Simple Summary
Intercropping apple trees with aromatic plants is a way to attract natural enemies and strengthen biological control services. However, the effects of aromatic plants are still unclear under field conditions. Here, we studied the potential of two aromatic plant species to promote codling moth natural enemies in a full factorial experiment. Ocimum basilicum increases codling moth parasitism. Tagetes patula has a general negative effect on both the codling moth and its natural enemies. We do not find a reduction in codling moth density or damaged apples on trees associated with aromatic plants.
Abstract
The addition of flowering companion plants within or around crop fields is a promising strategy to strengthen pest regulation by their natural enemies. Aromatic plants are frequently used as companion plants, but their effects on natural enemies remain unclear under field conditions. Here, we evaluated the effects of two aromatic plant species on the parasitism of the codling moth (Cydia pomonella) and the recruitment of predatory arthropods (spiders, earwigs) in a factorial field experiment. Apple trees were intercropped with basil (Ocimum basilicum), French marigolds (Tagetes patula), or ryegrass (Lolium perenne). The association between apple trees and O. basilicum increases codling moth parasitism, but does not affect arthropod predator abundances. Furthermore, we find a general negative effect of T. patula on arthropod diversities and abundances, including the pest and its natural enemies. Finally, changes in the parasitism rate and arthropod community structure due to the aromatic plants do not reduce codling moth density or associated apple damage. Further experiments are needed to determine the mechanisms involved in aromatic plant effects on pest repellence and on natural enemy recruitment (volatile organic compound composition, floral resource supply, or pest density dependence).
1. Introduction
Over the last decades, agricultural intensification led to an erosion of biodiversity [1]. Notably, herbicide use and landscape simplification resulted in a loss of floral resources and homogenization of plant assemblages [2]. The loss in plant diversity affects the structure and composition of arthropod communities involving a decline in abundance and diversity at higher trophic levels [3]. This decline led to a degradation of associated ecological functions such as pest biological control [4].
Conservation biological control approaches attempt to counterbalance this general trend through a change in farming practices and habitat management in order to improve the regulation of pest insects by their natural enemies. Adding flowering companion plants within and around crop fields is a promising strategy to strengthen pest regulation. First, flowering plant species provide food resources (nectar, pollen, alternative prey), shelter, and overwintering sites for natural enemies of pests [5]. An increase in floral resources has repeatedly been shown to promote natural enemy abundance [6,7]. Second, pests may have more difficulties in finding crop plants because companion plants may disrupt host plant detection by visual or chemical masking [8]. Yet, flowering habitats are not always efficient in pest regulation [9,10]. The suitability and attractiveness of potential companion plants need to be carefully verified [11].
Aromatic plants are commonly used as companion plants. They do not represent a homogeneous taxonomic group, but are defined by their chemical properties, in particular volatile compounds corresponding to odors that may be used in medicine, food, or plant protection [12,13]. They also have the agronomic advantage of being potentially marketable, contrary to other wildflower species [14]. The most studied aromatic plant species belong to the families of Apiaceae, Asteraceae, and Lamiaceae [15].
Some aromatic plants are known to reduce pest populations on crop plants. In particular, plant species of Lamiaceae and Asteraceae families have been shown to act as a repellent for insect pests [16] or to reduce their fecundity [17] through the emission of volatile organic compounds. For example, the association between basil (Ocimum basilicum L.) and fava beans (Vicia faba L.) is a deterrent for the black bean aphid (Aphis fabae Scopoli) and reduces aphid abundance [18]. Similarly, French marigolds (Tagetes patula L.) hamper whitefly (Trialeurodes vaporariorum Westwood) population development on tomato plants [19].
Furthermore, aromatic plants can affect the recruitment of beneficial insects. Their volatile organic compounds may be attractive to natural enemies and their flowers may provide food resources [20]. In several studies, aromatic plant species increase the abundance of predators [21] or pollinators in arable fields [22]. In particular, O. basilicum and T. patula are found to enhance arthropod predators’ abundance and species richness in apple orchards, which contributes to improved regulation of aphid populations [23].
In this study, we focus on the biological control of the codling moth Cydia pomonella (L.) (Lepidoptera: Tortricidae), a pest causing high damage to various perennial crops worldwide, particularly in apple orchards [24]. It is a multivoltine species, with several generations occurring during one year, depending on weather conditions and the host plant [25]. Females lay eggs on foliage. Larvae tunnel into apple fruits towards the seeds, feeding on fruit flesh and leaving frass on the surface [26]. Attacked fruits become unmarketable and usually fall on the ground before maturity.
Different taxa of arthropods contribute to the regulation of codling moths, starting with generalist predators such as spiders, earwigs, or carabid beetles [27]. Additionally, several parasitoid species (Hymenoptera) attacking different lifecycle stages of the codling moth have been identified [28]. In Europe, the dominant parasitoid species are Ascogaster quadridentata Wesmael (Hymenoptera: Braconidae), Pristomerus vulnerator Panzer (Hymenoptera: Ichneumonidae), and Trichomma enecator Rossi (Hymenoptera: Ichneumonidae) [28].
Codling moth control by parasitoid wasps provides encouraging results under reduced pesticide use [29]. Several factors may influence the parasitism rate, such as the provision of adequate nectar resources to adults [30]. Planting nectar-producing companion plants within orchards may increase parasitoid density and, thus, codling moth regulation. Aromatic plants such as Lamiaceae and Asteraceae species attract Braconidae and Ichneumonidae parasitoids [31]. Furthermore, laboratory experiments show a positive effect of O. basilicum and T. patula on parasitoid longevity [32]. However, the effects of aromatic plants on parasitoids have rarely been tested under field conditions [15].
In our study, we aimed to evaluate the effect of basil (O. basilicum) and French marigolds (T. patula) on codling moth regulation. We addressed the following research questions: Does the addition of aromatic plants affect the abundance of codling moth larvae on apple trees? Do aromatic plants increase codling moth parasitism rates? Do the tested aromatic plants affect other natural enemies in apple orchards?
2. Materials and Methods
2.1. Study Site and Experimental Setup
The study was conducted in 2019, in an experimental apple orchard in Avignon, south-eastern France (43°55′0.049″ N, 4°52′52.133″ E). The orchard (0.2 ha) was planted in 2007 and had six rows of apple trees (Ariane variety) irrigated by a sprinkler system. The inter-row distance was 4 m and the inter-tree distance was 1.5 m. The orchard is located in a peri-urban area. It is surrounded by other experimental sites (orchards, field crops, grassed area). No pesticides were applied during the experiment.
Two aromatic plant species were tested in association with apple trees: basil (Ocimum basilicum L., variety pistou à petites feuilles) and French marigolds (Tagetes patula L., variety nana). Perennial ryegrass (Lolium perenne L.), which does not produce characteristic volatile organic compounds, was used as a negative control. Furthermore, it does not produce nectar as a food resource for adult parasitoids and is commonly sown to orchard inter-rows and margins. The three species were sown in November 2018 and grown in a greenhouse. Individual plants were first grown in small (7 × 7 cm) pots with a peat substrate, then transplanted in larger 4 L pots that were finally moved to the orchard in late March 2019. Pots were replaced during summer.
The effect of the treatment by aromatic companion plants on the biological control of codling moths was tested using a randomized block design (Figure 1). Plots corresponded to two adjacent apple trees framed by 50 pots of one plant species, arranged on both sides along the row. The minimum distance between two plots was 4 m. Apple trees with homogeneous trunk circumference were selected to limit vigor heterogeneity among plots. The orchard was divided into six blocks to account for spatial heterogeneity within the orchard, such as distance to the hedgerow and differences in microclimate, which may affect the distribution of codling moth larvae and densities of arthropod predators [33]. Each block comprised three plots corresponding to companion plant treatments and treatments were randomized within blocks. In total, there were eighteen plots including thirty-six monitored apple trees (Figure 1).
Figure 1.
Experimental design: The two aromatic plant species Ocimum basilicum and Tagetes patula were intercropped with apple trees in an experimental apple orchard (six replicate plots per treatment in a randomized block design). Lolium perenne was used as negative control. Each plot comprised two apple trees framed by 50 companion plants arranged on both sides.
2.2. Field Surveys
The abundance of codling moth larvae and their predators was monitored throughout the season. Surveys were weekly conducted from May to October 2019 on all 36 trees (19 weeks in total).
Codling moth larvae were collected with traps of 20 cm wide corrugated cardboard bands wrapped around the trunk of the apple trees [34]. The cardboard was positioned about 50 cm from the ground, under the first scaffold branches. These traps intercept mature larvae moving along the trunk to search for pupation shelter or overwintering. Cardboard traps were removed, unfolded, and replaced every week. Codling moth larvae and pupae were counted in each cardboard trap.
Small larvae (<30 mg) were separated from big larvae. Small larva size is a reliable indicator of codling moth parasitism [35]. The proportion of small larvae was used as a proxy of parasitism rate.
Major predatory arthropods of codling moth were counted in cardboard traps [36,37]. All collected arthropod predators were identified to family level. All individuals in each arthropod family were counted. Forficulidae abundance was recorded using three abundance classes (A = 0–10, B = 10–20, and C = more than 20 individuals).
To estimate the proportion of apple damage caused by codling moth at harvest, all apples were counted on each tree, as well as apples with signs of codling moth damage (e.g., feeding holes, frass). Apples fallen on the ground at harvest were also counted.
2.3. Adult Emergence Monitoring
All collected codling moth larvae and pupae were placed in individual vials (2 × 2 cm) with a piece of cardboard and stored at 25 °C. Adult emergence was monitored daily from June until December 2019. The larvae that did not emerge in late fall (i.e., potentially diapausing larvae) were stored in an outdoor insectarium. Their emergence was monitored from April to June 2020. Emerging individuals may be either adult codling moths or parasitoids. Adult parasitoids were identified at species level using a specific determination key for larval parasitoids of codling moth [38].
2.4. Statistical Analysis
All analyses were conducted using R version 4.0.3. All figures were made with ggplot and ggprism packages.
Generalized linear mixed models (GLMM) (R packages lme4 and MASS) were used to test the effect of companion plants on the abundance of codling moth larvae, the proportion of small larvae, the ratio of adult parasitoids to adult codling moths, and the abundance of emerging parasitoids species. Companion plants (O. basilicum, T. patula, and L. perenne) intercropped with apple trees were considered as fixed factors. Block and sampling date were fitted as random factors. To account for possible density-dependence effects, GLMM included the quantity of available resources. When the response variable was the abundance of codling moth larvae, the number of apples per tree was included as an offset. For the ratio of adult parasitoids to adult codling moths and A. quadridentata abundances, total codling moth larvae abundance was used as a co-variable. As P. tristis is a hyperparasitoid, the number of small larvae was used as a co-variable.
In the same way, GLMMs were applied to estimated earwig abundance, spider abundance, and abundance of other predators. As earwig abundance was recorded using classes, the median of each interval class was used to obtain an estimated abundance. The taxonomic diversity (level: family) of arthropod predators captured in cardboard traps was evaluated using the Shannon–Wiener diversity index (without earwigs). Model family and link function were the same as those specified for parasitoids. A linear mixed model (LMM) was used to test the effect of companion plants on codling moth damage percentage. Again, the effect of the companion plants was fitted as a fixed factor, and blocks as a random factor.
Model assumptions were checked graphically (package DHARMa). For the small larvae proportion and the ratio of adult parasitoids to adult codling moths, models were built with a binomial distribution (logit link function), for parasitoid and predator abundances with a Poisson distribution (log link function), and for the over-dispersed total number of codling moth larvae with a negative binomial distribution (log link function). Type II tests were performed in each model, followed by multiple pairwise comparisons using Tukey HSD test (R package multcomp, function glht).
3. Results
3.1. Codling Moth Larvae and Damages
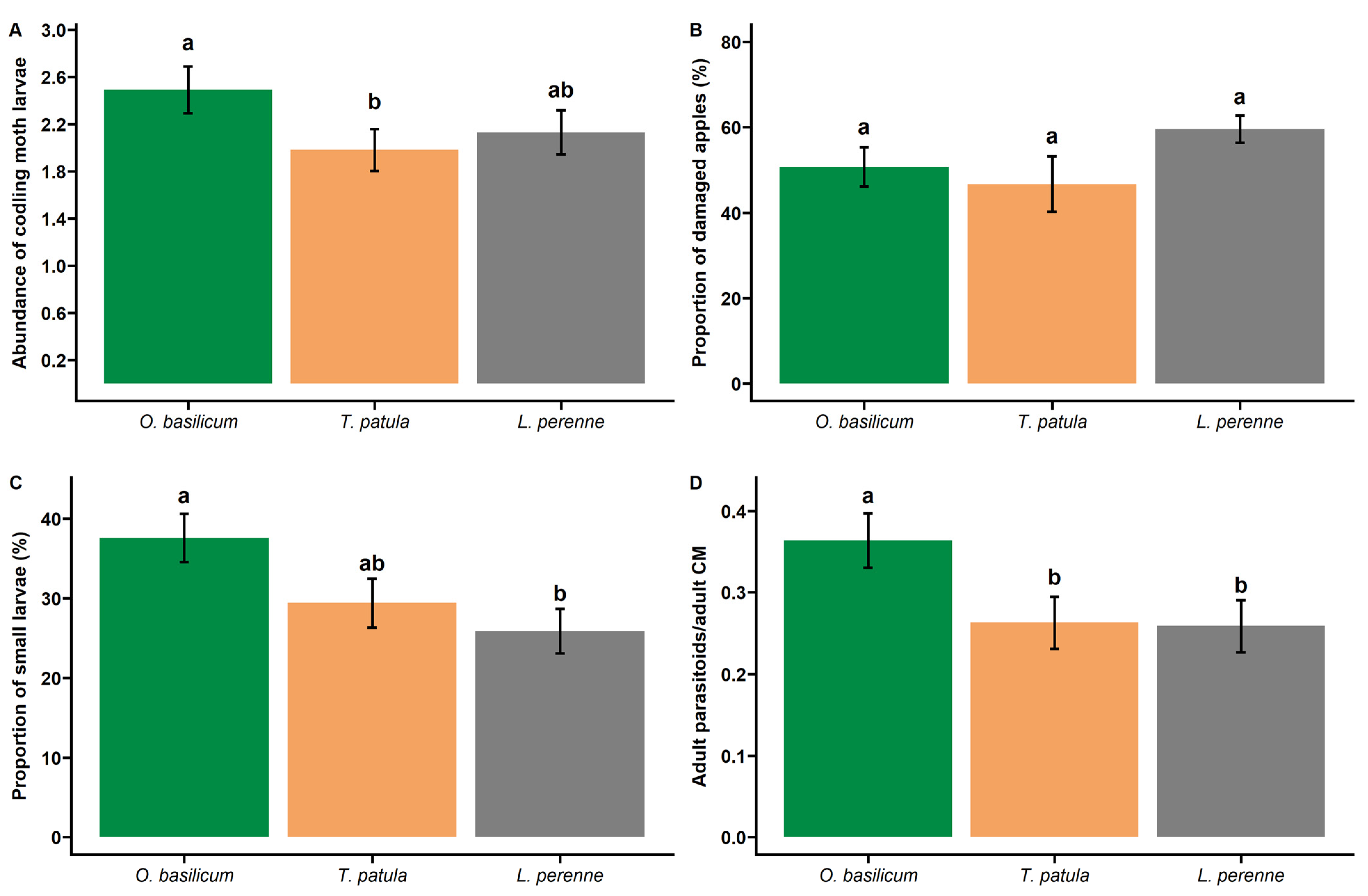
In total, 1506 codling moth larvae are collected and 725 adult codling moths are recorded during emergence monitoring (Table 1). The total number of larvae collected per tree varies from 10 to 112, with an average of 41.8 (±3.67) larvae. Codling moth abundance per tree and week varies significantly according to companion plant treatment (χ2 = 8.85, df = 2, p = 0.012). Multiple comparisons do not show significant differences between the control treatment and both tested aromatic plants. However, there is a significant difference between T. patula and O. basilicum treatments (Table 2). The average number of larvae per tree and week is 25% higher for apple trees near O. basilicum than on apple trees located near T. patula (Figure 2). On average, 53% of apples per tree have codling moth damage. Companion plants do not significantly affect the proportion of damaged apples by the codling moth at harvest (χ2 = 5.18, df = 2, p = 0.075, Figure 2).
Table 1.
Abundance of emerging adults of codling moth and parasitoids. N indicates the number of codling moth larvae collected over the whole season (independently from emergence). CM: codling moth, Asco.: Ascogaster quadridentata, Peri: Perilampus tristis, and Pristo.: Pristomerus vulnerator.
Table 2.
Effects of companion plants on codling moth and natural enemy’ abundances and on small larvae and damaged apple proportions. Presented values are means (±SE) per tree per week. Letters indicate significant differences between companion plants, according to post-hoc tests (p value < 0.05).
Figure 2.
Comparison of (A) the mean number of codling moth larvae per apple tree and week, (B) the mean proportion of apples with codling moth damage per tree, (C) the mean proportion of small codling moth larvae (<30 mg) per apple tree and week, and (D) the mean ratio of adult parasitoids to adult codling moths in Ocimum basilicum, Tagetes patula, and Lolium perenne inter-cropping plots. Bars represent standard errors. Different letters indicate significant differences between aromatic plants (p < 0.05).
3.2. Codling Moth Parasitoids
In total, 470 small (<30 mg) and 1036 large larvae are collected (Table 1). The proportion of small larvae indicates an average parasitism rate of 31.2% per tree and week. The proportion of small larvae is significantly affected by companion plant treatment (χ2 = 10.92, df = 2, p = 0.004). It is 45% higher on trees near O. basilicum (than on control trees. Small larvae proportion in T. patula plots is not significantly different from control treatment (Figure 2). In total, 312 adult parasitoids emerge from codling moth larvae. The ratio of adult parasitoids to adult codling moths varies significantly depending on the companion plant (χ2 = 15.64, df = 2, p < 0.001). It is significantly higher on apple trees near O.basilicum than on apple trees near T. patula or L. perenne (Table 2).
Three emerging parasitoid species are identified: A. quadridentata, P. vulnerator, and the hyperparasitoid Perilampus tristis Mayr (Hymenoptera: Perilampidae). Ascogaster quadridentata is the main species involved in codling moth parasitism (69% of emerging adults parasitoids). Perilampus tristis and P. vulnerator represent 27% and 4% of emerging adult parasitoids, respectively (Table 1). In total, 469 larvae do not give rise to either adult codling moths or parasitoids. This represents a mortality rate of 31%.
Companion plants have a significant overall effect on adults A. quadridentata abundance (χ2 = 6.34, df = 2, p = 0.042). Multiple comparisons reveal marginally significant differences between T. patula and O. basilicum treatments (Table 2). Companion plants do not affect P. tristis abundance (χ2 = 4.51, df = 2, p = 0.105). The total abundance of codling moth larvae significantly affects A. quadridentata abundance (χ2 = 145.98, df = 1, p < 0.001), and the abundance of small larvae significantly affects P. tristis abundance (χ2 = 130.76, df = 1, p < 0.001).
3.3. Arthropod Predators
Apart from Forficulidae, 809 arthropod predators are captured in cardboard traps, belonging to six families. Cumulated over the season, the estimated abundance of Forficulidae is about 14 000 individuals. On average, 17.70 (±0.31) earwig individuals are collected and 1.18 (±0.05) other arthropod predators per tree and week. Taxonomic diversity (Shannon index) is similar in the three treatments: 0.17 (±0.02) for O. basilicum, 0.14 (±0.02) for T. patula, and 0.16 (±0.02) for L. perenne (Appendix A).
Companion plants significantly affect estimated earwig abundance (χ2 = 9.34, df = 2, p = 0.009), being lower on trees associated with T. patula than on trees associated with O. basilicum (18.48 ± 0.53). Multiple comparisons also reveal marginally significant differences between T. patula and control treatments (Table 2). The effect of companion plants on the abundances of spiders (χ2 = 2.71, df = 2, p = 0.258) and other arthropods (χ2 = 2.66, df = 2, p = 0.26) is not significant.
4. Discussion
Our study reveals a significant influence of aromatic plants on codling moth parasitism and natural enemy recruitment. In particular, O. basilicum increases the proportion of small larvae and the ratio of adult parasitoids to adult codling moths. The increase in parasitism and adult parasitoids in basil plots does not translate into a lower codling moth larval density or a reduction in damaged apples. On the contrary, codling moths are more abundant on apple trees close to O. basilicum than on those close to T. patula. Furthermore, O. basilicum does not affect the recruitment of predatory arthropods, but earwig abundance is significantly lower on apple trees close to T. patula.
Over the whole season, the proportion of small larvae indicates a parasitism rate of about 30% at orchard level. Similar parasitism rates are observed in low-input systems such as cider apple orchards [39]. However, the parasitism rate in our study is relatively high compared to observations in conventional orchards with regular pesticide use [34]. Three parasitoid species emerge from codling moth larvae: A. quadridentata, P. vulnerator, and the hyperparasitoid P. tristis. This parasitoid species composition is similar to that previously reported in apple orchards by Maalouly et al. [34] in the same study area. In our study, A. quadridentata is the main parasitoid species. Similarly, Martínez-Sastre et al. [39] found that A. quadridentata represents 66.3% of emerging adult parasitoids in cider apple orchards. However, P. tristis is more frequent in our study (9% compared to 5% according to Martinez-Sastre et al. [39]).
In agreement with other studies, the results show a positive effect of O. basilicum on parasitism rate. Tang et al. [40] found that adding aromatic plant species increases the cumulative abundance of parasitoids in pear orchards and, more precisely, that O. basilicum is associated with a higher and larger abundance peak of parasitoids. Adding O. basilicum also increases parasitoid abundance in sweet pepper plantings [41].
The increase in codling moth parasitism close to O. basilicum stands may be due to the attraction of parasitoids to floral resources. Nectar provided by O. basilicum increases the longevity and fecundity of parasitoid wasps [32,42]. O. basilicum leaves are also attractive to a lacewing species (Ceraeochrysa cubana Hagen, 1861 (Neuroptera: Chrysopidea)), but only the presence of O. basilicum flowers improves larval and adult survival [43]. The higher parasitoid recruitment in basil plots may also be due to the emission of volatile organic compounds. Ocimum basilicum produces a relatively high amount of essential oils [44] that may be attractive to natural enemies. For example, two main compounds emitted by O. basilicum, (Z)-3-hexenyl acetate and linalool, are associated with a strong antennal response of the parasitoid Trissolculs basalis (Wollaston, 1858) (Hymenoptera: Scelionidea) [42]. Basil essential oils have a complex composition (45 to 48 identified compounds), varying between cultivars [44]. Inference of the organic compounds involved in the attraction of codling moth natural enemies remains speculative in the absence of complementary bioassay. Natural enemies may also be attracted by minor volatile compounds, and parasitoids may respond to a mixture of volatile compounds rather than to one specific molecule [45].
In previous studies, the control effect of aromatic plants on insect pests was mainly related to an increased ratio of predators to pests and not to the attraction of parasitoids. Specifically, O. basilicum plantation close to crop plants improves predator-mediated biological control [46,47]. Furthermore, Song et al. [46] showed that peak abundance of arthropod predators occurs during the flowering period of T. patula, suggesting a positive effect of this aromatic plant species. Intercropping with O. basilicum does not affect arthropod predator recruitment in our study. However, earwig abundance is lower in T. patula plots than in both O. basilicum and control plots suggesting a repellent effect.
Parasitoid recruitment in O. basilicum plots does not lead to a reduction in codling moth density or codling moth damage. The higher codling moth abundance in our O. basilicum plots compared to T. patula may be explained by a direct positive effect, such as an attraction to volatile compounds. Indeed, volatile organic compounds emitted by aromatic plants are shown to change the spatial distribution of Lepidoptera insects in field crops [48]. An increased codling moth attraction to trees near O. basilicum may also explain the higher recruitment of natural enemies. Song et al. [49] show, for example, that natural enemies are not only attracted by the volatile organic compounds of aromatic plants, but also by the combination with compounds emitted by aphid-infested apple trees. More specific experiments excluding natural enemies are required to disentangle indirect effects mediated by natural enemies and direct repellent/attraction effects of aromatic plants on codling moth.
Our results are encouraging in terms of the beneficial effects of aromatic plants on the codling moth parasitism, but are less consistent in terms of generalist predator attraction. Aromatic plants do not significantly affect codling moth damage. The optimum conditions for aromatic plant use still need to be specified. Observations over several years are required to evaluate the robustness of the effects observed here. Long-term dynamics may strengthen the effects of aromatic companion plants on natural enemy recruitment. For example, Boelz et al. [50] show that the richness of beneficial insects increases with temporal continuity of agri-environment schemes such as flower strips. Further experiments are also required to identify volatile organic compounds that are attractive to codling moth enemies and repellent to pest arthropods, in order to better target aromatic plants species for pest control services.
Author Contributions
Conceptualization, H.G., L.G. and P.F.; methodology, L.L., A.B. and P.F.; validation, A.B., F.L. and P.F.; formal analysis, F.G. and L.L.; investigation, F.G. and P.F.; data curation, L.L. and P.F.; writing—original draft preparation, F.G. and L.L.; writing—review and editing, A.B., F.L., H.G., L.G. and P.F.; visualization, L.L.; supervision, A.B., F.L. and P.F.; project administration, P.F.; funding acquisition, L.G., A.B. and P.F. All authors have read and agreed to the published version of the manuscript.
Funding
This research was funded by the ApiTree C-IPM project, grant number 618110.
Data Availability Statement
Data will be submitted to a publicly accessible repository.
Acknowledgments
We are grateful to Michel Pradier for growing our aromatic plants and to Mélanie Cabrol for field assistance.
Conflicts of Interest
The authors declare no conflict of interest.
Appendix A
Table A1.
Cumulative number of arthropods collected per tree along the sampling period in O. basilicum, T. patula, and L. perenne inter-cropping plots. Forficulidae cumulative numbers were estimated based on median values of interval abundance classes. The Shannon–Wiener diversity index measured the taxonomic diversity of the predator families (without earwigs).
Table A1.
Cumulative number of arthropods collected per tree along the sampling period in O. basilicum, T. patula, and L. perenne inter-cropping plots. Forficulidae cumulative numbers were estimated based on median values of interval abundance classes. The Shannon–Wiener diversity index measured the taxonomic diversity of the predator families (without earwigs).
| O. basilicum | T. patula | L. perenne | Total | ||||
|---|---|---|---|---|---|---|---|
| Total | Mean (±SE) | Total | Mean (±SE) | Total | Mean (±SE) | ||
| Araneae (all) | 236 | 19.67 (±2.46) | 216 | 18.0 (±2.18) | 251 | 20.91 (±1.94) | 703 |
| Miturgidae | 21 | 1.75 (±0.56) | 12 | 1.00 (±0.33) | 14 | 1.17 (±0.40) | 47 |
| Salticidae | 148 | 12.33 (±2.12) | 126 | 10.5 (±1.55) | 157 | 13.08 (±1.77) | 431 |
| Gnaphosidae | 27 | 2.25 (±0.33) | 21 | 1.75 (±0.39) | 39 | 3.25 (±0.64) | 87 |
| Thomisidae | 17 | 1.42 (±0.38) | 17 | 1.42 (±0.26) | 11 | 0.92 (±0.26) | 45 |
| Other Araneae | 23 | 1.92 (±0.29) | 40 | 3.33 (±0.75) | 30 | 2.5 (±0.45) | 93 |
| Coccinellidae | 32 | 2.67 (±0.78) | 19 | 1.58 (±0.76) | 18 | 1.5 (±0.53) | 69 |
| Carabidae | 14 | 1.17 (±0.40) | 11 | 0.92 (±0.31) | 12 | 1.00 (±0.27) | 37 |
| Forficulidae | 5090 | 349.58 (±16.09) | 4280 | 315.83 (±11.33) | 4860 | 342.08 (±16.00) | 14,230 |
| Shannon index | - | 1.36 (±0.08) | - | 1.21 (±0.12) | - | 1.23 (±0.10) | - |
References
- Dudley, N.; Alexander, S. Agriculture and biodiversity: A review. Biodiversity 2017, 18, 45–49. [Google Scholar] [CrossRef]
- Baude, M.; Kunin, W.E.; Boatman, N.D.; Conyers, S.; Davies, N.; Gillespie, M.A.K.; Morton, R.D.; Smart, S.M.; Memmott, J. Historical nectar assessment reveals the fall and rise of floral resources in Britain. Nature 2016, 530, 85–88. [Google Scholar] [CrossRef] [PubMed]
- Barnes, A.D.; Scherber, C.; Borer, E.T.; Ebeling, A.; Gauzens, B.; Gilling, D.P.; Hines, J.; Isbell, F.; Ristok, C.; Tilman, D.; et al. Biodiversity enhances the multitrophic control of arthropod herbivory. Sci. Adv. 2020, 6, 45. [Google Scholar] [CrossRef] [PubMed]
- Meehan, T.D.; Werling, B.P.; Landis, D.A.; Gratton, C. Agricultural landscape simplification and insecticide use in the Midwestern United States. Proc. Natl. Acad. Sci. USA 2011, 108, 11500–11505. [Google Scholar] [CrossRef] [PubMed]
- Gontijo, L.M. Engineering natural enemy shelters to enhance conservation biological control in field crops. Biol. Control 2019, 130, 155–163. [Google Scholar] [CrossRef]
- Gontijo, L.M.; Beers, E.H.; Snyder, W.E. Flowers promote aphid suppression in apple orchards. Biol. Control 2013, 66, 8–15. [Google Scholar] [CrossRef]
- Tschumi, M.; Albrecht, M.; Collatz, J.; Dubsky, V.; Entling, M.H.; Najar-Rodriguez, A.J.; Jacot, K. Tailored flower strips promote natural enemy biodiversity and pest control in potato crops. J. Appl. Ecol. 2016, 53, 1169–1176. [Google Scholar] [CrossRef]
- Ratnadass, A.; Fernandes, P.; Avelino, J.; Habib, R. Plant species diversity for sustainable management of crop pests and diseases in agroecosystems: A review. Agron. Sustain. Dev. 2012, 32, 273–303. [Google Scholar] [CrossRef]
- Campbell, A.; Wilby, A.; Sutton, P.; Wäckers, F. Getting More Power from Your Flowers: Multi-Functional Flower Strips Enhance Pollinators and Pest Control Agents in Apple Orchards. Insects 2017, 8, 101. [Google Scholar] [CrossRef]
- McKerchar, M.; Potts, S.G.; Fountain, M.T.; Garratt, M.P.D.; Westbury, D.B. The potential for wildflower interventions to enhance natural enemies and pollinators in commercial apple orchards is limited by other management practices. Agric. Ecosyst. Environ. 2020, 301, 107034. [Google Scholar] [CrossRef]
- Wäckers, F.L.; van Rijn, P.C.J. Pick and Mix: Selecting Flowering Plants to Meet the Requirements of Target Biological Control Insects. In Biodiversity and Insect Pests; Gurr, G.M., Wratten, S.D., Snyder, W.E., Read, D.M.Y., Eds.; John Wiley & Sons: Hoboken, NJ, USA, 2012; pp. 139–165. [Google Scholar] [CrossRef]
- Karpiński, T. Essential Oils of Lamiaceae Family Plants as Antifungals. Biomolecules 2020, 10, 103. [Google Scholar] [CrossRef] [PubMed]
- Xie, Y.; Tian, L.; Han, X.; Yang, Y. Research advances in allelopathy of volatile organic compounds (VOCs) of plants. Horticulturae 2021, 7, 278. [Google Scholar] [CrossRef]
- Hogg, B.N.; Bugg, R.L.; Daane, K.M. Attractiveness of common insectary and harvestable floral resources to beneficial insects. Biol. Control 2011, 56, 76–84. [Google Scholar] [CrossRef]
- Hatt, S.; Xu, Q.; Francis, F.; Osawa, N. Aromatic plants of East Asia to enhance natural enemies towards biological control of insect pests. A review. Entomol. Gen. 2019, 38, 275–315. [Google Scholar] [CrossRef]
- Adeleye, V.O.; Seal, D.R.; Liburd, O.E.; McAuslane, H.; Alborn, H. Pepper weevil, Anthonomus eugenii (Coleoptera: Curculionidae) suppression on jalapeño peppers using non-host insect repellent plants. Crop Prot. 2021, 154, 105893. [Google Scholar] [CrossRef]
- Jankowska, B.; Poniedziałek, M.; Jędrszczyk, E. Effect of intercropping white cabbage with French Marigold (Tagetes patula nana L.) and Pot Marigold (Calendula officinalis L.) on the colonization of plants by pest insects. Folia Hortic. 2009, 21, 95–103. [Google Scholar] [CrossRef]
- Basedow, T.; Hua, L.; Aggarwal, N. The infestation of Vicia faba L. (Fabaceae) by Aphis fabae (Scop.) (Homoptera: Aphididae) under the influence of Lamiaceae (Ocimum basilicum L. and Satureja hortensis L.). J. Pest Sci. 2006, 79, 149–154. [Google Scholar] [CrossRef]
- Conboy, N.J.A.; McDaniel, T.; Ormerod, A.; George, D.; Gatehouse, A.M.R.; Wharton, E.; Donohoe, P.; Curtis, R.; Tosh, C.R. Companion planting with French marigolds protects tomato plants from glasshouse whiteflies through the emission of airborne limonene. PLoS ONE 2019, 14, e0213071. [Google Scholar] [CrossRef]
- Togni, P.H.B.; Venzon, M.; Muniz, C.A.; Martins, E.F.; Pallini, A.; Sujii, E.R. Mechanisms underlying the innate attraction of an aphidophagous coccinellid to coriander plants: Implications for conservation biological control. Biol. Control 2016, 92, 77–84. [Google Scholar] [CrossRef]
- Fang, Y.; Li, S.; Xu, Q.; Wang, J.; Mi, Y.; Jin, Z.; Desneux, N.; Wang, S. Optimizing the use of basil as a functional plant for the biological control of aphhids by Chrysopa pallens (Neuroptera: Chrysopidae) in Greenhouse. Insects 2022, 13, 552. [Google Scholar] [CrossRef]
- Barbir, J.; Azpiazu, C.; Badenes-Pérez, F.R.; Fernández-Quintanilla, C.; Dorado, J. Functionality of Selected Aromatic Lamiaceae in Attracting Pollinators in Central Spain. J. Econ. Entomol. 2016, 109, 529–536. [Google Scholar] [CrossRef]
- Song, B.; Jie, Z.; Wiggins, N.L.; Yuncong, Y.; Guangbo, T.; Xusheng, S. Intercropping with Aromatic Plants Decreases Herbivore Abundance, Species Richness, and Shifts Arthropod Community Trophic Structure. Environ. Entomol. 2012, 41, 872–879. [Google Scholar] [CrossRef]
- Blommers, L.H.M. Integrated pest management in European apple orchards. Annu. Rev. Entomol. 1994, 39, 213–241. [Google Scholar] [CrossRef]
- Shel’Deshova, G.G. Ecological factors determining distribution of the codling moth Lapspeyresia pomonella L. in the northern and southern hemispheres. Entomol. Rev. 1967, 46, 349–361. [Google Scholar]
- Audemard, H. Population dynamics of the codling moth. In World Crop Pests: Tortricid Pest, Their Biologie, Natural Enemies and Control; Van der Guest, L.P.S., Evenhuis, H.H., Eds.; Elsevier: Amsterdam, The Netherlands, 1991. [Google Scholar]
- Unruh, T.R.; Miliczky, E.R.; Horton, D.R.; Thomsen-Archer, K.; Rehfield-Ray, L.; Jones, V.P. Gut content analysis of arthropod predators of codling moth in Washington apple orchards. Biol. Control 2016, 102, 85–92. [Google Scholar] [CrossRef]
- Cross, J.V.; Solomon, M.G.; Babandreier, D.; Blommers, L.; Easterbrook, M.A.; Jay, C.N.; Jenser, G.; Jolly, R.L.; Kuhlmann, U.; Lilley, R.; et al. Biocontrol of Pests of Apples and Pears in Northern and Central Europe: 2. Parasitoids. Biocontrol Sci. Technol. 1999, 9, 277–314. [Google Scholar] [CrossRef]
- Lacey, L.A.; Unruh, T.R. Biological control of codling moth (Cydia pomonella, Lepidoptera: Tortricidae) and its role in integrated pest management, with emphasis on entomopathogens. Vedalia 2005, 12, 33–60. [Google Scholar]
- Mátray, S.; Herz, A. Flowering plants serve nutritional needs of Ascogaster quadridentata (Hymenoptera: Braconidae), a key parasitoid of codling moth. Biol. Control 2022, 171, 104950. [Google Scholar] [CrossRef]
- Belz, E.; Kölliker, M.; Balmer, O. Olfactory attractiveness of flowering plants to the parasitoid Microplitis mediator: Potential implications for biological control. BioControl 2013, 58, 163–173. [Google Scholar] [CrossRef]
- Rahat, S.; Gurr, G.M.; Wratten, S.D.; Mo, J.; Neeson, R. Effect of plant nectars on adult longevity of the stinkbug parasitoid, Trissolcus basalis. Int. J. Pest Manag. 2005, 51, 321–324. [Google Scholar] [CrossRef]
- Ricci, B.; Franck, P.; Bouchier, J.-C.; Casado, D.; Lavigne, C. Effects of hedgerow characteristics on intra-orchard distribution of larval codling moth. Agric. Ecosyst. Environ. 2011, 140, 395–400. [Google Scholar] [CrossRef]
- Maalouly, M.; Franck, P.; Lavigne, C. Temporal dynamics of parasitoid assemblages parasitizing the codling moth. Biol. Control 2015, 82, 31–39. [Google Scholar] [CrossRef]
- Franck, P.; Maalouly-Matar, M.; Olivares, J. Molecular Tools for the Detection and the Identification of Hymenoptera Parasitoids in Tortricid Fruit Pests. Int. J. Mol. Sci. 2017, 18, 2031. [Google Scholar] [CrossRef] [PubMed]
- Lefebvre, M.; Franck, P.; Olivares, J.; Ricard, J.-M.; Mandrin, J.-F.; Lavigne, C. Spider predation on rosy apple aphid in conventional, organic and insecticide-free orchards and its impact on aphid populations. Biol. Control 2017, 104, 57–65. [Google Scholar] [CrossRef]
- Happe, A.-K.; Roquer-Beni, L.; Bosch, J.; Alins, G.; Mody, K. Earwigs and woolly apple aphids in integrated and organic apple orchards_ responses of a generalist predator and a pest prey to local and landscape factors. Agric. Ecosyst. Environ. 2018, 268, 44–51. [Google Scholar] [CrossRef]
- Athanassov, A.; Charmillot, P.-J.; Jeanneret, P.; Renard, D. Les parasitoïdes des larves et des chrysalides de carpocapse Cydia pomonella L. Rev. Suisse De Vitic. Darboriculture Et Dhorticulture 1997, 29, 99–106. [Google Scholar]
- Martínez-Sastre, R.; Peña, R.; González-Ibáñez, A.; García, D.; Miñarro, M. Top-down and bottom-up regulation of codling moth populations in cider apple orchards. Crop Prot. 2021, 143, 105545. [Google Scholar] [CrossRef]
- Tang, G.B.; Song, B.Z.; Zhao, L.L.; Sang, X.S.; Wan, H.H.; Zhang, J.; Yao, Y.C. Repellent and attractive effects of herbs on insects in pear orchards intercropped with aromatic plants. Agrofor. Syst. 2013, 87, 273–285. [Google Scholar] [CrossRef]
- Souza, I.L.; Tomazella, V.B.; Santos, A.J.N.; Moraes, T.; Silveira, L.C.P. Parasitoids diversity in organic Sweet Pepper (Capsicum annuum) associated with Basil (Ocimum basilicum) and Marigold (Tagetes erecta). Braz. J. Biol. 2019, 79, 603–611. [Google Scholar] [CrossRef]
- Foti, M.C.; Rostás, M.; Peri, E.; Park, K.C.; Slimani, T.; Wratten, S.D.; Colazza, S. Chemical ecology meets conservation biological control: Identifying plant volatiles as predictors of floral resource suitability for an egg parasitoid of stink bugs. J. Pest Sci. 2017, 90, 299–310. [Google Scholar] [CrossRef]
- Batista, M.C.; Fonseca, M.C.M.; Teodoro, A.V.; Martins, E.F.; Pallini, A.; Venzon, M. Basil (Ocimum basilicum L.) attracts and benefits the green lacewing Ceraeochrysa cubana Hagen. Biol. Control 2017, 110, 98–106. [Google Scholar] [CrossRef]
- López, M.D.; Jordán, M.J.; Pascual-Villalobos, M.J. Toxic compounds in essential oils of coriander, caraway and basil active against stored rice pests. J. Stored Prod. Res. 2008, 44, 273–278. [Google Scholar] [CrossRef]
- Mccormick, C.A.; Gershenzon, J.; Unsicker, S.B. Little peaks with big effects: Establishing the role of minor plant volatiles in plant-insect interactions: Minor plant volatiles. Plant Cell Environ. 2014, 37, 1836–1844. [Google Scholar] [CrossRef]
- Song, B.; Tang, G.; Sang, X.; Zhang, J.; Yao, Y.; Wiggins, N. Intercropping with aromatic plants hindered the occurrence of Aphis citricola in an apple orchard system by shifting predator–prey abundances. Biocontrol Sci. Technol. 2013, 23, 381–395. [Google Scholar] [CrossRef]
- Wan, H.H.; Song, B.Z.; Tang, G.B.; Zhang, J.; Yao, Y.C. What are the effects of aromatic plants and meteorological factors on Pseudococcus comstocki and its predators in pear orchards? Agrofor. Syst. 2015, 89, 537–547. [Google Scholar] [CrossRef]
- Huang, D.; Sun, M.; Han, M.; Zhang, Z.; Miao, Y.; Zhang, J.; Yao, Y. Volatile organic compounds (VOCs) regulate the spatial distribution of Lepidoptera insects in an orchard ecosystem. Biol. Control 2020, 149, 104311. [Google Scholar] [CrossRef]
- Song, B.; Liang, Y.; Liu, S.; Zhang, L.; Tang, G.; Ma, T.; Yao, Y. Behavioral Responses of Aphis citricola (Hemiptera: Aphididae) and Its Natural Enemy Harmonia axyridis (Coleoptera: Coccinellidae) to Non-Host Plant Volatiles. Fla. Entomol. 2017, 100, 411–421. [Google Scholar] [CrossRef]
- Boetzl, F.A.; Krauss, J.; Heinze, J.; Hoffmann, H.; Juffa, J.; König, S.; Krimmer, E.; Prante, M.; Martin, E.A.; Holzschuh, A.; et al. A multitaxa assessment of the effectiveness of agri-environmental schemes for biodiversity management. Proc. Natl. Acad. Sci. USA 2021, 118, 10. [Google Scholar] [CrossRef]
Publisher’s Note: MDPI stays neutral with regard to jurisdictional claims in published maps and institutional affiliations. |
© 2022 by the authors. Licensee MDPI, Basel, Switzerland. This article is an open access article distributed under the terms and conditions of the Creative Commons Attribution (CC BY) license (https://creativecommons.org/licenses/by/4.0/).

