Revisiting Alkali Metals As a Tool to Characterize Patterns of Mosquito Dispersal and Oviposition
Abstract
1. Introduction
2. Materials and Methods
2.1. Mosquito Rearing
2.2. Survival to Pupation
2.3. Wing Length
2.4. Adult Survival
2.5. Detection of Rubidium and Caesium
3. Results
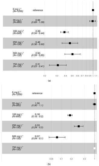
3.1. Pupation and Wing Length
3.2. Adult Survival
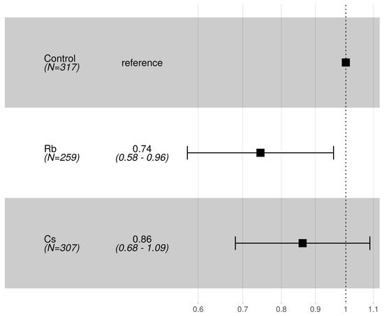
3.3. Detection of Rubidium and Caesium
4. Discussion
5. Conclusions
Author Contributions
Funding
Acknowledgments
Conflicts of Interest
Abbreviations
| pRb | Rb counts as a ratio with respect to carbon |
| pCs | Cs counts as a ratio with respect to carbon |
| MR | Mark-release |
| ICP-MS | Inductively coupled plasma mass spectrometry |
| SP | Survival to pupa |
| WL | Wing Length |
| A-Rb35 | Adult samples from the 35 mg L−1 Rb treatment |
| E-Rb35 | Egg samples from the 35 mg L−1 Rb treatment |
| A-Cs35 | Adult samples from the 35 mg L−1 Cs treatment |
| E-Cs35 | Egg samples from the 35 mg L−1 Cs treatment |
References
- Southwood, T.R.E.; Henderson, P.A. Ecological Methods, 3rd ed.; Wiley-Blackwell: Oxford, UK; Malden, MA, USA, 2000. [Google Scholar]
- Russell, P.F.; Santiago, D. Flight range of the funestus-minimus subgroup of Anopheles in the Philippines. Am. J. Trop. Med. Hyg. 1934, 1, 139–157. [Google Scholar] [CrossRef]
- Guerra, C.A.; Reiner, R.C.; Perkins, T.A.; Lindsay, S.W.; Midega, J.T.; Brady, O.J.; Barker, C.M.; Reisen, W.K.; Harrington, L.C.; Takken, W.; et al. A global assembly of adult female mosquito mark-release-recapture data to inform the control of mosquito-borne pathogens. Parasites Vectors 2014, 7, 276. [Google Scholar] [CrossRef] [PubMed]
- Service, M.W. Mosquito (Diptera: Culicidae) dispersal–the long and short of it. J. Med. Entomol. 1997, 34, 579–588. [Google Scholar] [CrossRef] [PubMed]
- Silver, J.B. Mosquito Ecology: Field Sampling Methods; Springer Science & Business Media: Berlin, Germany, 2008. [Google Scholar]
- Hamer, G.L.; Donovan, D.J.; Hood-Nowotny, R.; Kaufman, M.G.; Goldberg, T.L.; Walker, E.D. Evaluation of a Stable Isotope Method to Mark Naturally-Breeding Larval Mosquitoes for Adult Dispersal Studies. J. Med. Entomol. 2012, 49, 61–70. [Google Scholar] [CrossRef] [PubMed]
- LibreTexts, Department of Education Open Textbook Pilot Project. Group 1: Hydrogen and the Alkali Metals. Available online: https://chem.libretexts.org/Bookshelves/Inorganic_Chemistry/Supplemental_Modules_(Inorganic_Chemistry)/Descriptive_Chemistry/Elements_Organized_by_Block/1_s-Block_Elements/Group_1%3A_The_Alkali_Metals (accessed on 23 June 2019).
- Relman, A.S. The Physiological Behavior of Rubidium and Cesium in Relation to that of Potassium. Yale J. Biol. Med. 1956, 29, 248–262. [Google Scholar] [PubMed]
- Berry, W.L.; Stimmann, M.W.; Wolf, W.W. Marking of Native Phytophagous Insects with Rubidium: A Proposed Technique. Ann. Entomol. Soc. Am. 1972, 65, 236–238. [Google Scholar] [CrossRef]
- Graham, H.M.; Wolfenbarger, D.A. Tobacco Budworm: Labeling with Rubidium in the Laboratory. J. Econ. Entomol. 1977, 70, 800–802. [Google Scholar] [CrossRef]
- Kimsey, R.B.; Kimsey, P.B. Identification of Arthropod Blood Meals Using Rubidium as a Marker: A Preliminary Study. J. Med. Entomol. 1984, 21, 714–719. [Google Scholar] [CrossRef]
- Anderson, R.A.; Edman, J.D.; Scott, T.W. Rubidium and Cesium as Host Blood-Markers to Study Multiple Blood Feeding by Mosquitoes (Diptera: Culicidae). J. Med. Entomol. 1990, 27, 999–1001. [Google Scholar] [CrossRef]
- Holbrook, F.R.; Belden, R.P.; Bobian, R.J. Rubidium for Marking Adults of Culicoides Variipennis (Diptera: Ceratopogonidae). J. Med. Entomol. 1991, 28, 246–249. [Google Scholar] [CrossRef]
- Holbrook, F.R. Rubidium in female Culicoides variipennis sonorensis (Diptera: Ceratopogonidae) after engorgement on a rubidium-treated host. J. Med. Entomol. 1995, 32, 387–389. [Google Scholar] [CrossRef] [PubMed]
- Reiter, P.; Amador, M.A.; Anderson, R.A.; Clark, G.G. Short report: Dispersal of Aedes aegypti in an urban area after blood feeding as demonstrated by rubidium-marked eggs. Am. J. Trop. Med. Hyg. 1995, 52, 177–179. [Google Scholar] [CrossRef] [PubMed]
- Honório, N.A.; Silva, W.d.C.; Leite, P.J.; Gonçalves, J.M.; Lounibos, L.P.; Lourenço-de Oliveira, R. Dispersal of Aedes aegypti and Aedes albopictus (Diptera: Culicidae) in an urban endemic dengue area in the State of Rio de Janeiro, Brazil. Memórias do Instituto Oswaldo Cruz 2003, 98, 191–198. [Google Scholar] [CrossRef] [PubMed]
- Liew, C.; Curtis, C.F. Horizontal and vertical dispersal of dengue vector mosquitoes, Aedes aegypti and Aedes albopictus, in Singapore. Med. Vet. Entomol. 2004, 18, 351–360. [Google Scholar] [CrossRef]
- Maciel-de Freitas, R.; Neto, R.B.; Gonçalves, J.M.; Codeço, C.T.; Lourenço-de Oliveira, R. Movement of Dengue Vectors Between the Human Modified Environment and an Urban Forest in Rio de Janeiro. J. Med. Entomol. 2006, 43, 1112–1120. [Google Scholar] [CrossRef] [PubMed]
- Wilkins, E.E.; Smith, S.C.; Roberts, J.M.; Benedict, M. Rubidium marking of Anopheles mosquitoes detectable by field-capable X-ray spectrometry. Med. Vet. Entomol. 2007, 21, 196–203. [Google Scholar] [CrossRef]
- Clements, A.N. The Biology of Mosquitoes: Development, Nutrition, and Reproduction; Chapman & Hall: New York, NY, USA, 1992. [Google Scholar]
- Bhatt, S.; Gething, P.W.; Brady, O.J.; Messina, J.P.; Farlow, A.W.; Moyes, C.L.; Drake, J.M.; Brownstein, J.S.; Hoen, A.G.; Sankoh, O.; et al. The global distribution and burden of dengue. Nature 2013, 496, 504–507. [Google Scholar] [CrossRef]
- White, M.S.; Rohani, P.; Sait, M.S. Modelling pulsed releases for sterile insect techniques: Fitness costs of sterile and transgenic males and the effects on mosquito dynamics. J. Appl. Ecol. 2010, 47, 1329–1339. [Google Scholar] [CrossRef]
- Hancock, P.A.; Linley-White, V.; Callahan, A.G.; Godfray, H.C.J.; Hoffmann, A.A.; Ritchie, S.A. Density-dependent population dynamics in Aedes aegypti slow the spread of wMel Wolbachia. J. Appl. Ecol. 2016, 53, 785–793. [Google Scholar] [CrossRef]
- Van Handel, E. Assay of lipids, glycogen and sugars in individual mosquitoes: Correlations with wing length in field-collected Aedes vexans. J. Am. Mosquito Control Assoc. 1988, 4, 549–550. [Google Scholar]
- Van Handel, E.; Day, J.F. Correlation between wing length and protein content of mosquitoes. J. Am. Mosquito Control Assoc. 1989, 5, 180–182. [Google Scholar]
- Packer, M.J.; Corbet, P.S. Size variation and reproductive success of female Aedes punctor (Diptera: Culicidae). Ecol. Entomol. 1989, 14, 297–309. [Google Scholar] [CrossRef]
- R: A Language and Environment for Statistical Computing; R Foundation for Statistical Computing: Vienna, Austria, 2019.
- Bates, D.; Mächler, M.; Bolker, B.; Walker, S. Fitting Linear Mixed-Effects Models Using lme4. J. Stat. Softw. 2015, 67, 1–48. [Google Scholar] [CrossRef]
- Therneau, T.M. A Package for Survival Analysis in S, Version 2.38. 2015. Available online: https://CRAN.R-project.org/package=survival (accessed on 23 June 2019).
- Kassambara, A.; Kosinski, M. Survminer: Drawing Survival Curves Using ’ggplot2’, Version 0.4.3. 2018. Available online: https://CRAN.R-project.org/package=survminer (accessed on 23 June 2019).
- Melnikov, P.; Zanoni, L.Z. Clinical effects of cesium intake. Biol. Trace Elem. Res. 2010, 135, 1–9. [Google Scholar] [CrossRef] [PubMed]
- Edman, J.D.; Scott, T.W.; Costero, A.; Morrison, A.C.; Harrington, L.C.; Clark, G.G. Aedes aegypti (Diptera: Culicidae) Movement Influenced by Availability of Oviposition Sites. J. Med. Entomol. 1998, 35, 578–583. [Google Scholar] [CrossRef] [PubMed]
- Hamer, G.L.; Anderson, T.K.; Donovan, D.J.; Brawn, J.D.; Krebs, B.L.; Gardner, A.M.; Ruiz, M.O.; Brown, W.M.; Kitron, U.D.; Newman, C.M.; et al. Dispersal of Adult Culex Mosquitoes in an Urban West Nile Virus Hotspot: A Mark-Capture Study Incorporating Stable Isotope Enrichment of Natural Larval Habitats. PLoS Negl. Trop. Dis. 2014, 8, e2768. [Google Scholar] [CrossRef]
- Opiyo, M.A.; Hamer, G.L.; Lwetoijera, D.W.; Auckland, L.D.; Majambere, S.; Okumu, F.O. Using Stable Isotopes of Carbon and Nitrogen to Mark Wild Populations of Anopheles and Aedes Mosquitoes in South-Eastern Tanzania. PLoS ONE 2016, 11, e0159067. [Google Scholar] [CrossRef]
- Medeiros, M.C.I.; Boothe, E.C.; Roark, E.B.; Hamer, G.L. Dispersal of male and female Culex quinquefasciatus and Aedes albopictus mosquitoes using stable isotope enrichment. PLoS Negl. Trop. Dis. 2017, 11, e0005347. [Google Scholar] [CrossRef]
- Laith, Y.; Alphey, L.; Bonsall, M.B. Aedes aegypti control: The concomitant role of competition, space and transgenic technologies. J. Appl. Ecol. 2008, 45, 1258–1265. [Google Scholar] [CrossRef]
- North, A.; Burt, A.; Godfray, H.C.J. Modelling the spatial spread of a homing endonuclease gene in a mosquito population. J. Appl. Ecol. 2013, 50, 1216–1225. [Google Scholar] [CrossRef]
- Schmidt, T.L.; Filipović, I.; Hoffmann, A.A.; Rašić, G. Fine-scale landscape genomics helps explain the slow spatial spread of Wolbachia through the Aedes aegypti population in Cairns, Australia. Heredity 2018, 120, 386–395. [Google Scholar] [CrossRef] [PubMed]
- Campbell, L.M.; Fisk, A.T.; Wang, X.; Köck, G.; Muir, D.C. Evidence for biomagnification of rubidium in freshwater and marine food webs. Can. J. Fish. Aquat. Sci. 2005, 62, 1161–1167. [Google Scholar] [CrossRef]




| Concentration (mg L−1) | Element | SP (%) | Model Estimated Wing-Length (mm) | |
|---|---|---|---|---|
| Male | Female | |||
| 0 | - | 79.6 | 2.37 (2.30, 2.43) | 3.01 (2.94, 3.08) |
| 35 | Rb | 82.4 | −0.03 (−0.07, 0.02) | 0.00 (−0.06, 0.06) |
| Cs | 78.9 | −0.16 (−0.21, −0.12) | −0.02 (−0.08, 0.04) | |
| 100 | Rb | 71.2 | −0.11 (−0.19, −0.04) | −0.06 (−0.17, 0.04) |
| Cs | 55.1 | −0.08 (−0.16, −0.01) | −0.06 (−0.15, 0.02) | |
| 250 | Rb | 47.2 | −0.11 (−0.20, −0.04) | −0.06 (−0.17, 0.03) |
| Cs | 33.7 | −0.18 (−0.25, −0.11) | −0.21 (−0.31, −0.11) | |
| 500 | Rb | 51.0 | −0.12 (−0.22, −0.06) | −0.18 (−0.29, −0.08) |
| Cs | 9.2 | −0.29 (−0.38, −0.21) | −1.46 (−1.72, −1.21) | |
| 750 | Rb | 39.0 | −0.15 (−0.22, −0.09) | −0.35 (−0.44, −0.26) |
| Cs | 0.0 | - | - | |
| 1000 | Rb | 0.0 | - | - |
| Cs | 0.0 | - | - | |
| Element | Stage | Sample size | Group | q0.50 | q0.25 | q0.975 |
|---|---|---|---|---|---|---|
| Rb | Adult | 20 | control | 0.01 | 0.00 | 0.03 |
| 20 | age-1 | 9.52 | 1.00 | 38.02 | ||
| 20 | age-2 | 6.66 | 0.44 | 20.42 | ||
| Egg | 20 | control | 0.00 | 0.00 | 0.01 | |
| 20 | gc-1 | 6.22 | 0.82 | 15.03 | ||
| 20 | gc-2 | 2.26 | 0.23 | 7.99 | ||
| Cs | Adult | 20 | control | 0.00 | 0.00 | 0.01 |
| 20 | age-1 | 0.64 | 0.09 | 1.90 | ||
| 20 | age-2 | 0.11 | 0.00 | 0.96 | ||
| Egg | 20 | control | 0.00 | 0.00 | 0.01 | |
| 20 | gc-1 | 0.55 | 0.04 | 1.40 | ||
| 20 | gc-2 | 0.03 | 0.00 | 0.09 |
© 2019 by the authors. Licensee MDPI, Basel, Switzerland. This article is an open access article distributed under the terms and conditions of the Creative Commons Attribution (CC BY) license (http://creativecommons.org/licenses/by/4.0/).
Share and Cite
Marcantonio, M.; Winokur, O.C.; Barker, C.M. Revisiting Alkali Metals As a Tool to Characterize Patterns of Mosquito Dispersal and Oviposition. Insects 2019, 10, 220. https://doi.org/10.3390/insects10080220
Marcantonio M, Winokur OC, Barker CM. Revisiting Alkali Metals As a Tool to Characterize Patterns of Mosquito Dispersal and Oviposition. Insects. 2019; 10(8):220. https://doi.org/10.3390/insects10080220
Chicago/Turabian StyleMarcantonio, Matteo, Olivia C. Winokur, and Christopher M. Barker. 2019. "Revisiting Alkali Metals As a Tool to Characterize Patterns of Mosquito Dispersal and Oviposition" Insects 10, no. 8: 220. https://doi.org/10.3390/insects10080220
APA StyleMarcantonio, M., Winokur, O. C., & Barker, C. M. (2019). Revisiting Alkali Metals As a Tool to Characterize Patterns of Mosquito Dispersal and Oviposition. Insects, 10(8), 220. https://doi.org/10.3390/insects10080220

