Simple Summary
Garden plants provide habitat for pests as well as the predatory insects that eat them. In rural agriculture, structurally complex vegetation that includes diverse plant species can help attract predators and enhance pest control, while dense plantings of a single plant species are often associated with pest outbreaks. However, the vegetation composition that best supports predators and pest control in urban agriculture is not yet fully understood. In this study, we measured vegetation cover, diversity, and connectivity (distance between plants) in community garden plots to better understand how vegetation complexity influences the abundance and diversity of pest and predator species and pest control. Gardens with more vegetation cover had the most abundant and diverse predators, while gardens with more diverse vegetation had fewer predators. Further, gardens with abundant predators had higher pest control, whereas gardens with more predator species had lower pest control, possibly due to antagonistic interactions between competing predator species. Our results suggest that gardens with high vegetation cover can help support more predators, which can promote higher pest control. However, pest control benefits may be limited in gardens with diverse and antagonistic predator communities.
Abstract
In urban community gardens, cultivated vegetation provides variable levels of habitat complexity, which can suppress pests by promoting predator diversity and improving pest control. In this study, we examine three components of the structural complexity of garden vegetation (cover, diversity, and connectivity) to investigate whether higher garden vegetation complexity leads to fewer herbivores, more predators, and higher predation. We worked in eight community gardens where we quantified vegetation complexity, sampled the arthropod community, and measured predation on corn earworm eggs. We found that plots with high vegetation cover supported higher species richness and greater abundance of predatory insects. High vegetation cover also supported a greater abundance and species richness of spiders. In contrast, high vegetation diversity was negatively associated with predator abundance. While high predator abundance was positively associated with egg predation, greater predator species richness had a negative impact on egg predation, suggesting that antagonism between predators may limit biological control. Community gardeners may thus manipulate vegetation cover and diversity to promote higher predator abundance and diversity in their plots. However, the species composition of predators and the prevalence of interspecific antagonism may ultimately determine subsequent impacts on biological pest control.
1. Introduction
Habitat complexity—the heterogeneity of biotic and abiotic components in an ecosystem—is an important determinant of the distribution and diversity of species [1]. The component measurements of habitat complexity can vary, but the structure and diversity of topography, substrates, and vegetation are frequently used as proxies [1,2]. Ecological observations have often linked high habitat complexity with greater species diversity and abundance in both aquatic and terrestrial systems [3,4,5,6,7,8]. This is because higher habitat complexity conferred by heterogenous vegetation and ground cover can provide a variety of microhabitats and microclimates, supporting a greater variety of species, functional groups, and foraging habits in arthropods [9,10]. The structural complexity of vegetation can also act as an environmental filter, shaping assemblages of arthropod species and their functional traits [11]. Specifically, structurally complex habitats can provide refuges and facilitate resource partitioning that supports the coexistence of predator and prey species as well as multiple competing predators in a system [12,13].
In agroecosystems, adding habitat complexity by diversifying crops and agricultural landscapes can promote the natural enemies of pests, leading to enhanced biological pest control [14,15,16]. Conventional agricultural practices typically produce simplified, monocultural habitats that often rely on pesticides to combat pest outbreaks [17,18]. In contrast, agroecological approaches to pest control emphasize biological diversification as a means of controlling pests [19,20,21]. Ecological theory backs several explanatory mechanisms for enhanced pest control in diversified systems. First, herbivores accumulate at high densities in monoculture plantings because of resource concentration of their preferred host plants, also known as the resource concentration hypothesis [22]. Crop diversification can therefore disrupt herbivorous pests by preventing them from finding host plants as well as reducing pest densities through bottom-up regulation [23]. Second, crop diversification can facilitate pest suppression through top-down regulation. According to the enemies hypothesis, complex habitats provide a variety of microhabitats, prey species, and alternative resources that support a greater diversity and abundance of natural enemy species [22]. In turn, a high diversity of natural enemies can result in greater pest suppression due to niche complementarity, whereby diverse natural enemy communities target different prey species or exploit different locations and thus consume more pests than assemblages with fewer natural enemies [24,25]. Empirical study of the relationship between habitat complexity and natural enemies generally supports the enemies hypothesis [26,27,28]. For instance, a meta-analysis examining 43 studies found that habitats with high vegetation and ground-cover complexity supported a higher abundance of natural enemies in seven out of nine natural enemy guilds [29]. More recently, a study of European vineyards found that increasing crop species diversity increased the abundance of natural enemies but had variable effects on predation rates [30]. Studies of the cascading impacts of habitat complexity on pest control are less common and deserve further investigation.
In particular, vegetation diversity is a key component of habitat complexity that likely has major consequences for biological pest control due to its diverse impacts on arthropods. The effects of plant species composition have received a great deal of attention in the natural enemies literature, with synthetic reviews of both rural and urban systems finding that plant diversity often promotes natural enemy diversity [23,31]. As addressed by the enemies hypothesis introduced above, plant species richness can benefit natural enemies through provision of diverse habitat and resources. Mechanistically, it is possible that a higher diversity of plants also results in a higher diversity of plant volatiles, the secondary metabolites emitted by plants in response to herbivory, which could recruit broad natural enemy groups via chemical signaling [32]. However, plant diversity effects on natural enemies can also be species-specific or depend on arthropod traits like size, diet breadth, and mobility [33,34]. In addition, vegetation diversity provides varied plant architectural structures, including variance in vertical height, branching structures, and size and shape of leaves and flowers [35]. Differences in plant architecture can affect arthropod mobility, search efficiency, foraging success, and mortality, with consequences for pest control [36,37,38]. For example, a study of four cruciferous plant architectures observing the foraging behaviors of predatory beetles found that variation in plant shape, texture, and surface area affected beetle foraging success by altering ease of movement, frequency of falling from the plant, and ability to reach aphids [39]. In some instances, architectural structures improved beetle grip on leaves as they foraged, while in others, architectural structures provided refuge for aphid herbivores from natural enemies. Plant architectural structures may thus advantage both herbivores and natural enemies, making it important to understand the exact conditions that favor natural enemy foraging success to inform agroecosystem management.
In addition to vegetation diversity, vegetation cover and connectivity are distinct components of habitat complexity with their own implications for biological pest control. First, vegetation cover, the percent cover of vegetation within a given quadrat or plot, can indicate the structural complexity of a habitat at small spatial scales [40]. Differences in vegetation cover produce different microclimates, such as zones with plants that are exposed to more sun in areas with low vegetation cover and zones with more shaded plants in areas with high vegetation cover. One study of urban greenspaces showed that light exposure decreased with vegetation structural complexity and that lower structural complexity decreased herbivore abundance, while light exposure increased abundance [41]. Considering the impacts of vegetation cover on natural enemies and biological pest control, studies have shown variable impacts. Vegetation cover and structural complexity were positively associated with predatory arthropod abundance in urban greenspaces [42,43,44], while studies of grasslands found that parasitism rates tend to be lower in habitats with higher vegetation cover, perhaps due to reduced host-finding ability under conditions of high structural complexity [36,40]. These variable results suggest that natural enemy foraging modes may determine the impacts of vegetation cover and structural complexity on pest control. Second, vegetation connectivity, or the spatial arrangement and overlap of plants relative to each other, can shape how arthropods navigate habitats [45]. A greenhouse study of ladybeetles on bean plants observed that ladybeetles traveled farther in treatments with high leaf overlap, suggesting that high connectivity between plants may increase predator foraging efficiency [46]. In the field, a study that artificially increased connectivity between coffee plants with string successfully increased ant activity and pest removal [47]. Examining the various facets of vegetation complexity can therefore reveal the mechanisms behind its impacts on biological pest control.
Urban agroecosystems, such as urban farms and gardens, provide a unique opportunity to investigate the role of vegetation cover, diversity, and connectivity on pest control. Urban agroecosystems are dynamic greenspaces that provide diverse vegetative structures supporting urban biodiversity and ecosystem service provision [48]. Among these ecosystem service-providing species are the natural enemies of pests, which provision biological pest control through consumption of herbivorous pests. Biological pest control is a critical ecosystem service in urban agriculture [49,50] where the vast majority of urban growers report facing significant challenges in managing crop pests and often lack the technical knowledge to do so [51]. Urban community gardens are particularly well suited to investigating the components of vegetation complexity at the local scale. Community gardens are managed by multiple gardeners in individual allotment plots which vary in vegetation complexity depending on gardeners’ choice of cultivated plants and management practices like frequency of weeding and pruning [52]. At a larger, garden-site spatial scale, previous work in urban agroecosystems documented impacts of garden size, woody vegetation, floral abundance, and ground cover on herbivore abundance, natural enemy composition, and pest control [53,54,55]. The present study builds on this work by focusing on fine-scale vegetation complexity, specifically vegetation cover, diversity, and connectivity, and their impacts on arthropods within gardener plots. This is the true scale at which gardeners make changes to vegetation management and is thus a highly relevant spatial scale to investigate in these agroecosystems.
In this study, we quantify three key components of vegetation complexity (cover, diversity, and connectivity) in community garden plots and their subsequent impacts on the arthropod community and predation. We investigate two main questions: (1) Do these components of vegetation complexity differentially influence the abundance and richness of herbivores and predators at the garden-plot level? (2) How do these components of vegetation complexity affect predation levels provided by predators? Drawing from the resource concentration and enemies hypotheses, we predict that gardens with higher vegetation cover (higher percent cover of all plant species present in plots) will have more herbivores and lower predation levels, while gardens with higher vegetation diversity and connectivity will support more predators and enhance predation.
2. Materials and Methods
2.1. Study System
This study took place at eight community garden sites in the California central coast (Santa Cruz and Monterey counties) during the summer growing season in 2019 (1–6 August). We were limited to these eight sites (out of 30 gardens we previously studied in the region) because of constraints in recruiting gardeners willing to have their plots intensively sampled for the duration of this study. The garden sites ranged in size from 444 m2 to 6070 m2, were separated from each other by at least 2 km, and varied in both garden management and urban landscape context. Six of the eight garden sites were managed in allotments, where land is divided into parcels and assigned to individuals. The remaining two sites were managed collectively by student groups and school personnel. All gardens were organically managed and had been cultivated between 4 and 37 years at the time of this study. Gardeners typically grow a range of vegetables, fruits, herbs, and ornamental plants in their plots. Each site is located in the Monterey Bay Plains and Terraces ecoregion, which has a cool climate influenced by its proximity to Monterey Bay [56].
2.2. Vegetation and Ground Cover Surveys
At each garden, we collected data from four gardener plots (n = 32 plots), which ranged from 0.98 m2 to 70.3 m2. We first asked gardener permission to survey their plots for this study. From those plots offered at each site, we selected two plots that broadly represented low vegetation complexity (e.g., few plants) and two that represented high vegetation complexity (e.g., many plants) based on visual estimation. Low vegetation complexity plots contained 45% plant cover and 6 plant species per plot on average, and high vegetation complexity plots had 78% plant cover and 10 plant species on average. We then quantified the vegetation and ground cover in a 1.5 × 1.5 m area within each gardener plot to standardize the sampled area. Within each 1.5 × 1.5 m plot, we identified all plant species, estimated the percent plant cover, and measured the longest distance between two plants in the plot. An experienced member of our field team used PVC tube quadrats and tape measures to visually estimate the percent area of the plot covered by either vegetation or various ground cover types (e.g., bare soil, rocks, leaf litter, mulch, straw) (as per [57]).
2.3. Arthropod Community Surveys
We sampled the arthropods at each of the 32 sample plots twice within three days (on 1 August and 3 August). To sample arthropods on foliage, we haphazardly placed two 0.25 m × 0.25 m quadrats in each plot. We then visually surveyed the plants in each quadrat for up to five minutes by carefully inspecting all plant leaves and structures and recording the abundance and identity of all herbivore and predator species we encountered (similar to [57]). We counted but did not collect arthropods that were easily identifiable in the field and occurred at high densities (e.g., aphids, ants). Risk of double-counting arthropods over the two sampling periods was minimal due to haphazard placement of quadrats as well as human disturbance of gardener plots for research and garden caretaking. We collected all other arthropods and preserved them in 70% ethanol. To sample ground-dwelling arthropods, we placed one pitfall trap in the center of each gardener plot. Pitfall traps consisted of 12 oz. clear plastic containers filled halfway full with saline solution and a drop of detergent (as per [58]). We buried pitfall traps level with the surface of the soil and left traps in each plot for 24 h. After collecting the pitfall traps, we rinsed arthropod samples in water and preserved them in 70% ethanol. We identified all arthropods to morphospecies using dichotomous keys and online resources [59,60,61].
2.4. Sentinel Pest Removal Experiment
We conducted two rounds of sentinel pest removal experiments (on 2 August and 5 August, concurrent with the two rounds of arthropod sampling) to measure the predation services provided by predators occurring in each of the 32 study plots. We used potted fava bean (Vicia faba) plants grown under greenhouse conditions and inoculated plants with corn earworm eggs (Helicoverpa zea). We purchased eggs from Frontier Agricultural Sciences (Newark, DE, USA) under USDA-Aphis Permit P526P-14-02660. We chose corn earworm eggs because of their commercial availability and similarity to common prey items in our study sites (e.g., lepidopteran eggs of Pieris rapae, Trichoplusia ni, Plutella xylostella, and Spodoptera exigua, all of which are major garden pests as larvae). While corn earworm eggs are not herbivores per se, they are a convenient proxy that many arthropod predators prey on. Recent observations from our system confirmed that a variety of arthropod predators, including ants and predatory hemipterans, actively and swiftly (within a few hours of sentinel plant placement) remove egg prey [62]. To prepare egg prey, we cut the cloth sheets onto which eggs were laid into 1 cm x 1 cm squares (~600 eggs per square on average) and stored eggs in a freezer prior to field experiments (as per [54]). We randomly assigned egg squares to a site and field treatment, and we photographed all squares with a microscope camera before and after field experiments so that we could compare photos to determine the number of eggs removed during the experiment. In the field, we haphazardly placed one fava plant on the interior perimeter of each sample plot (within ~30 cm of the edge). We selected fava plant locations that were unobstructive to prevent damage to research plants from passersby. We then pinned egg squares onto two leaves per fava plant, bagging one leaf with a mesh paint strainer secured by a hair tie (predator exclusion treatment) and leaving the second leaf open (predator access treatment). After 24 h, we retrieved plants to collect egg squares for recounting. Previous work showed that 24 h is sufficient for significant predation to occur [54], and this short time window minimizes the risk that sentinel plants will be damaged or removed by passersby. Because eggs were frozen prior to the experiment, we assume any missing eggs did not eclose and were removed by predators (or lost during transport and setup, which we accounted for with the control, unbagged treatment). In total, we deployed 64 sentinel plants across all plots and both sampling rounds.
2.5. Data Analysis
For our predictor variables, we calculated three different metrics of vegetation complexity: cover (percent plant cover), diversity (number of plant species), and connectivity (1/the longest distance between two plants in a plot). In examining Pearson correlation coefficients between our vegetation metrics, we found relatively weak correlations (between 0.1 and 0.55; Table S1), indicating that these metrics captured distinct effects of vegetation complexity. Gardener plot size was also not significantly correlated with any vegetation complexity metric (Table S1).
For our response arthropod data, we pooled abundance, richness, and predation data over the two sampling rounds we conducted. We did not pool arthropod data from visual surveys and pitfall traps because these sampling methods occurred over different time spans (five minutes for visual surveys and 24 h for pitfall traps) and largely captured distinct foliage-level and ground-level foragers (80% of all morphospecies occurred only in visual surveys or pitfall traps). For response predation data, we used the log response ratio (LRR) as our effect size for moth egg predation, calculated as LN(proportion eggs removed in open treatments)—LN(proportion eggs removed in bagged treatments). We conducted all analyses in R version 4.2.1 [63].
We constructed four different groups of generalized linear models (GLMs) testing vegetation cover, diversity, and connectivity as predictors of the abundance and morphospecies richness of (1) herbivores, (2) predators, (3) the two most abundant predator taxa (ants and spiders), and (4) egg predation. We used the ‘Dharma’ package in R to visually assess standard residual and QQ plots and determine the best error distribution for each response variable [64]. We assumed a Poisson error distribution for herbivore richness, foliage-level predator richness, ant richness, and spider richness models. We fit models of herbivore abundance, predator abundance, ground-level predator richness, ant abundance, and spider abundance with a negative binomial error distribution to account for overdispersion. For the effect size of egg predation (noninteger values), we used a Gaussian error distribution.
For all model sets, we included vegetation cover, diversity, and connectivity as predictor variables. For models of egg predation, we included predator abundance and species richness as additional predictors. We used the variable inflation factor (VIF) to check for collinearity among all predictor variables using the ‘car’ package [65], and all VIF scores were under 2.4. We did not include site as a random effect because doing so resulted in singular models (indicating overfitting) [66]. Models with and without site as a random effect produced the same qualitative result (see Table S3 for generalized linear mixed model results), and both versions of models produced similar AICc values (within five points). We tested all combinations of predictor variables and selected the top model based on AICc values. When the top model was within two AICc points of the next model, we averaged models using the ‘MuMIn’ package [67].
3. Results
In total, we found 502 herbivores representing 11 families and 17 different morphospecies and 716 predators from 23 families and 35 morphospecies (Table S2). We recorded between 125 and 430 arthropods at each site. The most common herbivore families were Aphididae (n = 323), Aleyrodidae (n = 113), and Cicadellidae (n = 38). Formicidae (n = 532) was the most abundant family of predators, while the most diverse group of predators was the order Araneae (n = 13). Approximately 80% of morphospecies were sampled only through visual surveys or pitfall traps, indicating distinct arthropod foraging groups occurring on foliage or ground, respectively.
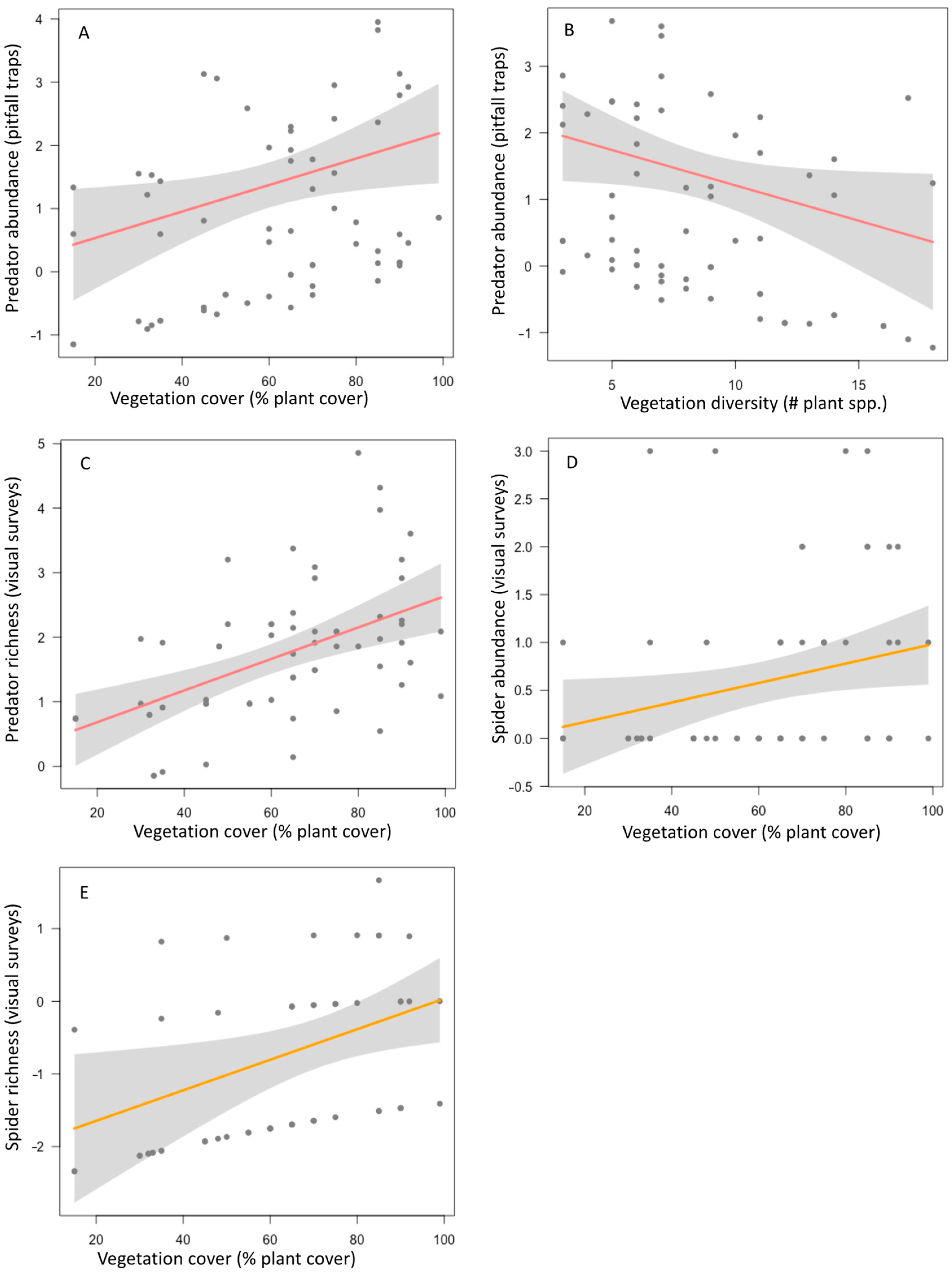
Herbivorous arthropods did not show a significant response to any of the vegetation complexity factors considered here, while predators consistently had positive associations with vegetation cover in garden plots (Table 1). Plots with high amounts of vegetation cover supported more foliage-dwelling predator morphospecies as well as a higher abundance of ground-dwelling predators (Figure 1A,B). Yet, plots with high vegetation diversity had fewer ground-dwelling predators (Figure 1C). Plots with high vegetation cover had a higher abundance of spiders and more spider morphospecies, but ants did not respond to any vegetation complexity metric (Figure 1D,E).
Table 1.
Model output from generalized linear models testing relationships between vegetation complexity metrics, herbivore and predator variables, and egg predation in urban community gardens in the California central coast. Predator sampling method is indicated by VS (visual survey) or PT (pitfall trap).
Figure 1.
Relationships between significant vegetation complexity factors and the abundance and species richness of all predators (A−C) and spiders (D,E). Each dot represents a sampled plot at community garden sites in the California central coast. Lines show the fitted models, and gray shading indicates model confidence bands (95% confidence interval).
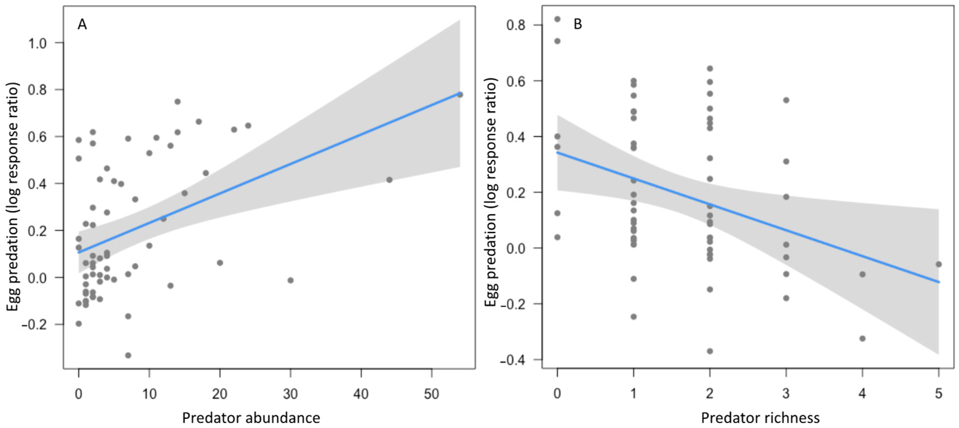
About 40% of egg prey were removed in open egg predation treatments. The proportion of egg prey removed was about four times higher in open compared to bagged treatments (W = 2998.5, p = <0.001) (Figure 2). None of the vegetation complexity factors were significant predictors of egg predation, but we found that egg predation was positively associated with predator abundance and negatively associated with predator richness (Figure 3). One qualification to our result showing a positive association between predator abundance and egg predation is that three gardener plots had much higher predator abundance due to high ant abundance in these plots (Figure 3A).
Figure 2.
Results of sentinel pest predation experiments conducted in gardener plots at urban community gardens in the California central coast. Bars show proportions of cornworm egg prey removed from open and bagged (predator exclusion) fava bean plants after 24 h. Error bars represent one standard error. The proportion of prey removed was significantly different between open and bagged treatments for eggs (W = 2998.5, p = <0.001).
Figure 3.
Relationships between significant predictors and egg predation in sentinel pest experiments at urban community gardens in the California central coast. Egg predation was positively associated with predator abundance (A) and negatively associated with the species richness of predators (B). Each dot represents a sampled plot at community garden sites in the California central coast. Lines show the fitted models, and gray shading indicates model confidence bands (95% confidence interval).
4. Discussion
Overall, we found that of the three components of vegetation complexity examined (cover, diversity, and connectivity), predator abundance and richness responded to vegetation cover and diversity, while herbivore abundance and richness and egg predation did not respond to any of the measured factors. Predators removed up to 40% of egg prey (more than four times the control treatment) in sentinel egg predation experiments, revealing their important predation services in gardens. However, while higher predator abundance led to increased egg predation, higher predator richness resulted in a decline in egg predation, suggesting that antagonistic interactions between predator species may negatively impact egg predation in urban agroecosystems.
First, the vegetation complexity factors we focused on had significant positive effects on predators active on foliage. Gardener plots with high vegetation cover supported more foliage-dwelling predator morphospecies than plots with low cover. The positive effect of vegetation cover on arthropod diversity is likely related to favorable habitat conditions contributed by vegetation cover. Past work showed that more vegetation cover provides shading, cooler air temperatures, and higher moisture retention [68,69]. Vegetation cover in urban agriculture differs from vegetation cover in rural agriculture, where monocultures of a single crop type make up most of the vegetation present in fields [23,70]. In contrast, vegetation cover in urban gardens typically includes a much larger diversity of crop plants [71,72], so garden vegetation cover may contribute even greater habitat complexity compared to rural agroecosystems. The suggested importance of vegetation cover in our system aligns with a study of urban greenspaces in Australia [73], which showed strong positive responses of herbivores and predators to plant volume, while responses to plant diversity were variable and species-specific. From rural agriculture research, one study examined variation in the size of Brassica plant species, which affects vegetation cover, and similarly found positive associations between plant size and predator species richness [74]. Overall, our results largely agree with the findings of other studies showing positive effects of urban vegetation structure and complexity on predator abundance and species richness [42,75].
Further, plots with high vegetation cover supported greater spider abundance and morphospecies richness on plot foliage, while no vegetation complexity metrics significantly affected ants. Spiders were the most diverse group of predators in this study, and they include species that varied in foraging strategies, such as web builders, ambush predators, and ground hunters [76]. Most foliage-dwelling spiders sampled here were web-building spiders, for which greater vegetation cover can represent a greater availability of web attachment sites and shelter from inclement weather conditions, as well as more prey [77]. Several previous studies support positive associations between spider abundance and richness and vegetation cover and structure in urban and rural settings [44,77,78]. With respect to ants, our study aligns with the findings of several other urban ant studies that documented negative or no effects of vegetation structure on ant species richness [79,80,81,82]. Vegetation structure effects on ants can depend on factors such as ant size and morphological traits. Since ants are highly active foragers, vegetation structure has implications for energy expenditure, with complex structured habitats being less energy-efficient to navigate, especially for small ants [81]. In contrast, large ant species can be more common in complex habitats with multiple layers of vegetation due to their larger foraging areas [11]. While vegetation complexity supports a diversity of abundant garden spider species, it may not directly benefit the ant species found in our garden sites.
Regarding ground-dwelling predators, vegetation cover was positively associated with their abundance and diversity, whereas vegetation diversity was negatively associated with their abundance. The positive effects of vegetation cover on ground-foraging predators suggests that ground arthropods may benefit indirectly from vegetation cover. For instance, plots with more vegetation likely accumulate more leaf litter or correlate to other changes in ground cover and microclimate, which can influence ground arthropod community composition [83]. A larger volume and depth of leaf litter provides important microhabitats and greater prey availability that can support ground-foraging predator species, such as ground-hunting spiders [10]. Spiders, including several active, ground-hunting species, made up about half the ground predator species we sampled and may thus have a large influence on the positive effects of vegetation cover we observed. On the other hand, ants were the most abundant ground-level predator and had several nonsignificant negative associations with vegetation diversity, so it is possible that ants may be driving the negative association between the abundance of ground predators and vegetation diversity. Ants are generalist predators that can form mutualistic associations with honeydew-producing hemipterans that accumulate on plants [84]. All four ant species found in pitfall traps also occurred on plant foliage. Therefore, it is possible that ants spend more time foraging on foliage when more plant species are present in gardener plots due to greater availability of prey and mutualist species, resulting in a decline in ant abundance at the ground level. One previous study showed that Argentine ants were ten times more common on foliage when aphid mutualists were present compared to when aphids were absent [85]. Greater plant diversity and associated herbivores may thus have shifted the foraging location of ants in our study.
In contrast to our predator results, we did not find a significant effect of vegetation complexity metrics on either herbivore abundance or morphospecies richness. This result is consistent with a previous study showing no effect of garden characteristics on herbivore populations in residential gardens, community gardens, and urban farms, possibly due to low herbivore abundances in sampled sites [53]. In our study, we similarly found low herbivore numbers, with two herbivore morphospecies and fifteen herbivore individuals on average per plot. It is also possible that herbivores are responding to garden characteristics that we did not measure in this study. The herbivores sampled in this study use a range of garden crops as host plants, and the abundance of their respective host plants may be an important factor in determining herbivore abundance and richness, especially for herbivores who specialize on particular host plants [86]. Additionally, the effect of vegetation complexity is likely impacted by species traits such as herbivore diet breadth, mobility, and feeding mode [34]. Aphids and whiteflies, the two most common herbivore species in this study, differ in their mobility levels, where even winged aphids generally have low mobility and thus face challenges in navigating fragmented, heterogenous landscapes [87]. In contrast, whitefly adults are stronger fliers capable of dispersing over 5 km [88]. Major differences in mobility can alter herbivore responses to vegetation heterogeneity, with high-mobility herbivore populations being less affected by the composition and fragmentation of vegetation patches compared to lower-mobility herbivores [89].
While our study did not detect a significant effect of any of the vegetation complexity metrics on egg predation, predator abundance was positively associated with egg predation. Predators were active and removed up to 40% of prey from egg predation experiment plants within 24 h. Predators increased in abundance in response to vegetation cover in gardener plots, suggesting that vegetation complexity indirectly supports predation by supporting greater numbers of predators. One caveat to this result is that the three plots with much higher predator abundance (Figure 3A) were due to high ant abundance in these plots. As social insects, ants can be superabundant predators compared to other predators that display more solitary foraging behavior. Surges in ant abundance in these plots may be strongly influencing our result showing a positive relationship between predator abundance and egg predation. Even though high predator abundance in these three plots may appear to be outliers in the dataset, we argue that this is actually important data to include in the analysis from a biological perspective because high ant abundance can lead to high egg predation, as is shown here and in other studies [62]. Further, predator species richness was negatively associated with egg predation. Based on the species composition of predators present in gardens, one proposed explanation for this result is that intraguild predation among predator species limits egg predation. For instance, spiders are generalist predators that often engage in intraguild predation of smaller spiders and other predators [90,91], which can reduce biological control. One study of biological control in grass–clover fields manipulated the number of wolf spiders in fields and observed no impact on prey taxa when the number of wolf spiders was increased [92]. However, fewer wolf spiders elevated the abundance of other ground spiders, suggesting that competition among spider species can interfere with biological pest control. Evidence from spider molecular gut content analysis shows that intraguild predation among spiders is more common when diverse prey are unavailable and resource niches are limited [93]. Thus, low numbers of herbivores along with a diverse spider community could account for the negative impact of predator richness on egg predation observed in our study.
Additionally, the presence of the Argentine ant (Linepithema humile), a species that is often aggressively invasive within its territory [94], may also play a role in limiting biological pest control by other ant species. Previous work documented that Argentine ants can reduce the foraging success of native ant species by outcompeting foraging native ants and successfully fighting off native ants from food baits [95,96]. While we did not directly observe aggression between Argentine ants and other species, high Argentine ant abundance in our study (present in ~58% of plots) suggests that antagonistic interactions likely occur and could potentially reduce biological pest control. Our study represents a brief snapshot of the arthropod community in gardens, and longer-term study would be necessary to confirm whether antagonism between predator species presents a cause for concern in the provision of biological control. Future research could clarify whether Argentine ants specifically hinder biological control in gardens.
Finally, our study took place over six days in eight community garden sites, which we recognize as a limitation of the generalizability of our results. The difficulty in replicating this intensive sampling across the region (due to site availability and time constraints) limited the number of sites and sample size of our study, so our results may not be comparable across all community gardens. Further, a snapshot study such as ours cannot elucidate longer-term patterns and processes shaping arthropod communities and predation in community gardens. However, our short-term, intensive sampling was able to pair data on garden vegetation, arthropods, and egg predation. Community gardens are dynamic systems that change rapidly as gardeners sow, harvest, and make other management changes to the plants and soil within their plots, often on a daily basis. Short-term studies can help us begin to understand the multitrophic relationships involved in applied settings [97,98]. Future studies can extend and improve this understanding.
5. Conclusions
This study shows that vegetation cover is an important component of vegetation complexity in community gardens, with implications for the predator community in garden plots. Garden plots with higher vegetation cover supported higher species richness of foliage-dwelling predators and higher abundance of ground-dwelling predators. Additionally, spiders were more abundant and diverse in plots with high vegetation cover. We also found a negative association between vegetation diversity and the abundance of ground-dwelling arthropods, but this result is likely driven by a shift in ant foraging activity from the ground level to foliage when vegetation diversity is high. Our results generally support the idea that structurally complex vegetation supports predator diversity and abundance, as predicted by the enemies hypothesis. In community gardens where vegetation diversity is inherently high due to the diversity of gardeners and growing practices, vegetation cover may be relatively more important to manage as a component of habitat complexity.
Despite the increases in predator abundance and diversity documented in our study, the herbivore community and egg predation were unaffected by vegetation complexity, possibly due to antagonistic interactions between predator species. Based on sentinel pest experiments, we found that gardener plots with higher predator richness had reduced predation on sentinel corn earworm eggs. Our study therefore suggests that antagonism between predator species may potentially limit predation by predators engaged in intraguild predation or interference competition. If severe antagonism persists, future research could determine ecological conditions that result in predator antagonism and possible mitigating factors. However, conserving predators in garden plots arguably benefits the entire community garden, and our study supports the idea that abundant predators can enhance pest suppression in garden plots. Overall, our results demonstrate that the decisions gardeners make about the vegetation in their garden plots have important consequences for the predators inhabiting their community gardens. Based on these results, one management recommendation gardeners can implement is to add more vegetation cover in their plots to increase structural complexity and promote recruitment of predators.
Supplementary Materials
The following supporting information can be downloaded at: https://www.mdpi.com/article/10.3390/insects15010041/s1, Table S1: Pearson correlation matrix of vegetation complexity variables; Table S2: Predator and herbivore morphospecies; Table S3: Model output from generalized linear mixed models (including site as a random effect) testing relation-ships between vegetation complexity metrics, herbivore and predator variables, and egg predation in urban com-munity gardens in the California central coast.
Author Contributions
Conceptualization, A.L. and S.M.P.; methodology, A.L., S.J. and S.M.P.; formal analysis, A.L.; investigation, A.L. and S.M.P.; data curation, A.L. and S.M.P.; writing—original draft preparation, A.L.; writing—review and editing, A.L., S.J. and S.M.P.; visualization, A.L.; supervision, S.M.P.; project administration, A.L.; funding acquisition, A.L., S.J. and S.M.P. All authors have read and agreed to the published version of the manuscript.
Funding
This research was funded by a UCSC Heller Agroecology Graduate Student Research Grant. Additional support was provided by USDA-NIFA grant 2016-67019-25185 to S.M.P. and S.J.
Data Availability Statement
The summary data used in this study are available on Dryad at https://doi.org/10.5061/dryad.wpzgmsbvj (accessed on 14 November 2023).
Acknowledgments
We thank Holden Parks, Julia Amaral, Sami Akiba, and Peter Bichier for field and lab assistance. Sylvie Childress and Jim Velzy provided plant care and greenhouse assistance.
Conflicts of Interest
The authors declare no conflicts of interest.
References
- Kovalenko, K.E.; Thomaz, S.M.; Warfe, D.M. Habitat Complexity: Approaches and Future Directions. Hydrobiologia 2012, 685, 1–17. [Google Scholar] [CrossRef]
- Loke, L.H.L.; Chisholm, R.A. Measuring Habitat Complexity and Spatial Heterogeneity in Ecology. Ecol. Lett. 2022, 25, 2269–2288. [Google Scholar] [CrossRef] [PubMed]
- MacArthur, R.H. Patterns of Species Diversity. Biol. Rev. 1965, 40, 510–533. [Google Scholar] [CrossRef]
- Badgley, C.; Smiley, T.M.; Terry, R.; Davis, E.B.; DeSantis, L.R.G.; Fox, D.L.; Hopkins, S.S.B.; Jezkova, T.; Matocq, M.D.; Matzke, N.; et al. Biodiversity and Topographic Complexity: Modern and Geohistorical Perspectives. Trends Ecol. Evol. 2017, 32, 211–226. [Google Scholar] [CrossRef] [PubMed]
- Pianka, E.R. Convexity, Desert Lizards, and Spatial Heterogeneity. Ecology 1966, 47, 1055–1059. [Google Scholar] [CrossRef]
- Dean, R.L.; Connell, J.H. Marine Invertebrates in an Algal Succession. III. Mechanisms Linking Habitat Complexity with Diversity. J. Exp. Mar. Biol. Ecol. 1987, 109, 249–273. [Google Scholar] [CrossRef]
- Pierre, J.I.S.; Kovalenko, K.E. Effect of Habitat Complexity Attributes on Species Richness. Ecosphere 2014, 5, 1–10. [Google Scholar] [CrossRef]
- August, P.V. The Role of Habitat Complexity and Heterogeneity in Structuring Tropical Mammal Communities. Ecology 1983, 64, 1495–1507. [Google Scholar] [CrossRef]
- Lassau, S.A.; Hochuli, D.F.; Cassis, G.; Reid, C.A.M. Effects of Habitat Complexity on Forest Beetle Diversity: Do Functional Groups Respond Consistently? Divers. Distrib. 2005, 11, 73–82. [Google Scholar] [CrossRef]
- Uetz, G.W. The Influence of Variation in Litter Habitats on Spider Communities. Oecologia 1979, 40, 29–42. [Google Scholar] [CrossRef]
- Nooten, S.S.; Schultheiss, P.; Rowe, R.C.; Facey, S.L.; Cook, J.M. Habitat Complexity Affects Functional Traits and Diversity of Ant Assemblages in Urban Green Spaces (Hymenoptera: Formicidae). Myrmecol. News 2019, 29, 67–77. [Google Scholar] [CrossRef]
- Huffaker, C.B. Experimental Studies on Predation: Dispersion Factors and Predator-Prey Oscillations. Hilgardia 1958, 27, 343–383. [Google Scholar] [CrossRef]
- Finke, D.L.; Denno, R.F. Intraguild Predation Diminished in Complex-Structured Vegetation: Implications for Prey Suppression. Ecology 2002, 83, 643–652. [Google Scholar] [CrossRef]
- Chaplin-Kramer, R.; Kremen, C. Pest Control Experiments Show Benefits of Complexity at Landscape and Local Scales. Ecol. Appl. 2012, 22, 1936–1948. [Google Scholar] [CrossRef] [PubMed]
- He, H.; Liu, L.; Munir, S.; Bashir, N.H.; Wang, Y.; Yang, J.; Li, C. Crop Diversity and Pest Management in Sustainable Agriculture. J. Integr. Agric. 2019, 18, 1945–1952. [Google Scholar] [CrossRef]
- Gurr, G.M.; Wratten, S.D.; Landis, D.A.; You, M. Habitat Management to Suppress Pest Populations: Progress and Prospects. Annu. Rev. Entomol. 2017, 62, 91–109. [Google Scholar] [CrossRef] [PubMed]
- Nicholson, C.C.; Williams, N.M. Cropland Heterogeneity Drives Frequency and Intensity of Pesticide Use. Environ. Res. Lett. 2021, 16, 074008. [Google Scholar] [CrossRef]
- Meehan, T.D.; Werling, B.P.; Landis, D.A.; Gratton, C. Agricultural Landscape Simplification and Insecticide Use in the Midwestern United States. Proc. Natl. Acad. Sci. USA 2011, 108, 11500–11505. [Google Scholar] [CrossRef]
- Altieri, M.A.; Letourneau, D.K.; Davis, J.R.; Altieri, M.A.; Letourneau, D.K.; Davis, J.R. Developing Sustainable Agroecosystems. Bioscience 1983, 33, 45–49. [Google Scholar] [CrossRef]
- Wezel, A.; Casagrande, M.; Celette, F.; Vian, J.F.; Ferrer, A.; Peigné, J. Agroecological Practices for Sustainable Agriculture. A Review. Agron. Sustain. Dev. 2014, 34, 1–20. [Google Scholar] [CrossRef]
- Ong, T.W.Y.; Liao, W. Agroecological Transitions: A Mathematical Perspective on a Transdisciplinary Problem. Front. Sustain. Food Syst. 2020, 4, 91. [Google Scholar] [CrossRef]
- Root, R.B. Organization of a Plant-Arthropod Association in Simple and Diverse Habitats: The Fauna of Collards (Brassica oleracea). Ecol. Monogr. 1973, 43, 95–124. [Google Scholar] [CrossRef]
- Letourneau, D.K.; Ambrecht, I.; Rivera, B.S.; Lerma, J.M.; Carmona, E.J.; Daza, M.C.; Escobar, S.; Galindo, V.; Gutiérrez, C.; López, S.D.; et al. Does Plant Diversity Benefit Agroecosystems? A Synthetic Review. Ecol. Appl. 2011, 21, 9–21. [Google Scholar] [CrossRef] [PubMed]
- Duffy, J.E. Biodiversity and Ecosystem Function: The Consumer Connection. Oikos 2002, 99, 201–219. [Google Scholar] [CrossRef]
- Ives, A.R.; Cardinale, B.J.; Snyder, W.E. A Synthesis of Subdisciplines: Predator-Prey Interactions, and Biodiversity and Ecosystem Functioning. Ecol. Lett. 2005, 8, 102–116. [Google Scholar] [CrossRef]
- González-Chang, M.; Tiwari, S.; Sharma, S.; Wratten, S.D. Habitat Management for Pest Management: Limitations and Prospects. Ann. Entomol. Soc. Am. 2019, 112, 302–317. [Google Scholar] [CrossRef]
- Redlich, S.; Martin, E.A.; Steffan-Dewenter, I. Landscape-Level Crop Diversity Benefits Biological Pest Control. J. Appl. Ecol. 2018, 55, 2419–2428. [Google Scholar] [CrossRef]
- Russell, E.P. Enemies Hypothesis: A Review of the Effect of Vegetational Diversity on Predatory Insects and Parasitoids Diversity on Predatory Insects and Parasitoids. Environ. Entomol. 1989, 18, 590–599. [Google Scholar] [CrossRef]
- Langellotto, G.A.; Denno, R.F. Responses of Invertebrate Natural Enemies to Complex-Structured Habitats: A Meta-Analytical Synthesis. Oecologia 2004, 139, 1–10. [Google Scholar] [CrossRef]
- Beaumelle, L.; Auriol, A.; Grasset, M.; Pavy, A.; Thiéry, D.; Rusch, A. Benefits of Increased Cover Crop Diversity for Predators and Biological Pest Control Depend on the Landscape Context. Ecol. Solut. Evid. 2021, 2, e12086. [Google Scholar] [CrossRef]
- Burkman, C.E.; Gardiner, M.M. Urban Greenspace Composition and Landscape Context Influence Natural Enemy Community Composition and Function. Biol. Control. 2014, 75, 58–67. [Google Scholar] [CrossRef]
- Randlkofer, B.; Obermaier, E.; Hilker, M.; Meiners, T. Vegetation Complexity—The Influence of Plant Species Diversity and Plant Structures on Plant Chemical Complexity and Arthropods. Basic Appl. Ecol. 2010, 11, 383–395. [Google Scholar] [CrossRef]
- Thomson, L.J.; Hoffmann, A.A. Natural Enemy Responses and Pest Control: Importance of Local Vegetation. Biol. Control. 2010, 52, 160–166. [Google Scholar] [CrossRef]
- Moreira, X.; Abdala-Roberts, L.; Rasmann, S.; Castagneyrol, B.; Mooney, K.A. Plant Diversity Effects on Insect Herbivores and Their Natural Enemies: Current Thinking, Recent Findings, and Future Directions. Curr. Opin. Insect Sci. 2016, 14, 1–7. [Google Scholar] [CrossRef] [PubMed]
- Lawton, J.H. Plant Architecture and the Diversity of Phytophagous Insects. Annu. Rev. Entomol. 1983, 28, 23–39. [Google Scholar] [CrossRef]
- Obermaier, E.; Heisswolf, A.; Poethke, J.; Randlkofer, B.; Meiners, T. Plant Architecture and Vegetation Structure: Two Ways for Insect Herbivores to Escape Parasitism. Eur. J. Entomol. 2008, 105, 233–240. [Google Scholar] [CrossRef]
- Marquis, R.J.; Road, N.B.; Louis, S. Plant Morphology and Recruitment of the Third Trophic Level: Subtle and Little- Recognized Defenses? Oikos 1996, 75, 330–334. [Google Scholar] [CrossRef]
- Inbar, M.; Gerling, D. Plant-Mediated Interactions between Whiteflies, Herbivores, and Natural Enemies. Annu. Rev. Entomol. 2008, 53, 431–448. [Google Scholar] [CrossRef]
- Grevstad, F.S.; Klepetka, B.W. The Influence of Plant Architecture on the Foraging Efficiencies of a Suite of Ladybird Beetles Feeding on Aphids. Oecologia 1992, 92, 399–404. [Google Scholar] [CrossRef]
- Meiners, T.; Obermaier, E. Hide and Seek on Two Spatial Scales—Vegetation Structure Effects Herbivore Oviposition and Egg Parasitism. Basic Appl. Ecol. 2004, 5, 87–94. [Google Scholar] [CrossRef]
- Shrewsbury, P.M.; Raupp, M.J. Evaluation of Components of Vegetational Texture for Predicting Azalea Lace Bug, Stephanitis Pyrioides (Heteroptera: Tingidae), Abundance in Managed Landscapes. Environ. Entomol. 2000, 29, 919–926. [Google Scholar] [CrossRef]
- Parsons, S.E.; Frank, S.D. Urban Tree Pests and Natural Enemies Respond to Habitat at Different Spatial Scales. J. Urban Ecol. 2019, 5, 1–15. [Google Scholar] [CrossRef]
- Peng, M.H.; Hung, Y.C.; Liu, K.L.; Neoh, K.B. Landscape Configuration and Habitat Complexity Shape Arthropod Assemblage in Urban Parks. Sci. Rep. 2020, 10, 16043. [Google Scholar] [CrossRef] [PubMed]
- Lowe, E.C.; Threlfall, C.G.; Wilder, S.M.; Hochuli, D.F.; Lowe Lowe, E.C. Environmental Drivers of Spider Community Composition at Multiple Scales along an Urban Gradient. Biodivers Conserv 2018, 27, 829–852. [Google Scholar] [CrossRef]
- Randlkofer, B.; Obermaier, E.; Casas, J.; Meiners, T. Connectivity Counts: Disentangling Effects of Vegetation Structure Elements on the Searching Movement of a Parasitoid. Ecol. Entomol. 2010, 35, 446–455. [Google Scholar] [CrossRef]
- Kareiva, P.; Perry, R. Leaf Overlap and the Ability of Ladybird Beetles to Search among Plants. Ecol. Entomol. 1989, 14, 127–129. [Google Scholar] [CrossRef]
- Jimenez-Soto, E.; Morris, J.R.; Letourneau, D.K.; Philpott, S.M. Vegetation Connectivity Increases Ant Activity and Potential for Ant-Provided Biocontrol Services in a Tropical Agroforest. Biotropica 2019, 51, 50–61. [Google Scholar] [CrossRef]
- Lin, B.B.; Philpott, S.M.; Jha, S. The Future of Urban Agriculture and Biodiversity-Ecosystem Services: Challenges and next Steps. Basic Appl. Ecol. 2015, 16, 189–201. [Google Scholar] [CrossRef]
- Gardiner, M.M.; Burkman, C.E.; Prajzner, S.P. The Value of Urban Vacant Land to Support Arthropod Biodiversity and Ecosystem Services. Environ. Entomol. 2013, 42, 1123–1136. [Google Scholar] [CrossRef]
- Nighswander, G.P.; Sinclair, J.S.; Dale, A.G.; Qiu, J.; Iannone, B.V. Importance of Plant Diversity and Structure for Urban Garden Pest Resistance. Landsc. Urban Plan. 2021, 215, 104211. [Google Scholar] [CrossRef]
- Oberholtzer, L.; Dimitri, C.; Pressman, A.A. Urban Agriculture in the United States: Characteristics, Challenges, and Technical Assistance Needs. J. Ext. 2014, 52, 28. [Google Scholar] [CrossRef]
- Cabral, I.; Keim, J.; Engelmann, R.; Kraemer, R.; Siebert, J.; Bonn, A. Ecosystem Services of Allotment and Community Gardens: A Leipzig, Germany Case Study. Urban For. Urban Green. 2017, 23, 44–53. [Google Scholar] [CrossRef]
- Lowenstein, D.M.; Minor, E.S. Herbivores and Natural Enemies of Brassica Crops in Urban Agriculture. Urban Ecosyst. 2018, 21, 519–529. [Google Scholar] [CrossRef]
- Philpott, S.M.; Bichier, P. Local and Landscape Drivers of Predation Services in Urban Gardens. Ecol. Appl. 2017, 27, 966–976. [Google Scholar] [CrossRef] [PubMed]
- Egerer, M.; Liere, H.; Lucatero, A.; Philpott, S.M. Plant Damage in Urban Agroecosystems Varies with Local and Landscape Factors. Ecosphere 2020, 11, e03074. [Google Scholar] [CrossRef]
- Griffith, G.E.; Omernik, J.M.; Smith, D.W.; Cook, T.D.; Tallyn, E.; Moseley, K.; Johnson, C.B. Ecoregions of California; U.S. Geological Survey: Seattle, WA, USA, 2016.
- Philpott, S.M.; Lucatero, A.; Bichier, P.; Egerer, M.H.; Jha, S.; Lin, B.; Liere, H. Natural Enemy–Herbivore Networks along Local Management and Landscape Gradients in Urban Agroecosystems. Ecol. Appl. 2020, 30, e02201. [Google Scholar] [CrossRef] [PubMed]
- Philpott, S.M.; Albuquerque, S.; Bichier, P.; Cohen, H.; Egerer, M.H.; Kirk, C.; Will, K.W. Local and Landscape Drivers of Carabid Activity, Species Richness, and Traits in Urban Gardens in Coastal California. Insects 2019, 10, 112. [Google Scholar] [CrossRef]
- Iowa State University Department of Entomology BugGuide. Available online: https://bugguide.net/ (accessed on 12 December 2021).
- Borror, D.J.; White, R.E. A Field Guide to Insects: America North of Mexico, 2nd ed.; Houghton Mifflin Harcourt: New York, NY, USA, 1970; Volume 19. [Google Scholar]
- Marshall, S.A. Insects: Their Natural History and Diversity: With a Photographic Guide to Insects of Eastern North America, 2nd ed.; Firefly Books: Buffalo, NY, USA, 2006. [Google Scholar]
- Philpott, S.M.; Bichier, P.; Jha, S.; Lin, B.B.; Liere, H. Landscape, Habitat, and Microhabitat Influences on Predator Abundance and Composition and Prey Removal in Urban Agroecosystems. Biol. Control. 2024; in press. [Google Scholar]
- R Core Team. R: A Language and Environment for Statistical Computing; R Foundation for Statistical Computing: Vienna, Austria, 2022; Available online: https://www.R-project.org/ (accessed on 1 December 2023).
- Hartig, F. Package ‘DHARMa’: Residual Diagnostics for Hierarchical (Multi-Level/Mixed) Regression Models. R Package Version 0.4.6. 2022. Available online: https://cran.r-project.org/web/packages/DHARMa/DHARMa.pdf (accessed on 1 December 2023).
- Fox, J.; Friendly, G.G.; Graves, S.; Heiberger, R.; Monette, G.; Nilsson, H.; Ripley, B.; Weisberg, S.; Zeleis, A. Companion to Applied Regression. The Car Package. R Found. Stat. Comput. 2007, 1109, 1431. [Google Scholar]
- Bates, D.; Maechler, M.; Bolker, B.; Walker, S.; Christensen, R.H.B.; Singmann, H.; Dai, B.; Scheipl, F.; Grothendieck, G.; Green, P. Package ‘lme4’: Linear Mixed-Effects Models using ‘Eigen’ and S4. R Package Version 1.1-35.1. 2023. Available online: https://cran.r-project.org/web/packages/lme4/lme4.pdf (accessed on 1 December 2023).
- Barton, K. MuMIn: Multi-Model Inference. R Package Version 1.5.2. 2012. Available online: http://CRAN.R-project.org/package-MuMin (accessed on 1 December 2023).
- Avissar, R. Potential Effects of Vegetation on the Urban Thermal Environment. Atmos. Environ. 1996, 30, 437–448. [Google Scholar] [CrossRef]
- Gómez-Navarro, C.; Pataki, D.E.; Pardyjak, E.R.; Bowling, D.R. Effects of Vegetation on the Spatial and Temporal Variation of Microclimate in the Urbanized Salt Lake Valley. Agric. For. Meteorol. 2021, 296, 108211. [Google Scholar] [CrossRef]
- Andow, D.A. Vegetational Diversity and Arthropod Population Response. Annu. Rev. Entomol. 1991, 36, 561–586. [Google Scholar] [CrossRef]
- Thompson, K.; Austin, K.C.; Smith, R.M.; Warren, P.H.; Angold, P.G.; Gaston, K.J. Urban Domestic Gardens (I): Putting Small-Scale Plant Diversity in Context. J. Veg. Sci. 2003, 14, 71–78. [Google Scholar] [CrossRef]
- Taylor, J.R.; Lovell, S.T.; Wortman, S.E.; Chan, M. Ecosystem Services and Tradeoffs in the Home Food Gardens of African American, Chinese-Origin and Mexican-Origin Households in Chicago, IL. Renew. Agric. Food Syst. 2017, 32, 69–86. [Google Scholar] [CrossRef]
- Mata, L.; Threlfall, C.G.; Williams, N.S.G.; Hahs, A.K.; Malipatil, M.; Stork, N.E.; Livesley, S.J. Conserving Herbivorous and Predatory Insects in Urban Green Spaces. Sci. Rep. 2017, 7, 40970. [Google Scholar] [CrossRef] [PubMed]
- Schlinkert, H.; Westphal, C.; Clough, Y.; László, Z.; Ludwig, M.; Tscharntke, T. Plant Size as Determinant of Species Richness of Herbivores, Natural Enemies and Pollinators across 21 Brassicaceae Species. PLoS ONE 2015, 10, e0135928. [Google Scholar] [CrossRef] [PubMed]
- Shrewsbury, P.M.; Raupp, M.J. Do Top-down or Bottom-up Forces Determine Stephanitis Pyrioides Abundance in Urban Landscapes? Ecol. Appl. 2006, 16, 262–272. [Google Scholar] [CrossRef] [PubMed]
- Cardoso, P.; Pekár, S.; Jocqué, R.; Coddington, J.A. Global Patterns of Guild Composition and Functional Diversity of Spiders. PLoS ONE 2011, 6, e21710. [Google Scholar] [CrossRef] [PubMed]
- Diehl, E.; Mader, V.L.; Wolters, V.; Birkhofer, K. Management Intensity and Vegetation Complexity Affect Web-Building Spiders and Their Prey. Oecologia 2013, 173, 579–589. [Google Scholar] [CrossRef]
- Delgado de la Flor, Y.A.; Perry, K.I.; Turo, K.J.; Parker, D.M.; Thompson, J.L.; Gardiner, M.M. Local and Landscape-Scale Environmental Filters Drive the Functional Diversity and Taxonomic Composition of Spiders across Urban Greenspaces. J. Appl. Ecol. 2020, 57, 1570–1580. [Google Scholar] [CrossRef]
- Uno, S.; Cotton, J.; Philpott, S.M. Diversity, Abundance, and Species Composition of Ants in Urban Green Spaces. Urban Ecosyst. 2010, 13, 425–441. [Google Scholar] [CrossRef]
- Clarke, K.M.; Fisher, B.L.; Lebuhn, G. The Influence of Urban Park Characteristics on Ant (Hymenoptera, Formicidae) Communities. Urban Ecosyst. 2008, 11, 317–334. [Google Scholar] [CrossRef]
- Lassau, S.A.; Hochuli, D.F. Effects of Habitat Complexity on Ant Assemblages. Ecography 2004, 27, 157–164. [Google Scholar] [CrossRef]
- Ossola, A.; Nash, M.A.; Christie, F.J.; Hahs, A.K.; Livesley, S.J. Urban Habitat Complexity Affects Species Richness but Not Environmental Filtering of Morphologically-Diverse Ants. PeerJ 2015, 2015, e1356. [Google Scholar] [CrossRef] [PubMed]
- Norton, B.A.; Thomson, L.J.; Williams, N.S.G.; McDonnell, M.J. The Effect of Urban Ground Covers on Arthropods: An Experiment. Urban Ecosyst. 2014, 17, 77–99. [Google Scholar] [CrossRef]
- Detrain, C.; Verheggen, F.J.; Diez, L.; Wathelet, B.; Haubruge, E. Aphid-Ant Mutualism: How Honeydew Sugars Influence the Behaviour of Ant Scouts. Physiol. Entomol. 2010, 35, 168–174. [Google Scholar] [CrossRef]
- Grover, C.D.; Dayton, K.C.; Menke, S.B.; Holway, D.A. Effects of Aphids on Foliar Foraging by Argentine Ants and the Resulting Effects on Other Arthropods. Ecol. Entomol. 2008, 33, 101–106. [Google Scholar] [CrossRef]
- Santolamazza-Carbone, S.; Velasco, P.; Soengas, P.; Cartea, M.E. Bottom-up and Top-down Herbivore Regulation Mediated by Glucosinolates in Brassica oleracea Var. Acephala. Oecologia 2014, 174, 893–907. [Google Scholar] [CrossRef]
- Kring, J.B. Flight Behavior of Aphids. Annu. Rev. Entomol. 1972, 17, 461–492. [Google Scholar] [CrossRef]
- Byrne, D.N. Migration and Dispersal by the Sweet Potato Whitefly, Bemisia Tabaci. Agric. For. Meteorol. 1999, 97, 309–316. [Google Scholar] [CrossRef]
- Banks, J.E. The Scale of Landscape Fragmentation Affects Herbivore Response to Vegetation Heterogeneity. Oecologia 1998, 117, 239–246. [Google Scholar] [CrossRef]
- Hodge, M.A. The Implications of Intraguild Predation for the Role of Spiders in Biological Control. J. Arachnol. 1999, 27, 351–361. [Google Scholar]
- Saqib, H.S.A.; Liang, P.; You, M.; Gurr, G.M. Molecular Gut Content Analysis Indicates the Inter- and Intra-Guild Predation Patterns of Spiders in Conventionally Managed Vegetable Fields. Ecol. Evol. 2021, 11, 9543–9552. [Google Scholar] [CrossRef] [PubMed]
- Birkhofer, K.; Fließbach, A.; Wise, D.H.; Scheu, S. Generalist Predators in Organically and Conventionally Managed Grass-Clover Fields: Implications for Conservation Biological Control. Ann. Appl. Biol. 2008, 153, 271–280. [Google Scholar] [CrossRef]
- Uiterwaal, S.F.; Squires, A.J.; Grappone, B.A.; Dillard, B.; Castaneda, A.; Kim, S.L.; DeLong, J.P. Intraguild Predation Is Increased in Areas of Low Prey Diversity in a Generalist Predator Community. J. Anim. Ecol. 2023, 92, 901–912. [Google Scholar] [CrossRef]
- Holway, D.A. Competitive Mechanisms Underlying the Displacement of Native Ants by the Invasive Argentine Ant. Ecology 1999, 80, 238–251. [Google Scholar] [CrossRef]
- Human, D.M.; Gordon, K.G. Exploitation and Interference Competition between the Invasive Argentine Ant, I.Inepithema Humile, and Native Ant Species; Springer: Berlin/Heidelberg, Germany, 1996; Volume 105. [Google Scholar]
- Rowles, A.D.; O’Dowd, D.J. Interference Competition by Argentine Ants Displaces Native Ants: Implications for Biotic Resistance to Invasion. Biol. Invasions 2007, 9, 73–85. [Google Scholar] [CrossRef]
- Eisenhauer, N.; Schielzeth, H.; Barnes, A.D.; Barry, K.E.; Bonn, A.; Brose, U.; Bruelheide, H.; Buchmann, N.; Buscot, F.; Ebeling, A.; et al. A Multitrophic Perspective on Biodiversity–Ecosystem Functioning Research. In Advances in Ecological Research; Academic Press Inc.: Cambridge, MA, USA, 2019; Volume 61, pp. 1–54. ISBN 9780081029121. [Google Scholar]
- Murphy, S.M.; Richards, L.A.; Wimp, G.M. Editorial: Arthropod Interactions and Responses to Disturbance in a Changing World. Front. Ecol. Evol. 2020, 8, 93. [Google Scholar] [CrossRef]
Disclaimer/Publisher’s Note: The statements, opinions and data contained in all publications are solely those of the individual author(s) and contributor(s) and not of MDPI and/or the editor(s). MDPI and/or the editor(s) disclaim responsibility for any injury to people or property resulting from any ideas, methods, instructions or products referred to in the content. |
© 2024 by the authors. Licensee MDPI, Basel, Switzerland. This article is an open access article distributed under the terms and conditions of the Creative Commons Attribution (CC BY) license (https://creativecommons.org/licenses/by/4.0/).


