 178 | 3.400 | 196 | 3.398 | 198 | 3.347 |
| 11 mg | 160 | 3.400 | 166 | 3.400 | 176 | 3.400 | 180 | 3.391 |
| 12 mg | 152 | 3.400 | 156 | 3.400 | 162 | 3.400 | 162 | 3.400 |
Publisher’s Note: MDPI stays neutral with regard to jurisdictional claims in published maps and institutional affiliations. |
© 2022 by the authors. Licensee MDPI, Basel, Switzerland. This article is an open access article distributed under the terms and conditions of the Creative Commons Attribution (CC BY) license (https://creativecommons.org/licenses/by/4.0/).
Share and Cite
Xu, P.; Zhao, N.; Shi, K.; Cui, S.; Chen, C.; Liu, J. Theoretical and Numerical Study on Dynamic Response of Propellant Actuator. Actuators 2022, 11, 314. https://doi.org/10.3390/act11110314
Xu P, Zhao N, Shi K, Cui S, Chen C, Liu J. Theoretical and Numerical Study on Dynamic Response of Propellant Actuator. Actuators. 2022; 11(11):314. https://doi.org/10.3390/act11110314
Chicago/Turabian StyleXu, Pengzhao, Ning Zhao, Kunlin Shi, Shaokang Cui, Chi Chen, and Jun Liu. 2022. "Theoretical and Numerical Study on Dynamic Response of Propellant Actuator" Actuators 11, no. 11: 314. https://doi.org/10.3390/act11110314
APA StyleXu, P., Zhao, N., Shi, K., Cui, S., Chen, C., & Liu, J. (2022). Theoretical and Numerical Study on Dynamic Response of Propellant Actuator. Actuators, 11(11), 314. https://doi.org/10.3390/act11110314

