Allium sativum, Rosmarinus officinalis, and Salvia officinalis Essential Oils: A Spiced Shield against Blowflies
Abstract
1. Introduction
2. Materials and Methods
2.1. Insects
2.2. Essential Oils GC-MS Analysis
2.3. Electroantennography (EAG)
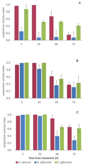
2.4. Oviposition Deterrence
2.5. Ovicidal Bioassay
2.6. Adulticidal Bioassays
2.7. Antimicrobial Assays
2.8. EO-Charged Mist Assay
2.9. Statistics and Data Analyses
3. Results
3.1. Chemical Composition of the EOs
3.2. Electroantennography (EAG)
3.3. Oviposition Deterrence
3.4. Ovicidal Bioassays
3.5. Adulticidal Bioassays
3.6. Antimicrobial Activity
3.7. EO-Charged Mist Assay
4. Discussion
5. Conclusions
Supplementary Materials
Author Contributions
Funding
Acknowledgments
Conflicts of Interest
References
- Pava-Ripoll, M.; Pearson, R.E.G.; Miller, A.K.; Ziobro, G.C. Prevalence and relative risk of Cronobacter spp., Salmonella spp., and Listeria monocytogenes associated with the body surfaces and guts of individual filth flies. Appl. Environ. Microbiol. 2012, 78, 7891–7902. [Google Scholar] [CrossRef]
- Greenberg, B. Flies and Disease. Vol. I. Ecology, Classification and Biotic Associations; Princeton University Press: Princeton, NJ, USA, 1971. [Google Scholar]
- Graczyk, T.K.; Knight, R.; Gilman, R.H.; Cranfield, M.R. The role of non-biting flies in the epidemiology of human infectious diseases. Microbes Infect. 2001, 3, 231–235. [Google Scholar] [CrossRef]
- Hall, M.J.; Smith, K.G. Diptera causing myiasis in man. In Medical Insects and Arachnids; Springer: Dordrecht, The Netherlands, 1993; pp. 429–469. [Google Scholar]
- Francesconi, F.; Lupi, O. Myiasis. Clin. Microbiol. Rev. 2012, 25, 79–105. [Google Scholar] [CrossRef]
- Paczkowski, S.; Maibaum, F.; Paczkowska, M.; Schütz, S. Decaying Mouse Volatiles Perceived by Calliphora vicina Rob.-Desv. J. Forensic Sci. 2012, 57, 1497–1506. [Google Scholar] [CrossRef]
- Deonier, C.C. Carcass temperatures and their relation to winter blowfly populations and activity in the Southwest. J. Econ. Entomol. 1940, 33, 166–170. [Google Scholar] [CrossRef]
- Faucherre, J.; Cherix, D.; Wyss, C. Behavior of Calliphora vicina (Diptera, Calliphoridae) under extreme conditions. J. Insect Behav. 1999, 12, 687–690. [Google Scholar] [CrossRef]
- Gu, R.Y.; Liu, H.; Fu, W.C. Study on pork preservation by essential oil from perfume material. J. Food Sci. 2007, 8, 498–500. [Google Scholar]
- Babuskin, S.; Babu, P.A.S.; Sasikala, M.; Sabina, K.; Archana, G.; Sivarajan, M.; Sukumar, M. Antimicrobial and antioxidant effects of spice extracts on the shelf life extension of raw chicken meat. Int. J. Food Microbiol. 2014, 171, 32–40. [Google Scholar]
- De La Torre Torres, J.E.; Gassara, F.; Kouassi, A.P.; Brar, S.K.; Belkacemi, K. Spice use in food: Properties and benefits. Crit. Rev. Food Sci. Nutr. 2017, 57, 1078–1088. [Google Scholar]
- Tajkarimi, M.M.; Ibrahim, S.A.; Cliver, D.O. Antimicrobial herb and spice compounds in food. Food Control 2010, 21, 1199–1218. [Google Scholar] [CrossRef]
- Gottardi, D.; Bukvicki, D.; Prasad, S.; Tyagi, A.K. Beneficial effects of spices in food preservation and safety. Front. Microbiol. 2016, 7, 1394. [Google Scholar] [CrossRef]
- Isman, M.B. Plant essential oils for pest and disease management. Crop Prot. 2000, 19, 603–608. [Google Scholar] [CrossRef]
- Isman, M.B. Botanical insecticides, deterrents, and repellents in modern agriculture and an increasingly regulated world. Annu. Rev. Entomol. 2006, 51, 45–66. [Google Scholar] [CrossRef]
- Nerio, L.S.; Olivero-Verbel, J.S.; Tashenko, E. Repellent activity of essential oils from seven aromatics plants grown in Colombia against Sitophilus zeamais Motschulsky (Coleoptera). J. Stored Prod. Res. 2009, 45, 212–214. [Google Scholar] [CrossRef]
- Benelli, G.; Canale, A.; Conti, B. Eco-friendly control strategies against the asian tiger mosquito, Aedes albopictus (Diptera: Culicidae): Repellency and toxic activity of plant essential oils and extracts. Pharmacologyonline 2014, 1, 44–51. [Google Scholar]
- Bedini, S.; Flamini, G.; Girardi, J.; Cosci, F.; Conti, B. Not just for beer: Evaluation of spent hops (Humulus lupulus) as a source of eco-friendly repellents for insect pests of stored foods. J. Pest. Sci. 2015, 88, 583–592. [Google Scholar] [CrossRef]
- Bedini, S.; Flamini, G.; Cosci, F.; Ascrizzi, R.; Echeverria, M.C.; Guidi, L.; Landi, M.; Lucchi, A.; Conti, B. Artemisia spp. essential oils against the disease-carrying blowfly Calliphora vomitoria. Parasites Vectors 2017, 10, 80. [Google Scholar] [CrossRef]
- Bedini, S.; Flamini, G.; Ascrizzi, R.; Venturi, F.; Ferroni, G.; Bader, A.; Girardi, J.; Conti, B. Essential oils sensory quality and their bioactivity against the mosquito Aedes albopictus. Sci. Rep. 2018, 8, 17857. [Google Scholar] [CrossRef]
- Linstrom, P.J. Nist standard reference database number 69. In NIST Chemistry WebBook; Linstrom, P.J., Mallard, W.G., Eds.; National Institute of Standards and Technology: Gaithersburg, MD, USA, 2014. [Google Scholar] [CrossRef]
- Adams, R.P. Identification of Essential Oil Components by Gas Chromatography/Mass Spectroscopy, 4th ed.; Carol Stream Allured Publ. Corp.: Carol Stream, IL, USA, 2007; Volume 456. [Google Scholar]
- Davies, N.W. Gas chromatographic retention indices of monoterpenes and sesquiterpenes on methyl silicon and carbowax 20 M phases. J. Chromatogr. 1990, 503, 1–24. [Google Scholar] [CrossRef]
- Cheah, S.X.; Tay, J.W.; Chan, L.K.; Jaal, Z. Larvicidal, oviposition, and ovicidal effects of Artemisia annua (Asterales: Asteraceae) against Aedes aegypti, Anopheles sinensis, and Culex quinquefasciatus (Diptera: Culicidae). Parasitol. Res. 2013, 112, 3275–3282. [Google Scholar] [CrossRef]
- Kramer, W.L.; Mulla, S. Oviposition attractants and repellents of mosquitoes: Oviposition responses of Culex mosquitoes to organic infusions. Environ. Entomol. 1979, 8, 1111–1117. [Google Scholar] [CrossRef]
- Pascual-Villalobos, M.J. Evaluation of insecticidal activity of Chrysantemum coronarium L. plant extracts. Bol. San.Veg. Plagas. 1996, 22, 411–420. [Google Scholar]
- Abbot, W.J. A method of computing effectiveness of an insecticide. J. Econ. Entomol. 1925, 18, 256–267. [Google Scholar] [CrossRef]
- Bedini, S.; Flamini, G.; Cosci, F.; Ascrizzi, R.; Echeverria, M.C.; Gomez, E.V.; Guidi, L.; Landi, M.; Lucchi, A.; Conti, B. Toxicity and oviposition deterrence of essential oils of Clinopodium nubigenum and Lavandula angustifolia against the myiasis-inducing blowfly Lucilia sericata. PLoS ONE 2019, 14, e0212576. [Google Scholar] [CrossRef]
- Cos, P.; Vlietinck, A.J.; Berghe, D.V.; Maes, L. Anti-infective potential of natural products: How to develop a stronger in vitro ‘proof-of-concept’. J. Ethnopharmacol. 2006, 106, 290–302. [Google Scholar] [CrossRef]
- Oosterbroek, P. The European Families of the Diptera: Identification-Diagnosis-Biology; KNNV Publishing: Uthrecht, The Netherlands, 2006; p. 205. [Google Scholar]
- Sultana, S.; Ripa, F.A.; Hamid, K. Comparative antioxidant activity study of some commonly used spices in Bangladesh. Pak. J. Biol. Sci. 2010, 13, 340. [Google Scholar] [CrossRef]
- Zhao, Y.X.; Kang, L.E. Role of plant volatiles in host plant location of the leafminer, Liriomyza sativae (Diptera: Agromyzidae). Physiol. Entomol. 2002, 27, 103–111. [Google Scholar] [CrossRef]
- Ghabbari, M.; Guarino, S.; Caleca, V.; Saiano, F.; Sinacori, M.; Baser, N.; Mediouni-Ben Jemâa, J.; Lo Verde, G. Behavior-modifying and insecticidal effects of plant extracts on adults of Ceratitis capitata (Wiedemann) (Diptera Tephritidae). J. Pest Sci. 2018, 91, 907–917. [Google Scholar] [CrossRef]
- Romani, R.; Bedini, S.; Salerno, G.; Ascrizzi, R.; Flamini, G.; Echeverria, M.C.; Farina, P.; Conti, B. Andean Flora as a source of new repellents against insect pests: Behavioral, morphological and electrophysiological studies on Sitophilus zeamais (Coleoptera: Curculionidae). Insects 2019, 10, 171. [Google Scholar] [CrossRef]
- Nilssen, A.C.; Tømmerås, B.Å.; Schmid, R.; Evensen, S.B. Dimethyl trisulphide is a strong attractant for some calliphorids and a muscid but not for the reindeer oestrids Hypoderma tarandi and Cephenemyia trompe. Entomol. Exp. Et Appl. 1996, 79, 211–218. [Google Scholar] [CrossRef]
- Zito, P.; Sajeva, M.; Raspi, A.; Dötterl, S. Dimethyl disulfide and dimethyl trisulfide: So similar yet so different in evoking biological responses in saprophilous flies. Chemoecology 2014, 24, 261–267. [Google Scholar] [CrossRef]
- Zito, P.; Guarino, S.; Peri, E.; Sajeva, M.; Colazza, S. Electrophysiological and behavioural responses of the housefly to “sweet” volatiles of the flowers of Caralluma europaea (Guss.) NE Br. Arthropod Plant Interact. 2013, 7, 485–489. [Google Scholar] [CrossRef]
- Callander, J.T.; James, P.J. Insecticidal and repellent effects of tea tree (Melaleuca alternifolia) oil against Lucilia cuprina. Vet Parasitol. 2012, 184, 271–278. [Google Scholar] [CrossRef]
- Hirasa, K.; Takemasa, M. Spice Science and Technology; CRC Press: Boca Raton, FL, USA, 1998. [Google Scholar]
- Wahyuni, D.; Sari, N.P.; Hanjani, D.L. White Onion (Allium sativum) Extract as a Vegetable Larvicide in Blowfly (Calliphoridae) Control. J. Kesehat. Masy. 2019, 15, 2. [Google Scholar]
- Denloye, A.A. Bioactivity of powder and extracts from garlic, Allium sativum L. (Alliaceae) and spring onion, Allium fistulosum L. (Alliaceae) against Callosobruchus maculatus F. (Coleoptera: Bruchidae) on cowpea, Vigna unguiculata (L.) Walp (Leguminosae) seeds. Psyche A J. Entomol. 2010, 2010, 958348. [Google Scholar] [CrossRef]
- Huang, Y.; Chen, S.X.; Ho, S.H. Bioactivities of Methyl Allyl Disulfide and Diallyl Trisulfide from Essential Oil of Garlic to Two Species of Stored-Product Pests, Sitophilus zeamais (Coleoptera: Curculionidae) and Tribolium castaneum (Coleoptera: Tenebrionidae). J. Econ. Entomol. 2000, 93, 537–543. [Google Scholar] [CrossRef]
- Miresmailli, S.; Bradbury, R.; Isman, M.B. Comparative toxicity of Rosmarinus officinalis L. essential oil and blends of its major constituents against Tetranychus urticae Koch (Acari: Tetranychidae) on two different host plants. Pest Manag. Sci. 2006, 62, 366–371. [Google Scholar] [CrossRef]
- Bedini, S.; Bougherra, H.H.; Flamini, G.; Cosci, F.; Belhamel, K.; Ascrizzi, R.; Conti, B. Repellency of anethole-and estragole-type fennel essential oils against stored grain pests: The different twins. Bull. Insectol. 2016, 69, 149–157. [Google Scholar]
- Oyedele, A.O.; Gbolade, A.A.; Sosan, M.B.; Adewoyin, F.B.; Soyelu, O.L.; Orafidiya, O.O. Formulation of an effective mosquito-repellent topical product from lemongrass oil. Phytomedicine 2002, 9, 259–262. [Google Scholar] [CrossRef]
- Nerio, L.S.; Olivero-Verbel, J.; Stashenko, E. Repellent activity of essential oils: A review. Bioresour. Technol. 2010, 101, 372–378. [Google Scholar] [CrossRef]
- Debboun, M.; Strickman, D. Insect repellents and associated personal protection for a reduction in human disease. Med. Vet. Entomol. 2013, 27, 1–9. [Google Scholar] [CrossRef]
- Wong, K.K.; Signal, F.A.; Campion, S.H.; Motion, R.L. Citronella as an insect repellent in food packaging. J. Agric. Food Chem. 2005, 53, 4633–4636. [Google Scholar] [CrossRef]
- Bougherra, H.H.; Bedini, S.; Flamini, G.; Cosci, F.; Belhamel, K.; Conti, B. Pistacia lentiscus essential oil has repellent effect against three major insect pests of pasta. Ind. Cro. Prod. 2015, 63, 249–255. [Google Scholar] [CrossRef]
- Licciardello, F.; Muratore, G.; Suma, P.; Russo, A.; Nerín, C. Effectiveness of a novel insect-repellent food packaging incorporating essential oils against the red flour beetle (Tribolium castaneum). Innov. Food Sci. Emerg. Technol. 2013, 19, 173–180. [Google Scholar] [CrossRef]
- Kim, J.; Park, N.H.; Na, J.H.; Han, J. Development of natural insect-repellent loaded halloysite nanotubes and their application to food packaging to prevent Plodia interpunctella infestation. J. Food Sci. 2016, 81, E1956–E1965. [Google Scholar] [CrossRef]
- Pierattini, E.C.; Bedini, S.; Venturi, F.; Ascrizzi, R.; Flamini, G.; Bocchino, R.; Girardi, J.; Giannotti, P.; Ferroni, G.; Conti, B. Sensory quality of essential oils and their synergistic effect with diatomaceous earth, for the control of stored grain insects. Insects 2019, 10, 114. [Google Scholar] [CrossRef]
- Revay, E.E.; Junnila, A.; Kline, D.L.; Xue, R.D.; Bernier, U.R.; Kravchenko, V.D.; Yefremova, Z.A.; Müller, G.C. Reduction of mosquito biting pressure by timed-release 0.3% aerosolized geraniol. Acta Trop. 2012, 124, 102–105. [Google Scholar] [CrossRef]





| Compounds | l.r.i.a | Relative Abundance (%) | ||
|---|---|---|---|---|
| A. sativum | R. officinalis | S. officinalis | ||
| (Z)-3-hexen-1-ol | 855 | - b | Tr c | - |
| (Z)-salvene | 855 | - | - | tr |
| (E)-2-hexenal | 856 | - | tr | - |
| diallyl sulfide | 866 | 5.5 | - | - |
| (E)-salvene | 866 | - | - | tr |
| 2,3-dimethyl thiophene | 901 | 0.3 | - | - |
| santolina triene | 909 | - | tr | - |
| methyl-2-propenyl disulfide | 920 | 3.6 | - | - |
| tricyclene | 928 | - | 0.2 | 0.7 |
| α-thujene | 931 | - | 0.3 | 0.7 |
| (Z)-methylpropenyl disulfide | 932 | 0.2 | - | - |
| (E)-methylpropenyl disulfide | 940 | 0.2 | - | - |
| α-pinene | 941 | - | 9.8 | 4.6 |
| camphene | 954 | - | 4.2 | 5.7 |
| thuja-2,4(10)-diene | 959 | - | tr | - |
| dimethyl trisulfide | 975 | 0.8 | - | - |
| sabinene | 976 | - | tr | tr |
| 1-octen-3-ol | 980 | - | tr | - |
| β-pinene | 982 | - | 5.6 | 2.5 |
| 3-octanone | 987 | - | tr | - |
| myrcene | 993 | - | 1.5 | 1.1 |
| α-phellandrene | 1005 | - | 0.3 | 0.2 |
| δ-3-carene | 1011 | - | tr | - |
| α-terpinene | 1018 | - | 0.8 | tr |
| p-cymene | 1027 | - | 1.8 | 1.1 |
| limonene | 1032 | - | - | tr |
| 1,8-cineole | 1034 | - | 41.2 | 11.9 |
| (Z)-β-ocimene | 1042 | - | tr | - |
| (E)-β-ocimene | 1052 | - | tr | - |
| γ-terpinene | 1062 | - | 0.9 | 1.8 |
| cis-sabinene hydrate | 1070 | - | tr | tr |
| trans-linalool oxide (furanoid) | 1076 | - | tr | tr |
| camphenilone | 1078 | - | tr | - |
| diallyl disulfide | 1082 | 16.1 | - | - |
| terpinolene | 1088 | - | 0.5 | 0.9 |
| p-cymenene | 1089 | - | tr | - |
| linalool | 1101 | - | 1.4 | - |
| (E)-1-allyl-2-(prop-1-en-1-yl) disulfane | 1103 | 0.7 | - | - |
| α-thujone | 1104 | - | - | 22.2 |
| (Z)-1-allyl-2-(prop-1-en-1-yl) disulfane | 1107 | 0.6 | - | - |
| β-thujone | 1118 | - | - | 5.5 |
| exo-fenchol | 1119 | - | tr | - |
| α-campholenal | 1125 | - | tr | - |
| trans-pinocarveol | 1139 | - | tr | - |
| nopinone | 1140 | - | tr | - |
| methyl allyl trisulfide | 1142 | 9.5 | - | - |
| camphor | 1143 | - | 11.7 | 16.2 |
| 4-methyl-1,2,3-trithiolane | 1154 | 0.9 | - | - |
| trans-pinocamphone | 1162 | - | tr | - |
| pinocarvone | 1163 | - | tr | - |
| borneol | 1165 | - | 4.7 | 4.2 |
| cis-pinocamphone | 1175 | - | tr | - |
| 4-terpineol | 1178 | - | 1.1 | 0.6 |
| p-cymen-8-ol | 1183 | - | tr | - |
| α-terpineol | 1189 | - | 3.3 | 0.1 |
| myrtenol | 1193 | - | - | tr |
| decanal | 1204 | - | tr | - |
| verbenone | 1205 | - | tr | - |
| 2-vinyl-4H-1,3-dithiine | 1206 | 0.6 | - | - |
| dimethyl tetrasulfide | 1210 | 0.8 | - | - |
| endo-fenchyl acetate | 1223 | - | - | tr |
| isobornyl formate | 1232 | - | tr | - |
| 3-methyl-3-hexen-1-yl butanoate | 1236 | - | - | tr |
| carvotanacetone | 1248 | - | - | tr |
| isobornyl acetate | 1285 | - | 1.5 | 2.8 |
| trans-sabinyl acetate | 1291 | - | - | tr |
| diallyl trisulfide | 1297 | 23.1 | - | - |
| (Z)-1-allyl-3-(prop-1-en-1-yl) trisulfane | 1329 | 0.2 | - | - |
| (E)-1-allyl-3-(prop-1-en-1-yl) trisulfane | 1346 | 0.6 | - | - |
| α-cubebene | 1351 | - | - | tr |
| S-methyl-1,2,3,4-tetrathiane | 1364 | 1.0 | - | - |
| α-ylangene | 1372 | - | tr | - |
| α-copaene | 1376 | - | tr | 0.2 |
| S-propylpropane thiosulfonate | 1388 | 6.7 | - | - |
| methyl eugenol | 1403 | - | tr | - |
| (Z)-caryophyllene | 1405 | - | tr | tr |
| β-caryophyllene | 1420 | - | 7.4 | 7.9 |
| 1-(1-(methylthio) propyl)-2-propyl disulfane | 1431 | 0.5 | - | - |
| aromadendrene | 1445 | - | - | tr |
| dimethyl pentasulfide | 1450 | 0.3 | - | - |
| α-humulene | 1456 | - | 1.2 | 8.3 |
| (E)-β-farnesene | 1460 | - | tr | - |
| alloaromadendrene | 1461 | - | - | tr |
| trans-cadina-1(6),4-diene | 1470 | - | - | tr |
| γ-muurolene | 1477 | - | tr | - |
| viridiflorene | 1496 | - | - | tr |
| β-bisabolene | 1509 | - | 0.3 | - |
| trans-γ-cadinene | 1513 | - | tr | - |
| δ-cadinene | 1524 | - | 0.2 | - |
| diallyl tetrasulfide | 1540 | 17.4 | - | - |
| caryophyllene oxide | 1581 | - | 0.3 | 0.2 |
| 1-propyl-2-(4-thiohept-2-en-5-yl) disulfide | 1581 | 0.2 | - | - |
| viridiflorol | 1590 | - | - | 0.4 |
| 6-methyl-4,5,8-trithia-1,10-undecadiene | 1597 | 0.9 | - | - |
| humulene epoxide II | 1607 | - | tr | 0.2 |
| 3-amino-tert-butyl benzoate | 1620 | 0.9 | - | - |
| 1-allyl-3-(2-(allylthio)propyl) trisulfane | 1818 | 2.0 | - | - |
| cyclic octaatomic sulfur | 2030 | 0.2 | - | - |
| 1-allyl-3-(2-(allyldisulfanyl)propyl) trisulfane | 2066 | 1.2 | - | - |
| Monoterpene hydrocarbons | - | 25.9 | 19.3 | |
| Oxygenated monoterpenes | - | 64.9 | 63.5 | |
| Sesquiterpene hydrocarbons | - | 8.9 | 16.4 | |
| Oxygenated sesquiterpenes | - | 0.3 | 0.8 | |
| Nitrogen compounds | 0.9 | - | - | |
| Phenylpropanoids | - | tr | - | |
| Sulfur compounds | 94.1 | - | - | |
| Other non-terpene derivatives | - | tr | tr | |
| Total identified (%): | 95.0 | 100.0 | 100.0 | |
| EOs | Meana ± SE | 95% Confidence Interval | |
|---|---|---|---|
| Lower Bound | Upper Bound | ||
| A. sativum | −0.574 ± 0.037 | −0.646 | −0.501 |
| R. officinalis | −0.349 ± 0.037 | −0.422 | −0.277 |
| S. officinalis | −0.534 ± 0.037 | −0.606 | −0.461 |
| EO | LD50 a | LD95 b | Intercept | p |
|---|---|---|---|---|
| A. sativum | 0.44(0.23–1.02) | 1.37(0.72–56.79) | 1.186 | < 0.001 |
| R. officinalis | 1.10(0.60–10.70) | 3.43(1.40–807.14) | −0.138 | 0.544 |
| S. officinalis | 1.97(0.79–74.88) | 6.13(1.87–5502.96) | −0.978 | 0.001 |
| EO | LC50 a | LC95 b | Intercept | p |
|---|---|---|---|---|
| A. sativum | 1.76(0.62–4.12) | 13.04(5.30–109.21) | −0.467 | 0.002 |
| R. officinalis | 31.52(12.87–133.39) | 232.90(70.04–5513.08) | −2.838 | <0.001 |
| S. officinalis | 25.52(10.39–96.36) | 188.55(59.34–3793.51) | −2.664 | <0.001 |
| Microorganism | A. sativum | R. officinalis | S. officinalis | |||
|---|---|---|---|---|---|---|
| MIC | MLC | MIC | MLC | MIC | MLC | |
| E. coli | 1.25 a | 1.25 | 2.50 | 2.50 | 5.00 | 5.00 |
| B. subtilis | <0.63 | <0.63 | 1.25 | 2.50 | <0.63 | <0.63 |
| S. aureus | <0.63 | <0.63 | 2.50 | 5.00 | <0.63 | <0.63 |
| C. albicans | 1.25 | 5.00 | 1.25 | 1.25 | >10.00 | >10.00 |
| P. aeruginosa | 1.25 | 1.25 | 2.50 | 2.50 | <0.63 | <0.63 |
| S. enterica | 10.00 | 10.00 | >10.00 | >10.00 | >10.00 | >10.00 |
© 2020 by the authors. Licensee MDPI, Basel, Switzerland. This article is an open access article distributed under the terms and conditions of the Creative Commons Attribution (CC BY) license (http://creativecommons.org/licenses/by/4.0/).
Share and Cite
Bedini, S.; Guarino, S.; Echeverria, M.C.; Flamini, G.; Ascrizzi, R.; Loni, A.; Conti, B. Allium sativum, Rosmarinus officinalis, and Salvia officinalis Essential Oils: A Spiced Shield against Blowflies. Insects 2020, 11, 143. https://doi.org/10.3390/insects11030143
Bedini S, Guarino S, Echeverria MC, Flamini G, Ascrizzi R, Loni A, Conti B. Allium sativum, Rosmarinus officinalis, and Salvia officinalis Essential Oils: A Spiced Shield against Blowflies. Insects. 2020; 11(3):143. https://doi.org/10.3390/insects11030143
Chicago/Turabian StyleBedini, Stefano, Salvatore Guarino, Maria Cristina Echeverria, Guido Flamini, Roberta Ascrizzi, Augusto Loni, and Barbara Conti. 2020. "Allium sativum, Rosmarinus officinalis, and Salvia officinalis Essential Oils: A Spiced Shield against Blowflies" Insects 11, no. 3: 143. https://doi.org/10.3390/insects11030143
APA StyleBedini, S., Guarino, S., Echeverria, M. C., Flamini, G., Ascrizzi, R., Loni, A., & Conti, B. (2020). Allium sativum, Rosmarinus officinalis, and Salvia officinalis Essential Oils: A Spiced Shield against Blowflies. Insects, 11(3), 143. https://doi.org/10.3390/insects11030143

