Abstract
This article presents the results of a study conducted on a sample of students at a techno-logical university in western Mexico, in which the aim was to identify a possible relationship between the presence of male chauvinistic behaviors and complex thinking. The argument that motivates this analysis focuses on the assumption that a person with high levels of complex thinking should have a more integrated vision of the capabilities of people beyond their gender, as well as a tendency to question, from a critical point of view, the possible stereotypes rooted in their environment. This article describes the study, its methodology, analyses, results, and the conclusion that high levels of complex thinking result in lower levels of male chauvinistic attitudes. Although it is recognized that this work is not exhaustive, its results are valuable for further educational, social, and gender studies research.
1. Introduction
The historical deconstruction of the patriarchal male chauvinism belief system has its origins in feminist movements and gender studies, which are credited with making visible the phallocentrism implicit in hegemonic Euro-Western theories of the human being [1]. The naturalization and legitimization of the androcentric order leave the conscience unprotected since they establish a social order that is symbolically articulated to ratify the male dominance on which it is based. According to Castañeda [2], male chauvinism can be defined as:
“…a set of beliefs, attitudes, and behaviors that rest on two fundamental ideas: on the one hand, the polarization of the sexes, i.e., a counterposition of the masculine and the feminine according to which they are not only different but mutually exclusive; on the other, the superiority of the masculine in areas considered important by men. Hence, male chauvinism involves a series of definitions of what it means to be a man and a woman, as well as a whole way of life based on it”. (p. 25)
Thus, rethinking hegemonic masculinity as an exercise that deconstructs heteronormativity has been a task that can be recognized from feminist movements, which, from critical positions, have made visible the different forms of violence that arise precisely from heteronormativity as a category [3]. As Beauvoir [4] mentioned, the meanings are not part of sex (as a biological destiny) but a social construction; therefore, one is not born a male, but chauvinistic males are constructed.
In this sense, male chauvinistic attitudes and behaviors, as a result of this social construction, can be associated with belief systems and the way in which the environment is perceived, with the development of complex thinking being an element that has an impact on their possible adoption or rejection. Complex thinking is understood as the cognitive process that recognizes the interconnection and dynamics between multiple elements and systems, involving critical analysis, reflection, and consideration of multiple perspectives and approaches that interact in reality. From the perspective of complex thinking, chauvinism is seen as a biased view of the world.
Based on the above, this article presents the results of a study conducted on a sample of students at a technological university in western Mexico, which seeks to identify a possible relationship between the presence of male chauvinistic behaviors and complex thinking. The argument that motivates this analysis is centered on the assumption that a person with high levels of complex thinking should have a more integrated vision of the capabilities of people beyond their gender, as well as a tendency to question, from a critical point of view, the possible stereotypes rooted in their environment. Methodologically, a descriptive statistical approach was carried out, mainly by analyzing means and standard deviations and constructing a boxplot analysis.
1.1. Theoretical Framework
1.1.1. Understanding Male Chauvinism from the Perspective of Androcentrism and the Patriarchal System
The heteronormativity that assigns the androcentric order as valid and universal assumes that legitimization gives it a neutral character [5]. In this sense, the androcentric order operates subjectively as a symbolic, self-regulating mechanism that structurally aligns social hierarchies with expectations according to sex as a biological and determinant character for men and women with variations, as well as common features by culture [6]. Saltzman [7] describes three arguments of cultural justification: first, an ideology and its expression in language; second, negative meanings assigned to women and their activities; and third, the structural exclusion of women’s participation in the spaces of power, especially in the economic, political, and cultural spheres.
In this sense, male chauvinism can be defined as a system that organizes men’s ways of thinking and articulates androcentrism to position, from the patriarchal structure and culture with a biological and dichotomous basis, to a hegemonic view of power that gives meaning to male behaviors that subordinate, oppress, and discriminate against women (and what is stereotyped as feminine) [8]. At the same time, male chauvinism annuls the possible diversity of masculine ways of acting and the desires and needs of men that escape this hegemonic view [9].
1.1.2. Dimensions of Male Chauvinism
The patriarchal-heteronormative system designates an opposite gender identity for each sex, i.e., women are assigned the feminine gender, and men, the masculine. Sensitivity is perceived as the absence of rationality, and subjectivity as the absence of objectivity. Examples include feminine sensibility, which is perceived as the absence of masculine rationality, and feminine subjectivity, which is the absence of masculine objectivity. That said, masculinity and male chauvinism are consolidated in negating what is devalued or lacking. According to Bustamante in De la Cruz and Morales [10], male chauvinism contains five dimensions:
- Male dominance refers to the influence of men over women as the ultimate authority over their partner. It promotes female dependence and a lack of individual development.
- Male superiority shows men’s capacity over women, assigning them priority and privilege to grant exclusively to women the tasks of care and administration of the home so that their possibilities of labor and professional growth are subordinated.
- Women have exclusive and total responsibility over household management; however, the management of the home, as well as the authority to make decisions, is for men.
- Transgenerational norms from parents to children concerning sexual roles are assigned by gender and influenced by culture.
- Men receive the attribute of exercising sexual control which allows them to manage their sexuality at their discretion; therefore, the woman assumes a passive role of silence and even acceptance of the man’s infidelity.
1.1.3. Male Chauvinism from a Critical Point of View
Male chauvinism is linked to traditional masculinity, which is imposing and dominant. Male chauvinism education occurs in the early stages when children learn that the strong dominate and subjugate the weak, which is replicated in adult life [11]. As a counterpart to male chauvinism, a reconceptualization of the meaning of being a man is required, balancing traditional roles attributed to the feminine and the masculine [12].
Therefore, it is necessary to study male chauvinism from a critical viewpoint that questions the old paradigms that have become hegemonically rooted in our society. To think of a new vision of masculinity is to overcome the prejudices of what “masculine” or “feminine” means, allowing us to open up new possibilities and not limit ourselves to a culturally constructed dichotomous position [13]. This dichotomy between masculine and feminine does not necessarily give rise to chauvinistic men; however, the exclusive adoption of attitudes and behaviors associated with masculine or feminine as elements that exclude one from the other can have an impact on the development of this type of patriarchal visions. Closing oneself to this thinking means that men only have two options: to be a man or a woman, since leaving this scheme implies feminizing oneself [14].
Chauvinistic men are also expected to overcome homophobic attitudes [13], so it is necessary to question whether a cultural change is evident in how these concepts are perceived or whether these ideas continue to be rooted in the male chauvinistic and violent culture. Questioning points such as “Men who oppose the patriarchal model (men dominate, and women obey) are faggots” are relevant for analyzing male chauvinism and the possible change towards positive masculinities.
It is essential to recognize that overcoming male chauvinism implies a critical vision of the meaning of masculinity which questions how the male chauvinistic and patriarchal system has generated violence among men; i.e., the fact that men have also suffered from the irrational injustice of men who reach positions of power and seek to reaffirm their dominance over others. In this sense, in addition to criticizing this issue, it is necessary to empirically question how the individual perceives the validity of this type of attitude.
1.1.4. Complex Thinking as an Element of Paradigm Restructuring
Complex thinking or reasoning refers to the ability of a person to apply integrative thinking that enables them to analyze and synthesize information for problem-solving and develop continuous learning [15]. The notion of complexity refers to the broad understanding of the environment multidimensionally, considering all the elements that interact in any phenomenon [16].
The competency of complex thinking allows individuals to face the challenges of reality integrally and strategically, considering diverse disciplines and approaches within their analysis and choices [17]. Therefore, complex thinking determines how people perceive their environment, considering what they know, believe, or have learned from it [18]. Within this vision of complexity, the competency of complex thinking considers four sub-competencies or types of reasoning: systemic, creative, scientific, and critical thinking [19].
Systems thinking is the type of reasoning that allows the analysis of interconnected problems and recognition of the elements that make them up and the dynamics between them [20]. Scientific thinking allows people to make decisions and solve problems by adopting objective and validated methodologies and tools for reasoning and formulating and testing hypotheses [21]. For its part, innovative thinking, also known as creative thinking, considers the inclusion of processes that evaluate reality from different angles and perspectives, seeking to generate proposals and solutions that are both original and feasible [22]. Finally, critical thinking makes it possible to evaluate the validity of reasoning from one’s own vision, allowing one to rethink problems beyond existing paradigms [23].
From the latter, it is possible to appreciate how complex thinking can be a relevant element in the restructuring of paradigms because it enables the individual to analyze and evaluate the current information of a topic or problem, discerning what reality does not say and thus rendering them able to reach a level of understanding by which they can make a decision and have their own vision [24].
For Morin [25], critical thinking is fundamental for understanding the contemporary world since it allows the evaluation of reality, the problematization of development, and the rethinking of existing paradigms regarding current events. As part of this skill, conceptualization, analysis, synthesis capacity, active evaluation of information, generation of classifications, experience, reflection, and communication of information are considered [26].
2. Materials and Methods
A convenience sample of 427 students from a technological university in western Mexico was taken. The selection of the students was random, seeking those from most careers (disciplinary programs) and different ages. The study was carried out in September 2022. A self-administered questionnaire digitalized on the Google Forms platform was answered voluntarily by the students (see Table 1).
Table 1.
Characteristics by gender of the sample.
Considering that this is an exploratory study involving individuals, the implementation was regulated and approved by the interdisciplinary research group R4C and the IRB of the university, with the technical support of the Writing Lab of the Institute for the Future of Education at Tecnologico de Monterrey.
For this study, two instruments used in previous studies were applied.
- The objective of the eComplexity instrument is to measure the perception of the level of mastery that participants have regarding the reasoning-for-complexity competency and its sub-competencies. It is an instrument theoretically and statistically tested by a team of experts in the field [27]. The instrument comprises 25 items divided into four sub-competencies: systemic, scientific, critical, and innovative (or creative) thinking. Each item was answered on a five-level Likert scale.
- The Male Chauvinistic Behavior and Perception of Positive Masculinities Attitudes Scale for Complex Environments is an instrument designed to measure the perception of men and women about the presence of male chauvinistic behaviors and their perception of attitudes associated with the construction of positive masculinities in different situations of their lives. It is an instrument theoretically and statistically tested by a team of experts in the field [28]. In general, the instrument consists of 30 items designed as statements that are answered on a Likert scale and that allows measurement of the level of agreement and disagreement of the individual through five levels of response: strongly agree, agree, neither agree nor disagree, disagree, and strongly disagree. The instrument considers two subscales: (a) Male Chauvinistic Behaviors and (b) Perception of Positive Masculinities Attitudes. Specifically, the subscale of male chauvinistic behaviors is subdivided into self-perception and attitudes toward other people and their environments.
It is important to point out that the scale of male chauvinistic attitudes and behaviors is subject to a social desirability bias, i.e., that in a contemporary society one would expect no acceptance of this type of attitudes and behaviors. In this sense, the expected result is zero, and therefore, any presence, even the slightest, can be considered as a negative element, as it shows a vision of male chauvinism rooted in the belief system.
Regarding data processing, we conducted a multivariate descriptive statistical analysis and an exploratory analysis using R [29] and RStudio [30] computer software. The descriptive analysis consisted mainly of the means and standard deviations analyses and a boxplot analysis. The analysis of means determines a representative value for the male chauvinistic behavior of the students and the perception that students have of their development of the complex thinking competency and its sub-competencies. The standard deviation represents in one value the dispersion from the mean of the male chauvinistic behavior and the students’ perceived development of the competencies by the students. Boxplot analysis, also known as box-and-whisker plot, allows us to observe the symmetry of our data by quartiles or percentiles, their dispersion, outliers, the median, and mean values of male chauvinistic behavior, and competency and sub-competencies of complex thinking. Finally, a dispersion analysis was performed. This analysis intends to illustrate the male chauvinistic behavior of the students’ perceived development of the competency and sub-competencies of complex thinking.
3. Results
Table 2 shows the mean values and deviations of the total and gender male chauvinistic behavior scale and subscales. The results show male chauvinistic behavior in both genders. However, men present a higher mean value than women (mean values of 2.39 and 1.86, respectively). At the subscale level, the behavior is similar, i.e., men obtain higher mean values than women. Regarding self-perception, the men’s mean is 2.24 while the women’s is 1.63. In this sense, men tend to recognize themselves as dominant and women as more submissive. In terms of attitude towards people and the environment, men have a mean of 2.54 and women 2.09. Thus, both genders conceive reality based on the idea that the male perspective is the authentic and universal one.
Table 2.
Male chauvinistic behavior: mean values and standard deviations. Scale and subscales of male chauvinistic behavior.
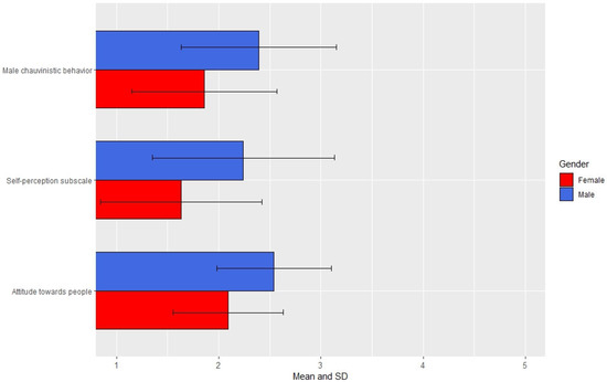
To complement Table 2, Figure 1 shows the bar chart by gender with mean values and standard deviations of male chauvinistic behavior at the scale and subscale levels. In this sense, the figure shows the male chauvinistic behavior of males and females, in which a stronger male chauvinistic behavior among male students stands out.
Figure 1.
Male chauvinistic behavior: bar plot of means and standard deviations for the scale and subscales of male chauvinistic behavior by gender.
On the other hand, Figure 2 analyzes the male chauvinistic behavior of students by age range. Students aged 15 to 18 present the highest male chauvinistic behavior compared to the rest (mean value of 2.5). On the other hand, students aged 19 to 22 and 23 to 26 have the same mean value (2.29). However, the concentration of 50% of the values of students’ male chauvinistic behavior aged 19 to 22 indicates a slightly lower behavior than those aged 23 to 26. Finally, it should be noted that students aged 27 years and older presented the lowest male chauvinistic behavior, i.e., their mean was 1.94.
Figure 2.
Male chauvinistic behavior: boxplot analysis by students’ age range.
Figure 3 shows the boxplot analysis of students’ subscales of male chauvinistic behavior. Although both genders had high mean values in the subscales, men trended to higher mean values. It should also be noted that higher mean values were in the subscale of attitudes toward people and their environment, that is to say, both genders tend to perceive the successful man as subjugating other men and subordinating women.
Figure 3.
Male chauvinistic behavior: boxplot analysis by subscale.
Table 3 displays the perception of the development of the competency of complex thinking and its sub-competencies. The students perceived themselves highly in developing the sub-competency of systemic thinking (mean 4.06). In second place was their perception of critical thinking (3.95), followed by innovative thinking (3.84), and finally, scientific thinking (3.71). Concerning the overall level of complex thinking, the students’ mean was 3.89 in this perception. By gender, women perceived themselves with a higher development of complex thinking and its sub-competencies.
Table 3.
Complex thinking: means and standard deviations of complex thinking competency and sub-competencies by gender.
To complement the above, Figure 4 shows the boxplot analysis by gender in the perception of the development of each sub-competency of complex thinking. It can be observed that the dispersion in students’ perception of each sub-competency was similar for both genders. Women had higher mean values and less dispersion in each sub-competency. Particularly noteworthy is the more compact dispersion in the perceived sub-competency of innovative thinking. Men’s data showed more dispersion and more values in the lowest quartile in each of the sub-competencies.
Figure 4.
Complex thinking sub-competencies: boxplot analysis by gender.
To illustrate a relationship between the perception of complex thinking and male chauvinistic behavior, Figure 5 shows a scatter plot color-coded according to gender. The figure illustrates an interesting behavior regarding the possible relationship between complex thinking and male chauvinistic behavior, mainly in women; that is, it shows that women who perceive themselves to be more developed in the competency of complex thinking (high mean values) present at the same time less development in male chauvinistic behavior (low mean values). It should be noted that although there is male chauvinistic behavior in women, it is lower than in men.
Figure 5.
Complex thinking and male chauvinistic behavior: scatterplot by gender.
Figure 6 shows the dispersion analysis for each sub-competency of complex thinking and the male chauvinistic behavior of the students. Among women, the greater the perception of each sub-competency of complex thinking, the less male chauvinistic behavior is indicated by the values. Although similar behavior is observed in some men, it is more evident in women.
Figure 6.
Complex thinking sub-competencies and male chauvinistic behavior: scatterplot by gender.
4. Discussion
The first results analyzed are those corresponding to the subscale of male chauvinistic behaviors. As can be seen in Table 2 and Figure 1, the general average for male chauvinistic attitudes is moderately below the mean (2.19), with men having the highest result (2.39) compared to women (1.86). Regarding the sub-indicators, the attitude towards other people and their environment was the indicator with the highest results (2.37), within which men showed an average above the mean (2.54), the highest result of the scale. Regarding self-perception, male chauvinistic attitudes gave results below the average (2.01), which was also replicated in men (2.24) and women (1.63).
These results indicate, in general, a presence of persistent male chauvinistic attitudes and behaviors in the sample; although the average is below the median of the scale, the actions and attitudes are perceptible. For this type of scale, the simple presence of results higher than zero is evidence of ingrained behaviors in the sample since, considering that the scale required answers from “completely agree” to “completely disagree,” these results reflect a perceived tolerance of social male chauvinism. Notably, the means of the women, although not high, are not statistically negative, which allows us to conclude that their attitude towards male chauvinism, although not of acceptance, is not one of rejection either.
To better understand these results, we produced two boxplot graphs (Figure 2 and Figure 3) to reveal the specific behavior of the sample considering age and gender. The first graph (Figure 2) shows the behavior by age. As can be seen, individuals between 15–18 years of age are those with the highest average number of responses associated with male chauvinistic attitudes and behaviors, followed by the other age groups in ascending order. As seen in Figure 2, the results show a trend that relates age to male chauvinistic attitudes, with the youngest individuals showing the highest results and the oldest individuals showing the lowest. The data presented in this graph are relevant because, theoretically, older people have a more traditional education in regions such as Latin America, which could more easily explain this type of behavior [14] which is contrary to these results.
Figure 3 focuses on the analysis of the results by gender. This figure shows that most responses are concentrated around the average, being lower in both indicators of the subscale for women than for men. Regardless, it is possible to note the presence of responses at the limits of the subscale, i.e., with responses of complete acceptance or complete rejection. As for the indicator of self-perception, a high number of women who reject this type of attitude is notable, in contrast to male chauvinistic behaviors towards other people, where there are no entirely negative responses. The case of men is very similar. In their indicator of self-perception, the men’s responses ranged from acceptance to rejection. This did not occur in attitudes towards others, where the responses were concentrated around the average.
Thus, as a conclusion of the male chauvinism subscale analysis, we can point out that the sample accepts the presence of male chauvinistic behaviors and attitudes as part of their daily life since, although they do not promote or celebrate them, they do not reject them either, giving space for these types of actions to remain as a natural part of the social belief system. It is worth noting that the tendency of high results was more marked among men between 15 and 18 years of age, the sample group with the most recurrent presence of male chauvinistic attitudes.
After having identified this characteristic in the sample, we analyzed the participants’ levels of complex thinking. Table 3 shows that, in general, the mean of the sample in terms of complex thinking was high (3.89), with women’s (3.93) being higher than men’s (3.87). The same holds in all sub-competencies, where women outperformed men. In general, the sub-competency with the best results was systems thinking (4.06), and the worst evaluated was scientific thinking (3.71). To better explain the results of the sub-competencies, Figure 4 shows a boxplot of the responses, indicating the behavior of the respondents. Table 3 shows the better results of the group of women, who, in most cases, outperformed men both in averages and medians. Notably, women had the highest number of responses at the limit of the scale, i.e., they responded the most in disagreement and total agreement. Although men presented some borderline cases, most of their responses were concentrated in the boxes of the graph.
At this point, the results did not allow us to note a particular tendency or relationship between the level of male chauvinistic attitudes and complex thinking, so we decided to deepen the analysis. We therefore produced a series of scatter plots to identify whether there was a trend between the development of complex thinking and the presence of male chauvinistic attitudes.
Figure 5 illustrates a relationship between the responses of both elements; the dispersion of the responses is concentrated in the lower right quadrant of the graph, i.e., the higher the level of complex thinking, the lower the level of male chauvinistic attitudes. In addition, it is possible to note that women are located in the lower part of the figure, showing that, although having the best results in complex thinking, they also had the least acceptance of this type of behavior. This result is expected, since it is presumed that if a person has a high level of complex thinking he or she should be able to appreciate the environment and people in an integrative way, questioning value judgments or stereotypes by specific characteristics [19].
To better support this result, we decided to conduct this same analysis for each sub-competency of complex thinking. Thus, Figure 6 presents this same relationship between the male chauvinism subscale and the perception of each sub-competency of complex thinking. As in Figure 5, it is possible to note a trend that relates the high perception of each sub-competency with lower male chauvinistic attitude results. In all cases, the women show a more marked tendency towards higher results in the perception of achievement of the sub-competencies and lower results in male chauvinistic attitudes.
In this sense, the results show that the acquisition and development of the competency of complex thinking can be a relevant element in the attention, management, and reduction of male chauvinistic attitudes, contributing to the development of individuals who are more critical of their reality, with a systemic vision of their environment and a motivation to search for arguments that question the judgments rooted in the social belief system.
These results are in line with previous studies such as those proposed by Lealand, Harste and Cluse [31] or Cekiso [32], who associate gender stereotypes and machismo with the development of critical thinking, or those of Mella [33] or Ferati, Demukaj, Kurti and Mortberg [34], who find a relationship between cognitive biases about gender and the level of development of systematic thinking. In general, these results corroborate the fact that the acquisition and development of complex thinking and its sub-competencies can be strong allies in the process of forming a more equitable vision between men and women [35,36].
5. Conclusions
This article presents the results of a study conducted on a sample of students at a technological university in western Mexico, which sought to identify a possible relationship between the presence of male chauvinistic behaviors and complex thinking. From the data obtained, we found a possible association between both, assessing that the students’ perception of their achievement of the complex thinking competency and its sub-competencies can influence the level of presence of male chauvinistic attitudes and behaviors. In addition, it was possible to identify a greater tendency for young men to engage in this behavior, in contrast to women and even older men. In general, this article provides a broader view of how male chauvinistic behaviors are still present in the belief system of a university community in Mexico, opening the possibility of analyzing the links of this type of behavior with other social, psychoemotional, or formative factors.
It is recognized that this study could be considered limited by not having a more significant and varied sample of students, as well as by not considering responses that correlate at the limits of both scales. In this sense, the possibility is open for a broader study that considers a more varied population. In addition, this article opens vast possibilities for complementary studies in the academic field of education and behavioral sciences and gender studies, which are especially important in a region with such a deep-rooted patriarchal belief system as the Latin American region.
It is necessary to point out that despite these results, it is not possible to demonstrate a full connection that low levels of complex thinking are the cause of machismo or the presence of macho attitudes or actions. Regardless, this does not imply that the results presented here are neither interesting nor open the possibility of studies on the connection of these elements with other environmental factors such as education, family, culture, etc. In this sense, while this article cannot be considered an exhaustive study, the results presented are nonetheless valuable, not only for the design of didactic strategies to analyze this behavior in students but also to contribute to its modification.
As pointed out in the discussion, these results in a university population could be considered positive because of the low means on the male chauvinism subscale; however, this achievement does not overshadow the challenge still present in educational institutions, where the ideal should not be low results, but rather the absence of this type of behavior.
Explicitly, the findings of this study show that the acquisition and level of development of complex thinking and its sub-competencies can be elements that influence the perception of gender roles, and therefore impact the development of stereotypes, sexist behaviors, or the adoption of more equitable beliefs between genders. Thus, the implications of these results may not only be valuable for educational institutions, but also for any environment that suffers from social discomforts associated with entrenched patriarchal views, such as gender violence or lack of equity between men and women. In this sense, it is possible to derive different lines of research, ranging from the deepening of these results in other educational environments or with broader or diverse populations, to even making applications in other spaces such as companies or the general population. It also opens the possibility for studies that associate complex thinking with other stereotypes that do not necessarily pertain to gender, such as racial or ethnic stereotypes, to see if similar results can be achieved.
We hope our study’s results can be a milestone in the study of male chauvinism in a country like Mexico, where these attitudes continue to be rooted in the belief system of both men and women.
Author Contributions
Conceptualization, M.C.-A., J.C.V.-P., M.C.-S. and A.E.-B.; methodology, M.C.-A., J.C.V.-P. and M.C.-S.; software, M.C.-S.; validation, M.C.-A., J.C.V.-P., M.C.-S. and A.E.-B.; formal analysis, M.C.-A., J.C.V.-P., M.C.-S. and A.E.-B.; investigation, M.C.-A., J.C.V.-P., M.C.-S. and A.E.-B.; resources, J.C.V.-P.; data curation, M.C.-S.; writing—original draft preparation, M.C.-A., J.C.V.-P., M.C.-S. and A.E.-B.; writing—review and editing, M.C.-A., J.C.V.-P., M.C.-S. and A.E.-B.; visualization, M.C.-A. and M.C.-S.; supervision, M.C.-A., J.C.V.-P., M.C.-S. and A.E.-B.; project administration, J.C.V.-P.; funding acquisition, J.C.V.-P. All authors have read and agreed to the published version of the manuscript.
Funding
The authors acknowledge financial support from Tecnologico de Monterrey through the “Challenge-Based Research Funding Program 2022”. Project ID # I001-IFE001-C1-T1-E.
Institutional Review Board Statement
Implementation regulated and approved by the interdisciplinary research group R4C, with the technical support of the Writing Lab of the Institute for the Future of Education of Tecnologico de Monterrey.
Informed Consent Statement
Informed consent was obtained from all subjects involved in the study.
Data Availability Statement
Data available upon reasonable request.
Acknowledgments
The authors acknowledge the financial and technical support of Writing Lab, Institute for the Future of Education, Tecnologico de Monterrey, Mexico, in the production of this work.
Conflicts of Interest
The authors declare no conflict of interest.
References
- Batalha, B.Y.K. Breaking Bias, Building Belonging: Racism and Misogyny in Campus Communities. 2022. Available online: http://digitalcommons.bryant.edu/honors_english/14 (accessed on 16 September 2022).
- Castañeda, M. Invisible Machismo, 1st ed.; Penguin Random House: New York, NY, USA, 2020. [Google Scholar]
- Alley, H. Scientific thinking: Get the results you want. Can. Ind. J. Plant 2020, 79, 20. [Google Scholar]
- Beauvoir, S. The Second Sex; Primer, Siglo XX: Buenos Aires, Argentina, 1987. [Google Scholar]
- Blondé, J.; Gross, D. Measurement of Sexism, Gender Identity, and Perceived Gender Discrimination: A Brief Overview and Suggestions for Short Scales; FORS Working Paper Series; FORS: Lausanne, Switzerland, 2021. [Google Scholar] [CrossRef]
- Aharon, A.A.; Warshawski, S.; Itzhaki, M. Public knowledge, attitudes, and intention to act violently, with regard to violence directed at health care staff. Nurs. Outlook. 2020, 68, 220–230. [Google Scholar] [CrossRef] [PubMed]
- Saltzman, J. Gender and Equity; Instituto de la Mujer, Universidad de Valencia: Madrid, Spain, 1992. [Google Scholar]
- McIntosh, L.G.; Janes, S.; O’Rourke, S.; Thomson, L.D.G. Effectiveness of psychological and psychosocial interventions for forensic mental health inpatients: A meta-analysis. Aggress. Violent Behav. 2021, 58, 101551. [Google Scholar] [CrossRef]
- Silva, F.L.; Barbosa, L.H.G.M.; Gouvei, V.V.; de Medeiros Viana, D.N.; Amorim, A.K.F. Escala de Machismo Sexual: Evidências Psicométricas em Contexto Brasileiro. Avaliaçao Psicol. Interam. J. Psychol. Assess. 2020, 19, 420–429. [Google Scholar] [CrossRef]
- De la Cruz, P.; Morales, J. Comparison of Attitudes towards Machismo among Women of the “El Vallecito” Human Settlement and the “Villa Rica” Community of East Lima, 2014; Universidad Peruana Unión: Lima, Peru, 2015. [Google Scholar]
- Cooper-Thompson, D. Educational Leadership; ERIC, 1984; Volume 43, pp. 53–56. [Google Scholar]
- Pérez-Martínez, V.; Sanz-Barbero, B.; Ferrer-Cascales, R.; Bowes, N.; Ayala, A.; Sánchez-SanSegundo, M.; Albaladejo-Blázquez, N.; Rosati, N.; Neves, S.; Vieira, C.P.; et al. The Role of Social Support in Machismo and Acceptance of Violence Among Adolescents in Europe: Lights4Violence Baseline Results. J. Adolesc. Health 2021, 68, 922–929. [Google Scholar] [CrossRef] [PubMed]
- Boscan-Leal, A. The new positive masculinities. Utopìa Prax. Latinoam. 2008, 13, 93–106. [Google Scholar]
- Salomon, K.; Bosson, J.K.; El-Hout, M.; Kiebel, E.; Kuchynka, S.L.; Shepard, S.L. The Experiences with Ambivalent Sexism Inventory (EASI). Basic Appl. Soc. Psychol. 2020, 42, 235–253. [Google Scholar] [CrossRef]
- Tecnologico de Monterrey, Competencias Transversales Tec 21. 2019. Available online: https://biblioteca.tec.mx/modulostec21 (accessed on 18 November 2022).
- Pacheco, C.S.; Herrera, C.I. A conceptual proposal and operational definitions of the cognitive processes of complex thinking. Think. Ski. Creat. 2021, 39, 100794. [Google Scholar] [CrossRef]
- Morin, E. Introduction to Complex Thinking; Gedisa: Ciudad de México, Mexico, 1990. [Google Scholar]
- Tobón, S.; Luna-Nemecio, J. Complex Thinking and Sustainable Social Development: Validity and Reliability of the COMPLEX-21 Scale. Sustainability 2021, 13, 6591. [Google Scholar] [CrossRef]
- Cruz-Sandoval, M.; Vázquez-Parra, J.C.; Alonso-Galicia, P.E. Student Perception of Competencies and Skills for Social Entrepreneurship in Complex Environments: An Approach with Mexican University Students. Soc. Sci. 2022, 11, 314. [Google Scholar] [CrossRef]
- Jaaron, A.A.M.; Backhouse, C.J. Operationalisation of service innovation: A systems thinking approach. Serv. Ind. J. 2018, 38, 561–583. [Google Scholar] [CrossRef]
- Suryansyah, S.A.; Kastolani, W.; Somantri, L. Scientific thinking skills in solving global warming problems. IOP Conf. Ser. Earth Environ. Sci. 2021, 683, 012025. [Google Scholar] [CrossRef]
- Zhou, Q. Retracted: Development of creative thinking skills through aesthetic creativity in middle school educational music course. Think. Ski. Creat. 2021, 40, 100825. [Google Scholar] [CrossRef]
- Cui, L.; Zhu, Y.; Qu, J.; Tie, L.; Wang, Z.; Qu, B. Psychometric properties of the critical thinking disposition assessment test amongst medical students in China: A cross-sectional study. BMC Med. Educ. 2021, 21, 10. [Google Scholar] [CrossRef]
- Ossa-Cornejo, C.; Palma-Luengo, M.; Martín, N.L.-S.; Díaz-Larenas, C. Evaluation of critical and scientific thinking in pedagogy students at a Chilean university. Rev. Electrón. Educ. 2018, 22, 1. [Google Scholar] [CrossRef]
- Hapsari, S. A Descriptive Study of the Critical Thinking Skills of Social Science at Junior High School. J. Educ. Learn. 2016, 10, 228–234. [Google Scholar] [CrossRef]
- Reynders, G.; Lantz, J.; Ruder, S.M.; Stanford, C.L.; Cole, R.S. Rubrics to assess critical thinking and information processing in undergraduate STEM courses. Int. J. STEM Educ. 2020, 7, 9. [Google Scholar] [CrossRef]
- Cruz-Sandoval, M.; Vázquez-Parra, J.C.; Carlos-Arroyo, M. Complex Thinking and Social Entrepreneurship. An Approach from the Methodology of Compositional Data Analysis. Heliyon 2023, 9, e13415. [Google Scholar] [CrossRef]
- Vázquez-Parra, J.C.; Carlos-Arroyo, M.; Salaiza-Lizarraga, F.; Arredondo-Trapero, F.; Cruz-Sandoval, M. Validation of the Machista Behavior and Perception of Positive Masculinities Attitudes Scale for Complex Environments in a Mexican Student Population. Gender Issues 2022, in press.
- R Core Team. A Language and Environment for Statistical Computing. 2017. Available online: https://www.r-project.org/ (accessed on 17 December 2022).
- R Studio Team. R Studio: Integrated Development Environment for R. 2016. Available online: http://www.rstudio.com/ (accessed on 17 December 2022).
- Leland, C.; Harste, J.; Clouse, L. Talking Back to Stereotypes. J. Read. Educ. 2012, 38, 5–9. [Google Scholar]
- Cekiso, M. Gender Stereotypes in Selected Fairy Tales: Implications for Teaching Reading in the Foundation Phase in South Africa. J. Sociol. Soc. Anthropol. 2013, 4, 201–206. [Google Scholar] [CrossRef]
- Mella, P. In every organization, gender stereotypes reduce organizational efficiency and waste productive energy: A systems thinking perspective. Kybernetes 2022, 51, 13. [Google Scholar] [CrossRef]
- Ferati, M.; Demukaj, V.; Kurti, E.; Mortberg, C. Gender Stereotypes and Women Participation in STEM Fields in the Western Balkans: A Scoping Review. Acad. J. Interdiscip. Stud. 2023, 12, 228–239. [Google Scholar] [CrossRef]
- Chetkovich, C. How non-binary gender definitions confound (already complex) thinking about gender and public policy. J. Public Aff. Educ. 2019, 25, 226–252. [Google Scholar] [CrossRef]
- Rodríguez-Abitia, G.; Ramírez-Montoya, M.; Martínez-Pérez, S.; López-Caudana, E. Cultural differences in complexity reasoning in higher education. In Proceedings of the 10th International Conference on Technological Ecosystems for Enhancing Multiculturality (TEEM), Salamanca, Spain, 21–23 October 2022. [Google Scholar]
Disclaimer/Publisher’s Note: The statements, opinions and data contained in all publications are solely those of the individual author(s) and contributor(s) and not of MDPI and/or the editor(s). MDPI and/or the editor(s) disclaim responsibility for any injury to people or property resulting from any ideas, methods, instructions or products referred to in the content. |
© 2023 by the authors. Licensee MDPI, Basel, Switzerland. This article is an open access article distributed under the terms and conditions of the Creative Commons Attribution (CC BY) license (https://creativecommons.org/licenses/by/4.0/).





