The Impact of Predation Risks on the Development and Fecundity of Bactrocera dorsalis Hendel
Abstract
Simple Summary
Abstract
1. Introduction
2. Methods and Materials
2.1. Experimental Insects
2.1.1. The Effect of Caged Predators on the Development and Fecundity of B. dorsalis
2.1.2. The Effect of Predator Odor on Development and Fecundity of B. dorsalis
2.2. Data Analysis
3. Results
3.1. Developmental Time
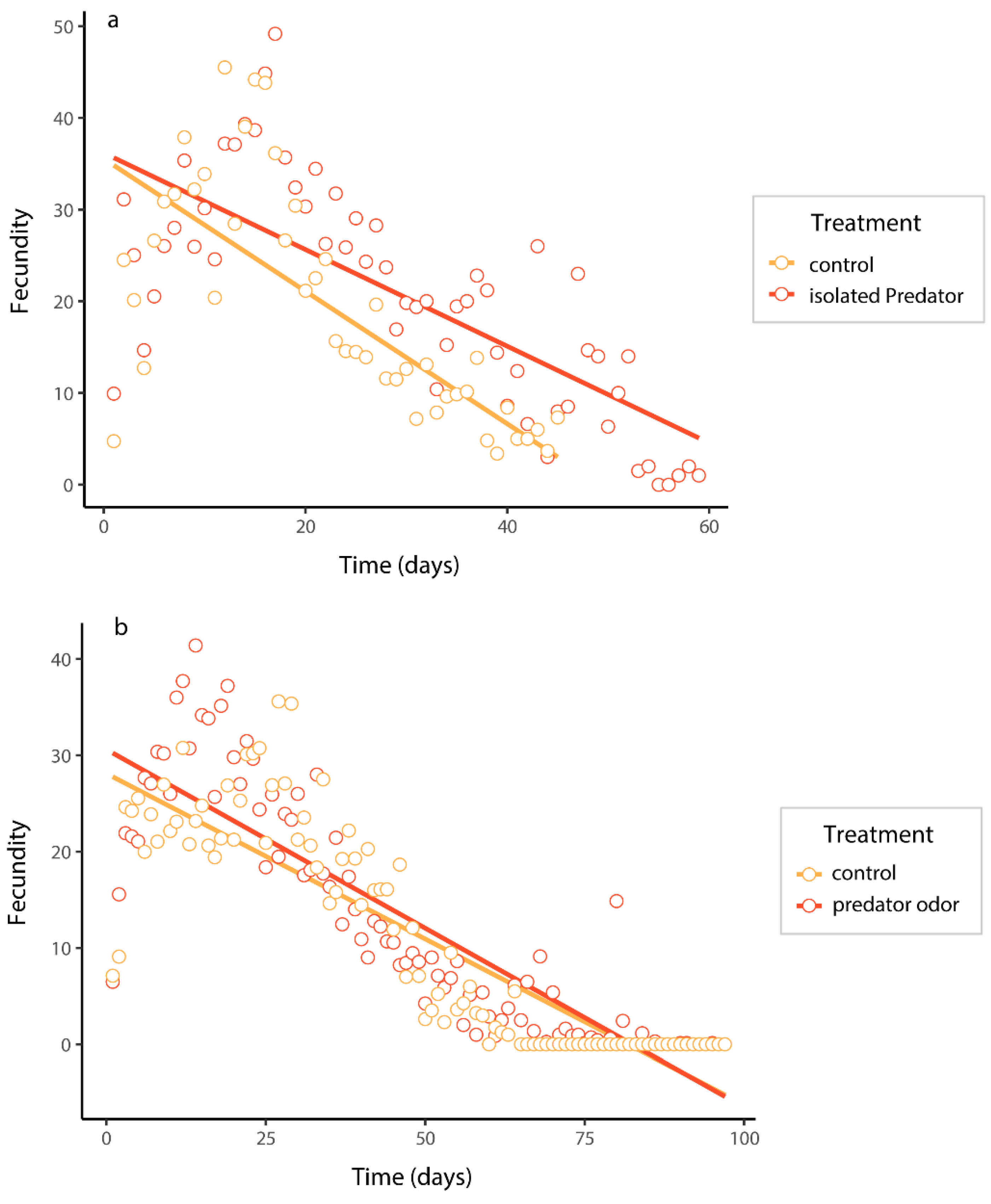
3.2. Fecundity
3.3. Body Weight at Death
4. Discussion
Author Contributions
Funding
Data Availability Statement
Conflicts of Interest
Appendix A
| Response Variables | Predictor Variables | Coef | Exp (coef) | Se (coef) | Z | Pr (>|z|) |
|---|---|---|---|---|---|---|
| treatments | 0.349 | 1.417 | 0.164 | 2.132 | 0.033 |
| sexes | −0.107 | 0.898 | 0.163 | −0.656 | 0.512 | |
| Treatments: sexes | −0.346 | 0.708 | 0.226 | −1.529 | 0.126 | |
| treatments | 0.395 | 1.485 | 0.172 | 2.304 | 0.021 |
| sexes | −0.025 | 0.975 | 0.172 | −0.145 | 0.885 |
| Response Variables | Predictor Variables | df | chisq | Pr (>F) |
|---|---|---|---|---|
| treatment | 1 | 33.10 | <0.001 |
| time | 1 | 83.48 | <0.001 | |
| treatment:time | 1 | 8.33 | 0.004 | |
| treatment | 1 | 3.95 | <0.001 |
| time | 1 | 359.95 | 0.047 | |
| treatment:time | 1 | 1.76 | 0.183 |
| Response Variables | Predictor Variables | df | chisq | Pr (>F) |
|---|---|---|---|---|
| time | 1 | 2.599 | 0.107 |
| treatment | 1 | 1.214 | 0.271 | |
| sex | 1 | 13.437 | <0.001 | |
| time:treatment | 1 | 0.171 | 0.679 | |
| time:sex | 1 | 0.818 | 0.366 | |
| treatment:sex | 1 | 0.487 | 0.485 | |
| time:treatment:sex | 1 | 0.471 | 0.493 | |
| time | 1 | 19.753 | <0.001 |
| treatment | 1 | 2.012 | 0.156 | |
| sex | 1 | 9.781 | 0.002 | |
| time:treatment | 1 | 1.440 | 0.230 | |
| time:sex | 1 | 1.313 | 0.252 | |
| treatment:sex | 1 | 0.280 | 0.597 | |
| time:treatment:sex | 1 | 1.574 | 0.210 |
References
- Barbosa, P.; Lgnacio, C. Ecology of Predator-Prey Interactions; Oxford University Press: Oxford, UK, 2005. [Google Scholar]
- Abrams, P. The evolution of predator-prey interactions: Theory and evidence. Annu. Rev. Ecol. Syst. 2000, 31, 79–105. [Google Scholar] [CrossRef]
- Preisser, E.L.; Bolnick, D.I.; Benard, M.F. Scared to death? The effects of intimidation and consumption in predator-prey interactions. Ecology 2005, 86, 501–509. [Google Scholar] [CrossRef]
- Orrock, J.L.; Grabowski, J.H.; Pantel, J.H.; Peacor, S.D.; Peckarsky, B.L.; Sih, A.; Werner, E.E. Consumptive and nonconsumptive effects of predators on metacommunities of competing prey. Ecology 2008, 89, 2426–2435. [Google Scholar] [CrossRef] [PubMed]
- Ritchie, E.G.; Johnson, C.N. Predator interactions, mesopredator release and biodiversity conservation. Ecol. Lett. 2009, 12, 982–998. [Google Scholar] [CrossRef] [PubMed]
- Hawlena, D.; Schmitz, O.J. Herbivore physiological response to predation risk and implications for ecosystem nutrient dynamics. Proc. Natl. Acad. Sci. USA 2010, 107, 15503–15507. [Google Scholar] [CrossRef] [PubMed]
- Pasparakis, C.; Lohroff, T.; Biefel, F.; Cocherell, D.E.; Carson, E.W.; Hung, T.C.; Connon, R.E.; Fangue, N.A.; Todgham, A.E. Effects of turbidity, temperature and predation cue on the stress response of juvenile delta smelt. Conserv. Physiol. 2023, 11, coad036. [Google Scholar] [CrossRef] [PubMed]
- Nicieza, A.G. Interacting effects of predation risk and food availability on larval anuran behaviour and development. Oecologia 2000, 123, 497–505. [Google Scholar] [CrossRef] [PubMed]
- Culshaw-Maurer, M.; Sih, A.; Rosenheim, J.A. Bugs scaring bugs: Enemy-risk effects in biological control systems. Ecol. Lett. 2020, 23, 1693–1714. [Google Scholar] [CrossRef] [PubMed]
- Weed, A.S.; Frank, J.H. Oviposition behavior of Pheropsophus aequinoctialis L. (coleoptera: Carabidae): A natural enemy of Scapteriscus mole crickets (orthoptera: Gryllotalpidae). J. Insect Behav. 2005, 18, 707–723. [Google Scholar] [CrossRef]
- Cresswell, W. Non-lethal effects of predation in birds. Ibis 2008, 150, 3–17. [Google Scholar] [CrossRef]
- Johnson, E.C.; Braco, J.T.; Whitmill, M.A. Connecting nutrient sensing and the endocrine control of metabolic allocation in insects. Insect Sci. 2014, 1, 66–72. [Google Scholar] [CrossRef] [PubMed]
- Worm, B.; Karez, R. Competition, coexistence and diversity on rocky shores. In Competition and Coexistence; Ecological Studies; Springer: Berlin/Heidelberg, Germany, 2002; pp. 133–163. [Google Scholar]
- Werner, E.E. Individual behavior and higher-order species interactions. Am. Nat. 1992, 140, S5–S32. [Google Scholar] [CrossRef]
- Werner, E.E.; Anholt, B.R. Ecological consequences of the trade-off between growth and mortality rates mediated by foraging activity. Am. Nat. 1993, 142, 242–272. [Google Scholar] [CrossRef] [PubMed]
- Hermann, S.L.; Thaler, J.S. Prey perception of predation risk: Volatile chemical cues mediate non-consumptive effects of a predator on a herbivorous insect. Oecologia 2014, 176, 669–676. [Google Scholar] [CrossRef] [PubMed]
- Siepielski, A.M.; Fallon, E.; Boersma, K. Predator olfactory cues generate a foraging-predation trade-off through prey apprehension. R. Soc. 2016, 3, 150537. [Google Scholar] [CrossRef]
- Koch, N.; Lynch, B.; Rochette, R. Trade-off between mating and predation risk in the marine snail, Littorina plena. Invertebr. Biol. 2007, 126, 257–267. [Google Scholar] [CrossRef]
- Urban, M.C. The growth-predation risk trade-off under a growing gape-limited predation threat. Ecology 2007, 88, 2587–2597. [Google Scholar] [CrossRef] [PubMed]
- Gotthard, K. Increased risk of predation as a cost of high growth rate: An experimental test in a butterfly. J. Anim. Ecol. 2000, 69, 896–902. [Google Scholar] [CrossRef] [PubMed]
- Lin, X.M.; Cui, X.X.; Tang, J.H.; Zhu, J.W.; Li, J.H. Predation risk effects of lady beetle Menochilus sexmaculatus (fabricius) on the melon aphid, Aphis gossypii glover. Insects 2024, 15, 13. [Google Scholar] [CrossRef]
- Wei, X.; Liu, J.; Zhang, Z.-Q. Predation stress experienced as immature mites extends their lifespan. Biogerontology 2023, 24, 67–79. [Google Scholar] [CrossRef]
- Li, Y.P.; Ge, F. Effect of prey stress from Propylea japonica on development and fecundity of Drosophila melanogaster in successive three generations. Entomol. Knowl. 2010, 47, 139–145. [Google Scholar]
- Wang, L.; Atlihan, R.; Chai, R.; Dong, Y.; Luo, C.; Hu, Z. Assessment of non-consumptive predation risk of Coccinella septempunctata (coleoptera: Coccinellidae) on the population growth of Sitobion miscanthi (hemiptera: Aphididae). Insects 2022, 13, 524. [Google Scholar] [CrossRef] [PubMed]
- Kempraj, V.; Park, S.J.; Taylor, P.W. Forewarned is forearmed: Queensland fruit flies detect olfactory cues from predators and respond with predator-specific behaviour. Sci. Rep. 2020, 10, 7297. [Google Scholar] [CrossRef] [PubMed]
- Fortuna, R.; Covas, R.; D’Amelio, P.B.; Silva, L.R.; Parenteau, C.; Bliard, L.; Rybak, F.; Doutrelant, C.; Paquet, M. Interplay of cooperative breeding and predation risk on egg allocation and reproductive output. Behav. Ecol. 2024, 35, arae010. [Google Scholar] [CrossRef] [PubMed]
- Kral, K. Visually guided search behavior during walking in insects with different habitat utilization strategies. J. Insect Behav. 2019, 32, 290–305. [Google Scholar] [CrossRef]
- Zanuzzo, F.S.; de C. Bovolato, A.L.; Pereira, R.T.; Valença-Silva, G.; Barcellos, L.J.G.; Barreto, R.E. Innate response based on visual cues of sympatric and allopatric predators in nile tilapia. Behav. Process. 2019, 164, 109–114. [Google Scholar] [CrossRef] [PubMed]
- Kats, L.B.; Dill, L.M. The scent of death: Chemosensory assessment of predation risk by prey animals. Écoscience 1998, 5, 361–394. [Google Scholar] [CrossRef]
- Grubb, T.C., Jr. Antipredator defenses in birds and mammals. Auk 2006, 123, 601–605. [Google Scholar] [CrossRef]
- Munoz, N.E.; Blumstein, D.T. Multisensory perception in uncertain environments. Behav. Ecol. 2012, 23, 457–462. [Google Scholar] [CrossRef]
- Hettena, A.M.; Munoz, N.; Blumstein, D.T. Prey responses to predator’s sounds: A review and empirical study. Ethology 2014, 120, 427–452. [Google Scholar] [CrossRef]
- Brown, G.E.; Magnavacca, G. Predator inspection behaviour in a characin fish: An interaction between chemical and visual information? Ethology 2003, 109, 739–750. [Google Scholar] [CrossRef]
- Binz, H.; Bucher, R.; Entling, M.H.; Menzel, F. Knowing the risk: Crickets distinguish between spider predators of different size and commonness. Ethology 2014, 120, 99–110. [Google Scholar] [CrossRef]
- Schmitz, O.A.O. Predator and prey functional traits: Understanding the adaptive machinery driving predator-prey interactions. F1000Research 2017, 6, 1767. [Google Scholar] [CrossRef] [PubMed]
- Poulin, R.X.; Lavoie, S.; Siegel, K.; Gaul, D.A.; Weissburg, M.J.; Kubanek, J. Chemical encoding of risk perception and predator detection among estuarine invertebrates. Proc. Natl. Acad. Sci. USA 2018, 115, 662–667. [Google Scholar] [CrossRef] [PubMed]
- Wang, Y.J.; Wu, J.; Zhao, D.X. Research progress on Hierodula patellifera serville. J. South. Agric. 2014, 45, 53–57. [Google Scholar]
- Wang, S.J.; Wu, J.; Zhao, Y.A.; Li, R.X.; Zhao, D.X. Functional response of adult Hierodula patellifera (Serville, 1839) (Mantodea: Mantidae) to Tessaratoma papillosa (Drury) (Hemiptera:Tessaratomidae). Int. J. Trop. Insect Sci. 2020, 4, 1053–1058. [Google Scholar] [CrossRef]
- Lin, J.T.; Zeng, L.; Lu, Y.Y.; Liang, G.W.; Xu, Y.J. Research Advances in biology and control of Bactrocera (Bactrocera) dorsalis (Hendel). J. ZhongKai Agrotech. Coll. 2004, 17, 60–67. [Google Scholar]
- Huang, J.F.; Zhang, Y.J. Research progress of oriental fruit fly Bactrocera dorsalis (Hendel) (Diptera: Tetriphitidae). Deciduous Fruits 2023, 55, 68–71. [Google Scholar]
- Jin, Y.X.; Zhang, D.M.; Xie, C.F.; Li, M.M.; Meng, L.L.; Shang, M.Q.; Zhou, H.-X. Research advance on green prevention and control technology of Bactrocera dorsalis H. Plant Quar. 2022, 36, 1–6. [Google Scholar]
- Zhu, Y.F.; Shang, M.Q.; Teng, Z.W.; Tan, X.M.; Guo, Y.; Jing, M.J.; Wan, F.H. Analysis of Invasion, Distribution and Spreding Trend of Bactrocera dorsalis. Shandong Agric. Sci. 2020, 52, 141–149. [Google Scholar]
- Zhu, X.S.; Liu, Y.; Dai, S.Z.; Luo, R.; Jia, H.S.; He, P.; Zhao, L. The control experiment of three kinds of potion on Bactrocera dorsalis in apple orchard. Yunnan Agric. Sci. Technol. 2021, 3, 9–10. [Google Scholar]
- Quan, J.C.; Chen, G.F.; Jiang, Y.H. Damage Investigation and Field Control Test of Bactrocera dorsalis in Guangxi. South China Fruits 2019, 48, 86–91. [Google Scholar]
- Liu, H.S.; Zeng, L.Q.; Cao, Z.D.; Fu, S.J. Effects of different predator stress on vulnerability to predation and the underlying physiological and behavioral mechanisms of this vulnerability in juvenile qingbo (Spinibarbus sinensis). Acta Ecol. Sin. 2016, 36, 85–90. [Google Scholar] [CrossRef]
- Wen, J.; Ueno, T. Application of predator-associated cues to control small brown planthoppers: Non-consumptive effects of predators suppress the pest population. BioControl 2021, 66, 813–824. [Google Scholar] [CrossRef]
- Yuan, R.L.; Zheng, C.W.; Feng, F.D. Study on new feeding method of Bactrocera dorsalis. Agric. Technol. Serv. 2020, 37, 27–30. [Google Scholar]
- Wei, X.; Zhang, Z.Q. Level-dependent effects of predation stress on prey development, lifespan and reproduction in mites. Biogerontology 2022, 23, 515–527. [Google Scholar] [CrossRef] [PubMed]
- Duong, T.M.; McCauley, S.J. Predation risk increases immune response in a larval dragonfly (Leucorrhinia intacta). Ecology 2016, 97, 1605–1610. [Google Scholar] [CrossRef] [PubMed]
- Schwenke, R.A.; Lazzaro, B.P.; Wolfner, M.F. Reproduction-immunity trade-offs in insects. Annu. Rev. Entomol. 2016, 61, 239–256. [Google Scholar] [CrossRef] [PubMed]
- Zhang, W.; Liu, Y.; Wang, Z.; Lin, T.; Feng, J.; Jiang, T. Effects of predation risks of bats on the growth, development, reproduction, and hormone levels of Spodoptera litura. Front. Ecol. Evol. 2023, 11, 1126253. [Google Scholar] [CrossRef]
- Schmitz, O.J.; Trussell, G.C. Multiple stressors, state-dependence and predation risk—Foraging trade-offs: Toward a modern concept of trait-mediated indirect effects in communities and ecosystems. Curr. Opin. Behav. Sci. 2016, 12, 6–11. [Google Scholar] [CrossRef]
- Dröge, E.; Creel, S.; Becker, M.S.; M’soka, J. Risky times and risky places interact to affect prey behaviour. Nat. Ecol. Evol. 2017, 1, 1123–1128. [Google Scholar] [CrossRef] [PubMed]
- Amarathunga, D.C.; Parry, H.; Grundy, J.; Dorin, A. A predator–prey population dynamics simulation for biological control of Frankliniella occidentalis (Western Flower Thrips) by Orius laevigatus in strawberry plants. Biol. Control 2024, 188, 105409. [Google Scholar] [CrossRef]
- Li, G.Y.; Zhang, Z.Q. Development, lifespan and reproduction of spider mites exposed to predator-0induced stress across generations. Biogerontology 2019, 20, 871–882. [Google Scholar] [CrossRef] [PubMed]
- Chandrasegaran, K.; Kandregula, S.R.; Quader, S.; Juliano, S.A. Context-dependent interactive effects of non-lethal predation on larvae impact adult longevity and body composition. PLoS ONE 2018, 13, e0192104. [Google Scholar] [CrossRef] [PubMed]
- Segev, O.; Verster, R.; Weldon, C. Testing the link between perceived and actual risk of predation: Mosquito oviposition site selection and egg predation by native and introduced fish. J. Appl. Ecol. 2017, 54, 854–861. [Google Scholar] [CrossRef]
- Dumont, F.; Lucas, É.; Alomar, O. Oviposition behavior of the mirid Macrolophus pygmaeus under risk of intraguild predation and cannibalism. Insect Sci. 2021, 28, 224–230. [Google Scholar] [CrossRef] [PubMed]
- Ninkovic, V.; Feng, Y.; Olsson, U.L.; Pettersson, J. Ladybird footprints induce aphid avoidance behavior. Biol. Control 2013, 65, 63–71. [Google Scholar] [CrossRef]
- Chamberlain, J.D.; Clifton, I.T.; Gifford, M.E. Influence of prey size on reproduction among populations of Diamond-backed Watersnakes (Nerodia rhombifer). Can. J. Zool. 2017, 95, 929–935. [Google Scholar] [CrossRef]
- Mills, N.J. Satiation and the functional response: A test of a new model. Ecol. Entomol. 1982, 7, 305–315. [Google Scholar] [CrossRef]
- Xiong, X.; Michaud, J.P.; Li, Z.; Wu, P.; Chu, Y.; Zhang, Q.; Liu, X. Chronic, predator-induced stress alters development and reproductive performance of the cotton bollworm, Helicoverpa armigera. BioControl 2015, 60, 827–837. [Google Scholar] [CrossRef]
- Mikolajewski, D.J.; Brodin, T.; Johansson, F.; Joop, G. Phenotypic plasticity in gender specifc life-history: Efects of food availability and predation. Oikos 2005, 110, 91–100. [Google Scholar] [CrossRef]




Disclaimer/Publisher’s Note: The statements, opinions and data contained in all publications are solely those of the individual author(s) and contributor(s) and not of MDPI and/or the editor(s). MDPI and/or the editor(s) disclaim responsibility for any injury to people or property resulting from any ideas, methods, instructions or products referred to in the content. |
© 2024 by the authors. Licensee MDPI, Basel, Switzerland. This article is an open access article distributed under the terms and conditions of the Creative Commons Attribution (CC BY) license (https://creativecommons.org/licenses/by/4.0/).
Share and Cite
Liu, X.; Wen, J.; Geng, X.; Xiao, L.; Zou, Y.; Shan, Z.; Lu, X.; Fu, Y.; Fu, Y.; Cao, F. The Impact of Predation Risks on the Development and Fecundity of Bactrocera dorsalis Hendel. Insects 2024, 15, 322. https://doi.org/10.3390/insects15050322
Liu X, Wen J, Geng X, Xiao L, Zou Y, Shan Z, Lu X, Fu Y, Fu Y, Cao F. The Impact of Predation Risks on the Development and Fecundity of Bactrocera dorsalis Hendel. Insects. 2024; 15(5):322. https://doi.org/10.3390/insects15050322
Chicago/Turabian StyleLiu, Xin, Jian Wen, Xingyu Geng, Lu Xiao, Yan Zou, Zhe Shan, Xianli Lu, Ying Fu, Yu Fu, and Fengqin Cao. 2024. "The Impact of Predation Risks on the Development and Fecundity of Bactrocera dorsalis Hendel" Insects 15, no. 5: 322. https://doi.org/10.3390/insects15050322
APA StyleLiu, X., Wen, J., Geng, X., Xiao, L., Zou, Y., Shan, Z., Lu, X., Fu, Y., Fu, Y., & Cao, F. (2024). The Impact of Predation Risks on the Development and Fecundity of Bactrocera dorsalis Hendel. Insects, 15(5), 322. https://doi.org/10.3390/insects15050322
