Differences in the Development of Internal Reproductive Organs, Feeding Amount and Nutrient Storage between Pre-Diapause and Pre-Reproductive Harmonia axyridis Adults
Abstract
1. Introduction
2. Materials and Methods
2.1. Insects
2.2. Experimental Procedures
2.2.1. Dissecting and Photographing Internal Reproductive Organs
2.2.2. Developmental Status of Ovary, Vas Deferens, Ejaculatory Duct and Accessory Gland
2.2.3. Changes in Daily Feeding Amount
2.2.4. Determination of Nutrient Content
2.2.5. Statistical Analysis
3. Results
3.1. Differences in the Development of Internal Reproductive Organs between Pre-Diapause and Pre-Reproductive Adult H. axyridis
3.1.1. Morphological Differences in the Internal Reproductive Organs of Diapause and Reproductive Adult H. axyridis
3.1.2. Differences in the Developmental Trajectory of Internal Reproductive Organs between Pre-Diapause and Pre-Reproductive Adult H. axyridis
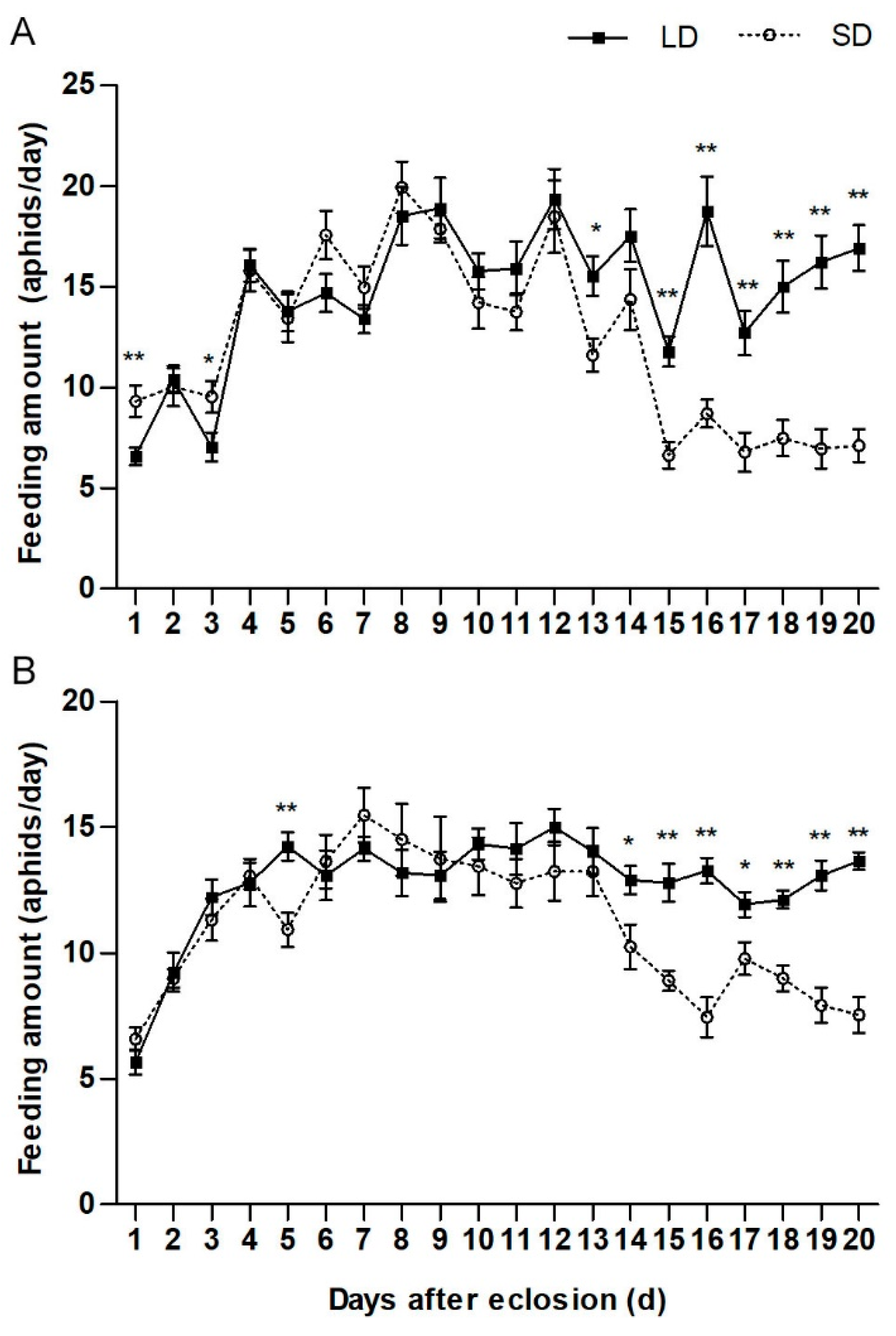
3.2. Differences in Feeding Amount between Pre-Diapause and Pre-Reproductive Adult H. axyridis
3.3. Differences in Nutrient Storage between Pre-Diapause and Pre-Reproductive Adult H. axyridis
4. Discussion
5. Conclusions
Author Contributions
Funding
Conflicts of Interest
References
- Kuroda, T.; Miura, K. Comparison of the effectiveness of two methods for releasing Harmonia axyridis (Pallas) (Coleoptera: Coccinellidae) against Aphis gossypii Glover (Homoptera: Aphididae) on cucumbers in a greenhouse. Appl. Entomol. Zool. 2003, 38, 271–274. [Google Scholar] [CrossRef]
- Koch, R.L. The multicolored Asian lady beetle, Harmonia axyridis: A review of its biology, uses in biological control and non-target impacts. J. Insect Sci. 2003, 3, 1–16. [Google Scholar] [CrossRef]
- Yano, E. Recent development of biological control and IPM in greenhouses in Japan. J. Asia Pac. Entomol. 2004, 7, 5–11. [Google Scholar] [CrossRef]
- Riddick, E.W. Identification of conditions for successful aphid control by ladybirds in greenhouses. Insects 2017, 8, 38. [Google Scholar] [CrossRef] [PubMed]
- Roy, H.; Wajnberg, E. From biological control to invasion: The ladybird Harmonia axyridis as a model species. BioControl 2008, 53, 1–4. [Google Scholar] [CrossRef]
- Brown, P.M.J.; Thomas, C.E.; Lombaert, E.; Jeffries, D.L.; Estoup, A.; Handley, L.J.L. The global spread of Harmonia axyridis (Coleoptera: Coccinellidae): Distribution, dispersal and routes of invasion. BioControl 2011, 56, 623–641. [Google Scholar] [CrossRef]
- Roy, H.E.; Brown, P.M.J. Ten years of invasion: Harmonia axyridis (Pallas) (Coleoptera: Coccinellidae) in Britain. Ecol. Entomol. 2015, 40, 336–348. [Google Scholar] [CrossRef]
- Bazzocchi, G.G.; Lanzoni, A.; Accinelli, G.; Burgio, G. Overwintering, phenology and fecundity of Harmonia axyridis in comparison with native Coccinellid species in Italy. BioControl 2004, 49, 245–260. [Google Scholar] [CrossRef]
- Wang, H.T.; Zhang, W.D.; Chen, X.Z.; Zheng, J.F.; Miao, L.; Qin, Q.L. Mass rearing the multicolored Asian lady beetle on beet armyworm larvae. Chin. J. Appl. Entomol. 2012, 49, 1726–1731. [Google Scholar]
- Sakurai, H.; Kawai, T.; Takeda, S. Physiological changes related to diapause of the lady beetle, Harmonia axyridis (Coleoptera: Coccinellidae). Appl. Entomol. Zool. 1992, 27, 479–487. [Google Scholar] [CrossRef]
- Raak-Van den Berg, C.L.; De Jong, P.W.; Hemerik, L.; Van Lenteren, J.C. Diapause and post-diapause quiescence demonstrated in overwintering Harmonia axyridis (Coleoptera: Coccinellidae) in northwestern Europe. Eur. J. Entomol. 2013, 110, 585–591. [Google Scholar] [CrossRef]
- Raak-van den Berg, C.L.; Hemerik, L.; De Jong, P.W.; Van Lenteren, J.C. Mode of overwintering of invasive Harmonia axyridis in the Netherlands. BioControl 2012, 57, 71–84. [Google Scholar] [CrossRef][Green Version]
- Reznik, S.Y.; Dolgovskaya, M.Y.; Ovchinnikov, A.N.; Belyakova, N.A. Weak photoperiodic response facilitates the biological invasion of the harlequin ladybird Harmonia axyridis (Pallas) (Coleoptera: Coccinellidae). J. Appl. Entomol. 2015, 139, 241–249. [Google Scholar] [CrossRef]
- Denlinger, D.L. Why study diapause? Entomol. Res. 2008, 38, 1–9. [Google Scholar] [CrossRef]
- Foerster, L.A.; Doetzer, A.K. Cold storage of the egg parasitoids Trissolcus basalis (Wollaston) and Telenomus podisi Ashmead (Hymenoptera: Scelionidae). Biol. Control 2006, 36, 232–237. [Google Scholar] [CrossRef]
- Chen, W.L.; Leopold, R.A.; Harris, M.O. Cold storage effects on maternal and progeny quality of Gonatocerus ashmeadi Girault (Hymenoptera: Mymaridae). Biol. Control 2008, 46, 122–132. [Google Scholar] [CrossRef]
- Zhang, H.Z.; Gao, F.; Liu, M.Y.; Wang, M.Z.; Han, Y.H.; Kong, L.; Chen, H.Y.; Liu, C.X.; Wang, M.Q.; Zhang, L.S. Research advances in diapause in small parasitic wasps in all the world in the last ten years. J. Environ. Entomol. 2018, 40, 82–91. [Google Scholar]
- Ruan, C.C.; Du, W.M.; Wang, X.M.; Zhang, J.J.; Zang, L.S. Effect of long-term cold storage on the fitness of pre-wintering Harmonia axyridis (Pallas). BioControl 2012, 57, 95–102. [Google Scholar] [CrossRef]
- Ongagna, P.; Iperti, G. Influence of temperature and photoperiod in Harmonia axyridis (Pall) (Col, Coccinellidae): Obtaining rapidly fecund adults or dormancy. J. Appl. Entomol. 1994, 117, 314–317. [Google Scholar] [CrossRef]
- Berkvens, N.; Bonte, J.; Berkvens, D.; Tirry, L.; Clercq, P.D. Influence of diet and photoperiod on development and reproduction of European populations of Harmonia axyridis (Pallas) (Coleoptera: Coccinellidae). BioControl 2008, 53, 211–221. [Google Scholar] [CrossRef]
- Reznik, S.Y.; Vaghina, N.P. Effects of photoperiod and diet on diapause tendency, maturation and fecundity in Harmonia axyridis (Coleoptera: Coccinellidae). J. Appl. Entomol. 2013, 137, 452–461. [Google Scholar] [CrossRef]
- Zhang, W.; Liu, S.; Li, N.; Chen, J.; He, Y.Z.; Qin, Q.J. Effects of photoperiods on adult diapause of Harmonia axyridis (Pallas). Acta Phytophylacica Sin. 2014, 41, 495–500. [Google Scholar]
- Kostál, V. Eco-physiological phases of insect diapause. J. Insect Physiol. 2006, 52, 113–127. [Google Scholar] [CrossRef] [PubMed]
- Pener, M.P. Environmental cues, endocrine factors and reproductive diapause in male insects. Chronobiol. Int. 1992, 9, 102–113. [Google Scholar] [CrossRef] [PubMed]
- Tan, Q.Q.; Feng, L.; Liu, W.; Zhu, L.; Lei, C.L.; Wang, X.P. Differences in the pre-diapause and pre-oviposition accumulation of critical nutrients in adult females of the beetle, Colaphellus Bowringi. Entomol. Exp. Appl. 2016, 160, 117–125. [Google Scholar] [CrossRef]
- Urbanova, V.; Bazalova, O.; Vaneckova, H.; Dolezel, D. Photoperiod regulates growth of male accessory glands through juvenile hormone signaling in the linden bug, Pyrrhocoris apterus. Insect Biochem. Mol. Biol. 2016, 70, 184–190. [Google Scholar] [CrossRef] [PubMed]
- Danks, H.V. Insect Dormancy: An Ecological Perspective; Biological Survey of Canada: Ottawa, Canada, 1987; pp. 19–82. [Google Scholar]
- Hahn, D.A.; Denlinger, D.L. Energetics of Insect Diapause. Annu. Rev. Entomol. 2011, 56, 103–121. [Google Scholar] [CrossRef]
- Denlinger, D.L. Regulation of diapause. Annu. Rev. Entomol. 2002, 47, 93–122. [Google Scholar] [CrossRef]
- Gautier, M.; Yamaguchi, J.; Foucaud, J.; Loiseau, A.; Ausset, A.; Facon, B. The genomic basis of color pattern polymorphism in the harlequin ladybird. Curr. Biol. 2018, 28, 3296–3302. [Google Scholar] [CrossRef]
- Guo, C.F.; Xu, W.M.; He, Z.; Li, Y.H.; Ren, S.X.; Qiu, B.L. Color variations of Harmonia axyridis and phylogenetic analysis of 19-spot H. axyridis based on their COI genes. J. Plant Protect. 2016, 43, 155–161. [Google Scholar]
- Sakurai, H.; Hirano, T.; Takeda, S. Physiological distinction between estivation and hibernation in the lady beetle, Coccinella septempunctata bruckii (Coleoptera, Coccinellidae). Appl. Entomol. Zool. 1986, 21, 424–429. [Google Scholar] [CrossRef]
- Soares, A.O.; Coderre, D.; Schanderl, H. Effect of temperature and intraspecific allometry on predation by two phenotypes of Harmonia axyridis (Pallas) (Coleoptera: Coccinellidae). Environ. Entomol. 2003, 32, 939–944. [Google Scholar] [CrossRef]
- Wasielewski, O.; Giejdasz, K.; Wojciechowicz, T.; Skrzypski, M. Ovary growth and protein levels in ovary and fat body during adult-wintering period in the red mason bee, Osmia rufa. Apidologie 2011, 42, 749–758. [Google Scholar] [CrossRef]
- Dubois, M.; Gilles, K.A.; Hamilton, J.K.; Rebers, P.A.; Smith, F. Colorimetric method for determination of sugars and related substances. Anal. Chem. 1956, 28, 350–356. [Google Scholar] [CrossRef]
- Folch, J.; Lees, M.; Stanley, G.H.S. A simple method for the isolation and purification of total lipides from animal tissues. J. Biol. Chem. 1957, 226, 497–509. [Google Scholar]
- Hahn, D.A.; Denlinger, D.L. Meeting the energetic demands of insect diapause: Nutrient storage and utilization. J. Insect Physiol. 2007, 53, 760–773. [Google Scholar] [CrossRef]
- Kawaguchi, S.; Manabe, Y.; Sugawara, T.; Osakabe, M. Imaginal feeding for progression of diapause phenotype in the two-spotted spider mite (Acari: Tetranychidae). Environ. Entomol. 2016, 45, 1568–1573. [Google Scholar] [CrossRef]
- Spurgeon, D.W.; Suh, C.P.C.; Esquivel, J.F. Diapause response of the boll weevil (Coleoptera: Curculionidae) to feeding period duration and cotton square size. J. Insect Sci. 2018, 18, 9. [Google Scholar] [CrossRef]
- Dworschak, K.; Gruppe, A.; Schopf, R. Survivability and post-diapause fitness in a scolytid beetle as a function of overwintering developmental stage and the implications for population dynamics. Ecol. Entomol. 2014, 39, 519–526. [Google Scholar] [CrossRef]
- Liu, W.; Li, Y.; Zhu, L.; Zhu, F.; Lei, C.L.; Wang, X.P. Juvenile hormone facilitates the antagonism between adult reproduction and diapause through the methoprene-tolerant gene in the female Colaphellus bowringi. Insect Biochem. Mol. Biol. 2016, 74, 50–60. [Google Scholar] [CrossRef]
- Dolezal, P.O.; Habustova, O.; Sehnal, F. Effects of photoperiod and temperature on the rate of larval development, food conversion efficiency, and imaginal diapause in Leptinotarsa decemlineata. J. Insect Physiol. 2007, 53, 849–857. [Google Scholar] [CrossRef]
- Ito, K.; Fukuda, T.; Hayakawa, H.; Arakawa, R.; Saito, Y. Relationship between body colour, feeding, and reproductive arrest under short-day development in Tetranychus pueraricola (Acari: Tetranychidae). Exp. Appl. Acarol. 2013, 60, 471–477. [Google Scholar] [CrossRef]




© 2019 by the authors. Licensee MDPI, Basel, Switzerland. This article is an open access article distributed under the terms and conditions of the Creative Commons Attribution (CC BY) license (http://creativecommons.org/licenses/by/4.0/).
Share and Cite
Gao, Q.; Wei, B.-X.; Liu, W.; Wang, J.-L.; Zhou, X.-M.; Wang, X.-P. Differences in the Development of Internal Reproductive Organs, Feeding Amount and Nutrient Storage between Pre-Diapause and Pre-Reproductive Harmonia axyridis Adults. Insects 2019, 10, 243. https://doi.org/10.3390/insects10080243
Gao Q, Wei B-X, Liu W, Wang J-L, Zhou X-M, Wang X-P. Differences in the Development of Internal Reproductive Organs, Feeding Amount and Nutrient Storage between Pre-Diapause and Pre-Reproductive Harmonia axyridis Adults. Insects. 2019; 10(8):243. https://doi.org/10.3390/insects10080243
Chicago/Turabian StyleGao, Qiao, Bing-Xin Wei, Wen Liu, Jia-Lu Wang, Xing-Miao Zhou, and Xiao-Ping Wang. 2019. "Differences in the Development of Internal Reproductive Organs, Feeding Amount and Nutrient Storage between Pre-Diapause and Pre-Reproductive Harmonia axyridis Adults" Insects 10, no. 8: 243. https://doi.org/10.3390/insects10080243
APA StyleGao, Q., Wei, B.-X., Liu, W., Wang, J.-L., Zhou, X.-M., & Wang, X.-P. (2019). Differences in the Development of Internal Reproductive Organs, Feeding Amount and Nutrient Storage between Pre-Diapause and Pre-Reproductive Harmonia axyridis Adults. Insects, 10(8), 243. https://doi.org/10.3390/insects10080243

