Lifecycle of Dryocosmus kuriphilus Yasumatsu and Diversity and Importance of the Native Parasitoid Community Recruited in the Northern Region of Portugal
Abstract
Simple Summary
Abstract
1. Introduction
2. Materials and Methods
2.1. Study Areas
2.2. Dryocosmus kuriphilus Yasumatsu Life Cycle
2.3. Sampling of D. kuriphilus Natural Parasitoid Communities
2.4. Rate of D. kuriphilus Natural Parasitism
2.5. Data Analysis
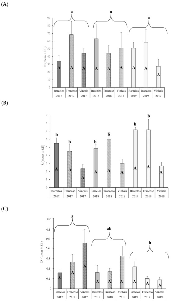
3. Results
3.1. Dryocosmus kuriphilus Yasumatsu Life Cycle
3.2. D. kuriphilus Natural Parasitoid Communities
3.3. Rates of Natural Parasitism
4. Discussion
5. Conclusions
Author Contributions
Funding
Data Availability Statement
Acknowledgments
Conflicts of Interest
References
- Instituto Nacional de Estatística, I.P. Estatísticas Agrícolas 2020; Publisher: INE, Lisbon, Portugal, 2020; Available online: https://www.ine.pt/xportal/xmain?xpid=INE&xpgid=ine_publicacoes&PUBLICACOESpub_boui=437147278&PUBLICACOESmodo=2 (accessed on 13 September 2022).
- FAOSTAT. Available online: https://www.fao.org/faostat/en/#data/QCL (accessed on 13 September 2022).
- Avtzis, D.N.; Melika, G.; Matošević, D.; Coyle, D.R. The Asian chestnut gall wasp Dryocosmus kuriphilus: A global invader and a successful case of classical biological control. J. Pest Sci. 2019, 92, 107–115. [Google Scholar] [CrossRef]
- Quinto, J.; Wong, M.E.; Ramón Boyero, J.; Vela, J.M.; Aguirrebengoa, M. Population Dynamics and Tree Damage of the Invasive Chestnut Gall Wasp, Dryocosmus kuriphilus, in Its Southernmost European Distributional Range. Insects 2021, 10, 900. [Google Scholar] [CrossRef] [PubMed]
- DGAV. Plano de ação Nacional para Controlo do Inseto Dryocosmus kuriphilus. 2017. Available online: https://www.dgav.pt/wp-content/uploads/2021/01/Plano-de-Acao-Nacional-para-o-Controlo-do-inseto-Dryocosmus-kuriphilus.pdf (accessed on 13 September 2022).
- Bonsignore, C.P.; Vono, G.; Bernardo, U. Environmental thermal levels affect the phenological relationships between the chestnut gall wasp and its parasitoids. Physiol. Entomol. 2019, 44, 87–98. [Google Scholar] [CrossRef]
- Opinion, S. Risk assessment of the oriental chestnut gall wasp, Dryocosmus kuriphilus for the EU territory and identification and evaluation of risk management options. EFSA J. 2010, 8, 1619. [Google Scholar] [CrossRef]
- Forbes, A.A.; Hall, M.C.; Lund, J.A.; Hood, G.R.; Izen, R.; Egan, S.P.; Ott, J.R. Parasitoids, Hyperparasitoids, and Inquilines Associated with the Sexual and Asexual Generations of the Gall Former, Belonocnema treatae (Hymenoptera: Cynipidae). Ann. Entomol. Soc. Am. 2016, 109, 49–63. [Google Scholar] [CrossRef]
- Bonsignore, C.P.; Vizzari, G.; Gregorio, V.; Bernardo, U. Short-Term Cold Stress Affects Parasitism on the Asian Chestnut Gall Wasp Dryocosmus kuriphilus. Insects 2020, 11, 841. [Google Scholar] [CrossRef] [PubMed]
- Gil-Tapetado, D.; Cabrero-Sañudo, F.; Gómez, J.; Askew, R.; Nieves-Aldrey, J. Differences in native and introduced chalcid parasitoid communities recruited by the invasive chestnut pest Dryocosmus kuriphilus in two Iberian territories. Bull. Entomol. Res. 2021, 111, 307–322. [Google Scholar] [CrossRef] [PubMed]
- Bonsignore, C.P.; Bernardo, U. Effects of environmental parameters on the chestnut gall wasp and its complex of indigenous parasitoids. Sci. Nat. 2018, 105, 20. [Google Scholar] [CrossRef] [PubMed]
- Judt, C.; Winter, S.; Zaller, J.G.; Paredes, D. Diverging Effects of Landscape Factors and Inter-Row Management on the Abundance of Beneficial and Herbivorous Arthropods in Andalusian Vineyards (Spain). Insects 2019, 10, 320. [Google Scholar] [CrossRef] [PubMed]
- Tylianakis, J.M.; Tscharntke, T.; Lewis, O.T. Habitat modification alters the structure of tropical host-parasitoid food webs. Nature 2007, 445, 202–205. [Google Scholar] [CrossRef] [PubMed]
- Tschumi, M.; Albrecht, M.; Entling, M.H.; Jacot, K. High effectiveness of tailored flower strips in reducing pests and crop plant damage. Proc. R. Soc. B Biol. Sci. 2015, 282, 20151369. [Google Scholar] [CrossRef] [PubMed]
- IPMA. Climate Normal—1971–2000. Available online: https://www.ipma.pt/en/oclima/normais.clima/1971-2000/#535 (accessed on 21 January 2023).
- Askew, R.R.; Thúroczy, C. Key to chalcidoid parasitoids in oak cynipid galls. 1998. [Google Scholar]
- R Core Team. R: A Language and Environment for Statistical Computing 2021; R Core Team: Vienna, Austria, 2021. [Google Scholar]
- Bernardo, U.; Iodice, L.; Sasso, R.; Tutore, V.A.; Cascone, P.; Guerrieri, E. Biology and monitoring of Dryocosmus kuriphilus on Castanea sativa in Southern Italy. Agric. For. Entomol. 2013, 15, 65–76. [Google Scholar] [CrossRef]
- Viggiani, G.; Nugnes, F. Description of the larval stages of Dryokosmus kuriphilus Yasumatsu (Hymenoptera: Cynipidae), with notes on their phenology. J. Entomol. Acarol. Res. 2010, 42, 39–45. [Google Scholar] [CrossRef][Green Version]
- Perez, T.; López, J.F. Medidas Contra a Avespa Chinesa do Castanheiro (Dryocosmus kuriphilus); Xunta de Galicia, Ed.; Xunta de Galicia: Galicia, Spain, 2015; 23p, Available online: https://cdn-cms.f-static.com/uploads/185691/normal_5b154bab8202e.pdf (accessed on 21 January 2023).
- Colombari, F.; Battisti, A. Native and introduced parasitoids in the biocontrol of Dryocosmus kuriphilus in Veneto (Italy). EPPO Bull. 2016, 46, 275–285. [Google Scholar] [CrossRef]
- Santos, A.; Pereira, J.A.; Santos, S.; Quacchia, A.; Bento, A. Biological control based in native parasitoids associated with Dryocosmus kuriphilus Yasumatsu, in affected countries. In Natural Enemies: Identification, Protection Strategies and Ecological Impacts; Nova Science Pub Inc.: New York, NY, USA, 2017; pp. 177–205. [Google Scholar]
- Aebi, A.; Schonrogge, K.; Melika, G.; Alma, A.; Bosio, G.; Quacchia, A.; Picciau, L.; Abe, Y.; Moriya, S.; Yara, K.; et al. Parasitoid recruitment to the globally invasive chestnut gall wasp Dryocosmus kuriphilus. In Galling Arthropods and Their Associates—Ecology and Evolution; Ozaki, K., Yukawa, J., Ohgushi, T., Price, P.W., Eds.; Springer: Tokyo, Japan, 2006; pp. 103–121. [Google Scholar]
- Quacchia, A.; Ferracini, C.; Nicholls, J.A.; Piazza, E.; Saladini, M.A.; Tota, F.; Melika, G.; Alma, A. Chalcid parasitoid community associated with the invading pest Dryocosmus kuriphilus in north-western Italy. Insect Conserv. Divers. 2013, 6, 114–123. [Google Scholar] [CrossRef]
- Bujdosó, B.; Szabó, G.; Bozsó, M.; Melika, G. Does the chestnut gall wasp, Dryocosmus kuriphilus (Hymenoptera: Cynipidae) already established in Hungary? In Proceedings of the ISHS II European Congress on Chestnut, Debrecen, Hungary, 9–12 October 2013.
- Panzavolta, T.; Bernardo, U.; Bracalini, M.; Cascone, P.; Croci, F.; Gebiola, M.; Iodice, L.; Tiberi, R.; Guerrieri, E. Native parasitoids associated with Dryocosmus kuriphilus in Tuscany, Italy. Bull. Insectology 2013, 66, 195–201. [Google Scholar]
- Matošević, D.; Melika, G. Recruitment of native parasitoids to a new invasive host: First results of Dryocosmus kuriphilus parasitoid assemblage in Croatia. Bull. Insectology 2013, 66, 231–238. [Google Scholar]
- Santos, A.L.; Santos, S.A.P.; Almeida, J.; Bento, A. Parasitoides autóctones associados a Dryocosmus kuriphilus Yasumatsu: Principais espécies e taxas de parasitismo. Rev. Ciências Agrárias 2018, 41, 191–200. [Google Scholar]
- Gil-Tapetado, D.; Durán-Montes, P.; García-París, M.; López-Estrada, E.K.; Sánchez-Vialas, A.; Jiménez-Ruiz, Y.; Gómez, J.F.; Nieves-Aldrey, J.L. Host specialization is ancestral in Torymus (Hymenoptera, Chalcidoidea) cynipid gall parasitoids. Zool. Scr. 2021, 51, 91–118. [Google Scholar] [CrossRef]
- Hosseini, S.A.; Zargaran, M.R.; Lotfalizadeh, H.; Eshaghi Rad, J. Parasitoids of the sexual generation of oak gall wasps on the Persian oak (Quercus brantii lindl.) and their species diversity and richness in West Azerbaijan province. For. Res. Dev. 2022, 8, 263–278. [Google Scholar] [CrossRef]








| Region | Orchard | GPS Coordinates | Aim | Surrounding Area Dominated by | Soil Management |
|---|---|---|---|---|---|
| Trás-os-Montes | V1 | 41.850639 N–7.051500 W | Fruit production | Chestnut orchard | Tilled soil |
| V2 | 41.859278 N–7.047250 W | Fruit production | Oaks | Tilled soil | |
| V3 | 41.899306 N–7.033056 W | Fruit production | Meadows | Tilled soil | |
| V4 | 41.887389 N–7.057583 W | Fruit production | Road | Tilled soil | |
| V5 | 41.854972 N–7.061778 W | Fruit production | Chestnut orchard | Tilled soil | |
| V6 | 41.813500 N–7.067139 W | Fruit production | Chestnut orchard | Tilled soil | |
| V7 | 41.82796 N–7.08440 W | Fruit production | Road | Tilled soil | |
| Entre Douro e Minho | B1 | 41.568296 N–8.639190 W | Forest | Oaks | Underbrush |
| B2 | 41.630517 N–8.654017 W | Fruit production | Road | Natural vegetation | |
| B3 | 41.626073 N–8.654342 W | Fruit production | Road | Natural vegetation | |
| B4 | 41.592550 N–8.620367 W | Fruit production | Road | Natural vegetation | |
| B5 | 41.631368 N–8.696132 W | Fruit production | Forest | Natural vegetation | |
| B6 | 41.549507 N–8.634450 W | Fruit production | Road | Natural vegetation | |
| Beira Interior | T1 | 40.771164 N–7.364036 W | Forest | Chestnut orchard | Underbrush |
| T2 | 40.769316 N–7.363713 W | Forest | Chestnut orchard | Underbrush | |
| T3 | 40.792497 N–7.333556 W | Fruit production | Road | Natural vegetation | |
| T4 | 40.792033 N–7.318378 W | Fruit production | Fresh fruit trees | Natural vegetation | |
| T5 | 40.679383 N–7.481569 W | Fruit production | Chestnut orchard | Natural vegetation | |
| T6 | 40.688978 N–7.476950 W | Production | Chestnut orchard | Natural vegetation |
| Level | Presence of Galls (%) | Classification |
|---|---|---|
| 0 | 0–10 | Initial infestation level |
| 1 | 11–25 | Low infestation level |
| 2 | 26–50 | Medium infestation level |
| 3 | 51–80 | Severe infestation level |
| 4 | >80 | Very severe infestation level |
| Family/Species | Locations | |||
|---|---|---|---|---|
| Entre-Douro-e-Minho | Beira Interior | Trás-os-Montes | ||
| Eupelmidae | ||||
| Eupelmus azureus | 2.00 | 0.43 | 0.00 | |
| Eupelmus urozonus | 9.34 | 7.68 | 4.77 | |
| Torymidae | ||||
| Megastigmus dorsalis | 3.11 | 4.17 | 1.54 | |
| Torymus auratus | 2.12 | 0.33 | 0.28 | |
| Torymus flavipes | 10.71 | 6.80 | 6.3 | |
| Torymus notatus | 0.87 | 0.11 | 0.00 | |
| Eurytomidae | ||||
| Eurytoma brunniventris | 3.61 | 6.47 | 0.84 | |
| Eurytoma setigera (pistacina) | 0.00 | 0.10 | 0.00 | |
| Sycophila biguttata | 0.50 | 1.21 | 0.14 | |
| Sycophila iracemae | 15.19 | 20.29 | 0.14 | |
| Sycophila variegata | 12.95 | 5.59 | 3.64 | |
| Pteromalidae | ||||
| Mesopolobus sp. | 28.89 | 27.96 | 45.24 | |
| Ormyridae | ||||
| Ormyrus pomaceus | 10.71 | 18.86 | 37.11 | |
| Total | 100 | 100 | 100 | |
| Year | Region | Diversity | Abundance |
|---|---|---|---|
| 2017 | Entre-Douro-e-Minho | B1 | B4 |
| 2017 | Beira Interior | T5 | T6 |
| 2017 | Trás-os-Montes | V5 | V6 |
| 2018 | Entre-Douro-e-Minho | B4 | B2 |
| 2018 | Beira Interior | T4 | T6 |
| 2018 | Trás-os-Montes | V1 | V1, V4, and V6 |
| 2019 | Entre-Douro-e-Minho | B1 | B6 |
| 2019 | Beira Interior | T4 | T6 |
| 2019 | Trás-os-Montes | V4 | V3 |
Disclaimer/Publisher’s Note: The statements, opinions and data contained in all publications are solely those of the individual author(s) and contributor(s) and not of MDPI and/or the editor(s). MDPI and/or the editor(s) disclaim responsibility for any injury to people or property resulting from any ideas, methods, instructions or products referred to in the content. |
© 2024 by the authors. Licensee MDPI, Basel, Switzerland. This article is an open access article distributed under the terms and conditions of the Creative Commons Attribution (CC BY) license (https://creativecommons.org/licenses/by/4.0/).
Share and Cite
Lobo Santos, A.; Santos, S.A.P.; Casquero, P.A.; Bento, A. Lifecycle of Dryocosmus kuriphilus Yasumatsu and Diversity and Importance of the Native Parasitoid Community Recruited in the Northern Region of Portugal. Insects 2024, 15, 22. https://doi.org/10.3390/insects15010022
Lobo Santos A, Santos SAP, Casquero PA, Bento A. Lifecycle of Dryocosmus kuriphilus Yasumatsu and Diversity and Importance of the Native Parasitoid Community Recruited in the Northern Region of Portugal. Insects. 2024; 15(1):22. https://doi.org/10.3390/insects15010022
Chicago/Turabian StyleLobo Santos, Ana, Sonia Alexandra Paiva Santos, Pedro António Casquero, and Albino Bento. 2024. "Lifecycle of Dryocosmus kuriphilus Yasumatsu and Diversity and Importance of the Native Parasitoid Community Recruited in the Northern Region of Portugal" Insects 15, no. 1: 22. https://doi.org/10.3390/insects15010022
APA StyleLobo Santos, A., Santos, S. A. P., Casquero, P. A., & Bento, A. (2024). Lifecycle of Dryocosmus kuriphilus Yasumatsu and Diversity and Importance of the Native Parasitoid Community Recruited in the Northern Region of Portugal. Insects, 15(1), 22. https://doi.org/10.3390/insects15010022

