Effects of Flight on Reproductive Development in Long-Winged Female Crickets (Velarifictorus aspersus Walker; Orthoptera: Gryllidae) with Differences in Flight Behavior
Abstract
Simple Summary
Abstract
1. Introduction
2. Materials and Methods
2.1. Experimental Crickets
2.2. Investigation of Flight Ability of LW Females at Different Ages
2.3. Effect of Flight on Reproductive Development
2.4. Data Analysis
3. Results
3.1. Flight Behavior Polymorphism in LW Females
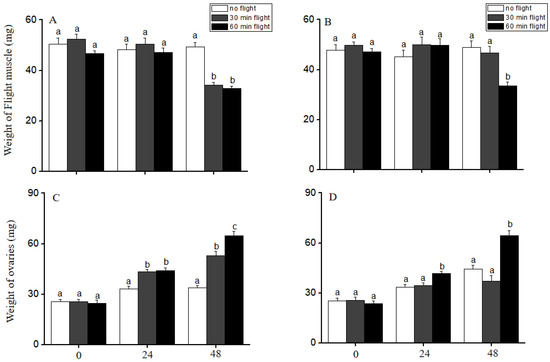
3.2. Effect of Flight on Ovarian Development in LW Females with Differences in Their Flight Ability
4. Discussion
Author Contributions
Funding
Data Availability Statement
Conflicts of Interest
References
- Harrison, R.G. Dispersal polymorphisms in insects. Annu. Rev. Ecol. Evol. Syst. 1980, 11, 95–118. [Google Scholar] [CrossRef]
- Roff, D.A. The evolution of wing dimorphism in insects. Evolution 1986, 40, 1009–1020. [Google Scholar] [CrossRef] [PubMed]
- Solbreck, C.; Anderson, D.B.; Förare, J. Migration and the coordination of life cycles as exemplified by lygaeinae bugs. In Insect Life Cycles: Genetics, Evolution and Co-Ordination; Gilbert, F., Ed.; Springer: New York, NY, USA, 1990; pp. 197–214. [Google Scholar]
- Renault, D. A review of the phenotypic traits associated with insect dispersal polymorphism, and experimental designs for sorting out resident and disperser phenotypes. Insects 2020, 11, 214. [Google Scholar] [CrossRef] [PubMed]
- McAnelly, M.L. The adaptive significance and control of migratory behavior in the grasshopper Melanoplus sanguinipes. In Migration: Mechanisms and Adaptive Significance; Rankin, M.A., Ed.; The University of Texas Marine Science Institute: Port Aransas, TX, USA, 1985. [Google Scholar]
- Kent, J.W., Jr.; Rankin, M.A. Heritability and physiological correlates of migratory tendency in the grasshopper Melanoplus sanguinipes. Physiol. Entomol. 2001, 26, 371–380. [Google Scholar] [CrossRef]
- Zera, A.J.; Denno, R.F. Physiology and ecology of dispersal polymorphism in insects. Annu. Rev. Entomol. 1997, 42, 207–231. [Google Scholar] [CrossRef]
- Xu, H.J.; Xue, J.; Lu, B.; Zhang, X.C.; Zhuo, J.C.; He, S.F.; Ma, X.F.; Jiang, Y.Q.; Fan, H.W.; Xu, J.Y.; et al. Two insulin receptors determine alternative wing morphs in planthoppers. Nature 2015, 519, 464–467. [Google Scholar] [CrossRef]
- Socha, R.; Sula, J. Flight muscles polymorphism in a flightless bug, Pyrrhocoris apterus (L.): Developmental pattern, biochemical profile and endocrine control. J. Insect Physiol. 2006, 52, 231–239. [Google Scholar] [CrossRef]
- Gurevitz, J.M.; Kitron, U.; Gürtler, R.E. Temporal dynamics of flight muscle development in Triatoma infestans (Hemiptera: Reduviidae). J. Med. Entomol. 2009, 46, 1021–1024. [Google Scholar] [CrossRef]
- Zera, A.J.; Sail, J.; Grudzinski, K. Flight-muscle polymorphism in the cricket Gryllus firmus: Muscle characteristics and their Influence on the evolution of flightlessness. Physiol. Zool. 1997, 70, 519–529. [Google Scholar] [CrossRef]
- Roff, D.A. The evolution of flightlessness in insects. Ecol. Monogr. 1990, 60, 389–421. [Google Scholar] [CrossRef]
- Zera, A.J.; Mole, S. The physiological costs of flight capability in wing-dimorphic crickets. Res. Popul. Ecol. 1994, 36, 151–156. [Google Scholar] [CrossRef]
- Clark, R.M.; McConnell, A.; Zera, A.J.; Behmer, S.T. Nutrient regulation strategies differ between cricket morphs that trade-off dispersal and reproduction. Funct. Ecol. 2013, 27, 1126–1133. [Google Scholar] [CrossRef]
- Guerra, P.A. Evaluating the life-history trade-off between dispersal capability and reproduction in wing dimorphic insects: A meta-analysis. Biol. Rev. 2011, 86, 813–835. [Google Scholar] [CrossRef]
- Guerra, P.A.; Pollack, G.S. Flight behaviour attenuates the trade-off between flight capability and reproduction in a wing polymorphic cricket. Biol. Lett. 2009, 5, 229–231. [Google Scholar] [CrossRef]
- Zera, A.J.; Rankin, M.A. Wing dimorphism in Gryllus rubens: Genetic basis of morph determination and fertility differences between morphs. Oecologia 1989, 80, 249–255. [Google Scholar] [CrossRef]
- Zeng, Y.; Zhu, D.H. Trade-off between flight capability and reproduction in male Velarifictorus aspersus crickets. Ecol. Entomol. 2012, 37, 244–251. [Google Scholar] [CrossRef]
- Zeng, Y.; Zhu, D.H.; Zhao, L.Q. Critical flight time for switch from flight to reproduction in wing dimorphic cricket Velarifictorus aspersus. Evol. Biol. 2014, 41, 397–403. [Google Scholar] [CrossRef]
- Rankin, M.A.; Riddiford, L.M. Hormonal control of migratory flight in Oncopeltus fasciatus: The effects of the corpus cardiacum, corpus allatum, and starvation on migration and reproduction. Gen. Comp. Endocrinol. 1977, 33, 309–321. [Google Scholar] [CrossRef] [PubMed]
- Rankin, M.A.; Burchsted, J.C.A. The cost of migration in insects. Annu. Rev. Entomol. 1992, 37, 533–559. [Google Scholar] [CrossRef]
- Kent, J.W., Jr.; Teng, Y.M.; Deshpande, D.; Rankin, M.A. Mobilization of lipid and carbohydrate reserves in the migratory grasshopper Melanoplus sanguinipes. Physiol. Entomol. 1997, 22, 231–238. [Google Scholar]
- Johnson, B. Factors affecting the locomotor and settling responses of alate aphids. Anim. Behav. 1958, 6, 9–26. [Google Scholar] [CrossRef]
- Kennedy, J.S.; Booth, C.O. Co-ordination of successive activities in an aphid. The effect of flight on the settling responses. J. Exp. Biol. 1963, 40, 351–369. [Google Scholar] [CrossRef]
- Graham, K. Release by flight exercise of a chemotropic response from photopositive domination in a Scolytid beetle. Nature 1959, 184, 283–284. [Google Scholar] [CrossRef]
- Min, K.J.; Jones, N.; Borst, D.W.; Rankin, M.A. Increased juvenile hormone levels after long-duration flight in the grasshopper, Melanoplus sanguinipes. J. Insect Physiol. 2004, 50, 531–537. [Google Scholar] [CrossRef]
- Forrest, T.G. Calling songs and mate choice in mole crickets. In Orthopteran Mating Systems: Sexual Competition in a Diverse Group of Insects; Gwynne, D.T., Morris, G.K., Eds.; Westview Press: Boulder, CO, USA, 1983; pp. 185–204. [Google Scholar]
- Zhao, Z.; Zera, A.J. Differential lipid biosynthesis underlies a tradeoff between reproduction and flight capability in a wing-polymorphic cricket. Proc. Natl. Acad. Sci. USA 2002, 99, 16829–16834. [Google Scholar] [CrossRef]
- Zera, A.J.; Zhao, Z. Intermediary metabolism and life-history trade-offs: Differential metabolism of amino acids underlies the dispersal-reproduction trade-off in a wing-polymorphic cricket. Am. Nat. 2006, 167, 889–900. [Google Scholar] [CrossRef]
- Pfluger, H.J.; Duch, C. Dynamic neural control of insect muscle metabolism related to motor behavior. Physiology 2011, 26, 293–303. [Google Scholar] [CrossRef]
- Ayali, A.; Golenser, E.; Pener, M.P. Flight fuel related differences between solitary and gregarious locusts (Locusta migratoria migratorioides). Physiol. Entomol. 1996, 21, 1–6. [Google Scholar] [CrossRef]
- Du, B.; Ding, D.; Mac, C.; Guo, W.; Kang, L. Locust density shapes energy metabolism and oxidative stress resulting in divergence of flight traits. Proc. Natl. Acad. Sci. USA 2022, 119, e2115753118. [Google Scholar] [CrossRef]
- Pener, M.P.; Ayali, A.; Golenser, E. Adipokinetic Hormone and Flight Fuel Related Characteristics of Density-Dependent Locust Phase Polymorphism: A Review. Comp. Biochem. Physiol. 1997, 117, 513–524. [Google Scholar] [CrossRef]
- Zera, A.J.; Harshman, L. Physiology of life history trade-offs in animals. Annu. Rev. Ecol. Syst. 2001, 32, 95–126. [Google Scholar] [CrossRef]
- Zhao, Z.W.; Zera, A.J. The JH titer exhibits a high-amplitude, morph-dependent, diurnal cycle in the wing-polymorphic cricket, Gryllus firmus. J. Insect Physiol. 2004, 50, 93–102. [Google Scholar] [CrossRef] [PubMed]
- Zera, A.J.; Zhao, Z.; Kaliseck, K. Hormones in the field: Evolutionary endocrinology of juvenile hormone and ecdysteroids in field populations of the wing-dimorphic cricket Gryllus firmus. Physiol. Biochem. Zool. 2007, 80, 592–606. [Google Scholar] [CrossRef] [PubMed]



Disclaimer/Publisher’s Note: The statements, opinions and data contained in all publications are solely those of the individual author(s) and contributor(s) and not of MDPI and/or the editor(s). MDPI and/or the editor(s) disclaim responsibility for any injury to people or property resulting from any ideas, methods, instructions or products referred to in the content. |
© 2023 by the authors. Licensee MDPI, Basel, Switzerland. This article is an open access article distributed under the terms and conditions of the Creative Commons Attribution (CC BY) license (https://creativecommons.org/licenses/by/4.0/).
Share and Cite
Ren, Y.-S.; Zhang, B.; Zeng, Y.; Zhu, D.-H. Effects of Flight on Reproductive Development in Long-Winged Female Crickets (Velarifictorus aspersus Walker; Orthoptera: Gryllidae) with Differences in Flight Behavior. Insects 2023, 14, 79. https://doi.org/10.3390/insects14010079
Ren Y-S, Zhang B, Zeng Y, Zhu D-H. Effects of Flight on Reproductive Development in Long-Winged Female Crickets (Velarifictorus aspersus Walker; Orthoptera: Gryllidae) with Differences in Flight Behavior. Insects. 2023; 14(1):79. https://doi.org/10.3390/insects14010079
Chicago/Turabian StyleRen, Ye-Song, Bin Zhang, Yang Zeng, and Dao-Hong Zhu. 2023. "Effects of Flight on Reproductive Development in Long-Winged Female Crickets (Velarifictorus aspersus Walker; Orthoptera: Gryllidae) with Differences in Flight Behavior" Insects 14, no. 1: 79. https://doi.org/10.3390/insects14010079
APA StyleRen, Y.-S., Zhang, B., Zeng, Y., & Zhu, D.-H. (2023). Effects of Flight on Reproductive Development in Long-Winged Female Crickets (Velarifictorus aspersus Walker; Orthoptera: Gryllidae) with Differences in Flight Behavior. Insects, 14(1), 79. https://doi.org/10.3390/insects14010079

