Impact of Temperature Variation on the Biological Traits and Lifecycle of Spodoptera exigua (Lepidoptera: Noctuidae): A Meta-Analysis Approach
Simple Summary
Abstract
1. Introduction
2. Materials and Methods
2.1. Literature Search and Selection Process
2.2. Data Extraction
2.3. Statistical Analysis
3. Results
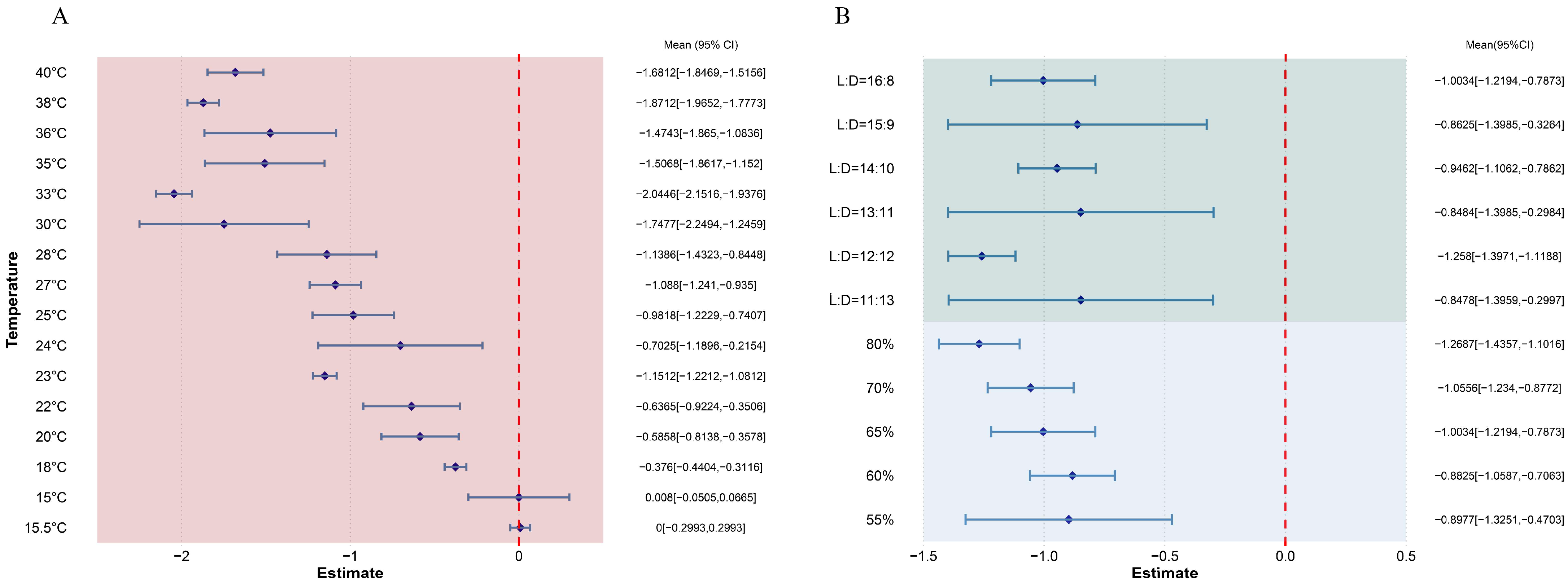
3.1. Statistical Data
3.2. Comprehensive Meta-Analyses with Random-Effects and Fixed-Effects Models
3.3. The Effect of Temperature on Developmental Duration
3.4. The Influence of Temperature on the Ovipositional Behavior of Female Adults
3.5. The Effect of Temperature on Generation Time and Adult Lifespan
3.6. Model Validation
4. Discussion
5. Conclusions
Supplementary Materials
Author Contributions
Funding
Data Availability Statement
Conflicts of Interest
References
- Lehmann, P.; Ammunét, T.; Barton, M.; Battisti, A.; Eigenbrode, S.D.; Jepsen, J.U.; Kalinkat, G.; Neuvonen, S.; Niemelä, P.; Terblanche, J.S.; et al. Complex responses of global insect pests to climate warming. Front. Ecol. Environ. 2020, 18, 141–150. [Google Scholar] [CrossRef]
- Ramsfield, T.D.; Bentz, B.; Faccoli, M.; Jactel, H.; Brockerhoff, E.G. Forest health in a changing world: Effects of globalization and climate change on forest insect and pathogen impacts. Forestry 2016, 89, 245–252. [Google Scholar] [CrossRef]
- Barford, E. Crop pests advancing with global warming. Nature 2013. [Google Scholar] [CrossRef]
- Youngblood, J.P.; Cease, A.; Talal, S.; Copa, F.; Medina, H.E.; Rojas, J.E.; Trumper, E.V.; Angilletta, M.J.; Harrison, J.F. Climate change expected to improve digestive rate and trigger range expansion in outbreaking locusts. Ecol. Monogr. 2022, 93, e1550. [Google Scholar] [CrossRef]
- Huang, Y.; Dong, Y.; Huang, W.; Guo, J.; Hao, Z.; Zhao, M.; Hu, B.; Cheng, X.; Wang, M. Predicting the Global Potential Suitable Distribution of Fall Armyworm and Its Host Plants Based on Machine Learning Models. Remote Sens. 2024, 16, 2060. [Google Scholar] [CrossRef]
- Sandra, S.; Monika, Z.; Pajač, Ž.I.; Vinko, L.; Darija, L. The Impact of Climate Change on Agricultural Insect Pests. Insects 2021, 12, 440. [Google Scholar] [CrossRef] [PubMed]
- Chowdary, L.R.; Kumar, G.V.S.; Bharathi, S.; Sarada, Q.; Nagaraju, Y.; Chandrashekara, K.M.; Harish, G.N. Off-season survival and life history of beet armyworm, Spodoptera exigua (Hubner) on various host plants. Sci. Rep. 2024, 14, 13721. [Google Scholar]
- Zheng, X.; Huang, Q.; Cao, W.; Lu, W.; Wang, G.; Yu, S.; Yang, Z.; Wang, X. Modeling climate change impacts on overwintering of Spodoptera exigua Hübner in regions of China. Chil. J. Agr. Res. 2015, 75, 328–333. [Google Scholar] [CrossRef]
- Breeschoten, T.; Ros, V.I.D.; Schranz, M.E.; Simon, S. An influential meal: Host plant dependent transcriptional variation in the beet armyworm, Spodoptera exigua (Lepidoptera: Noctuidae). BMC Genom. 2019, 20, 845. [Google Scholar] [CrossRef]
- Zhang, B.; Liu, H.; Helen, H.; Wang, J. Effect of host plants on development, fecundity and enzyme activity of Spodoptera exigua (Hübner) (Lepidoptera: Noctuidae). Agri. Sci. China 2011, 10, 1232–1240. [Google Scholar] [CrossRef]
- Mehrkhou, F.; Talebi, A.A.; Moharramipour, S.; Naveh, V.H.; Farahani, S. Development and fecundity of Spodoptera exigua (Hübner) (Lepidoptera: Noctuidae) on different soybean cultivars. Arch. Phytopathol. Plant Prot. 2012, 45, 90–98. [Google Scholar] [CrossRef]
- Dai, H.; Zhang, G.; Zhang, W. Temperature dependent development parameters and population life table of beet armyworm, Spodoptera exigua (Hübner) (Lepidoptera: Noctuidae). Arthropods 2017, 6, 117–125. [Google Scholar]
- Ma, H.T.; Zhou, L.H.; Tan, H.; Xiu, X.Z.; Wang, J.Y.; Wang, X.Y. Population dynamics and seasonal migration patterns of Spodoptera exigua in northern China based on 11 years of monitoring data. PeerJ 2024, 12, e17223. [Google Scholar] [CrossRef] [PubMed]
- Zhou, L.H.; Wang, X.Y.; Xu, G.Q.; Lei, J.J. Mitochondrial DNA phylogeography of Spodoptera exigua across a broad geographic area in China. J. Appl. Entomol. 2017, 141, 527–539. [Google Scholar] [CrossRef]
- Jia, H.; Wang, T.; Li, X.; Zhao, S.; Guo, J.; Liu, A.; Liu, Y.; Wu, K. Pollen molecular identification from a long-distance migratory insect, Spodoptera exigua, as evidenced for its regional pollination in Eastern Asia. Int. J. Mol. Sci. 2023, 24, 7588. [Google Scholar] [CrossRef]
- Lemoine, N.P.; Shantz, A.A. Increased temperature causes protein limitation by reducing the efficiency of nitrogen digestion in the ectothermic herbivore Spodoptera exigua. Physiol. Entomol. 2016, 41, 143–151. [Google Scholar] [CrossRef]
- Zheng, X.L.; Wang, P.; Cheng, W.J.; Lu, W.; Xian, Z.H.; Lei, C.L.; Wang, X.P. Effects of the larval host plant on the supercooling capacity and physiological characteristics of beet armyworm pupae, Spodoptera exigua (Lepidoptera: Noctuidae). J. Plant Dis. Protect 2014, 121, 202–210. [Google Scholar] [CrossRef]
- Fu, C.; Liu, Z.; Xu, D.; Peng, Y.; Liu, B.; Zhuo, Z. Effects of Global Climate Warming on the Biological Characteristics of Spodoptera frugiperda (J.E. Smith) (Lepidoptera: Noctuidae). Insects 2024, 15, 689. [Google Scholar] [CrossRef] [PubMed]
- Hardwicke, T.E.; Serghiou, S.; Janiaud, P.; Danchev, V.; Crüwell, S.; Goodman, S.N.; Ioannidis, J.P. Calibrating the scientific ecosystem through meta-research. Annu. Rev. Stat. Appl. 2020, 7, 11–37. [Google Scholar] [CrossRef]
- Viechtbauer, W. Conducting Meta-Analyses in R with the metafor Package. J. Stat. Softw. 2010, 36, 1–48. [Google Scholar] [CrossRef]
- Bo, C.; Andrea, B. Quantifying heterogeneity in individual participant data meta-analysis with binary outcomes. Syst. Rev. 2017, 6, 243. [Google Scholar]
- Thorlund, K.; Imberger, G.; Johnston, B.C.; Walsh, M.; Awad, T.; Thabane, L.; Gluud, C.; Devereaux, P.J.; Wetterslev, J. Evolution of heterogeneity (I2) estimates and their 95% confidence intervals in large meta-analyses. PLoS ONE 2017, 7, e39471. [Google Scholar] [CrossRef] [PubMed]
- McKenzie, J.E.; Veroniki, A.A. A brief note on the random-effects meta-analysis model and its relationship to other models. J. Clin. Epidemiol. 2024, 174, 111492. [Google Scholar] [CrossRef] [PubMed]
- Plonsky, L.; Oswald, F.L. How to do a meta-analysis. In Research Methods in Second. Language Acquisition: A Practical Guide; Blackwell Publishing Ltd.: Oxford, UK, 2011; pp. 275–295. [Google Scholar]
- Hedges, L.V.; Olkin, I. Statistical Methods for Meta-Analysis; Academic Press: Cambridge, MA, USA, 2014; pp. 75–78. [Google Scholar]
- Egger, M.; Smith, G.D.; Schneider, M.; Minder, C. Bias in meta-analysis detected by a simple, graphical test. BMJ-Brit Med. J. 1997, 315, 629–634. [Google Scholar] [CrossRef] [PubMed]
- Philip, S.; Louise, M. How to read a funnel plot in a meta-analysis. BMJ (Clin. Res. Ed.) 2015, 351, h4718. [Google Scholar]
- Lee, S.D.; Ahn, S.B.; Choi, K.M.; Cho, W.S. Effect of temperature on the development of beet armyworm, Spodoptera exigua Hubner (Lepidoptera: Noctuidae). Res. Rep. Rural. Dev. Admin. 1991, 33, 1013–9389. [Google Scholar]
- Jiang, X.; Luo, L.; Li, K.; Cao, Y.; Hu, Y.; Liu, Y. Influence of temperature on flight capacity of the beet armyworm, Spodoptera exigua. Acta Entomol. Sin. 2002, 45, 275–278. [Google Scholar]
- Karimi-Malati, A.; Fathipour, Y.; Talebi, A.A.; Bazoubandi, M. Life table parameters and survivorship of Spodoptera exigua (Lepidoptera: Noctuidae) at constant temperatures. Environ. Entomol. 2014, 43, 795–803. [Google Scholar] [CrossRef] [PubMed]
- Karimi-Malati, A.; Fathipour, Y.; Talebi, A.A. Development response of Spodoptera exigua to eight constant temperatures: Linear and nonlinear modeling. J. Asia-Pac. Entomol. 2014, 17, 349–354. [Google Scholar] [CrossRef]
- Liu, Z.; Liu, B.; Yu, H.; Zhang, H.; He, Z.; Zhuo, Z. The Effects of Global Climate Warming on the Developmental Parameters of Helicoverpa armigera (Hübner, 1808) (Lepidoptera: Noctuidae). Insects 2024, 15, 888. [Google Scholar] [CrossRef]
- Ouyang, F.; Hui, C.; Men, X.; Zhang, Y.; Fan, L.; Shi, P.; Zhao, Z.; Ge, F. Early eclosion of overwintering cotton bollworm moths from warming temperatures accentuates yield loss in wheat. Agric. Ecosyst. Environ. 2016, 217, 89–98. [Google Scholar] [CrossRef]
- Ulrichs, C.; Hopper, K.R. Predicting insect distributions from climate and habitat data. Biocontrol 2008, 53, 881–894. [Google Scholar] [CrossRef]
- Jin, Z.; Zhao, H.; Xian, X.; Li, M.; Qi, Y.; Guo, J.; Yang, N.; Lü, Z.; Liu, W. Early warning and management of invasive crop pests under global warming: Estimating the global geographical distribution patterns and ecological niche overlap of three Diabrotica beetles. Environ. Sci. Pollut. R. 2024, 31, 13575–13590. [Google Scholar] [CrossRef] [PubMed]
- Zeng, J.; Liu, Y.; Zhang, H.; Liu, J.; Jiang, Y.; Wyckhuys, K.A.G.; Wu, K. Global warming modifies long-distance migration of an agricultural insect pest. J. Pest. Sci. 2020, 93, 569–581. [Google Scholar] [CrossRef]
- Botkin, D.B.; Saxe, H.; Araújo, M.B.; Betts, R.; Bradshaw, R.H.; Cedhagen, T.; Chesson, P.; Dawson, T.P.; Etterson, J.R.; Faith, D.P. Forecasting the effects of global warming on biodiversity. Bioscience 2007, 57, 227–236. [Google Scholar] [CrossRef]
- Gao, H.; Wei, X.; Peng, Y.; Zhuo, Z. Predicting the Impact of Climate Change on the Future Distribution of Paederus fuscipes Curtis, 1826, in China Based on the MaxEnt Model. Insects 2024, 15, 437. [Google Scholar] [CrossRef] [PubMed]
- Deng, X.; Xu, D.; Liao, W.; Wang, R.; Zhuo, Z. Predicting the distributions of Scleroderma guani (Hymenoptera: Bethylidae) under climate change in China. Ecol. Evol. 2022, 12, e9410. [Google Scholar] [CrossRef] [PubMed]









| TR | CT | N | V |
|---|---|---|---|
| 15.5–38 °C | 15.5 | 20 | First instar |
| 15.5–38 °C | 15.5 | 20 | Second instar |
| 15.5–38 °C | 15.5 | 20 | Third instar |
| 15.5–38 °C | 15.5 | 20 | Fourth instar |
| 15.5–38 °C | 15.5 | 20 | Fifth instar |
| 20–36 °C | 20 | 5 | Sixth instar |
| 20–36 °C | 20 | 30 | Adult longevity |
| 15.5–40 °C | 15.5 | 19 | Egg |
| 20–36 °C | 20 | 10 | Generation cycle |
| 22–28 °C | 22 | 27 | Larval stage |
| 15–40 °C | 15 | 16 | Mean eggs number of per female |
| 20–36 °C | 20 | 5 | Pre-oviposition |
| 15.5–38 °C | 15.5 | 52 | Pupa stage |
| 15–40 °C | 15.5 | 264 | S. exigua |
Disclaimer/Publisher’s Note: The statements, opinions and data contained in all publications are solely those of the individual author(s) and contributor(s) and not of MDPI and/or the editor(s). MDPI and/or the editor(s) disclaim responsibility for any injury to people or property resulting from any ideas, methods, instructions or products referred to in the content. |
© 2025 by the authors. Licensee MDPI, Basel, Switzerland. This article is an open access article distributed under the terms and conditions of the Creative Commons Attribution (CC BY) license (https://creativecommons.org/licenses/by/4.0/).
Share and Cite
Zhang, H.; Xu, D.; Deng, X.; Liu, Z.; He, Z.; Wu, J.; Zhuo, Z. Impact of Temperature Variation on the Biological Traits and Lifecycle of Spodoptera exigua (Lepidoptera: Noctuidae): A Meta-Analysis Approach. Insects 2025, 16, 155. https://doi.org/10.3390/insects16020155
Zhang H, Xu D, Deng X, Liu Z, He Z, Wu J, Zhuo Z. Impact of Temperature Variation on the Biological Traits and Lifecycle of Spodoptera exigua (Lepidoptera: Noctuidae): A Meta-Analysis Approach. Insects. 2025; 16(2):155. https://doi.org/10.3390/insects16020155
Chicago/Turabian StyleZhang, Honghua, Danping Xu, Xingqi Deng, Zhiqian Liu, Zhipeng He, Junhao Wu, and Zhihang Zhuo. 2025. "Impact of Temperature Variation on the Biological Traits and Lifecycle of Spodoptera exigua (Lepidoptera: Noctuidae): A Meta-Analysis Approach" Insects 16, no. 2: 155. https://doi.org/10.3390/insects16020155
APA StyleZhang, H., Xu, D., Deng, X., Liu, Z., He, Z., Wu, J., & Zhuo, Z. (2025). Impact of Temperature Variation on the Biological Traits and Lifecycle of Spodoptera exigua (Lepidoptera: Noctuidae): A Meta-Analysis Approach. Insects, 16(2), 155. https://doi.org/10.3390/insects16020155

