Density, Temperature, and Comingled Species Affect Fitness within Carrion Communities: Coexistence in Phormia regina and Lucilia sericata (Diptera: Calliphoridae)
Abstract
Simple Summary
Abstract
1. Introduction
2. Materials and Methods
2.1. Colony Maintenance and Larvae Collection
2.2. Experimental Design
2.3. Statistical Analyses
3. Results
3.1. Body Size
3.1.1. Phormia Regina
3.1.2. Lucilia Sericata
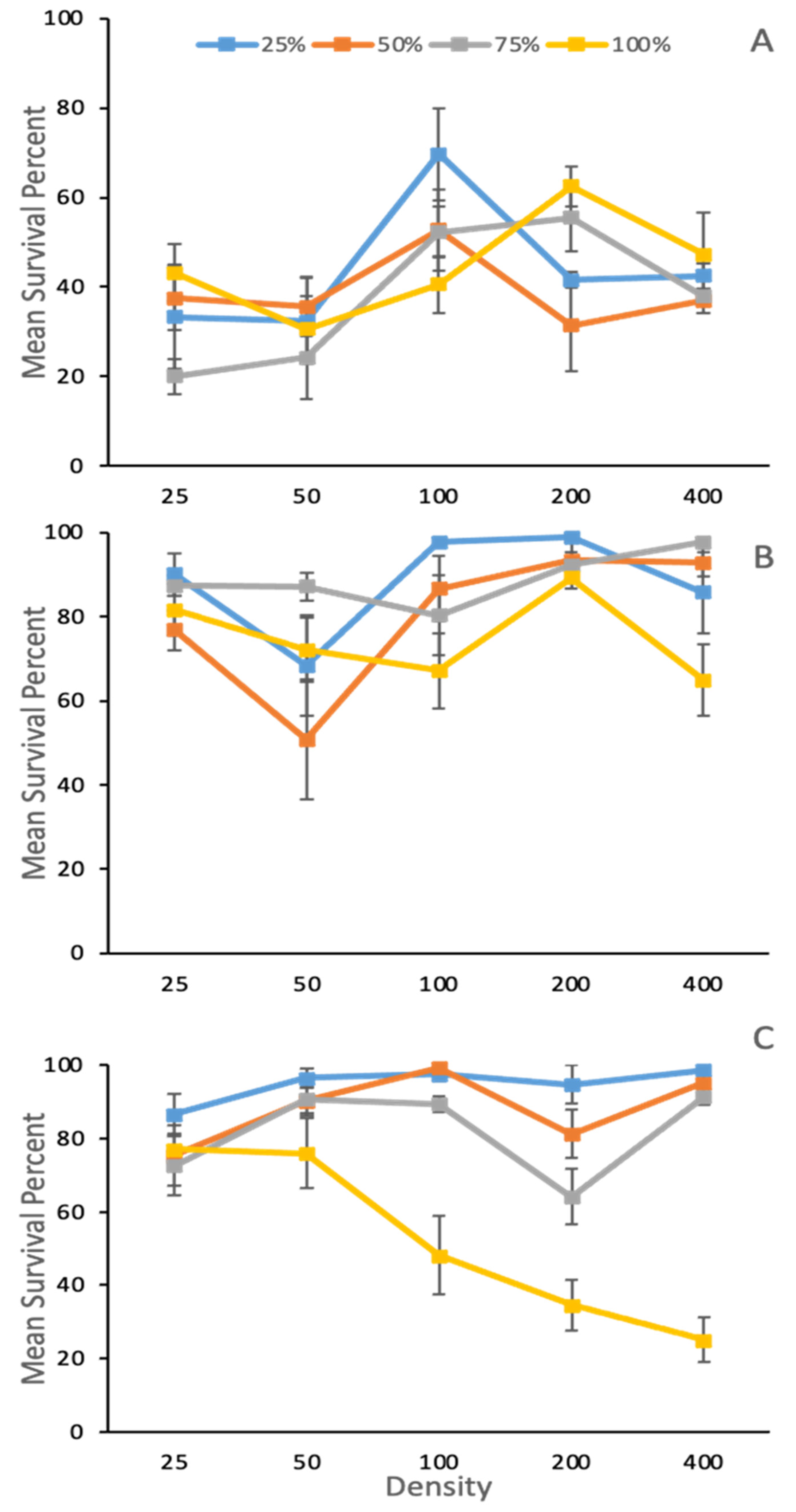
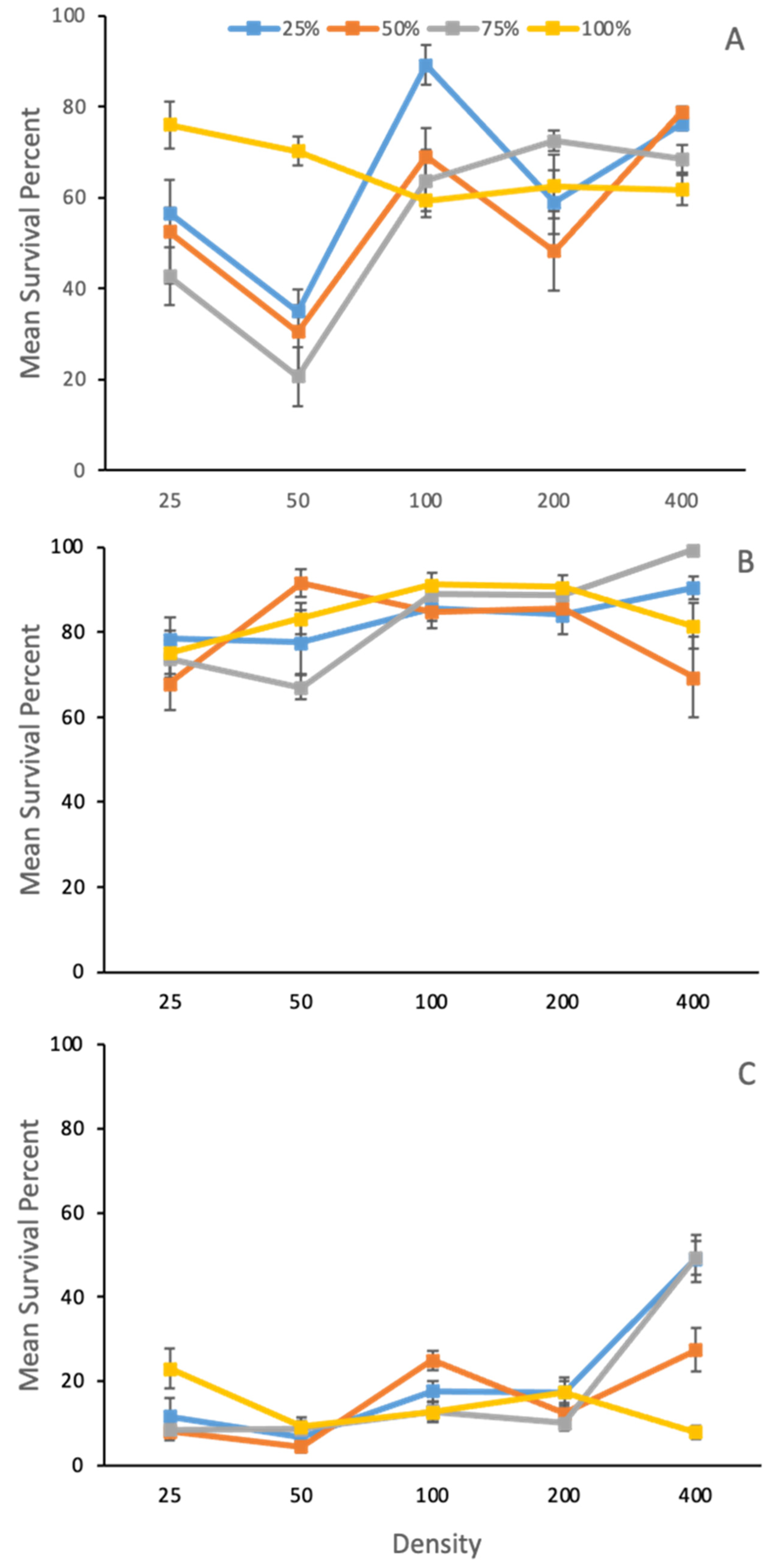
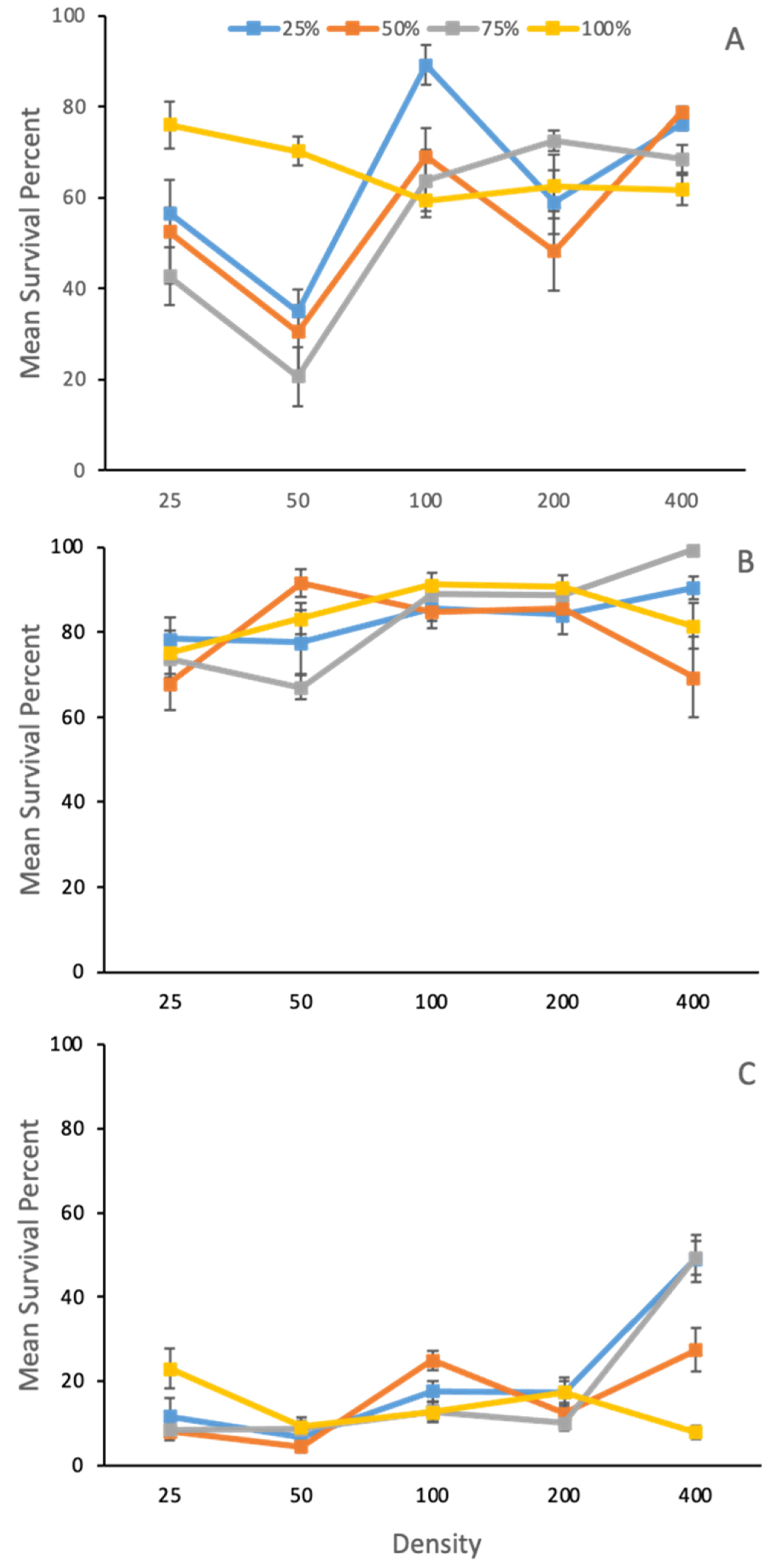
3.2. Survival
3.2.1. Phormia Regina
3.2.2. Lucilia Sericata
4. Discussion
Author Contributions
Funding
Data Availability Statement
Acknowledgments
Conflicts of Interest
References
- Wilson, E.E.; Wolkovich, E.M. Scavenging: How carnivores and carrion structure communities. Trends Ecol. Evol. 2011, 26, 129–135. [Google Scholar] [CrossRef] [PubMed]
- Cornell, H.V.; Lawton, J.H. Species interactions, local and regional processes, and limits to the richness of ecological communities: A theoretical perspective. J. Anim. Ecol. 1992, 61, 1–12. [Google Scholar] [CrossRef]
- Goodbrod, J.R.; Goff, M.L. Effects of larval population density on rates of development and interactions between two species of Chrysomya (Diptera: Calliphoridae) in laboratory culture. J. Med. Entomol. 1990, 27, 338–343. [Google Scholar] [CrossRef] [PubMed]
- Faria, L.D.B.; Trinca, L.A.; Godoy, W.A.C. Cannibalistic behaviour and functional response in Chrysomya albiceps (Diptera: Calliphoridae). J. Insect Behav. 2004, 17, 251–261. [Google Scholar] [CrossRef]
- Komo, L.; Scanvion, Q.; Hedouin, V.; Charabidze, D. Facing death together: Heterospecific aggregations of blowfly larvae evince mutual benefits. Behav. Ecol. 2019, 30, 1113–1122. [Google Scholar] [CrossRef]
- Strong, D.R., Jr.; Levin, D.A. Species richness of plant parasites and growth form of their hosts. Am. Nat. 1979, 114, 1–22. [Google Scholar] [CrossRef]
- Hovick, T.J.; Elmore, R.D.; Fuhlendorf, S.D.; Engle, D.M.; Hamilton, R.G. Spatial heterogeneity increases diversity and stability in grassland bird communities. Ecol. Appl. 2015, 25, 662–672. [Google Scholar] [CrossRef]
- Griffin, J.N.; Jenkins, S.R.; Gamfeldt, L.; Jones, D.; Hawkins, S.J.; Thompson, R.C. Spatial heterogeneity increases the importance of species richness for an ecosystem process. Oikos 2009, 118, 1335–1342. [Google Scholar] [CrossRef]
- Feddern, N.; Amendt, J.; Schyma, C.; Jackowski, C.; Tschui, J. A preliminary study about the spatiotemporal distribution of forensically important blow flies (Diptera: Calliphoridae) in the area of Bern, Switzerland. Forensic Sci. Int. 2018, 289, 57–66. [Google Scholar] [CrossRef]
- Ody, H.; Bulling, M.T.; Barnes, K.M. Effects of environmental temperature on oviposition behaviour in three blow fly species of forensic importance. Forensic Sci. Int. 2017, 275, 138–143. [Google Scholar] [CrossRef]
- Hans, K.R.; Vanlaerhoven, S.L. Impact of comingled heterospecific Assemblages on developmentally based estimates of the post-mortem interval—A study with Lucilia sericata (Meigen), Phormia regina (Meigen) and Calliphora vicina Robineau-Desvoidy (Diptera: Calliphoridae). Insects 2021, 12, 280. [Google Scholar] [CrossRef] [PubMed]
- Davis, A.J.; Lawton, J.H.; Shorrocks, B.; Jenkinson, L.S. Individualistic species responses invalidate simple physiological models of community dynamics under global environmental change. J. Anim. Ecol. 1998, 67, 600–612. [Google Scholar] [CrossRef]
- Huey, R.B.; Kingsolver, J.G. Evolution of thermal sensitivity of ectotherm performance. Trends Ecol. Evol. 1989, 4, 131–135. [Google Scholar] [CrossRef] [PubMed]
- Tun-Lin, W.; Burkot, T.R.; Kay, B.H. Effects of temperature and larval diet on development rates and survival of the dengue vector Aedes aegypti in north Queensland, Australia. Med. Vet. Entomol. 2000, 14, 31–37. [Google Scholar] [CrossRef]
- Arbogast, R.T. Mortality and reproduction of Ephestia cautella and Plodia interpunctella exposed as pupae to high temperatures. Environ. Entomol. 1981, 10, 708–711. [Google Scholar] [CrossRef]
- Gosselin, M.; Charabidze, D.; Frippiat, C.; Bourel, B.; Gosset, D. Development Time Variability: Adaptation of Régnière’s Method to the Intrinsic Variability of Belgian Lucilia sericata (Diptera, Calliphoridae) Population. J. Forensic Res. 2010, 1, 109. [Google Scholar] [CrossRef]
- Gilman, S.E.; Urban, M.C.; Tewksbury, J.; Gilchrist, G.W.; Holt, R.D. A framework for community interactions under climate change. Trends Ecol. Evol. 2010, 25, 325–331. [Google Scholar] [CrossRef] [PubMed]
- Peters, T.M.; Barbosa, P. Influence of population density on size, fecundity, and developmental rate of insects in culture. Annu. Rev. Entomol. 1977, 22, 431–450. [Google Scholar] [CrossRef]
- Credland, P.F.; Dick, K.M.; Wright, A.W. Relationships between larval density, adult size and egg production in the cowpea seed beetle, Callosobruchus maculatus. Ecol. Entomol. 1986, 11, 41–50. [Google Scholar] [CrossRef]
- Reeve, J.; Rhodes, D.J.; Turchin, P. Scramble competition in the southern pine beetle, Dendroctonus frontalis. Ecol. Entomol. 1998, 23, 433–443. [Google Scholar] [CrossRef]
- Agnew, P.; Hide, M.; Sidobre, C.; Michalakis, Y. A minimalist approach to the effects of density-dependent competition on insect life-history traits. Ecol. Entomol. 2002, 27, 396–402. [Google Scholar] [CrossRef]
- Kersting, U.; Satar, S.; Uygun, N. Effect of temperature on development rate and fecundity of apterous Aphis gossypii Glover (Hom., Aphididae) reared on Gossypium hirsutum L. J. Appl. Entomol. 1999, 123, 23–27. [Google Scholar] [CrossRef]
- Smith, K.E.; Wall, R. Asymmetric competition between larvae of the blowflies Calliphora vicina and Lucilia sericata in carrion. Ecol. Entomol. 1997, 22, 468–474. [Google Scholar] [CrossRef]
- Ives, A.R.; Gross, K.; Klug, J.L. Stability and variability in competitive communities. Science 1999, 286, 542–544. [Google Scholar] [CrossRef] [PubMed]
- Rivers, D.B.; Thompson, C.; Brogan, R. Physiological trade-offs of forming maggot masses by necrophagous flies on vertebrate carrion. Bull. Entomol. Res. 2011, 101, 599–611. [Google Scholar] [CrossRef]
- Brodie, B.S.; Wong, W.H.; VanLaerhoven, S.; Gries, G. Is aggregated oviposition by the blow flies Lucilia sericata and Phormia regina (Diptera: Calliphoridae) pheromone-mediated? Insect Sci. 2015, 22, 651–660. [Google Scholar] [CrossRef] [PubMed]
- Atkinson, W.D.; Shorrocks, B. Competition on a divided and ephemeral resource: A simulation model. J. Anim. Ecol. 1981, 50, 461–471. [Google Scholar] [CrossRef]
- Catts, E.P.; Goff, M.L. Forensic entomology in criminal investigations. Ann. Rev. Entomol. 1992, 37, 253–272. [Google Scholar] [CrossRef]
- Anderson, G.S.; Van Laerhoven, S.L. Initial studies on insect succession on carrion in southwestern British Columbia. J. Forensic Sci. 1996, 41, 617–625. [Google Scholar] [CrossRef]
- Van Laerhoven, S.L.; Anderson, G.S. Insect succession on buried carrion in two bio-geoclimatic zones of British Columbia. J. Forensic Sci. 1999, 44, 32–43. [Google Scholar]
- Roe, A.; Higley, L.G. Development modeling of Lucilia sericata (Diptera: Calliphoridae). PeerJ 2015, 3, 803. [Google Scholar] [CrossRef] [PubMed]
- MacInnis, A.E.; Higley, L.G. Competition among three forensically important blow fly species (Diptera: Calliphoridae): Phormia regina, Lucilia sericata, and Chrysomya rufifacies. Environ. Entomol. 2020, 49, 1473–1479. [Google Scholar] [CrossRef] [PubMed]
- Byrd, J.H.; Allen, J.C. The development of the black blow fly, Phormia regina (Meigen). Forensic Sci. Int. 2001, 120, 79–88. [Google Scholar] [CrossRef]
- Anderson, G.S. Minimum and maximum development rates of some forensically important Calliphoridae (Diptera). J. Forensic Sci. 2000, 45, 824–832. [Google Scholar] [CrossRef] [PubMed]
- Greenberg, B.; Kunich, J.C. Entomology and the Law: Flies as Forensic Indicators, 6th ed.; Cambridge University Press: Cambridge, UK, 2002; pp. 16–54. [Google Scholar]
- Kerridge, A.; Lappin-Scott, H.; Stevens, J.R. Antibacterial properties of larval secretions of the blowfly, Lucilia sericata. Med. Vet. Entomol. 2005, 19, 333–337. [Google Scholar] [CrossRef]
- Hutton, G.F.; Wasti, S.S. Competitive interactions between larvae of the green bottle fly, Phaenicia sericata (Meig.) and the black blow fly, Phormia regina (Meig.). Comp. Physiol. Ecol. 1980, 5, 1–4. [Google Scholar]
- Kheirallah, A.M.; Tantawi, T.I.; Aly, A.H.; El-Moaty, Z.A. Competitive interaction between larvae of Lucilia sericata (Meigen) and Chrysomya albiceps (Wiedemann) (Diptera: Calliphoridae). Pak. J. Biol. Sci. 2007, 10, 1001–1010. [Google Scholar] [CrossRef]
- Martínez-Sánchez, A.; Smith, K.E.; Rojo, S.; Marcos-García, M.A.; Wall, R. Geographic origin affects larval competitive ability in European populations of the blow fly, Lucilia sericata. Entomol. Exp. Appl. 2007, 122, 93–98. [Google Scholar] [CrossRef]
- Atkinson, D.; Sibly, R.M. Why are organisms usually bigger in colder environments? Making sense of a life history puzzle. Trends Ecol. Evol. 1997, 12, 235–239. [Google Scholar] [CrossRef]
- Warren, J.A.; Anderson, G.S. Effect of fluctuating temperatures on the development of a forensically important blow fly, Protophormia terraenovae (Diptera: Calliphoridae). Environ. Entomol. 2013, 42, 167–172. [Google Scholar] [CrossRef]
- Niederegger, S.; Pastuschek, J.; Mall, G. Preliminary studies of the influence of fluctuating temperatures on the development of various forensically relevant flies. Forensic Sci. Int. 2010, 199, 72–78. [Google Scholar] [CrossRef] [PubMed]
- Clarkson, C.A.; Hobischak, N.R.; Anderson, G.S. A comparison of the development rate of Protophormia terraenovae (Robineau-Desvoidy) raised under constant and fluctuating temperature regimes. Can. Soc. Forensic Sci. J. 2004, 37, 95–101. [Google Scholar] [CrossRef]
- VanLaerhoven, S.L. Ecological Theory of Community Assembly and its Application in Forensic Entomology. In Forensic Entomology: The Utility of Insects in Legal Investigations, 3rd ed.; Byrd, J., Tomberlin, J., Eds.; CRC Press: Boca Rotan, FL, USA, 2020. [Google Scholar]




| Effects Tests for P. regina | DF | Sum of Squares | F Ratio | p-Value |
|---|---|---|---|---|
| Density | 1 | 0.8369 | 69.148 | <0.0001 |
| Species treatment | 3 | 4.5366 | 124.935 | <0.0001 |
| Temperature | 1 | 0.1740 | 14.382 | 0.0002 |
| Density × species treatment | 3 | 0.6348 | 17.483 | <0.0001 |
| Density × temperature | 1 | 0.0628 | 5.190 | 0.0229 |
| Species treatment × temperature | 3 | 0.1464 | 4.033 | 0.0073 |
| Density × temperature × species treatment | 3 | 0.1442 | 3.972 | 0.0079 |
| Effects Tests for L. sericata | DF | Sum of Squares | F Ratio | p-Value |
| Density | 1 | 0.0003 | 0.038 | 0.8453 |
| Species treatment | 3 | 2.9960 | 123.229 | <0.0001 |
| Temperature | 1 | 3.6326 | 448.199 | <0.0001 |
| Density × species treatment | 3 | 0.1628 | 6.697 | 0.0002 |
| Density × temperature | 1 | 0.1319 | 16.275 | <0.0001 |
| Species treatment × temperature | 3 | 0.2155 | 8.864 | <0.0001 |
| Density × temperature × species treatment | 3 | 0.2078 | 8.549 | <0.0001 |
| Effects Tests for P. regina | DF | Sum of Squares | F Ratio | p-Value |
|---|---|---|---|---|
| Density | 1 | 0.1622 | 2.864 | 0.09 |
| Species treatment | 3 | 1.9362 | 11.391 | 0.0001 |
| Temperature | 1 | 17.8180 | 314.477 | <0.0001 |
| Density × species treatment | 3 | 1.0880 | 6.403 | 0.0003 |
| Density × temperature | 1 | 0.5189 | 9.160 | 0.0026 |
| Species treatment × temperature | 3 | 4.1607 | 24.478 | <0.0001 |
| Density × temperature × species treatment | 3 | 1.0244 | 6.027 | 0.0005 |
| Effects Tests for L. sericata | DF | Sum of Squares | F Ratio | p-Value |
| Density | 1 | 2.2081 | 30.159 | <0.0001 |
| Species treatment | 3 | 0.0783 | 0.357 | 0.78 |
| Temperature | 1 | 20.0428 | 273.750 | <0.0001 |
| Density × species treatment | 3 | 1.5807 | 7.197 | <0.0001 |
| Density × temperature | 1 | 0.0034 | 0.047 | 0.83 |
| Species treatment × temperature | 3 | 0.2264 | 1.031 | 0.33 |
| Density × temperature × species treatment | 3 | 0.1697 | 0.773 | 0.51 |
Disclaimer/Publisher’s Note: The statements, opinions and data contained in all publications are solely those of the individual author(s) and contributor(s) and not of MDPI and/or the editor(s). MDPI and/or the editor(s) disclaim responsibility for any injury to people or property resulting from any ideas, methods, instructions or products referred to in the content. |
© 2023 by the authors. Licensee MDPI, Basel, Switzerland. This article is an open access article distributed under the terms and conditions of the Creative Commons Attribution (CC BY) license (https://creativecommons.org/licenses/by/4.0/).
Share and Cite
Okpara, P.; VanLaerhoven, S. Density, Temperature, and Comingled Species Affect Fitness within Carrion Communities: Coexistence in Phormia regina and Lucilia sericata (Diptera: Calliphoridae). Insects 2023, 14, 139. https://doi.org/10.3390/insects14020139
Okpara P, VanLaerhoven S. Density, Temperature, and Comingled Species Affect Fitness within Carrion Communities: Coexistence in Phormia regina and Lucilia sericata (Diptera: Calliphoridae). Insects. 2023; 14(2):139. https://doi.org/10.3390/insects14020139
Chicago/Turabian StyleOkpara, Patricia, and Sherah VanLaerhoven. 2023. "Density, Temperature, and Comingled Species Affect Fitness within Carrion Communities: Coexistence in Phormia regina and Lucilia sericata (Diptera: Calliphoridae)" Insects 14, no. 2: 139. https://doi.org/10.3390/insects14020139
APA StyleOkpara, P., & VanLaerhoven, S. (2023). Density, Temperature, and Comingled Species Affect Fitness within Carrion Communities: Coexistence in Phormia regina and Lucilia sericata (Diptera: Calliphoridae). Insects, 14(2), 139. https://doi.org/10.3390/insects14020139
