Simple Summary
The greater wax moth is known as one of the pests in the beekeeping sector. Nosema ceranae and Nosema apis, which are the most significant microsporidia for adult honeybees, are present in the greater wax moth grown at laboratory conditions and collected from apiaries. In this study, single N. apis and N. ceranae infection and mixed infection groups have been created for each insect to detect the colonization capability of Nosema species and the effect of microsporidial infection on survival and phenoloxidase gene expression. For this purpose, greater wax moth and honeybee experimental groups were fed with 106 single- and mixed-Nosema-spore-containing diet, and survival rates of wax moths and bees were recorded. In addition, changes in the level of expression of the phenoloxidase-related gene, which plays a significant role in invertebrates’ immune reaction, was also observed. Honeybees have some mortality rates in mixed and single Nosema infection cases, the absence of death in greater wax moth shows that the greater wax moth exhibits a resistance towards Nosema species. While the expression of phenoloxidase gene increased in honeybees, the level of phenoloxidase mRNA did not change in the greater wax moth. This shows that the infection remains stable in the wax moth, unlike honeybees.
Abstract
The study aims to prove the possibility of colonization of N. apis and N. ceranae to the intestine of the greater wax moth, detect the differences of greater wax moth based on the presence of Nosema species and examine the effect of Nosema species on the phenoloxidase level of greater wax moth compared with honeybees. Each group was fed on the 1st day of the experiment with its appropriate diet containing 106 Nosema spores per insect. Each group was checked daily, and dead insects were counted. Furthermore, changes in the level of expression of the phenoloxidase-related gene after Nosema spp. treatment on the 6th, 9th and 12th days, which was detected by Q-PCR, and the mRNA level of phenoloxidase gene were measured in all experiment groups with the CFX Connect Real-Time PCR Detection System. This study shows that Apis mellifera L. has a 66.7% mortality rate in mixed Nosema infections, a 50% mortality rate in N. ceranae infection, a 40% mortality rate in N. apis infection, while there is no death in G. mellonella. A significant difference was found in the mixed Nosema infection group compared to the single Nosema infection groups by means of A. mellifera and G. mellonella (Duncan, p < 0.05). G. mellonella histopathology also shows that Nosema spores multiply in the epithelial cells of greater wax moth without causing any death. The increase in the mRNA level of Phenoloxidase gene in A. mellifera was detected (Kruskal–Wallis, p < 0.05), while the mRNA level of the Phenoloxidase gene did not change in G. mellonella (Kruskal–Wallis, p > 0.05). These findings prove that the Nosema species can colonize into the greater wax moth, which contributes to the dissemination of these Nosema species between beehives.
1. Introduction
Galleria mellonella L. (Lepidoptera: Galleriidae), the greater wax moth, is known as one of the economic pests in the beekeeping sector, and it can spread all over the world because of its wide range of temperature resistance [1]. This insect species can reproduce simply in both laboratory and its natural environment due to its large size and diet.
This living being can colonize in hives by moving in different ecosystems, and it can transfer diseases, especially honeybee diseases. It was reported that G. mellonella could carry and distribute different saprophytic and pathogenic microorganisms [2].
Nosema species are obligate intracellular parasites that cause infections called Nosemosis, and honeybee colonies are known to infected with Nosema apis and Nosema ceranae [3]. An entire honeybee colony, which consists of the queen bee, worker bee and drone, can be infected by these species. Besides honeybees, G. mellonella carries Nosema galleriae in its intestine as a part of natural microflora [4]. There were also experiments to evaluate the lytic activity through the injection of Nosema plodiae and Nosema algerae in G. mellonella, and these studies mentioned the increase of inhibitory activity of N. plodiae and N. algerae in G. mellonella after injection of these Nosema species. [5,6]. Phenoloxidase (PO), which plays a significant role in invertebrates’ immune reaction, is being implicated in the encapsulation of foreign objects through melanization [7]. This defense reaction was observed against fungal infections in insects [8,9]. It is also known that the expression of PO-related genes alters PO activity against infection [10].
Honeybees are the most important creatures among the world, both due to the production of bee products that are crucial in many areas, as well as for maintaining biodiversity by pollination. Unfortunately, large numbers of honeybee colony losses have been observed in many parts of the world in recent years [11,12,13]. The transition of N. ceranae to Apis mellifera L., and its spread in the period when bee deaths increase, suggests that Nosemosis is the main factor in mass bee deaths [14]. The fact that Nosema species have the host-switching feature also supports the idea that it may be effective in mass bee deaths. However, assisting factors in the rapid spread of Nosema species among honeybee colonies are unknown. It is considered in the idea that other living beings such as G. mellonella, which will accelerate the spread by carrying Nosema species between the hives, are effective in this spread as assisting factors. It has already been reported that G. mellonella infests weak honeybee colonies exposed to pesticides and diseases, and it is also a threat for healthy colonies [15].
Özgör et al. [15] showed that N. ceranae and N. apis, which are the most important microsporidia for adult honeybees, are present in the greater wax moth adults and larvae grown in laboratory conditions and collected from apiaries. However, there is no research about the colonization of these two Nosema species in the intestine of wax moth and Nosema-based time-dependent comparison of wax moth.
This study aimed to prove the possibility of colonization of N. apis and N. ceranae to the intestine of the greater wax moth, detect the time-dependent differences of the greater wax moth based on the presence of Nosema species and examine the effect of Nosema species on the level of expression of the PO-related gene in the greater wax moth compared with honeybees.
2. Materials and Methods
2.1. Selection of Insects
The greater wax moth was reared at the Biotechnology Laboratory (Nicosia, Cyprus) for almost two years. The existence of Nosema species was examined experimentally in G. mellonella by using the classical Nosema detection technique of Cantwell [16], and N. ceranae, N. apis and N. galleriae-free G. mellonella late instar larvae were selected for this study. These larvae were allocated to the experimental groups and reared in an appropriate laboratory condition [1]. A temporary condition of collected newly emerged honeybees (Apis mellifera) from the sealed brood frame was adjusted by putting it in the cages, which are designed for honeybee experiments, inside the incubator at 34 °C in our laboratory and tested in terms of Nosema species by using the same technique. All insects were separated according to the designed experiment.
2.2. Preparation of Nosema Stock Solutions
N. apis and N. ceranae stock solutions were prepared by using infected honeybees, which were previously collected from hives in Cyprus. They are molecularly analyzed in terms of the presence of Nosema species, for feeding G. mellonella second instar larvae and newly emerged honeybees. N. apis and N. ceranae positive samples were detected with DNA isolation procedure and Real-time PCR amplification technique by using specific primers for Nosema species (Nosema spp. specific forward primer ITS-F 5′-TGAATGTGTCCCTGTTCTTTGTAC-3′, N. apis specific reverse primer N.apisITS-R 5′-TAATTATAATCTCCTTGGTCCGTG-3′ and N. ceranae specific reverse primer NcerITS-R TAAATATAATCTCCTGGTCGGTT) through the modification of the protocol of Bourgeois et al. [17]. Honeybee samples, which are known to carry N. apis and N. ceranae and stocked at −20 °C for 4 months, were used to obtain feeding stock solution. Thirty honeybees for each Nosema species were homogenized separately with 30 mL of distilled water, filtered and centrifuged at 6000 rpm for 10 min to obtain infective spores. After centrifugation, the supernatant was discarded and the pellet used for counting N. apis and N. ceranae spores morphologically on a light microscope with a Neubauer slide. After counting, stock solutions were prepared separately for both Nosema species as 106 spores in 100 µL. Stock solutions that were prepared separately for N. apis and N. ceranae were used to infect insects immediately after processing.
2.3. Experimental Infection of G. mellonella and A. mellifera with Nosema spp.
In order to test the infection capability of Nosema species in the greater wax moth and to investigate the effect of Nosema infection on survival and PO gene expression, four experimental groups were established for each insect species (G. mellonella and A. mellifera) separately: a group infected with N. apis, a group infected with N. ceranae, a group infected with mixed Nosema species and a control group. The number of individuals in each insect group was determined as 30. All experimental groups were infected simultaneously, using the same batch of Nosema stock solutions.
Thirty G. mellonella second instar larvae were allocated for each group. The appropriate diet of G. mellonella discovered by Chertkova et al. [18] was prepared and the size adjusted to be consumed within 24 h. Each piece of diet was mixed with 100 µL Nosema stock solution (106 Nosema spores per insect), and it was fed to each G. mellonella larva after 24 h of hunger. Experimental wax moth groups were kept in a separate incubator at 27 °C throughout the experiment. Thirty newly emerged worker bees were separated for each group. Each worker bee was fed with 10 µL of a 1:1 ratio of sugar solution diet containing 106 Nosema spores on the 1st day of the experiment. Honeybees were anesthetized with CO2 to give the full dose to each honeybee. Starved bees were fed a diet containing Nosema spores from their mouth with the help of a micropipette until the full dose was consumed [19]. Experimental honeybee groups were kept in a separate incubator at 34 °C throughout the experiment.
Besides, N. apis and N. ceranae were added to the diet separately, the combination of these two Nosema species (mixed infection: 0.5 × 106 N. apis spores + 0.5 × 106 N. ceranae spores. A total load of Nosema spores is 106 per insect, the same as individual infections) was also treated on one group to investigate the synergistic effect of Nosema species. Control groups were fed with a Nosema-free diet. In the following days, groups continued to be fed with their Nosema-free diets. Each group was checked daily, and dead insects removed and counted. Intestines of dead bees and wax moth larvae were individually checked to verify the presence of Nosema spores under microscope. Intestines of bees and wax moth larvae were used to check the infection of Nosema. Level of infection was determined 6, 9 and 12 days post-infection on thirty moths and bees per sample for each experimental group (n = 120 moths and 120 bees) by using the spore count method. The spore count was carried out as in the Nosema spore counting method described in the preparation of the Nosema stock solution. This experiment was repeated three times.
The Nosema infection status was also evaluated with the histopathology of Galleria mellonella larvae. The 12th-day larvae after the experimental Nosema exposure were used for histopathology. Intestines of frozen larvae were kept in 70%, 80%, 90% and 100% ethanol and xylol series for 1 h for fixation and dehydration. Samples were suspended in paraffin wax for 1 h to complete wax embedding. Samples were cut into 5 μm sections using a microtome and deparaffination done in the incubator for 30 min. Sections were stained with Hematoxylin-Eosin and the samples were examined with a light microscope (Leica D0M 4B) [20].
A separate set of experiments was set up to measure the level of expression of the phenoloxidase-related gene, which determines the effect of N. apis and N. ceranae on the immune system. Fifteen insects were used for each group. A solution of 106 spores per 10 µL was prepared for each insect’s diet, and the 1st-day feedings of the experimental groups were done as applied to the other groups mentioned above. Considering that the infection cycle of N. apis and N. ceranae takes a minimum of 96 h from the initial infection of the host cell until new spores are produced [21], for analysis of changes in the level of expression of the PO-related gene after Nosema spp. treatment, on the 6th, 9th and 12th days, 5 bees and wax moth larvae from each group were taken and stored at −80 °C after the intestines were obtained by dissection. The study was repeated three times to test the accuracy of the results obtained.
2.4. Determination of the mRNA Level of the Phenoloxidase (PO) Gene
Each sample, stored at −80 °C on the 6th, 9th and 12th days after experimental exposure, was used in molecular studies determined by Antúnez et al. [22] for detection of the level of expression of the PO-related gene. The intestine of each stored sample was placed in microcentrifuge tubes with sterile TBS buffer (150 mM NaCl, 50 mM Tris.Cl pH 7.5). The sample was ground in the TBS buffer with a disposable micro-pestle until the intestine was well homogenized into the buffer. Total RNA was isolated from each homogenized sample with the RNA Extraction Kit (Qiagen, Hilden, Germany) by following the manufacturer’s instructions, and then the samples were treated with DNase to remove all DNA from the homogenate. The RNA yield was checked by NanoDrop™ 2000c Spectrophotometer (ThermoFisher, Waltham, MA, USA). All extracted RNA was used to generate the first-strand cDNA by using a M-MLV 1st-strand cDNA synthesis kit (ThermoFisher, Waltham, MA, USA). For each sample, 0.5 ng template RNA and 1 µL primer was used for RT reaction with the final volume of 12 µL [22].
The level of expression of the PO-related gene was detected with Real-time quantitative PCR by using specific primers for Phenol oxidase; PO-F 5′-AATCCATTACCTGAAATTGATGCTTAT-3′, PO-R 5′-TAATCTTCCAACTAATTCATACGCTCTT-3′ were selected for A. mellifera; phenoloxidase subunit 1 (LOC113517945), mRNA (NCBI Reference Sequence: XM_026902688.2, 3069 bp) was selected for G. mellonella [23,24]. For this analysis, Biospeedy qPCR 2× Master Mix (Bioeksen, Istanbul, Turkey) was selected. Twenty µL final-volume Reaction sample contains 5 µL of 1:10 diluted cDNA, 10 µL of 2× SYBR Green and 0.5 µM of each primer.
Molecular analysis was carried out using a CFX Connect Real-Time PCR Detection System (BioRad, Hercules, CA, USA), and the cycling program of PCR designed to have an initial step at 95 °C for 10 min, elongation step at 95 °C for 10 s (40 cycles) and termination steps at 60 °C for 20 s and 72 °C for 40 s. The specificity of the reaction was checked by analyzing the melting curve, which was obtained through continuous reading over increasing temperatures from 70 °C to 95 °C. The mRNA level of the PO gene was measured in all experiment groups, treated with single and mixed Nosema species and in the control group. The level of expression of the PO-related gene was determined by using the mean Ct of β-actin as a reference gene [22,25].
2.5. Statistical Analysis
The quantitative data from experimental infection analysis were used to compare the colonization and mortality rates between parameters using One-way ANOVA (p < 0.05) with a post hoc test (Duncan test). Data on survival were also analyzed with the Kaplan–Meier method, comparing estimated survival functions. Survival curves were compared with a log-rank test (Mantel–Cox). The mean threshold cycle number (Ct) obtained from molecular studies was used in the statistical analyses (Kruskal–Wallis, p < 0.05) to determine the detection of the level of expression of the PO-related gene. For this detection, each PO Ct value from Real-time PCR normalized with the mean Ct value of the actin.
3. Results
3.1. Effect of Nosema Infections on Moth and Bee Survival
If we look at the results of both single and mixed Nosema infection experiments, no mortality was detected in all experimental groups of G. mellonella during the experimental period. N. apis and N. ceranae have not been found to have a lethal effect on G. mellonella.
Cumulative mortality increased over time in all experimental groups but remained lower in the control groups (~10% mortality rate) in A. mellifera. A statistically significant difference was found between the experimental groups (One-way ANOVA, p < 0.05). All three experimental groups exhibited significantly higher mortality rates than the control group. Although single Nosema-infected bee mortality was not statistically different (mortality rates: 40% for N. apis, 50% for N. ceranae; p > 0.05), mixed Nosema infection (N. apis and N. ceranae) was found to have a significant difference compared to other groups with the highest mortality rate (66.7% mortality rate; Duncan, p < 0.05). In the 12-day experimental infection, when the mortality comparison was compared between the experimental groups, the cumulative mortality increased at the same rates in all groups except the control group. Although the increase in cumulative mortality is seen to be a significant difference between days, especially six days post-infection, daily deaths were observed at the same rates in all groups (One-way ANOVA, p < 0.05).
Bees inoculated with single and mixed Nosema spores had significantly lower survivorship rates than control bees (Log-rank test, χ2 = 20.214, p < 0.01; Figure 1). When the single infections with N. apis and N. ceranae were evaluated, there was no significant difference between the survival rates (χ2 = 0.693, p > 0.01), whereas, in the case of mixed Nosema infection, the survival rate was found to be significantly reduced in honeybees compared to single Nosema infections (χ2 = 6.285, p < 0.01). These results demonstrate that mixed Nosema infection is more pathogenic to honeybees than single Nosema infection and can impact the population growth of colonies.
Figure 1.
Cumulative survival of newly emerged worker honeybees inoculated with 106 Nosema spores/bee (single and mixed infection) or not inoculated (control group). Survival functions were estimated with the Kaplan–Meier method.
3.2. Infection Capability of Nosema Species to Moth and Bee
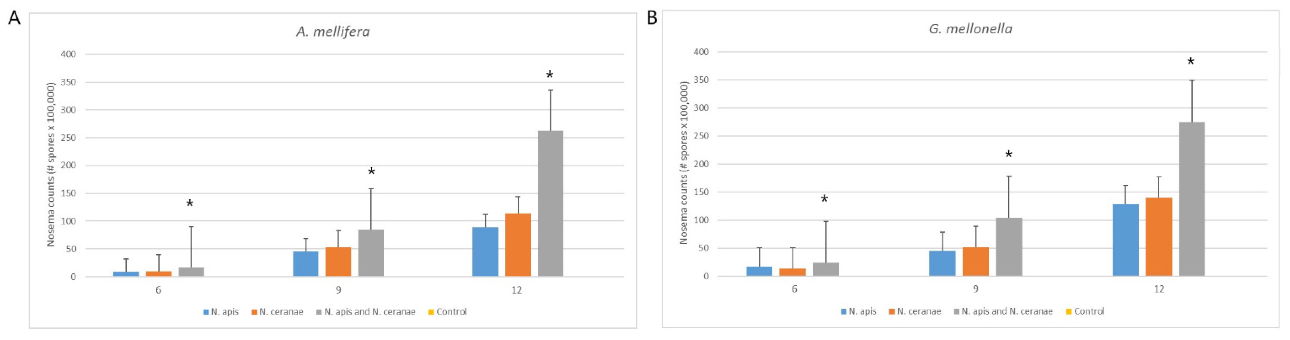
The infection status of N. apis and N. ceranae spores and colonization of these spores into G. mellonella and A. mellifera were evaluated as a result of the ingestion to the digestive system by diet (Figure 2). The existence of Nosema spores was not detected in the control groups of G. mellonella and A. mellifera. However, the level of Nosema infection (spore load) was significantly different between groups infected with mixed Nosema infection (N. apis and N. ceranae) and groups infected with single Nosema species in both bees and wax moth larvae (Duncan, p < 0.05). Although the infection of N. ceranae spores was lower compared to N. apis in both insect species, there was no statistically significant difference between these two groups (Duncan, p > 0.05) (Figure 3).
Figure 2.
Microscopic images of Nosema spores in the intestine of Apis mellifera worker bees (A) and Galleria mellonella larvae (B). 12 days after mixed Nosema exposure. Figure scales are 5 μm.
Figure 3.
Level of Nosema infection (spore load) in A. mellifera (A) and G. mellonella (B) fed with single and mixed Nosema spp. (N. apis and N. ceranae) compared with the control group. Level of infection was determined 6, 9 and 12 days post-infection on thirty moths and bees per sample for each experimental group (n = 120 moths and 120 bees). Data show mean ± SE. Asterisks indicate values significantly different within the groups (Duncan, p < 0.05).
Infection capability of Nosema species was determined on the 6th, 9th and 12th days after infection in both A. mellifera and G. mellonella experimental groups. A significant difference was found between the infection capabilities determined depending on the days in all experimental groups of A. mellifera and G. mellonella except the control group (One-way ANOVA, F = 9.966, p < 0.05; F = 11.876, p < 0.05 respectively). Interestingly, at twelve days post-infection, all infected groups had a significantly higher number of spores than six and nine days post-infection because of the slight activation of spores (Figure 3).
In addition to the single and mixed infectious states of Nosema species, infection capabilities between A. mellifera and G. mellonella were also statistically compared. It was found that there was no significant difference between A. mellifera and G. mellonella in terms of Nosema spore counts in all experimental groups in the six, nine and twelve days post-infection (One-way ANOVA, F = 2.247, p = 0.148; F = 0.087, p = 0.771; F = 0.225, p = 0.640 respectively).
The histopathology result of Galleria mellonella larvae also showed the Nosema spore germination and multiplication inside the epithelial cells of the midgut (Figure 4).
Figure 4.
Histological image of the midgut of the greater wax moth larvae. Cylindrical epithelial cells with microvilli (asterisks) infected with 106 Nosema spores (infection with mixed Nosema spores (N. apis and N. ceranae), 12 days post-infection). Among the epithelial cells, goblet cells with a normal structure are also seen. There are also mature Nosema spores (arrows) in the lumen. Hematoxylin-eosin staining.
3.3. Effect of Nosema Infections on the Level of Expression of the PO-related Gene in Moth and Bee
The mRNA expression level of the PO gene was determined 6, 9 and 12 days after experimental infection. PO-specific amplification was confirmed for the primers of PO in the melting curve analysis and through the Tm values. mRNA levels of PO increased significantly at the mixed infection of N. apis and N. ceranae in A. mellifera compared to control or single-Nosema-infected bees on the 6th day post-infection (Kruskal–Wallis, p < 0.05; Figure 5A). Besides, the expression of this gene increased in all Nosema infection groups compared to the control group at 9 and 12 days post-infection (Kruskal–Wallis, p > 0.05; Figure 5B,C). In G. mellonella, there was no increase in mRNA levels of PO in both single and mixed N. apis and N. ceranae infection groups compared to the control group at 6, 9 and 12 days post-infection, and no statistical difference was found among all experimental groups (Kruskal–Wallis, p > 0.05; Figure 5D–F). No decrease was observed in any infection in both A. mellifera and G. mellonella compared to the control group.
Figure 5.
Effect of time-dependent N. apis and N. ceranae infection on the expression of Phenoloxidase-related gene in A. mellifera at 6, 9 and 12 days post-infection (A–C), respectively) and G. mellonella at 6, 9 and 12 days post-infections (D–F), respectively) (box plots graphics). Asterisks indicate statistically significant differences (Kruskal–Wallis, p < 0.05).
4. Discussion
Most Nosema species have a wide range of potential hosts from Lepidoptera to Hymenoptera [26]. Some insects may be their natural hosts, while they may show parasitic effects on others. This shows that most Nosema species do not show host specificity and have the host-switching feature. In addition to N. apis, which has existed in European honeybees (Apis mellifera) for many years, N. ceranae, which has been seen in Eastern honeybees (Apis cerana) in recent years, has switched its host. Massive bee deaths in A. mellifera colonies are thought to have become widespread since 2006 due to N. ceranae [14,27]. It is considered that different pests which interact with bees, as well as physical factors, may be effective in the spread of N. ceranae in A. mellifera by carrying this microsporidian.
In the experimental infection, it was determined that there was no death in the greater wax moth during the experiment. All G. mellonella experimental groups, which were fed with N. apis and N. ceranae species, have parasitic effects on honeybees in their natural environment and continued to live at the end of the experiment. It is thought that infection with Nosema species does not cause a fatal effect on G. mellonella since there are Nosema species detected in G. mellonella, and no death was found before in the experimental studies done. No death was observed after an experimental infection of G. mellonella with Nosema pyrausta in the study conducted by Tokarev et al. [28]. Hence, it was hypothesized that G. mellonella is a resistant model host for Nosema species. The results obtained in our study fully support this hypothesis.
Our results indicate that single and mixed Nosema infections increase the mortality and reduce the survivorship in A. mellifera (Figure 1). The cumulative mortality caused by N. ceranae was not significantly higher than the mortality induced by N. apis. The effects of single Nosema infections on survival rates were also almost the same. Similarly, Forsgren and Fries [3] found that Nosema species showed similar virulence by comparing the effect of N. apis and N. ceranae on bee mortality. In contrast, Martín-Hernández et al. [29] indicated that N. ceranae had a high virulence and increased mortality compared to N. apis in the experimental infection studies related to energy stress. Furthermore, Paxton et al. [14] have shown that N. ceranae induced significantly higher mortality than N. apis in their cage experiments with honeybees. This study obtained different results according to our study, in which we conducted similar studies with the Nosema dose (106) and the cage experiment. This suggests that the effect of Nosema species on the regional diversity and subspecies of the European honeybee can vary, or the defense system in the immune system of honeybees has started to strengthen because N. ceranae has long been in European honeybees. Besides, the fact that the mixed Nosema infection caused a significant increase in bee mortality compared to single Nosema infection shows that the mortality rate increased in the case of co-infection in European honeybees, which has been frequently encountered in recent years. In the study of Williams and colleagues [30], honeybee mortality was significantly higher with N. ceranae than N. apis or mixed infections, and mixed infection resulted in mortality similar to N. apis because of interspecific competition. In our study, the significant increase in bee mortality in mixed infection compared to single Nosema infection can be explained by the fact that N. ceranae naturally increases the co-infection with N. apis and increases bee deaths by decreasing intra-host competition.
These are the first data on experimental infection of the greater wax moth with the microsporidia N. apis and N. ceranae; besides, the infectivity of Nosema species to A. mellifera was previously mentioned [14,29,31]. Our results show that these Nosema species develop well in both G. mellonella and A. mellifera and that their infectivity starts within 6 days by completing their intracellular life cycle (Figure 2). Nosema spp. were not detected in the control group among the greater wax moth experimental infection groups, and a significant difference was found in the mixed Nosema infection group compared to the single Nosema infection groups in all evaluated days (Figure 3). The absence of a difference between N. apis and N. ceranae individual experimental groups indicates that these Nosema species have approximately similar sporulation properties in the digestive system of G. mellonella. Injection assays related to Nosema species showed that Nosema spp. appear to have either a consistent level of infection or no infection in the greater wax moth. In this context, it has been shown that there is no death in greater wax moth larvae treated with Nosema pyrausta [28], Nosema furnacalis [32] and Nosema bombycis [33]; they have high resistance to these species and can carry these species in their midgut with consistent levels. In this study, a consistent increase in the level of infection in all groups without mortality was documented, and similar results were obtained. On the other hand, Malysh et al. [34] demonstrated that N. ceranae isolated from A. mellifera infects the beet webworm Loxostege sticticalis L., another lepidopteran host, without any damage both in laboratory conditions and the natural environment. However, the results of this study of Preston et al. [35] showed that Nosema maddoxi is widely distributed throughout a non-lepidopteran host, Halyomorpha halys (Hemiptera: Pentatomidae) populations in the USA, and impact H. halys population dynamics. This is further proof that the species in the order Lepidoptera, including the greater wax moth, have high resistance to Nosema species in all conditions.
Experimental infection of A. mellifera gave similar results to the results of G. mellonella (Figure 3). The Nosema spore counts in A. mellifera were significantly higher in mixed Nosema infection than in single Nosema infections, while there was no Nosema infection in the control group. Milbrath et al. [36] found that A. mellifera with mixed infections of both N. apis and N. ceranae has higher spore loads than single infections, and N. ceranae does not have a strong within-host advantage for spore growth and infectivity compared with N. apis. This study showed very similar results to our study, revealing that N. ceranae does not have a more dominant infective feature than N. apis. Besides, similar results were obtained in both honeybees and greater wax moths in terms of infectivity, but the absence of death in the moth, unlike the bees, confirms that the greater wax moth is a resistant living being against Nosema species. Moreover, Gisder et al. [37] demonstrated that there is no infection and production of Nosema spores in bumblebees (Bombus terrestris) ingested with N. ceranae spores. This situation shows us that Nosema infection will not develop in all species under the order Hymenoptera, and it can be seen in certain species, which is common in species under the genus Apis.
This study further examined the effects of 106 Nosema spores (infection with mixed Nosema spores, 12 days post-infection) on G. mellonella larvae using wax (Hematoxylin-eosin) histology (Figure 4). Nosema-infected epithelial cells with different intracellular parasite stages are clearly seen in this wax section. Moreover, it has been determined that mature Nosema spores are found in bulk in certain parts of the lumen. This is one of the pieces of evidence that Nosema spores can infect the greater wax moth and do not cause any death in the greater wax moth while multiplying inside the epithelial cells.
Phenoloxidase (PO) is an increased enzyme against pathogens such as bacteria, fungi and parasites in both A. mellifera and G. mellonella [10,22]. Although PO is just one of the factors related to immunity, it contributes to the antibacterial properties of honeybee hemolymph [38]. After the treatment with the pathogen, the mRNA expression level of the Phenoloxidase gene was measured periodically, and the possible state of the immune system against the pathogen was evaluated (Figure 5). In this study, the significant increase in the mRNA level of PO in the mixed Nosema infection on the 6th day, and in all infection groups except the control group after the 9th day, shows that N. apis and N. ceranae in the honeybees stimulate the immune system by causing a pathogenic effect. Antúnez et al. [22] showed that 7 days post-infection with N. apis induced higher mRNA expression of the PO gene than N. ceranae in A. mellifera. However, Alaux et al. [39] found that PO activity was neither up- nor down-regulated by the Nosema challenge at days 5 and 10. They emphasized that the lack of immune response might be explained by deficient immunoregulatory activation or inactivation of spores in this study. The results of these studies are compatible with our results and that Nosema infection in bees provided activation of the expression of PO-related gene. Also, it was found for the first time that mixed Nosema infection in honeybees increased the PO gene level compared to single Nosema infection in this study.
The PO level normally increases in the presence of infections in the activation of the immune system in the greater wax moth as in other insect species. The absence of a significant difference in the mRNA level of PO in all Nosema experimental groups compared to the control group indicates that N. apis and N ceranae did not activate the expression of the PO-related gene in the greater wax moth. Although Nosema spore count increases timely in the greater wax moth in the Nosema experimental infection as in honeybees, the absence of death in moth during the experiment strongly supports that N. apis and N. ceranae are not perceived as pathogens by the immune system of G. mellonella and colonized into this living being. However, in some cases, there are also studies with pathogens such as Xenorhabdus nematophilus [40] and Aspergillus oryzae [41], which reduce the level of PO by immunosuppression. Contrary to this study, the fact that there was no change in PO level in our study, as well as no death, indicates that N. apis and N. ceranae are not pathogens for the greater wax moth.
5. Conclusions
The single and mixed virulence effect of Nosema species may vary depending on the host species and environmental conditions. A. mellifera has some mortality rates in mixed and single Nosema infection cases, while the absence of death in G. mellonella shows that the greater wax moth has a resistant structure against Nosema species. However, the fact that all infection groups of N. apis and N. ceranae species did not show a significant difference between A. mellifera and G. mellonella demonstrates that these two species could be colonized without causing death of the greater wax moth. Despite the increase in the mRNA level of PO in A. mellifera, the immune system in G. mellonella remained inactive, and the mRNA level of the PO did not change. This proves that the infection remains stable in this organism, and N. apis and N. ceranae can colonize into the midgut of the greater wax moth like N. galleriae. This study also shows that G. mellonella, which is one of the natural pests of honeybees, carries N. apis and N. ceranae species between hives without any symptoms and increases its spread.
Funding
This research received no external funding.
Institutional Review Board Statement
Not applicable.
Data Availability Statement
Not applicable.
Acknowledgments
This research is supported by Cyprus International University, Cyprus Bee and Bee Products Research Centre.
Conflicts of Interest
The author declares no conflict of interest.
References
- Ellis, J.D.; Graham, J.R.; Mortensen, A. Standard methods for wax moth research. J. Apic. Res. 2013, 52, 1–17. [Google Scholar] [CrossRef]
- Tsai, C.J.-Y.; Loh, J.M.S.; Proft, T. Galleria mellonella infection models for the study of bacterial diseases and for antimicrobial drug testing. Virulence 2016, 7, 214–229. [Google Scholar] [CrossRef] [PubMed]
- Forsgren, E.; Fries, I. Comparative virulence of Nosema ceranae and Nosema apis in individual European honey bees. Vet. Parasitol. 2010, 170, 212–217. [Google Scholar] [CrossRef] [PubMed]
- Lipa, J.J. Microsporidian infections of Galleria mellonella (L.) (Lepidoptera, Galleriidae) with the description of a new species Nosema galleriae n.sp. Acta Protozool. 1977, 16, 141–150. [Google Scholar]
- Kučera, M.; Weiser, J. Lactate dehydrogenase isoenzymes in the larvae of Barathra brassicae and Galleria mellonella during microsporidian infection. J. Invertebr. Pathol. 1975, 25, 109–114. [Google Scholar] [CrossRef]
- Kučera, M.; Weiser, J. Different course of proteolytic inhibitory activity and proteolytic activity in Galleria mellonella larvae infected by Nosema algerae and Vairimorpha heterosporum. J. Invertebr. Pathol. 1985, 45, 41–46. [Google Scholar] [CrossRef]
- Decker, H.; Jaenicke, E. Recent findings on Phenoloxidase activity and antimicrobial activity of hemocyanins. Dev. Comp. Immunol. 2004, 28, 673–687. [Google Scholar] [CrossRef]
- Charnley, K. Physiological aspects of destructive pathogenesis in insects by fungi: A speculative review. In Invertebrate-Microbial Interactions, 2nd ed.; Anderson, J.M., Raymer, A.D.M., Walton, D.W.H., Eds.; Cambridge University Press: London, UK, 1984; pp. 229–270. [Google Scholar]
- González-Santoyo, I.; Córdoba-Aguilar, A. Phenoloxidase: A key component of the insect immune system. Entomol. Exp. Appl. 2012, 142, 1–16. [Google Scholar] [CrossRef]
- Zdybicka-Barabas, A.; Mak, P.; Jakubowicz, T.; Cytryńska, M. Lysozyme and defense peptides as suppressors of phenoloxidase activity in Galleria mellonella. Arch. Insect Biochem. 2014, 87, 1–12. [Google Scholar] [CrossRef]
- Brodschneider, R.; Moosbeckhofer, R.; Crailsheim, K. Surveys as a tool to record winter losses of honey bee colonies: A 2-year case study in Austria and South Tyrol, Tyrol. J. Apic. Res. 2010, 49, 23–30. [Google Scholar] [CrossRef]
- Neumann, P.; Carreck, N.L. Honey bee colony losses. J. Apic. Res. 2010, 49, 1–6. [Google Scholar] [CrossRef]
- Van der Zee, R.; Pisa, L.; Andonov, S.; Brodschneider, R.; Charrière, J.-D.; Chlebo, R.; Coffey, M.F.; Crailsheim, K.; Dahle, D.; Gajda, A.; et al. Managed honey bee colony losses in Canada, China, Europe, Israel and Turkey, for the winters of 2008-9 and 2009-10. J. Apic. Res. 2012, 51, 100–114. [Google Scholar] [CrossRef]
- Paxton, R.J.; Klee, J.; Korpela, S.; Fries, I. Nosema ceranae has infected Apis mellifera in Europe since at least 1998 and may be more virulent than Nosema apis. Apidologie 2007, 38, 558–565. [Google Scholar] [CrossRef]
- Özgör, E.; Celebier, I.; Ulusoy, M.; Keskin, N. First detection of Nosema ceranae and Nosema apis in greater wax moth Galleria mellonella. J. Apic. Sci. 2017, 61, 185–192. [Google Scholar]
- Cantwell, G.E. Standard methods for counting Nosema spores. Am. Bee J. 1970, 110, 222–223. [Google Scholar]
- Bourgeois, A.L.; Rinderer, T.E.; Beaman, L.D.; Danka, R.G. Genetic detection and quantification Nosema apis and N. ceranae in the honey bee. J. Invertebr. Pathol. 2010, 103, 53–58. [Google Scholar] [CrossRef]
- Chertkova, E.A.; Grizanova, E.V.; Dubovskiy, E.V. Bacterial and fungal infections induce bursts of dopamine in the haemolymph of the Colorado potato beetle Leptinotarsa decemlineata and greater wax moth Galleria mellonella. J. Invertebr. Pathol. 2018, 153, 203–206. [Google Scholar] [CrossRef]
- Higes, M.; García-Palencia, P.; Martín-Hernández, R.; Meana, A. Experimental infection of Apis mellifera honeybees with Nosema ceranae (Microsporidia). J. Invertebr. Pathol. 2007, 94, 211–217. [Google Scholar] [CrossRef]
- Emery, H.; Johnston, R.; Rowley, A.F.; Coates, C.J. Indomethacin-induced gut damage in a surrogate insect model, Galleria mellonella. Arch. Toxicol. 2019, 93, 2347–2360. [Google Scholar] [CrossRef]
- Goblirsch, M. Nosema ceranae disease of the honey bee (Apis mellifera). Apidologie 2018, 49, 131–150. [Google Scholar] [CrossRef]
- Antúnez, K.; Martin-Hernandez, R.; Prieto, L.; Meana, A.; Zunino, P.; Higes, M. Immune suppression in the honey bee (Apis mellifera) following infection by Nosema ceranae (Microsporidia). Environ. Microbiol. 2009, 11, 2284–2290. [Google Scholar] [CrossRef] [PubMed]
- Li, D.; Scherfer, C.; Korayem, A.M.; Zhao, Z.; Schmidt, O.; Theopold, U. Insect hemolymph clotting: Evidence for interaction between the coagulation system and the prophenoloxidase activating cascade. Insect Biochem. Mol. Biol. 2002, 32, 919–928. [Google Scholar] [CrossRef]
- Yang, X.; Cox-Foster, D.L. Impact of an ectoparasite on the immunity and pathology of an invertebrate: Evidence for host immunosuppression and viral amplification. Proc. Natl. Acad. Sci. USA 2005, 21, 7470–7475. [Google Scholar] [CrossRef] [PubMed]
- Mowlds, P.; Barron, A.; Kavanagh, K. Physical stress primes the immune response of Galleria mellonella larvae to infection by Candida albicans. Microb. Infect. 2008, 10, 628–634. [Google Scholar] [CrossRef] [PubMed]
- Weiss, L.M.; Becnel, J.J. Microsporidia: Pathogens of Opportunity, 1st ed.; Wiley-Blackwell: Hoboken, NJ, USA, 2014. [Google Scholar] [CrossRef]
- Klee, J.; Besana, A.M.; Genersch, E.; Gisder, S.; Nanetti, A.; Tam, D.Q.; Chinh, T.X.; Puerta, F.; Ruzi, J.M.; Kryger, P.; et al. Widespread dispersal of the microsporidian Nosema ceranae, an emergent pathogen of the western honey bee, Apis mellifera. J. Invertebr. Pathol. 2007, 96, 1–10. [Google Scholar] [CrossRef] [PubMed]
- Tokarev, Y.S.; Grizanova, E.V.; Ignatieva, A.N.; Dubovskiy, I.M. Greater wax moth Galleria mellonella (Lepidoptera: Pyralidae) as a resistant model host for Nosema pyrausta (Microsporidia: Nosematidae). J. Invertebr. Pathol. 2018, 157, 1–3. [Google Scholar] [CrossRef] [PubMed]
- Martín-Hernández, R.; Botías, C.; Barrios, L.; Martínez-Salvador, A.; Meana, A.; Mayack, C.; Higes, M. Comparison of the energetic stress associated with experimental Nosema ceranae and Nosema apis infection of honeybees (Apis mellifera). Parasitol. Res. 2011, 109, 605–612. [Google Scholar] [CrossRef]
- Williams, G.R.; Shutler, D.; Burgher-MacLellan, K.L.; Rogers, R.E.L. Infra-population and -community dynamics of the parasites Nosema apis and Nosema ceranae, and consequences for honey bee (Apis mellifera) hosts. PLoS ONE 2014, 9, e99456. [Google Scholar] [CrossRef]
- Fries, I. Nosema ceranae in European honey bees (Apis mellifera). J. Invertebr. Pathol. 2010, 103, 73–79. [Google Scholar] [CrossRef]
- Kurtti, T.J.; Ross, S.E.; Liu, Y.; Munderloh, U.G. In vitro developmental biology and spore production in Nosema furnacalis (Microspora: Nosematidae). J. Invertebr. Pathol. 1994, 63, 188–196. [Google Scholar] [CrossRef]
- Ishihara, R. The life cycle of Nosema bombycis as revealed in tissue culture cells of Bombyx mori. J. Invertebr. Pathol. 1969, 14, 316–320. [Google Scholar] [CrossRef]
- Malysh, J.M.; Ignatieva, A.N.; Artokhin, K.S.; Frolov, A.N.; Tokarev, Y.S. Natural infection of the beet webworm Loxostege sticticalis L. (Lepidoptera: Crambidae) with three Microsporidia and host switching in Nosema ceranae. Parasitol. Res. 2018, 117, 3039–3044. [Google Scholar] [CrossRef] [PubMed]
- Preston, C.E.; Agnello, A.M.; Hajek, A.E. Nosema maddoxi (Microsporidia: Nosematidae) in brown marmorated stink bug, Halyomorpha halys (Hemiptera: Pentatomidae), populations in the United States. Biol. Control 2020, 144, 104213. [Google Scholar] [CrossRef]
- Milbrath, M.O.; van Tran, T.; Huang, W.-F.; Solter, L.F.; Tarpy, D.R.; Lawrence, F.; Huang, Z.Y. Comparative virulence and competition between Nosema apis and Nosema ceranae in honey bees (Apis mellifera). J. Invertebr. Pathol. 2015, 125, 9–15. [Google Scholar] [CrossRef]
- Gisder, S.; Horchler, L.; Pieper, F.; Schüler, V.; Šima, P.; Genersch, E. Rapid gastrointestinal passage may protect Bombus terrestris from becoming a true host for Nosema ceranae. Appl. Environ. Microbiol. 2020, 86, e00629-20. [Google Scholar] [CrossRef]
- Wilson-Rich, N.; Spivak, M.; Fefferman, N.H.; Starks, P.T. Genetic, individual, and group facilitation of disease resistance in insect societies. Annu. Rev. Entomol. 2009, 54, 405–423. [Google Scholar] [CrossRef]
- Alaux, C.; Brunet, J.-L.; Dussaubat, C.; Mondet, F.; Tchamitchan, S.; Cousin, M.; Brillard, J.; Baldy, A.; Belzunces, L.P.; Conte, Y.L. Interactions between Nosema microspores and a neonicotinoid weaken honeybees (Apis mellifera). Environ. Microbiol. 2010, 12, 774–782. [Google Scholar] [CrossRef]
- Dunphy, G.; Halwani, A. Haemolymph proteins of larvae of Galleria mellonella detoxify endotoxins of the insect pathogenic bacteria Xenorhabdus nematophilus (Enterobacteriaceae). J. Insect Physiol. 1997, 43, 1023–1029. [Google Scholar] [CrossRef]
- Zdybicka-Barabas, A.; Cytryńska, M. Phenoloxidase activity in hemolymph of Galleria mellonella larvae challenged with Aspergillus oryzae. Ann. UMCS Biol. 2010, 65, 49–57. [Google Scholar] [CrossRef][Green Version]
Publisher’s Note: MDPI stays neutral with regard to jurisdictional claims in published maps and institutional affiliations. |
© 2021 by the author. Licensee MDPI, Basel, Switzerland. This article is an open access article distributed under the terms and conditions of the Creative Commons Attribution (CC BY) license (https://creativecommons.org/licenses/by/4.0/).




