Analysis of Profiles of Family Educational Situations during COVID-19 Lockdown in the Valencian Community (Spain)
Abstract
1. Introduction
2. Goals
- To identify the most appropriate solution for the number of household profiles described in terms of the composite indicators.
- To describe each of the profiles belonging to the cluster typology in terms of the composite indicators and their association with demographic and other external variables.
- To collect information based on focus groups in order to have a complementary qualitative approach that helps us to confirm and expand, if necessary, the quantitative results.
3. Materials and Methods
3.1. Design
3.2. Participants
3.3. Data Gathering: Variables, Indicators, and Instruments
3.4. Procedure
3.5. Data Analysis
4. Results
4.1. Characteristics of Participant Families
- (a)
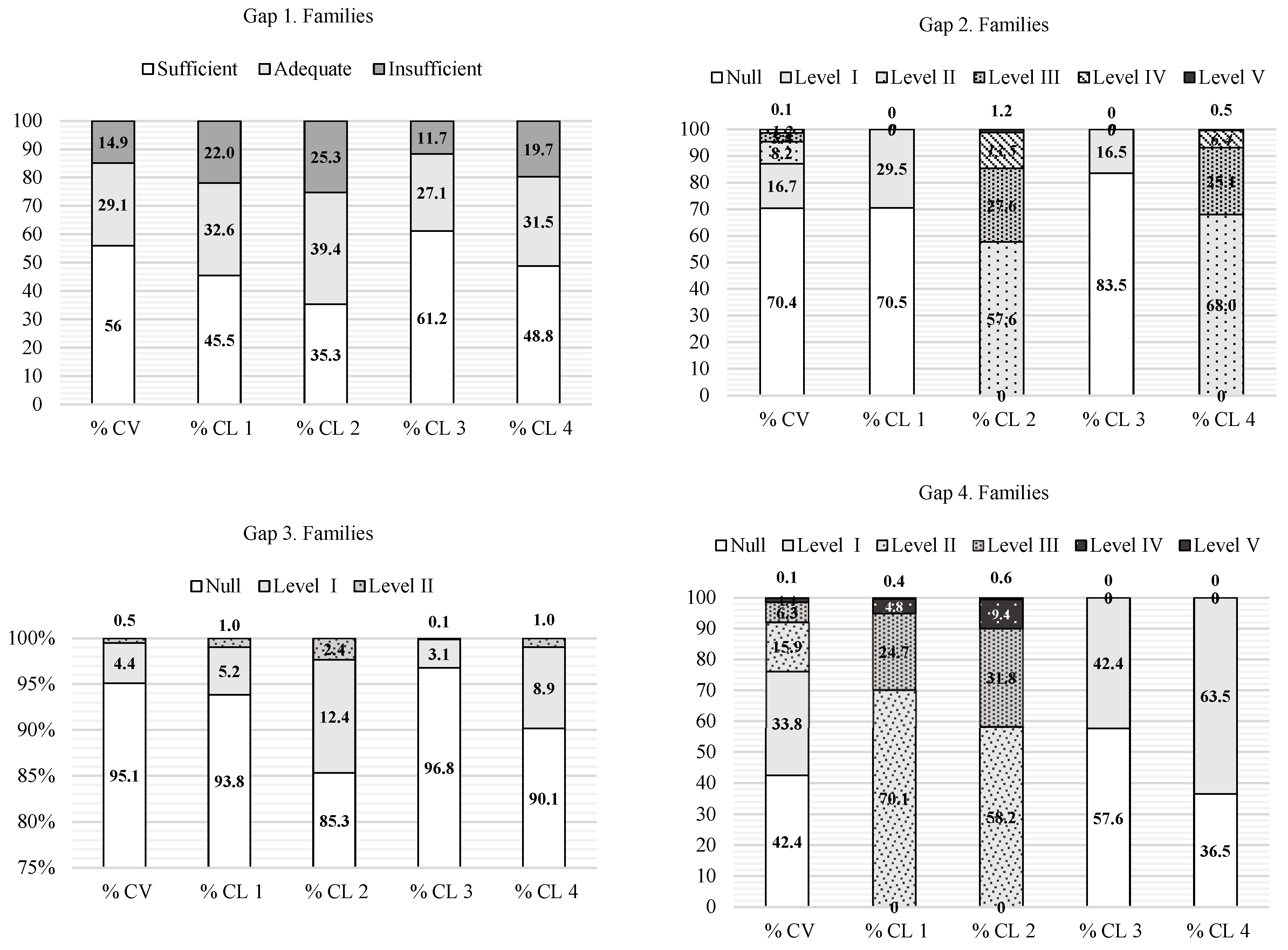
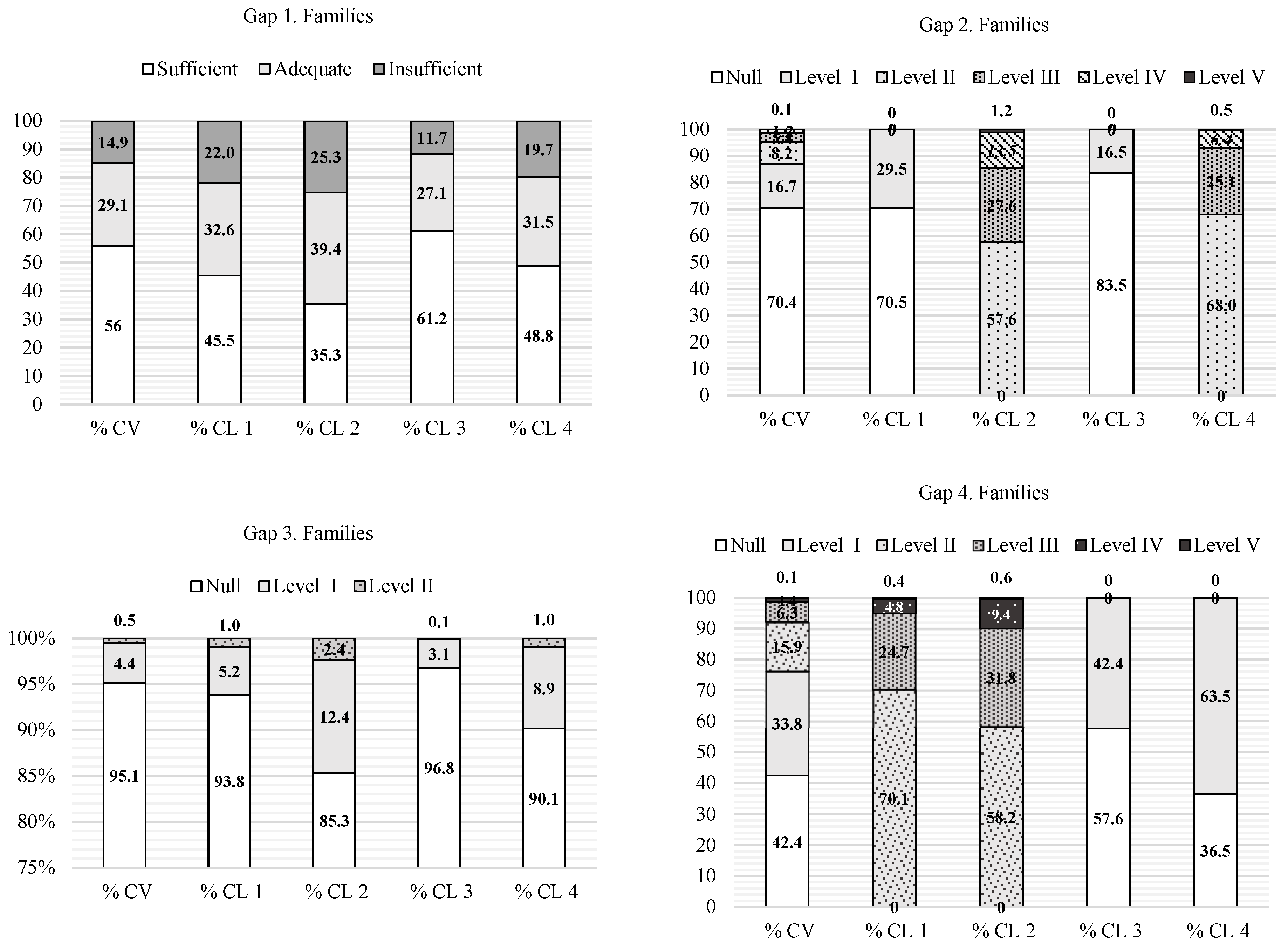
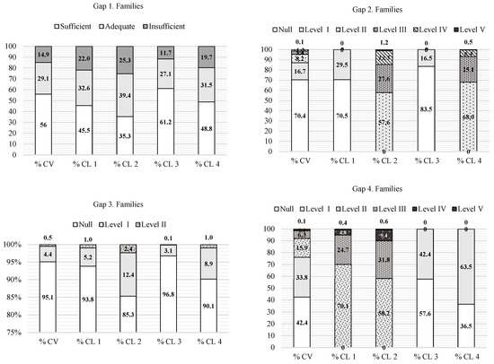
- Gap 1 (squared meters (m2) per capita of home/categorized). In the Valencian Community (Spain), legal references for home sizes are available [11] (pp. 222–224), and the most frequent situation is living in flats of about 90 m2 (dining room, kitchen, two bathrooms/WC, three or four bedrooms). By taking both references, we estimate three situations as a ratio of a home’s m2 in relation to the number of home dwellers, and we obtain the following from the surveyed families in the Valencian Community: satisfactory with 56%, adequate with 29.1% and insufficient with 14.9%.
- (b)
- Gap 2 (digital gap because of having only a few ICT resources to teach from home) refers to not having a suitable Internet connection (and/or Wi-Fi) and/or not having adequate computers and/or tablets and/or not having a smartphone with an adequate amount of data. Of the surveyed families in the Valencian Community, 70.41% present no digital gap, 16.7% have a level I gap, 11.6% have levels between II and III, and 1.3% are between levels IV and V.
- (c)
- Gap 3 (digital gap due to lack of mothers’/fathers’ ICT knowledge to support SH). This refers to self-perceived knowledge that families believe they possess to perform this task. Of those surveyed in the Valencian Community, 95.1% state feeling capable of meeting the demands they face, while 4.4% have difficulties at the level I and 0.5% at level II.
- (d)
- Gap 4 (cohabitation gap at home). This refers to the problems that arise in the relationships between the family members who shared confinement, perhaps because of lack of space, incompatible timetables to perform activities, lack of support to maintain their home, family types (single parents, children studying in different school years) and/or having illnesses. Of those who completed the survey, their distribution levels are Null (42.4%), level I (33.8%), II (15.9%), III (6.3%), IV (1.4%), and V (0.1%).

4.2. Profiles of the Obstacles (Gaps) That Families Came across for Performing SH
- (a)
- CL1 presents favorable conditions in Gap 1 (space at home; 78.1% between adequate and satisfactory); in Gap 2 (ICT resources available at home), 70.5% do not have this problem, and 29.5% do at level I; in Gap 3 (knowledge of using ICT resources), these difficulties are not found (93.8%) and only 5.2% state having them at the level I; in Gap 4 (cohabitation problems), problems appear (level II: 70.1%; level III: 24.7%; level IV: 4.8%; level V: 0.4%).
- (b)
- CL2 also presents favorable space conditions, but percentages are lower than in the other clusters (64.7% lie between insufficient and adequate); Gap 2 indicates mainly problems (level II: 57.6%; level III: 27.6%; level 4: 13.5%; level V: 1.2%); Gap 3 is the group with the most difficulties for self-perceived ICT knowledge (Null: 85.3%; level I: 12.4%; level II: 2.4%); Gap 4 has cohabitation problems to a greater extent than CL1 (level II: 58.2%; level III: 31.8%; level 4: 9.4%; level V: 0.6%).
- (c)
- CL3 shows a good situation in Gap 1 (between adequate and satisfactory with 88.3%); in Gap 2, only 16.5% of its components are at a level I for lack of ICT resources, and 83.5% is Null; in Gap 3, families self-perceive they have more knowledge of ICT resources (Null: 96.8%; level I: 3.1%; level II: 0.1%); Gap 4 (cohabitation) presents fewer difficulties (Null: 57.6%; Level I: 42.4%).
- (d)
- Finally, for CL4, Gap 1 lies between adequate and satisfactory with 80.3%; Gap 2 has the fewest ICT resources (Level II: 68%; Level III: 25.1%; Level IV: 6.4%; Level V: 0.5%); despite Gap 3 being identified mainly with having enough knowledge about ICT uses to face SH (Null: 90.1%), it shows that more families face such problems (Level I: 8.9%; Level II: 1%); in Gap 4 (cohabitation) there are no (Null: 36.5%) or only a few difficulties (Level I: 63.5%).


4.2.1. Variables Associated with the Profiles Identified in the Group of Families
4.2.2. Synthesis of Results Obtained from Focus Groups in the Family Collective
5. Discussion
6. Conclusions
Author Contributions
Funding
Institutional Review Board Statement
Informed Consent Statement
Data Availability Statement
Acknowledgments
Conflicts of Interest
| 1 | Research Group on Educational Evaluation and Measurement: Education for Social Cohesion (GEM-Educo: https://www.uv.es/gem/gemeduco, accessed on 13 November 2022). |
| 2 | In Spain, ECE is organised in two cycles (0–3 and 3–6 years) and is not compulsory, although there is a high demand, as many women have entered the labour market. PE (6 grades) and CSE (4 grades) are compulsory. In USA PE is Basic School and CSE is Secondary School. |
| 3 | The 12,914 cases of students enrolled in foreign centres in the Valencian Community were not considered, and the sample contains no such cases. The available data correspond to academic year 2018/19. |
| 4 | Public Schools in Spain are free of charge for families. |
| 5 | In the population, the strata distribution is: Type (Public: 66.22%; Subsidized/Private: 33.78%) and Level of Education (ECE: 25.59%; BE: 44.68%; CSE: 29.73%). Nor was it possible to establish representativeness in relation to the proportional distribution for provinces in the Valencian Community. |
| 6 | Both criteria were taken from a bistage cluster by means of SPSSv26, licence of University of Valencia, Spain. |
| 7 | We opted for non-parametric contrasts because, when previously exploring data characteristics, we found that they did not mostly meet some of the necessary normality conditions to apply parametric tests. |
References
- Pokhrel, S.; Chhetri, R. A literature review on impact of COVID-19 pandemic on teaching and learning. High. Ed. Future 2021, 8, 133–141. [Google Scholar] [CrossRef]
- Royal Decree–Spain-463/2020, of March 14, Declaring a State of Alarm for the Management of the Health Crisis Situation Caused by COVID-19. Available online: https://www.boe.es/eli/es/rd/2020/03/14/463/con (accessed on 13 November 2022).
- Entwisle, D.R.; Alexander, K.L.; Olson, L.S. Children, Schools, and Inequality; Westview Press: Boulder, CO, USA, 1997. [Google Scholar]
- Alexander, K.L.; Entwisle, D.R.; Olson, L.S. Schools, achievement, and inequality: A seasonal perspective. Ed. Eval. Policy An. 2001, 23, 171–191. [Google Scholar] [CrossRef]
- Martínez Rizo, F. ¿Puede la escuela reducir las desigualdades del rendimiento? Págs. Ed. 2009, 2, 7–27. [Google Scholar] [CrossRef]
- Martínez-Rizo, F. La escuela, ¿Gran igualadora o mecanismo de reproducción? La desigualdad social y educativa más de 50 años después de Coleman. Rev. Lat. Am. J. Educ. Stud. 2019, 49, 253–284. [Google Scholar] [CrossRef]
- Council of Europe. Concerted Development of Social Cohesion Indicators. Methodological Guide; Council of Europe: Strasbourg, France, 2005; Available online: http://www.coe.int/t/dg3/socialpolicies/socialcohesiondev/source/GUIDE_en.pdf (accessed on 13 November 2022).
- Jornet-Meliá, J.M. Dimensiones docentes y Cohesión Social. Rev. Iberoam. Eval. Educ. 2012, 5, 349–362. Available online: http://www.rinace.net/riee/numeros/vol5-num1_e/art27.pdf (accessed on 13 November 2022).
- González-Such, J.; Perales Montolío, M.J.; Ortega-Gaite, S.; Sánchez-Delgado, P. Ecologías de aprendizaje digital de los docentes: La Escuela en casa durante la Covid-19 en la Comunidad Valenciana. Rev. Publ. 2021, 51, 165–190. [Google Scholar] [CrossRef]
- Perales-Montolío, M.J.; González-Such, J.; Ortega-Gaite, S.; Sánchez-Delgado, P. Typology of teaching actions during COVID-19 lockdown in the Valencian Community (Spain). Societies 2023, accepted, in press. [Google Scholar]
- Jornet-Meliá, J.M.; González-Such, J.; Perales-Montolio, M.J.; Sánchez-Delgado, P.; Bakieva, M.; Sancho-Álvarez, C.; Ortega-Gaite, S. Informe Técnico: La Escuela en Casa. Resumen Ejecutivo; Ed. Palmero: Valencia, Spain, 2020; Available online: https://www.uv.es/gem/CoVid-19.wiki (accessed on 13 November 2022).
- Aznar Sala, F.J. La Educación Secundaria en España en Medio de la Crisis del COVID-19. RASE 2020, 53–78. [Google Scholar] [CrossRef]
- Beltrán, J.; Venegas, M. Educar en época de confinamiento: La tarea de renovar un mundo común. RASE 2020, 13, 92–104. [Google Scholar] [CrossRef]
- Fernández-Rodrigo, L. Alumnado que no sigue las actividades educativas: El caso de una escuela de alta complejidad durante el confinamiento por COVID-19. Soc. Infanc. 2020, 4, 195–288. [Google Scholar] [CrossRef]
- Hortigüela-Alcalá, D.; Pérez-Pueyo, Á.; López-Aguado, M.; Manso-Ayuso, J.; Fernández-Río, J. Familias y Docentes: Garantes del aprendizaje durante el confinamiento. RIEJS 2020, 9, 353–370. [Google Scholar] [CrossRef]
- Jornet-Meliá, J.M. A educación durante a pandemia. Materias pendentes e leccións aprendidas. EDUGA 2020, 80, 2171–6595. Available online: https://www.edu.xunta.gal/eduga/2015/enfoques/educacion-durante-pandemia (accessed on 13 November 2022).
- Sánchez-Delgado, P.; Bakieva-Karimova, M.; Sancho-Álvarez, C.; Jornet-Meliá, J.M. Estudio diferencial del rol familiar en la educación a distancia en confinamiento debido al COVID-19. REDIE 2022, 24, 1–18. [Google Scholar] [CrossRef]
- Creswell, J.W.; Plano Clark, V.L. Designing and Conducting Mixed Methods Research, 2nd ed.; Sage: Thousand Oaks, CA, USA, 2017. [Google Scholar]
- Sánchez-Gómez, M.C.; Martín-Cilleros, M.V. Implementation of focus group in health research. In Computer Supported Qualitative Research. Studies in Systems, Decision and Control; Costa, A., Reis, L., Neri de Sousa, F., Moreira, A., Lamas, D., Eds.; Springer: Cham, Switzerland, 2017; Volume 71, pp. 49–62. [Google Scholar] [CrossRef]
- Sánchez-Gómez, M.C.; Rodrigues, A.I.; Costa, A.P. From qualitative methods to mixed models: Current trend in social science research. RISTI 2018, 28, 9–12. [Google Scholar] [CrossRef]
- INE. INEbase. Continuous Household Survey. Data for 2020, gan-1. 2020. Available online: https://www.ine.es/prensa/ech_2020.pdf (accessed on 13 November 2022).
- Ceriani, L.; Verme, P. The origins of the Gini index: Extracts from Variabilità e Mutabilità (1912) by Corrado Gini. J. Econ. Inequal. 2012, 10, 421–443. [Google Scholar] [CrossRef]
- Goodman, L.A. Snowball sampling. An. Math. Stat. 1961, 32, 148–170. [Google Scholar] [CrossRef]
- González Such, J.; Sánchez Delgado, P.; Sancho, C. Técnicas evaluativas 2. In Investigación Evaluativa. Una perspectiva basada en la complementariedad metodológica (cuantitativa-cualitativa); Jornet, J.M., González Such, J., Perales, M.J., Eds.; CREA: Lima, Peru, 2013; pp. 112–126. [Google Scholar]
- Perales-Montolío, M.J.; Sánchez-Santamaría, J.; González-Such, J. El uso de grupos focales en el proyecto MAVACO. Consideraciones metodológicas y operativas. In La evaluación de sistemas educativos. ¿Qué informaciones interesan a los colectivos implicados? Jornet, J.M., García García, M., González Such, J., Eds.; PUV: Valencia, Spain, 2012; pp. 47–58. [Google Scholar]
- Milligan, G.W.; Cooper, M.C. An examination of procedures for determining the number of clusters in a data set. Psychometrica 1985, 50, 159–179. [Google Scholar] [CrossRef]
- Kaufman, L.; Rousseeuw, P. Finding Groups in Data: An Introduction to Cluster Analysis; John Wiley & Sons: New York, NY, USA, 1990. [Google Scholar]
- Sugar, C.A.; James, G.M. Finding the number of clusters in a dataset: An information-theoretic approach. J. Am. Stat. Assoc. 2003, 98, 750–763. [Google Scholar] [CrossRef]
- Kodinariya, T.M.; Makwana, P.R. Review on determining number of cluster in k-means clustering. Int. J. 2013, 1, 90–95. [Google Scholar] [CrossRef]
- Syakur, M.A.; Khotimah, B.K.; Rochman, E.M.S.; Satoto, B.D. Integration K-Means Clustering Method and Elbow Method for identification of the best customer profile cluster. IOP Conf. Ser. Mater. Sci. Eng. 2018, 336, 012017. [Google Scholar] [CrossRef]
- Bozdogan, H. Model selection and Akaike’s information criterion (AIC): The general theory and its analytical extensions. Psychometrika 1987, 52, 345–370. [Google Scholar] [CrossRef]
- Miles, M.; Huberman, A.M. Qualitative Data Analysis. A Source Book of New Methods; Sage: Beverly Hills, CA, USA, 1984. [Google Scholar]
- Miles, M.; Huberman, A.M. Data Management and Analysis Methods. Handbook of Qualitative Research; Denzin, N.K., Lincoln, Y.S., Eds.; Sage: Beverly Hills, CA, USA, 1994. [Google Scholar]
- Tesch, R. Qualitative Research: Analysis Types and Software Tools; The Falmer Press: New York, NY, USA, 1990. [Google Scholar]
- Cabrera, L. Efectos del coronavirus en el sistema de enseñanza: Aumenta la desigualdad de oportunidades educativas en España. RASE 2020, 13, 114–139. [Google Scholar] [CrossRef]
- Jornet-Meliá, J.M. Reflexiones sobre el futuro de la educación en España. In Proceedings of the VII Conferência Ibérica de Inovação na Educação comTecnologias da Informação e Comunicação, Madrid, Spain, 18–19 February 2021. [Google Scholar]


| Ch | Description |
|---|---|
| 1 | The Royal Decree was published on Friday, 14 March. This ordered the closure of the entire educational system from the day following its publication. |
| 2 | The state of alarm periods was debated and approved every fortnight in the Spanish parliament. They could have been rejected at any time, forcing the end of lockdown. The uncertainty was permanent. |
| 3 | All the population had to remain in their homes. Homes became “isolation bubbles” where only cohabitants could be together. |
| 4 | Most of the working population, if they could carry out their work from home, switched to teleworking (this was the case of all teachers, from Early Childhood Education to university), |
| 5 | Part of the working population was considered “essential personnel” for social functioning (health personnel—medical personnel, nursing personnel, pharmacists… -, State security forces—military and police—firefighters, cleaning personnel of public spaces—hospitals, streets, etc.-, personnel who worked in food distribution—large supermarkets, small shops) and transport workers. These had to go to their place of work. |
| 6 | Many of those who were unable to work remotely from home and who were not identified as essential personnel lost their jobs. Many companies were temporarily or permanently closed. Many other workers were included in a furlough scheme -ERTE-: they received a subsidy from the State (although it took a long time to reach them), with the commitment from the company not to close and the hope of returning to the economic situation at the end of the state of alarm. |
| 7 | No one, except those who had to carry out their work in person, could leave the house, except to buy food, receive health care, or care for dependents or deal with work emergencies. In any case, if they did go out, they could only do so for a short period of time and following strict health care measures. |
| Sections | Description |
|---|---|
| Participant profile | Location, family role, age, number of home cohabitants, approximate square meters of house, educational level, occupation, employment situation. |
| Home conditions for online work | Number of children, family routines during confinement, availability and use of home space, activities and personal relationships at home during confinement. |
| Technological adaptation and use of digital technology at home | Family difficulties in supporting online teaching, type of school-based activities, overall assessment of online usage. |
| Script of Focus Group with Families |
|---|
| How did you experience the lockdown situation at home? |
| What technological resources did they (School Center) have to develop the SH? |
| Did they have enough training to help your children in the SH? Regarding educational content? In IT matters? |
| Have they been able to pay adequate attention to your children in the SH? Did they have time to attend to them?; Did they have other responsibilities to attend to during lockdown? |
| How did you support your children the most in teaching? |
| Do you think it would be beneficial to include online activities when it is possible to return to face-to-face schooling? Why? |
| Phase | Activities |
|---|---|
| I | Definition of study goals. |
| II | Documentation: (a) similar studies and (b) studies on school absence and its impact on learning. |
| III | Survey design: (a) first draft (GemEduco); (b) logical review of overall content and item formulation (reviewers: teachers and families); (c) pilot test (groups of teachers and families, e-mail contact); (d) second draft for online application; (e) pilot test in online format; (f) revision: final design of survey for online application (GemEduco). |
| IV | Data collection: (a) contacting people and organizations supporting the dissemination of the survey; and, (b) dissemination through social networks. |
| V | Quantitative data analysis: (a) database debugging and, (b) statistical analysis. |
| VI | Technical report: executive summary of the School at Home study. Dissemination through social and academic networks. |
| VII | Secondary studies: (a) qualitative approach (focus groups with families: collection of information and analysis); (b) statistical analysis specific to type of differential. |
| VIII | Dissemination of results. |
| Family Indicators | Interpretation Scale |
|---|---|
| GAP-1 MCPCHT THEORETICAL: square meters per capita in the home (IC.1 = p8/p7) | Insufficient < 20 Sufficient ≥ 20 and < 25 Adequate ≥ 25 |
| GAP-2 BREDIGERM: lack of technological material resources (IC4.A = Ʃ[p20.1 to p20.6]) | Null (= 1); Level 1 (= 2); Level 2 (= 3); Level 3 (= 4) Level 4 (= 5); Level 5 (= 6) |
| GAP-3 BREDIGESCI: parents’ and/or mothers’ lack of technological knowledge (IC4.B = Ʃ[p20.7 to p20.8]) | Null (= 0) Level 1 (= 2) Level 2 (= 3) |
| GAP-4 BRECONH: home coexistence (problems and personal relationships during confinement) (IC.5 = Ʃ[p21.1 to p21.5]) | Null (= 1); Level 1 (= 2); Level 2 (= 3); Level 3 (= 4) Level 4 (= 5) |
| GAP-5 DSIGUALDADTOTAL: global inequality indicator (IC.6 = quintiles of Ʃ[BREICVCONFINA, BREDIGTOT, BRECONH]) | Null (= 1); Level 1 (= 2) Level 2 (= 3); Level 3 (= 4) Level 4 (= 5) |
| Cluster Case Number | ||||||
|---|---|---|---|---|---|---|
| Variable | 1 | 2 | 3 | 4 | Total | Sig. |
| Work Situation during Lockdown * | ||||||
| I have to attend my workplace | 38.6% | 35.7% | 29.7% | 24.7% | 31.3% | 0.000 |
| Teleworking from home with the same or similar schedule as usual | 20.6% | 17.9% | 16.5% | 9.5% | 16.8% | 0.005 |
| Teleworking from home doing more hours than usual | 21.8% | 14.9% | 15.3% | 10.0% | 16.1% | 0.000 |
| Teleworking from home doing fewer hours than usual | 7.7% | 5.4% | 6.7% | 6.8% | 6.8% | 0.743 |
| (total teleworking. Calculated by sum) | 50.1% | 38.2% | 38.5% | 26.3% | 39.7% | |
| (total face-to-face work + teleworking. Calculated by sum) | 88.7% | 73.9% | 68.2% | 51% | 71% | |
| I usually work taking care of the family and the home (I do not do paid work outside the home) | 0.6% | 3.0% | 1.1% | 1.6% | 1.1% | 0.082 |
| I have been unemployed for a long time | 6.1% | 10.4% | 14.2% | 23.2% | 13.1% | 0.000 |
| I have been unemployed since the declaration of the state of alarm | 3.3% | 4.3% | 4.4% | 7.4% | 4.4% | 0.142 |
| I am on temporarily leave through a furlough scheme | 3.3% | 3.1% | 6.9% | 6.8% | 6.0% | 0.011 |
| (Total unemployed. Calculated by sum) | 12.7 | 17.8 | 25.5 | 37.4 | 23.5 | |
| Coexistence during confinement * | ||||||
| We have enjoyed moments together that we do not have outside lockdown (watching movies, talking, board games…) | 59.2% | 48.8% | 58.5% | 50.2% | 57.5% | 0.011 |
| My children have exercised indoors (sports) | 43.0% | 34.7% | 41.3% | 33.5% | 40.7% | 0.040 |
| All the household has withstood lockdown calmly | 24.7% | 21.2% | 36.8% | 25.1% | 32.9% | 0.000 |
| Mood and relationships at home are similar to when there is no lockdown | 28.5% | 26.5% | 36.5% | 24.6% | 33.6% | 0.000 |
| Due to the work of a member of the family (Healthcare. Food. Community services) we had to socially distance in the family when they returned from work | 12.7% | 15.3% | 9.2% | 8.4% | 10.1% | 0.010 |
| The youngest members of the family get more nervous than usual when they are indoors for so long | 41.2% | 42.4% | 22.7% | 35.5% | 28.1% | 0.000 |
| We are all more irritable when we are locked down and we argue frequently | 34.1% | 33.5% | 15.3% | 29.6% | 20.7% | 0.000 |
| We are afraid that this situation will drag on for a long time. This affects our mood | 34.9% | 40.6% | 22.2% | 32.0% | 26.3% | 0.000 |
| Difficulties with ICTs that prevented families from carrying out SH * | ||||||
| We do not have an internet connection | 0.6% | 4.7% | 0.4% | 9.9% | 1.3% | 0.000 |
| Our internet connection is not sufficient for this use | 8.5% | 38.8% | 5.6% | 34.0% | 10.0% | 0.000 |
| We don’t have adequate computers | 5.2% | 65.3% | 3.9% | 63.5% | 11.9% | 0.000 |
| We do not have suitable tablets | 2.9% | 60.6% | 1.6% | 56.7% | 9.1% | 0.000 |
| We only have our smartphone. We cannot lend them to our children to study | 0.8% | 44.1% | 1.1% | 42.9% | 6.5% | 0.000 |
| We only have our computers and we use them to work | 11.6% | 44.7% | 3.9% | 32.5% | 9.7% | 0.000 |
| Our children have smartphones but we don’t know how to use them to do homework | 2.1% | 4.7% | 0.8% | 3.0% | 1.4% | 0.000 |
| We do not have any IT knowledge and we cannot help our children to use it | 5.0% | 12.4% | 2.5% | 7.9% | 3.9% | 0.000 |
| We have had no difficulties | 56.3% | 1.2% | 74.7% | 2.5% | 62.0% | 0.000 |
| Other difficulties of families to perform SH * | ||||||
| My children do not have their own space to study | 27.7% | 35.3% | 3.9% | 8.9% | 10.3% | 0.000 |
| We don’t have enough time to spend with our children helping them with school at home | 78.0% | 74.7% | 18.4% | 26.1% | 32.9% | 0.000 |
| We have children in different year groups and we do not have time to attend to all of them | 69.6% | 73.5% | 11.7% | 19.2% | 26.2% | 0.000 |
| I have no one to help me at home. I am alone to take care of my children and to work | 46.4% | 55.9% | 6.9% | 7.9% | 16.9% | 0.000 |
| I am separated or divorced and that has made it difficult to support my children academically | 13.7% | 12.9% | 1.5% | 1.5% | 4.3% | 0.000 |
| One or more family members have been affected by COVID-19 | 1.9% | 2.4% | 1.6% | 3.4% | 1.8% | 0.275 |
| We have no other difficulties | 1.2% | 1.2% | 53.0% | 26.1% | 38.8% | 0.000 |
| Perception of the way in which teachers adapted the methodology to perform SH * | ||||||
| Send assignments from textbooks and correct them later | 59.9% | 50.6% | 57.8% | 55.2% | 57.6% | 0.164 |
| Hold video conferences with the entire class group | 46.1% | 38.8% | 48.8% | 35.5% | 46.8% | 0.000 |
| Video conference with my child | 13.5% | 12.4% | 16.4% | 11.3% | 15.3% | 0.081 |
| Communicate with us by WhatsApp or Telegram etc. | 39.5% | 49.4% | 38.9% | 43.3% | 39.9% | 0.040 |
| Indicate YouTube videos to watch | 45.9% | 55.3% | 38.1% | 49.8% | 41.3% | 0.000 |
| Record videos to explain things to families | 13.3% | 12.4% | 14.6% | 18.7% | 14.5% | 0.244 |
| Record videos to explain topics to my child | 17.7% | 17.6% | 22.1% | 24.6% | 21.2% | 0.059 |
| Cluster | |||||||
|---|---|---|---|---|---|---|---|
| Variable | 1 | 2 | 3 | 4 | Total | Sig. | |
| Educational Level: All Children * | |||||||
| Early Childhood Education (ECE) | 21.7% | 21.4% | 21.3% | 22.9% | 21.5% | 0.000 | |
| Primary Education (PE) | 49.1% | 54.1% | 40.3% | 45.5% | 43.4% | ||
| Compulsory Secondary Education (CSE) | 29.2% | 24.6% | 38.4% | 31.6% | 35.1% | ||
| Type | Ownership of the educational center in which your child studied * | ||||||
| 3 | Public | 62.4% | 70.9% | 59.2% | 66.3% | 61.2% | 0.005 |
| Subsidized | 34.3% | 27.2% | 37.1% | 31.0% | 35.4% | ||
| Private | 3.3% | 1.9% | 3.7% | 2.7% | 3.4% | ||
| 2 | Public | 62.4% | 70.9% | 59.2% | 66.3% | 61.2% | 0.000 |
| Subsidized/Private | 37.6% | 29.1% | 40.8% | 33.7% | 38.8% | ||
| Means of communication between teachers and families * | |||||||
| 21.7% | 25.3% | 21.5% | 28.5% | 22.3% | 0.032 | ||
| Telegram | 13.5% | 17.0% | 13.1% | 15.8% | 13.6% | 0.200 | |
| Telephone | 13.0% | 13.8% | 14.2% | 20.8% | 14.4% | 0.013 | |
| 73.0% | 72.0% | 70.3% | 72.2% | 71.1% | 0.479 | ||
| Computer platform of the school or educational administration | 58.9% | 61.2% | 62.1% | 57.7% | 61.1% | 0.232 | |
| Video call with different applications | 32.5% | 27.7% | 32.0% | 32.0% | 31.8% | 0.468 | |
| We have not been in contact with the teachers | 2.1% | 2.8% | 2.2% | 1.8% | 2.2% | 0.868 | |
| Level of communication that teachers have had with their students, according to families * | |||||||
| Very low | 9.7% | 13.0% | 7.1% | 9.4% | 8.2% | 0.000 | |
| Low | 22.7% | 23.9% | 13.8% | 11.9% | 16.2% | ||
| Medium | 32.7% | 29.8% | 32.5% | 33.2% | 32.4% | ||
| High | 25.9% | 22.1% | 31.3% | 30.7% | 29.5% | ||
| Very high | 9.0% | 11.2% | 15.2% | 14.8% | 13.6% | ||
| Means (PCV) ** | 3.0 (0.4) | 2.9 (0.4) | 3.3 (0.3) | 3.3 (0.3) | 3.2 (0.3) | 0.000 | |
| Specific difficulties that you have had helping your children in SH (Mark all those you have had) * | |||||||
| My son/daughter won’t work for long on the computer. (S)he gets tired and does not pay attention | 43.8% | 47.1% | 23.6% | 39.4% | 30.5% | 0.000 | |
| Our academic training is not sufficient to help them with the difficulties they have with their homework | 7.5% | 19.0% | 7.9% | 18.0% | 9.3% | 0.000 | |
| Teachers have not helped the parents by telling us how to help our son/daughter | 18.3% | 25.3% | 9.8% | 16.5% | 13.1% | 0.000 | |
| The teachers have had little contact with our son/daughter | 28.2% | 32.2% | 16.7% | 21.8% | 20.5% | 0.000 | |
| The school has set many homework assignments | 39.7% | 44.3% | 25.5% | 33.1% | 30.3% | 0.000 | |
| Few tasks have been sent to them from school to do at home | 5.9% | 5.2% | 5.4% | 3.9% | 5.4% | 0.637 | |
| My son/daughter had some type of specific support outside school hours (a private teacher, an association that offers educational support) and now he/she does not have this | 8.5% | 8.3% | 5.5% | 9.9% | 6.6% | 0.001 | |
| We have had no difficulties | 13.0% | 8.3% | 39.4% | 20.8% | 30.5% | 0.000 | |
| Time dedicated to the educational process of your child compared to that of a normal situation * | |||||||
| A lot less | 13.5% | 15.8% | 11.7% | 10.6% | 12.3% | 0.000 | |
| Less | 18.1% | 10.2% | 18.6% | 17.4% | 17.8% | ||
| The same | 11.5% | 8.4% | 21.4% | 20.9% | 18.4% | ||
| More | 20.0% | 18.6% | 26.0% | 20.2% | 23.9% | ||
| A lot more | 36.8% | 47.0% | 22.4% | 30.9% | 27.7% | ||
| Means (PCV) ** | 3.5 (0.4) | 3.7 (0.4) | 3.3 (0.40) | 3.4 (0.40) | 3.4 (0.4) | 0.000 | |
| Assessment of your child’s academic achievement compared to before lockdown. Has learned: * | |||||||
| A lot less | 23.8% | 34.2% | 12.2% | 15.8% | 16.4% | 0.000 | |
| Quite a bit less | 45.9% | 43.7% | 42.3% | 41.2% | 43.1% | ||
| The same | 23.9% | 16.9% | 33.9% | 31.5% | 30.5% | ||
| Quite a bit more | 5.3% | 3.9% | 9.1% | 10.0% | 8.0% | ||
| A lot more | 1.1% | 1.4% | 2.5% | 1.4% | 2.0% | ||
| Means (PCV) ** | 2.14 (0.4) | 1.95 (0.5) | 2.47 (0.4) | 2.40 (0.4) | 2.36 (0.4) | 0.000 | |
| Observation of changes in the behavior of children due to lockdown * | |||||||
| Is more nervous and agitated | 50.1% | 50.9% | 32.6% | 43.5% | 38.2% | 0.000 | |
| Has had minor health problems (stomach pain, general malaise, sadness…) | 7.6% | 8.2% | 5.1% | 6.1% | 5.9% | 0.000 | |
| Is the same as always | 20.0% | 18.9% | 30.3% | 21.9% | 26.8% | 0.000 | |
| Maybe a little more affectionate at home | 9.0% | 9.3% | 11.9% | 11.2% | 11.0% | 0.000 | |
| More affectionate and understanding with the situation | 9.2% | 8.9% | 15.2% | 14.0% | 13.5% | 0.000 | |
| Helps in everything he/she can and wants to help others as well as soon as this is over | 4.0% | 3.9% | 4.9% | 3.2% | 4.6% | 0.000 | |
| Global assessment of SH * | |||||||
| Very bad | 13.2% | 18.2% | 5.2% | 6.8% | 7.9% | 0.000 | |
| Bad | 29.7% | 30.8% | 17.3% | 20.8% | 21.1% | ||
| Normal | 29.8% | 29.7% | 28.8% | 36.2% | 29.6% | ||
| Good | 21.5% | 12.9% | 30.2% | 20.4% | 26.5% | ||
| Very good | 5.8% | 8.4% | 18.5% | 15.8% | 14.9% | ||
| Means (PCV) ** | 2.77 (0.4) | 2.63 (0.4) | 3.39 (0.3) | 3.18 (0.4) | 3.2(0.4) | 0.000 | |
| Quote 1. |
|---|
| “The truth is that we were fine because we were able to do the things we normally do, but without rushing. So the truth is that we shared and did a lot as a family. Although we were also very uncertain about what was going to happen and it was difficult to explain to the children that we had to be at home and we couldn’t go out… but hey, it was good, it was good.” (GF6P6, Early Childhood Education -ECE mother-). |
| Quote 2. |
| “At the study level it was terrible because at home we had nothing. The truth is that I didn’t even have a pencil, I didn’t have sharpies, I didn’t have anything, and on top of that they sent him a lot of homework and then that was like a little hard, we had a really bad time”. (GF6P2, ECE mother). |
| Quote 3. |
| “I did not know how to download a file, or how to send, attach emails… I had no idea. The only thing I knew was to use the mail, but only read the messages, because me, send, forward, attach—nothing. I have learned afterwards.” (GF6P3, ECE mother) |
| Quote 4. |
| “Well, let’s see, I didn’t have much idea either, because we used Google to enter YouTube to find out how to enter or create accounts, to join the groups live and the truth was that it was not that complicated, we had to investigate, but at in the end, we managed it.” (GF6P6, ECE mother). |
| Quote 5. |
| “In truth I found it really hard. I am like I’m there on the internet and everything, but when we came across this it was like using new methods and new things, and the truth is that it was tough at first, I think that instead of teaching my daughter she taught me. She is more up-to-date, and of course I think more than anything I learned more than her hahaha. The truth is that it was hard, but we did it.” (GF7P1, Primary School -PS mother-). |
| Quote 6. |
| “At home I have been a great help for my children and especially for the little one, because he has gained a lot of confidence in doing his things. We learned to draw: how a child draws, animals… and he already has that initiative to do things himself. He says: Mom, I’ll make a girl or a boy and I already notice that the time that we have spent in lockdown sharing with them has served them well.” (GF6P6, ECE mother). |
| Quote 7. |
| “The truth is that we have been of great help because it shows a lot because as I say, sometimes at school they do not have enough confidence to ask certain questions, and here at home we would look for it online or I would explain to them some way that they could understand it and they would say “ah, now I get it”.” (GF7P3, PS mother). |
| Quote 8. |
| “Well, I think it would be good because sometimes, due to the parents’ work, they are not so aware of what they are working on and something to report on everything that is being done and that we are aware of what they are about to be able to help them with any questions they may have” (GF7P3, PS mother). |
| Quote 9. |
| “It is good that they do not completely disconnect from the online part, but just one small point, because not all of us have the resources, such as a Tablet, so that the child has their independence when working, especially because of that, because there aren’t any resources, all this is a very big conflict” (GF7P4, PS mother). |
Disclaimer/Publisher’s Note: The statements, opinions and data contained in all publications are solely those of the individual author(s) and contributor(s) and not of MDPI and/or the editor(s). MDPI and/or the editor(s) disclaim responsibility for any injury to people or property resulting from any ideas, methods, instructions or products referred to in the content. |
© 2022 by the authors. Licensee MDPI, Basel, Switzerland. This article is an open access article distributed under the terms and conditions of the Creative Commons Attribution (CC BY) license (https://creativecommons.org/licenses/by/4.0/).
Share and Cite
Jornet-Meliá, J.M.; Sancho-Álvarez, C.; Bakieva-Karimova, M. Analysis of Profiles of Family Educational Situations during COVID-19 Lockdown in the Valencian Community (Spain). Societies 2023, 13, 10. https://doi.org/10.3390/soc13010010
Jornet-Meliá JM, Sancho-Álvarez C, Bakieva-Karimova M. Analysis of Profiles of Family Educational Situations during COVID-19 Lockdown in the Valencian Community (Spain). Societies. 2023; 13(1):10. https://doi.org/10.3390/soc13010010
Chicago/Turabian StyleJornet-Meliá, Jesús Miguel, Carlos Sancho-Álvarez, and Margarita Bakieva-Karimova. 2023. "Analysis of Profiles of Family Educational Situations during COVID-19 Lockdown in the Valencian Community (Spain)" Societies 13, no. 1: 10. https://doi.org/10.3390/soc13010010
APA StyleJornet-Meliá, J. M., Sancho-Álvarez, C., & Bakieva-Karimova, M. (2023). Analysis of Profiles of Family Educational Situations during COVID-19 Lockdown in the Valencian Community (Spain). Societies, 13(1), 10. https://doi.org/10.3390/soc13010010

