Monolithic View of Galaxy Formation and Evolution
Abstract
:1. Introduction
2. Observational Clues on the Galaxy Formation History
2.1. The G-Dwarf Analog
2.2. The UV-Excess
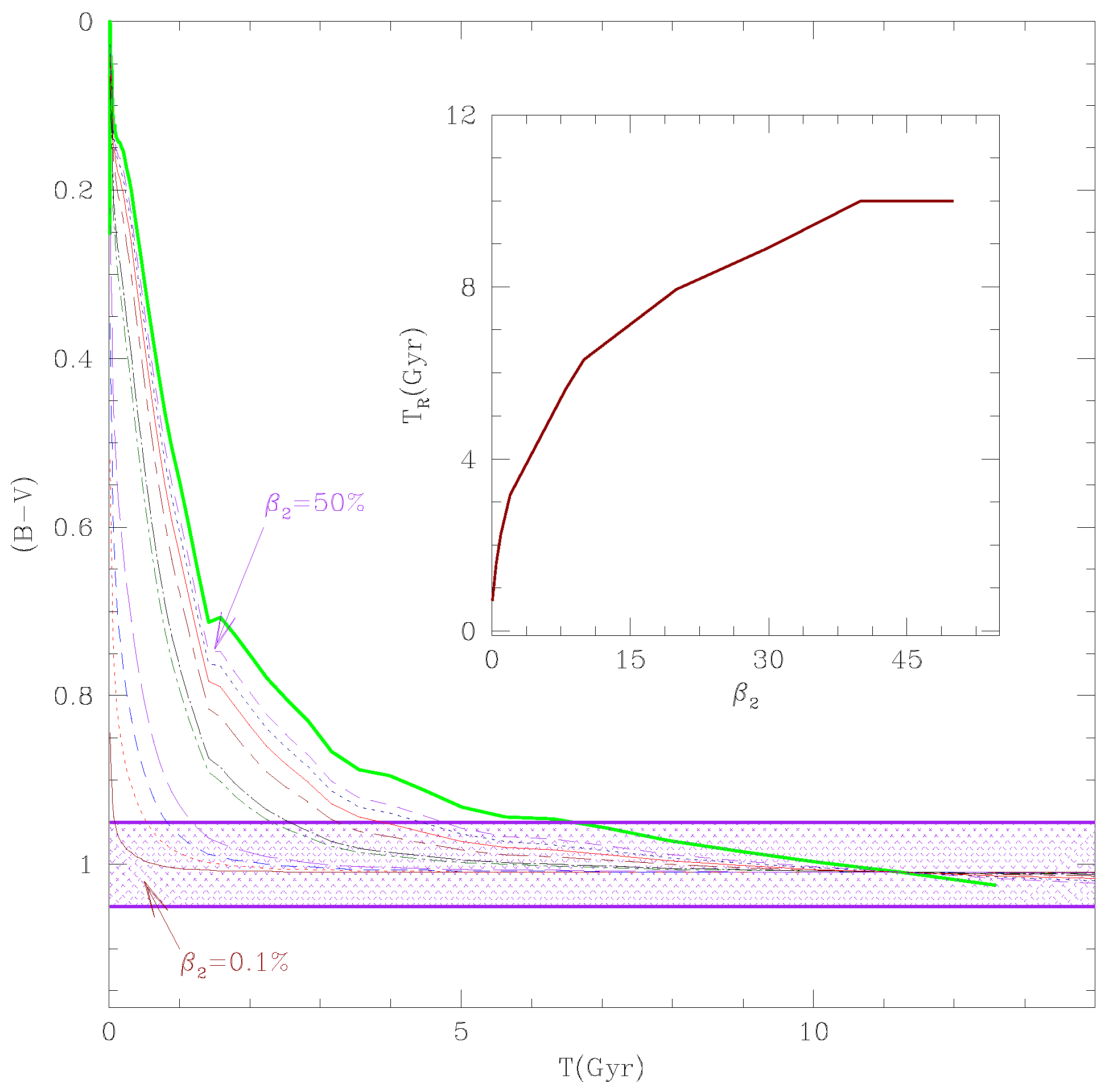
2.3. Enhancement of α-Elements: [/Fe]
2.4. Colour-Magnitude Relation
2.5. Ages, Metallicities, [α/Fe], and SFHs of Field and Cluster Galaxies from Absorption Line Indices
2.5.1. Methodology, Diagnostics and Uncertainties
2.5.2. Gradients in Age, Metallicity and [α/Fe] Across Individual Galaxies

2.5.3. Passing from Galaxy to Galaxy: The Two-Indices Diagnostics



2.5.4. Role of Enhancement of α-Elements on Age and Metallicity Determination: Another Intrinsic Degeneracy?
2.6. Indices and Broad-Band Colors as Tracers of the SF Activity

2.6.1. Dwarf ETGs in Galaxy Groups and Clusters: The Case of Abell 851 and Coma
2.7. Scale Relations: Fundamental Plane


2.8. Galaxy Formation in Cosmological Context

2.9. Conclusions from the Observational Preamble
3. Semi-Analythical and Numerical Galaxy Models
3.1. Semi-Analytical Models
3.2. The NB-TSPH Models
4. The Monolithic View of Galaxy Formation and Evolution
4.1. Initial Conditions from the Cosmological Tissue
| Model | ||||||||||||||
|---|---|---|---|---|---|---|---|---|---|---|---|---|---|---|
| HDHM | 1.75 | 2.90 | 0.39 | 46.3 | 97.2 | 0.22 | 11.0 | 7.5 | 1.5 | 153.0 | 0.050 | 0.26 | 15.6 | 0.56 |
| IDHM | 1.75 | 2.90 | 0.30 | 39.2 | 114.3 | 0.77 | 8.0 | 7.4 | 1.5 | 141.8 | 0.050 | 0.26 | 16.5 | 0.48 |
| LDHM | 1.75 | 2.90 | 0.23 | 33.2 | 134.5 | 0.50 | 8.7 | 7.3 | 1.5 | 133.8 | 0.049 | 0.25 | 15.8 | 0.57 |
| VLDHM | 1.75 | 2.90 | / | 22.7 | 194.3 | 0.83 | 6.6 | 6.3 | 1.3 | 112.5 | 0.048 | 0.22 | 11.2 | 0.52 |
| HDIM | 2.69 | 4.45 | 0.46 | 53.8 | 21.0 | 1.00 | 5.8 | 2.0 | 2.1 | 37.6 | 0.100 | 0.45 | 5.7 | 0.62 |
| IDIM | 2.69 | 4.45 | 0.33 | 45.6 | 24.7 | 0.75 | 7.0 | 1.9 | 2.1 | 35.7 | 0.080 | 0.43 | 5.8 | 0.63 |
| LDIM | 2.69 | 4.45 | 0.25 | 38.6 | 29.0 | 0.58 | 8.1 | 1.9 | 2.0 | 33.3 | 0.100 | 0.42 | 5.2 | 0.75 |
| VLDIM | 2.69 | 4.45 | / | 26.4 | 42.0 | 0.15 | 11.8 | 1.7 | 1.4 | 28.3 | 0.120 | 0.38 | 4.9 | 0.83 |
| HDLM | 4.18 | 6.92 | 0.54 | 63.2 | 4.5 | 0.36 | 9.7 | 1.5 | 3.3 | 9.2 | 0.045 | 0.19 | 2.3 | 0.74 |
| IDLM | 4.18 | 6.92 | 0.39 | 53.6 | 5.3 | 0.22 | 11.0 | 1.4 | 3.3 | 10.0 | 0.040 | 0.16 | 2.4 | 0.67 |
| LDLM | 4.18 | 6.92 | 0.29 | 45.4 | 6.2 | 0.05 | 13.0 | 1.4 | 3.2 | 11.8 | 0.040 | 0.19 | 2.1 | 0.79 |
| VLDLM | 4.18 | 6.92 | 0.16 | 31.1 | 8.9 | 0.00 | 13.7 | 1.0 | 3.0 | 10.5 | 0.030 | 0.10 | 2.7 | 0.65 |
4.2. Star Formation
4.3. Cooling, Energy Feedback, Interstellar Medium, and Chemical Enrichment
4.4. NB-TSPH Galaxy Models: Results



| ID | (no-weight) | (mass-weighted) | (lum-weighted) |
|---|---|---|---|
| (1) | (2) | (3) | (4) |
| LDHM | |||
| HDHM | |||
| LDLM | |||
| HDLM |

4.5. Mass Density Profiles

4.6. Core or Cuspy Luminosity (Mass) Profiles?

4.7. Open Issues in the Present Monolithic Model of Galaxy Formation
4.8. The Hybrid View: Early Hierarchical Quasi Monolithic
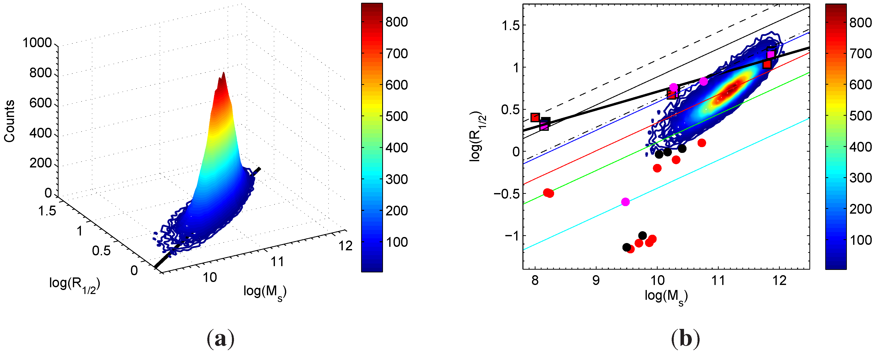
5. The Mass-Radius Relationship of ETGs

5.1. The Filiation Thread
5.2. The Cosmic Galaxy Shepherd

5.3. Simulating the MRR
5.4. How Many Mergers?
6. Spectro-Photometry of NB-TSPH Model Galaxies



7. Conclusions
Acknowledgments
Author Contributions
Conflicts of Interest
References
- Merlin, E.; Chiosi, C.; Piovan, L.; Grassi, T.; Buonomo, U.; Barbera, F.L. Formation and evolution of early-type galaxies—III. Dependence of the star formation history on the total mass and initial over-density. Mon. Not. R. Astron. Soc. 2012, 427, 1530–1554. [Google Scholar] [CrossRef]
- Bressan, A.; Chiosi, C.; Fagotto, F. Spectrophotometric evolution of elliptical galaxies. 1: Ultraviolet excess and color-magnitude-redshift relations. Astrophys. J. Suppl. 1994, 94, 63–115. [Google Scholar] [CrossRef]
- Tantalo, R.; Chiosi, C.; Bressan, A.; Fagotto, F. Spectro-photometric evolution of elliptical galaxies. II. Models with infall. Astron. Astrophys. 1996, 311, 361–383. [Google Scholar]
- Greggio, L. On the metallicity distribution in the nuclei of elliptical galaxies. Mont. Not. R. Astron. Soc. 1997, 285, 151–166. [Google Scholar] [CrossRef]
- Burstein, D.; Bertola, F.; Buson, L.M.; Faber, S.M.; Lauer, T.R. The far-ultraviolet spectra of early-type galaxies. Astrophys. J. 1988, 328, 440–462. [Google Scholar] [CrossRef]
- Ferguson, H.C.; Davidsen, A.F. The hot stellar component in elliptical galaxies and spiral bulges. I—The far-ultraviolet spectrum of the bulge of M31. Astrophys. J. 1993, 408, 92–107. [Google Scholar] [CrossRef]
- Ferguson, H.C.; Davidsen, A.F.; Kriss, G.A.; Blair, W.P.; Bowers, C.W.; Dixon, W.V.D.; Durrance, S.T.; Feldman, P.D.; Henry, R.C.; Kruk, J.W.; et al. Constraints on the origin of the ultraviolet upturn in elliptical galaxies from Hopkins Ultraviolet Telescope observations of NGC 1399. Astrophys. J. 1991, 382, 69–73. [Google Scholar] [CrossRef]
- Fisher, D.; Franx, M.; Illingworth, G. Line Strengths and Line-Strength Gradients in S0 Galaxies. Astrophys. J. 1996, 459. [Google Scholar] [CrossRef]
- Carollo, C.M.; Danziger, I.J.; Buson, L. Metallicity Gradients in Early Type Galaxies. Mon. Not. R. Astron. Soc. 1993, 265, 553–580. [Google Scholar] [CrossRef]
- Carollo, C.M.; Danziger, I.J. Dynamics and Stellar Populations in Early Type Galaxies. Mon. Not. R. Astron. Soc. 1994, 270, 523–569. [Google Scholar] [CrossRef]
- Carollo, C.M.; Danziger, I.J. Colours Line Strengths and Stellar Kinematics of NGC2663 and NGC5018. Mon. Not. R. Astron. Soc. 1994, 270, 743–768. [Google Scholar]
- González, J.J. Line Strength Gradients and Kinematic Profiles in Elliptical Galaxies. Ph.D. Thesis, University of California, Santa Cruz, CA, USA, 1993. [Google Scholar]
- Trager, S.C.; Faber, S.M.; Worthey, G.; González, J.J. The Stellar Population Histories of Local Early-Type Galaxies. I. Population Parameters. Astron. J. 2000, 119, 1645–1676. [Google Scholar]
- Trager, S.C.; Faber, S.M.; Worthey, G.; González, J.J. The Stellar Population Histories of Early-Type Galaxies. II. Controlling Parameters of the Stellar Populations. Astron. J. 2000, 120, 165–188. [Google Scholar]
- Faber, S.M.; Worthey, G.; Gonzalez, J.J. Absorption-Line Spectra of Elliptical Galaxies and Their Relation to Elliptical Formation. In The Stellar Populations of Galaxies; Barbuy, B., Renzini, A., Eds.; Kluwer Academic Publishers: Dordrecht, The Netherlands, 1992; Voluem 142, p. 255. [Google Scholar]
- Worthey, G. Comprehensive stellar population models and the disentanglement of age and metallicity effects. Astrophys. J. Suppl. 1994, 95, 107–149. [Google Scholar]
- Matteucci, F. Abundance ratios in ellipticals and galaxy formation. Astron. Astrophys. 1994, 288, 57–64. [Google Scholar]
- Matteucci, F. Galaxy Evolution. Fundam. Cosm. Phys. 1996, 17, 283–396. [Google Scholar]
- Matteucci, F.; Ponzone, R.; Gibson, B.K. On the trend of [Mg/Fe] among giant elliptical galaxies. Astron. Astrophys. 1998, 335, 855–866. [Google Scholar]
- Greggio, L. The rates of type Ia supernovae—II. Diversity of events at low and high redshifts. Mon. Not. R. Astron. Soc. 2010, 406, 22–42. [Google Scholar]
- Larson, R.B. Effects of supernovae on the early evolution of galaxies. Mon. Not. R. Astron. Soc. 1974, 169, 229–246. [Google Scholar]
- Larson, R.B. Dynamical models for the formation and evolution of spherical galaxies. Mon. Not. R. Astron. Soc. 1974, 166, 585–616. [Google Scholar]
- Chiosi, C.; Carraro, G. Formation and evolution of elliptical galaxies. Mon. Not. R. Astron. Soc. 2002, 335, 335–357. [Google Scholar]
- Tantalo, R.; Chiosi, C. Enhancement of alpha -elements in dynamical models of elliptical galaxies. Astron. Astrophys. 2002, 388, 396–406. [Google Scholar]
- Mehlert, D.; Thomas, D.; Saglia, R.P.; Bender, R.; Wegner, G. Spatially resolved spectroscopy of Coma cluster early-type galaxies. III. The stellar population gradients. Astron. Astrophys. 2003, 407, 423–435. [Google Scholar]
- Mathews, W.G.; Baker, J.C. Galactic Winds. Astrophys. J. 1971, 170, 241–260. [Google Scholar]
- Bower, R.G.; Lucey, J.R.; Ellis, R.S. Precision photometry of early-type galaxies in the Coma and Virgo clusters: A test of the universality of the colour-magnitude relation. I—The data. Mon. Not. R. Astron. Soc. 1992, 254, 589–613. [Google Scholar] [CrossRef]
- Bower, R.G.; Lucey, J.R.; Ellis, R.S. Precision Photometry of Early Type Galaxies in the Coma and Virgo Clusters—A Test of the Universality of the Colour—Magnitude Relation. II—Analysis. Mon. Not. R. Astron. Soc. 1992, 254, 601–613. [Google Scholar]
- Schweizer, F.; Seitzer, P. Correlations between UBV colors and fine structure in E and S0 galaxies—A first attempt at dating ancient merger events. Astron. J. 1992, 104, 1039–1067. [Google Scholar] [CrossRef]
- Faber, S.M.; Burstein, D.; Dressler, A. Spectrum of the halo of the cD galaxy in Abell 401. Astron. J. 1977, 82, 941–946. [Google Scholar] [CrossRef]
- Dressler, A. Internal kinematics of galaxies in clusters. I—Velocity dispersions for elliptical galaxies in Coma and Virgo. Astrophys. J. 1984, 181, 512–524. [Google Scholar] [CrossRef]
- Vader, J.P. Multivariate analysis of elliptical galaxies in different environments. Astrophys. J. 1986, 306, 390–400. [Google Scholar] [CrossRef]
- Kodama, T.; Arimoto, N. Origin of the colour-magnitude relation of elliptical galaxies. Astron. Astrophys. 1997, 320, 41–53. [Google Scholar]
- Burstein, D.; Faber, S.M.; Gaskell, C.M.; N. Krumm, N. Old stellar populations. I—A spectroscopic comparison of galactic globular clusters, M31 globular clusters, and elliptical galaxies. Astrophys. J. 1984, 287, 586–609. [Google Scholar] [CrossRef]
- Faber, S.M.; Friel, D.E.; Burstein, D.; Gaskell, C.M. Old stellar populations. II—An analysis of K-giant spectra. Astrophys. J. Suppl. 1985, 57, 711–741. [Google Scholar] [CrossRef]
- Worthey, G. The Controlling Parameters of the Integrated Flux of a Stellar Population. Publ. Astron. Soc. Pac. 1993, 105. [Google Scholar] [CrossRef]
- Worthey, G.; Faber, S.M.; González, J.J. MG and Fe absorption features in elliptical galaxies. Astrophys. J. 1992, 398, 69–73. [Google Scholar] [CrossRef]
- Worthey, G.; Faber, S.M.; González, J.J.; Burstein, D. Old stellar populations. 5: Absorption feature indices for the complete LICK/IDS sample of stars. Astrophys. J. Suppl. 1994, 94, 687–722. [Google Scholar] [CrossRef]
- Renzini, A.; Buzzoni, A. Global properties of stellar populations and the spectral evolution of galaxies. In Spectral Evolution of Galaxies; Chiosi, C., Renzini, A., Eds.; Reidel: Dordecht, The Netherlands, 1986; pp. 195–231. [Google Scholar]
- Bressan, A.; Chiosi, C.; Tantalo, R. Probing the age of elliptical galaxies. Astron. Astrophys. 1996, 311, 425–445. [Google Scholar]
- Rakos, K.; Schombert, J.; Maitzen, H.M.; Prugovecki, S.; Odell, A. Ages and Metallicities of Fornax Dwarf Elliptical Galaxies. Astron. J. 2001, 121, 1974–1991. [Google Scholar] [CrossRef]
- Tantalo, R.; Chiosi, C.; Bressan, A. Ages and metallicities in elliptical galaxies from the Hβ, 〈Fe〉, and Mg2 diagnostics. Astron. Astrophys. 1998, 333, 419–432. [Google Scholar]
- Tantalo, R.; Chiosi, C.; Bressan, A.; Marigo, P.; Portinari, L. Spectro-photometric evolution of elliptical galaxies. III. Infall models with gradients in mass density and star formation. Astron. Astrophys. 1998, 335, 823–846. [Google Scholar]
- Kuntschner, H. The Star Formation History of Early-Type Galaxies in the Fornax Cluster. Ph.D. Thesis, University Durham, Durham, UK, 1998. [Google Scholar]
- Kuntschner, H.; Davies, R.L. The ages and metallicities of early-type galaxies in the Fornax cluster. Mon. Not. R. Astron. Soc. 1998, 295, 129–l33. [Google Scholar] [CrossRef]
- Jorgensen, I. E and S0 galaxies in the central part of the Coma cluster: Ages, metal abundances and dark matter. Mon. Not. R. Astron. Soc. 1999, 306, 607–636. [Google Scholar] [CrossRef]
- Kuntschner, H. The stellar populations of early-type galaxies in the Fornax cluster. Mon. Not. R. Astron. Soc. 2000, 315, 184–208. [Google Scholar] [CrossRef]
- Poggianti, B.M.; Bridges, T.J.; Mobasher, B.; Carter, D.; Doi, M.; Iye, M.; Kashikawa, N.; Komiyama, Y.; Okamura, S.; Sekiguchi, M.; et al. A Photometric and Spectroscopic Study of Dwarf and Giant Galaxies in the Coma Cluster. III. Spectral Ages and Metallicities. Astrophys. J. 2001, 562, 689–712. [Google Scholar] [CrossRef]
- Kuntschner, H. The Stellar Populations of Early-Type Galaxies in the Fornax Cluster. Astrophys. Space Sci. 2001, 276, 885–891. [Google Scholar] [CrossRef]
- Kuntschner, H.; Lucey, J.R.; Smith, R.J.; Hudson, M.J.; Davies, R.L. On the dependence of spectroscopic indices of early-type galaxies on age, metallicity and velocity dispersion. Mon. Not. R. Astron. Soc. 2001, 323, 615–629. [Google Scholar] [CrossRef]
- Vazdekis, A.; Kuntschner, H.; Davies, R.L.; Arimoto, N.; Nakamura, O.; Peletier, R. On the Origin of the Color-Magnitude Relation in the Virgo Cluster. Astrophys. J. 2001, 551, 127–130. [Google Scholar] [CrossRef]
- Davies, R.L.; Kuntschner, H.; Emsellem, E.; Bacon, R.; Bureau, M.; Carollo, C.M.; Copin, Y.; Miller, B.M.; Monnet, G.; Peletier, R.F.; et al. Galaxy Mapping with the SAURON Integral-Field Spectrograph: The Star Formation History of NGC 4365. Astrophys. J. Lett. 2001, 548. [Google Scholar] [CrossRef]
- Maraston, C.; Greggio, L.; Renzini, A.; Ortolani, S.; Saglia, R.P.; Puzia, T.H.; Kissler-Patig, M. Integrated spectroscopy of bulge globular clusters and fields. II. Implications for population synthesis models and elliptical galaxies. Astron. Astrophys. 2003, 400, 823–840. [Google Scholar] [CrossRef]
- Thomas, D.; Maraston, C.; Bender, R. Stellar population models of Lick indices with variable element abundance ratios. Mon. Not. R. Astron. Soc. 2003, 339, 897–911. [Google Scholar] [CrossRef]
- Thomas, D.; Maraston, C.; Bender, R. New clues on the calcium under-abundance in early-type galaxies. Mon. Not. R. Astron. Soc. 2003, 343, 279–283. [Google Scholar] [CrossRef]
- Thomas, D.; Maraston, C. The impact of alpha /Fe enhanced stellar evolutionary tracks on the ages of elliptical galaxies. Astron. Astrophys. 2003, 401, 429–432. [Google Scholar] [CrossRef]
- Tantalo, R.; Chiosi, C. Star formation history in early-type galaxies. I. The line absorption indices diagnostics. Mon. Not. R. Astron. Soc. 2004, 353, 405–421. [Google Scholar] [CrossRef]
- Weiss, A.; Peletier, R.F.; Matteucci, F. Synthetic metal line indices for elliptical galaxies from super metal-rich α-enhanced stellar models. Astron. Astrophys. 1995, 296, 73–89. [Google Scholar]
- Salasnich, B.; Girardi, L.; Weiss, A.; Chiosi, C. Evolutionary tracks and isochrones for α-enhanced stars. Astron. Astrophys. 2000, 361, 1023–1035. [Google Scholar]
- Trager, S.C.; Worthey, G.; Faber, S.M.; Burstein, D.; González, J.J. Old Stellar Populations. VI. Absorption-Line Spectra of Galaxy Nuclei and Globular Clusters. Astrophys. J. Suppl. 1998, 116, 1–28. [Google Scholar] [CrossRef]
- Idiart, T.P.; de Freitas-Pacheco, J.A. Empirical Calibration of Metallicity Indices for Single Stellar Populations. Astron. J. 1995, 109, 2218–2228. [Google Scholar] [CrossRef]
- Cenarro, A.J.; Cardiel, N.; Gorgas, J.; Peletier, R.F.; Vazdekis, A.; Prada, F. Empirical calibration of the near-infrared Ca II triplet—I. The stellar library and index definition. Mon. Not. R. Astron. Soc. 2001, 326, 959–980. [Google Scholar] [CrossRef]
- Cenarro, A.J.; Gorgas, J.; Cardiel, N.; Vazdekis, A.; Peletier, R.F. Empirical calibration of the near-infrared Ca II triplet—III. Fitting functions. Mon. Not. R. Astron. Soc. 2002, 329, 863–876. [Google Scholar] [CrossRef]
- Sánchez-Blázquez, P.; Peletier, R.; Vazdekis, A.; Gorgas, J.; Cardiel, N.; Selam, S.; Falcón, J. A New Spectral Stellar Library for Population Synthesis. In Highlights of Spanish Astrophysics III; Springer: Berlin, Germany, 2003. [Google Scholar]
- Tantalo, R.; Chiosi, C. Measuring age, metallicity and abundance ratios from absorption-line indices. Mon. Not. R. Astron. Soc. 2004, 353, 917–940. [Google Scholar] [CrossRef]
- Tantalo, R.; Chiosi, C.; Piovan, L. New response functions for absorption-line indices from high-resolution spectra. Astron. Astrophys. 2007, 462, 481–494. [Google Scholar] [CrossRef]
- Salaris, M.; Chieffi, A.; Straniero, O. The α-enhanced isochrones and their impact on the FITS to the Galactic globular cluster system. Astrophys. J. 1993, 414, 580–600. [Google Scholar] [CrossRef]
- Tantalo, R.; Chiosi, C.; Piovan, L. New Response Functions for Absorption-Line Indices from High-Resolution Spectra. Astron. Soc. Pac. Conf. Ser. 2007, 374, 373–378. [Google Scholar] [CrossRef]
- Tripicco, M.J.; Bell, R.A. Modeling the LICK/IDS Spectral Feature Indices Using Synthetic Spectra. Astron. J. 1995, 110. [Google Scholar] [CrossRef]
- Munari, U.; Sordo, R.; Castelli, F.; Zwitter, T. An extensive library of 2500–10500 Å synthetic spectra. Astron. Astrophys. 2005, 442, 1127–1134. [Google Scholar] [CrossRef]
- Vazdekis, A.; Peletier, R.F.; Beckman, J.E.; Casuso, E. A New Chemo-evolutionary Population Synthesis Model for Early-Type Galaxies. II. Observations and Results. Astrophys. J. Suppl. 1997, 111, 203–232. [Google Scholar] [CrossRef]
- Davies, R.L.; Sadler, E.M.; Peletier, R. Line-strength gradients in elliptical galaxies. Mon. Not. R. Astron. Soc. 1993, 262, 650–680. [Google Scholar] [CrossRef]
- Chiosi, C.; Bressan, A.; Portinari, L.; Tantalo, R. A new scenario of galaxy evolution under a universal Initial Mass Function. Astron. Astrophys. 1998, 339, 355–381. [Google Scholar]
- Longhetti, M.; Bressan, A.; Chiosi, C.; Rampazzo, R. Star formation history of early-type galaxies in low density environments. IV. What do we learn from nuclear line-strength indices? Astron. Astrophys. Suppl. 2000, 353, 917–928. [Google Scholar]
- Spergel, D.N.; Verde, L.; Pereis, H.V.; Komatsu, E.; Nolta, M.R.; Bennett, C.L.; Halpern, M.; Hinshaw, G.; Jarosik, N.; Kogut, A.; et al. First-Year Wilkinson Microwave Anisotropy Probe (WMAP) Observations: Determination of Cosmological Parameters. Astrophys. J. Suppl. 2003, 148, 175–194. [Google Scholar] [CrossRef]
- Sarzi, M.; Falcón-Barroso, J.; Davies, R.L.; Bacon, R.; Bureau, M.; Cappellari, M.; de Zeeuw, P.T.; Emsellem, E.; Fathi, K.; Krajnović, D.; et al. The SAURON project—V. Integral-field emission-line kinematics of 48 elliptical and lenticular galaxies. Mon. Not. R. Astron. Soc. 2006, 366, 1151–1200. [Google Scholar] [CrossRef]
- Forbes, D.A.; Terlevich, A.I. Age Estimates for Galaxies in Groups. Astron. Soc. Pac. Conf. 2000, 209, 335–338. [Google Scholar]
- Poggianti, B.M.; Bridges, T.J.; Carter, D.; Mobasher, B.; Doi, M.; Iye, M.; Kashikawa, N.; Komiyama, Y.; Okamura, S.; Sekiguchi, M.; et al. Ages of S0 and Elliptical Galaxies in the Coma Cluster. Astrophys. J. 2001, 563, 118–123. [Google Scholar] [CrossRef]
- Bower, R.G.; Kodama, T.; Terlevich, A. The colour-magnitude relation as a constraint on the formation of rich cluster galaxies. Mon. Not. R. Astron. Soc. 1998, 299, 1193–1208. [Google Scholar] [CrossRef]
- Longhetti, M.; Rampazzo, R.; Bressan, A.; Chiosi, C. Star formation history of early-type galaxies in low density environments. I. Nuclear line-strength indices. Astron. Astrophys. Suppl. 1998, 130, 251–265. [Google Scholar] [CrossRef]
- Longhetti, M.; Rampazzo, R.; Bressan, A.; Chiosi, C. Star formation history of early-type galaxies in low density environments. II. Kinematics. Astron. Astrophys. Suppl. 1998, 130, 267–283. [Google Scholar] [CrossRef]
- Longhetti, M.; Bressan, A.; Chiosi, C.; Rampazzo, R. Star formation history of early-type galaxies in low density environments. V. Blue line-strength indices for the nuclear region. Astron. Astrophys. Suppl. 1999, 345, 419–429. [Google Scholar]
- Buson, L.M.; Bertola, F.; Cappellari, M.; Chiosi, C.; Dressler, A.; Oemler, A., Jr. Ultraviolet imaging of the galaxy cluster CL 0939 + 4713 (Abell 851) at z= 0.411. Astrophys. J. 2000, 531, 684–692. [Google Scholar] [CrossRef]
- Graham, A.W. Elliptical and Disk Galaxy Structure and Modern Scaling Laws. Planets Stars Stellar Syst. 2013, 6, 91–139. [Google Scholar]
- Graham, A.W. Scaling laws in disk galaxies. ArXiv E-Prints 2013. arXiv:1311.7207. [Google Scholar]
- Bender, R.; Burstein, D.; Faber, S.M. Dynamically hot galaxies. I—Structural properties. Astrophys. J. 1992, 399, 462–477. [Google Scholar] [CrossRef]
- Ciotti, L.; Lanzoni, B.; Renzini, A. The tilt of the fundamental plane of elliptical galaxies—I. Exploring dynamical and structural effects. Mon. Not. R. Astron. Soc. 1996, 282, 1–12. [Google Scholar] [CrossRef]
- Renzini, A.; Ciotti, L. Transverse Dissections of the Fundamental Planes of Elliptical Galaxies and Clusters of Galaxies. Astrophys. J. 1993, 416. [Google Scholar] [CrossRef]
- Burstein, D.; Bender, R.; Faber, S.; Nolthenius, R. Global Relationships Among the Physical Properties of Stellar Systems. Astron. J. 1997, 114. [Google Scholar] [CrossRef]
- Renzini, A. Stellar Population Diagnostics of Elliptical Galaxy Formation. Annu. Rev. Astron. Astrophys. 2006, 44, 141–192. [Google Scholar] [CrossRef]
- Bromm, V.; Yoshida, N. The First Galaxies. Annu. Rev. Astron. Astrophys. 2011, 49, 373–407. [Google Scholar] [CrossRef]
- Silk, J.; Mamon, G.A. The current status of galaxy formation. Res. Astron. Astrophys. 2012, 12, 917–946. [Google Scholar] [CrossRef]
- Courteau, S.; Cappellari, M.; de Jong, R.S.; Dutton, A.A.; Emsellem, E.; Hoekstra, H.; Koopmans, L.V.E.; Mamon, G.A.; Maraston, C.; Treu, T.; et al. Galaxy Masses: A Review. ArXiv E-Prints 2013. arXiv:1309.3276. [Google Scholar] [CrossRef]
- Madau, P.; Ferguson, H.C.; Dickinson, M.E.; Giavalisco, M.; Steidel, C.C.; Fruchter, A. High-redshift galaxies in the Hubble Deep Field: Colour selection and star formation history to z ∼ 4. Mon. Not. R. Astron. Soc. 1996, 283, 1388–1404. [Google Scholar] [CrossRef]
- Steidel, C.C.; Adelberger, K.L.; Giavalisco, M.; Dickinson, M.; Pettini, M. Lyman-Break Galaxies at z > 4 and the Evolution of the Ultraviolet Luminosity Density at High Redshift. Astrophys. J. 1999, 519, 1–17. [Google Scholar] [CrossRef]
- Stanway, E.R.; Bunker, A.J.; McMahon, R.G. Lyman break galaxies and the star formation rate of the Universe at z ∼ 6. Mon. Not. R. Astron. Soc. 2003, 342, 439–445. [Google Scholar] [CrossRef]
- Dickinson, M.; Stern, D.; Giavalisco, M.; Ferguson, H.C.; Tsvetanov, Z.; Chornock, R.; Cristiani, S.; Dawson, S.; Dey, A.; Filippenko, A.V.; et al. Color-selected Galaxies at z ∼ 6 in the Great Observatories Origins Deep Survey. Astrophys. J. Lett. 2004, 600, 99–102. [Google Scholar] [CrossRef]
- Zheng, W.; Postman, M.; Zitrin, A.; Moustakas, J.; Shu, X.; Jouvel, S.; Høst, O.; Molino, A.; Bradley, L.; Coe, D.; et al. A magnified young galaxy from about 500 million years after the Big Bang. Nature 2012, 489, 406–408. [Google Scholar] [CrossRef] [PubMed]
- Bouwens, R.; Bradley, L.; Zitrin, A.; Coe, D.; Franx, M.; Zheng, W.; Smit, R.; Host, O.; Postman, M.; Moustakas, L.; et al. A Census of Star-Forming Galaxies in the z ∼ 9–10 Universe Based on HST + Spitzer Observations Over 19 CLASH Clusters: Three Candidate z ∼ 9–10 Galaxies and Improved Constraints on the Star Formation Rate Density at z ∼ 9.2. ArXiv E-Prints 2012. arXiv:1211.2230. [Google Scholar]
- Oesch, P.A.; Bouwens, R.J.; Illingworth, G.D.; Labbé, I.; Trenti, M.; Gonzalez, V.; Carollo, C.M.; Franx, M.; van Dokkum, P.G.; Magee, D. Expanded Search for z ∼ 10 Galaxies from HUDF09, ERS, and CANDELS Data: Evidence for Accelerated Evolution at z ≥ 8? Astrophys. J. 2012, 745. [Google Scholar] [CrossRef]
- Rowan-Robinson, M. Panchromatic radiation from galaxies as a probe of galaxy formation and evolution. In Proceedings of the IAU Symposium 284, Preston, UK, 5–9 September 2012; pp. 446–455.
- Tegmark, M.; Silk, J.; Rees, M.J.; Blanchard, A.; Abel, T.; Palla, F. How Small Were the First Cosmological Objects? Astrophys. J. 1997, 474, 1–12. [Google Scholar] [CrossRef]
- Gao, L.; Yoshida, N.; Abel, T.; Frenk, C.S.; Jenkins, A.; Springel, V. The first generation of stars in the Λ cold dark matter cosmology. Mont. Not. R. Astron. Soc. 2007, 378, 449–468. [Google Scholar] [CrossRef]
- Gao, Y.; Carilli, C.L.; Solomon, P.M.; Vanden Bout, P.A. HCN Observations of Dense Star-forming Gas in High-Redshift Galaxies. Astrophys. J. Lett. 2007, 660, 93–96. [Google Scholar] [CrossRef]
- Marchesini, D.; Whitaker, K.E.; Brammer, G.; van Dokkum, P.G.; Labbé, I.; Muzzin, A.; Quadri, R.F.; Kriek, M.; Lee, K.-S.; Rudnick, G.; et al. The Most Massive Galaxies at 3.0 < z < 4.0 in the Newfirm Medium-band Survey: Properties and Improved Constraints on the Stellar Mass Function. Astrophys. J. 2010, 725, 1277–1295. [Google Scholar]
- Mortlock, D.J.; Warren, S.J.; Venemans, B.P.; Patel, M.; Hewett, P.C.; McMahon, R.G.; Simpson, C.; Theuns, T.; Gonzáles-Solares, E.A.; Adamson, A.; et al. A luminous quasar at a redshift of z = 7.085. Nature 2011, 474, 616–619. [Google Scholar] [CrossRef] [PubMed]
- Shapley, A.E.; Steidel, C.C.; Adelberger, K.L.; Dickinson, M.; Giavalisco, M.; Pettini, M. The Rest-Frame Optical Properties of z ≃ 3 Galaxies. Astrophys. J. 2001, 562, 95–123. [Google Scholar] [CrossRef]
- Carilli, C.L.; Bertoldi, F.; Rupen, M.P.; Fan, X.; Strauss, M.A.; Menten, K.M.; Kreysa, E.; Schneider, D.P.; Bertarini, A.; Yun, M.S.; et al. A 250 GHz Survey of High-Redshift Quasars from the Sloan Digital Sky Survey. Astrophys. J. 2001, 555, 625–632. [Google Scholar] [CrossRef]
- Robson, I.; Priddey, R.S.; Isaak, K.G.; McMahon, R.G. Submillimetre observations of z > 6 quasars. Mon. Not. R. Astron. Soc. 2004, 351, 29–33. [Google Scholar] [CrossRef]
- Wang, R.; Carilli, C.L.; Wagg, J.; Bertoldi, F.; Walter, F.; Menten, K.M.; Omont, A.; Cox, P.; Strauss, M.A.; Fan, X.; et al. Thermal Emission from Warm Dust in the Most Distant Quasars. Astrophys. J. 2008, 687, 848–858. [Google Scholar] [CrossRef]
- Wang, R.; Wagg, J.; Carilli, C.L.; Benford, D.J.; Dowell, C.D.; Bertoldi, F.; Walter, F.; Menten, K.M.; Omont, A.; Cox, P.; et al. SHARC-II 350 μ Observations of Thermal Emission from Warm Dust in z ≥ 5 Quasars. Astron. J. 2008, 135, 1201–1206. [Google Scholar] [CrossRef]
- Michałowski, M.J.; Hjorth, J.; Castro Cerón, J.M.; Watson, D. The Nature of GRB-Selected Submillimeter Galaxies: Hot and Young. Astrophys. J. 2008, 672, 817–824. [Google Scholar] [CrossRef]
- Michałowski, M.J.; Murphy, E.J.; Hjorth, J.; Watson, D.; Gall, C.; Dunlop, J.S. Dust grain growth in the interstellar medium of 5 < z < 6.5 quasars. Astron. Astrophys. 2010, 522. [Google Scholar] [CrossRef]
- Michałowski, M.J.; Watson, D.; Hjorth, J. Rapid Dust Production in Submillimeter Galaxies at z > 4? Astrophys. J. 2010, 712, 942–950. [Google Scholar] [CrossRef]
- Gall, C.; Andersen, A.C.; Hjorth, J. Genesis and evolution of dust in galaxies in the early Universe. I. Modelling dust evolution in starburst galaxies. Astron. Astrophys. 2011, 528. [Google Scholar] [CrossRef]
- Gall, C.; Andersen, A.C.; Hjorth, J. Genesis and evolution of dust in galaxies in the early Universe. II. Rapid dust evolution in quasars at z > 6. Astron. Astrophys. 2011, 528. [Google Scholar] [CrossRef]
- Gall, C.; Hjorth, J.; Andersen, A.C. Production of dust by massive stars at high redshift. Astron. Astrophys. Rev. 2011, 19. [Google Scholar] [CrossRef]
- Dwek, E.; Galliano, F.; Jones, A. The Cycle of Dust in the Milky Way: Clues from the High-Redshift and Local Universe. In Proceedings of the Cosmic Dust—Near and Far, Heidelberg, Germany, 8–12 September 2008; p. 183.
- Draine, B.T. Interstellar Dust Models and Evolutionary Implications. In Proceedings of the Cosmic Dust—Near and Far, Heidelberg, Germany, 8–12 September 2008; Henning, T., Grün, E., Steinacker, J., Eds.; p. 453.
- Dwek, E.; Cherchneff, I. The Origin of Dust in the Early Universe: Probing the Star Formation History of Galaxies by Their Dust Content. Astrophys. J. 2011, 727. [Google Scholar] [CrossRef]
- González, V.; Labbé, I.; Bouwens, R.J.; Illingworth, G.; Franx, M.; Kriek, M. Evolution of Galaxy Stellar Mass Functions, Mass Densities, and Mass-to-light Ratios from z ∼ 7 to z ∼ 4. Astrophys. J. Lett. 2011, 735. [Google Scholar] [CrossRef]
- Lukić, Z.; Heitmann, K.; Habib, S.; Bashinsky, S.; Ricker, P.M. The Halo Mass Function: High-Redshift Evolution and Universality. Astrophys. J. 2007, 671, 1160–1181. [Google Scholar] [CrossRef]
- Schechter, P. An analytic expression for the luminosity function for galaxies. Astrophys. J. 1976, 203, 297–306. [Google Scholar] [CrossRef]
- Silk, J. On the fragmentation of cosmic gas clouds. I—The formation of galaxies and the first generation of stars. Astrophys. J. 1977, 211, 638–648. [Google Scholar] [CrossRef]
- Silk, J. On the fragmentation of cosmic gas clouds. II—Opacity-limited star formation. Astrophys. J. 1977, 211, 152–160. [Google Scholar] [CrossRef]
- Silk, J. On the fragmentation of cosmic gas clouds. III—The initial stellar mass function. Astrophys. J. 1977, 211, 718–724. [Google Scholar] [CrossRef]
- Rodighiero, G.; Daddi, E.; Baronchelli, I.; Cimatti, A.; Renzini, A.; Aussel, H.; Popesso, P.; Lutz, D.; Andreani, P.; Berta, S.; et al. The Lesser Role of Starbursts in Star Formation at z = 2. Astrophys. J. Lett. Astrophys. J. Lett. 2011, 739. [Google Scholar] [CrossRef]
- Kennicutt, R.C., Jr.; Calzetti, D.; Walter, F.; Helou, G.; Hollenbach, D.J.; Armus, L.; Bendo, G.; Dale, D.A.; Draine, B.T.; Engelbracht, C.W.; et al. Star Formation in NGC 5194 (M51a). II. The Spatially Resolved Star Formation Law. Astrophys. J. 2007, 671, 333–348. [Google Scholar] [CrossRef]
- Krumholz, M.R.; Dekel, A.; McKee, C.F. A Universal, Local Star Formation Law in Galactic Clouds, nearby Galaxies, High-redshift Disks, and Starbursts. Astrophys. J. 2012, 745. [Google Scholar] [CrossRef]
- Schawinski, K.; Thomas, D.; Sarzi, M.; Maraston, C.; Kaviraj, S.; Joo, S.-J.; Yi, S.K.; Silk, J. Observational evidence for AGN feedback in early-type galaxies. Mon. Not. R. Astron. Soc. 2007, 382, 1415–1431. [Google Scholar]
- Weinmann, S.M.; Pasquali, A.; Oppenheimer, B.D.; Finlator, K.; Mendel, J.T.; Crain, R.A.; Macciò, A.V. A fundamental problem in our understanding of low-mass galaxy evolution. Mon. Not. R. Astron. Soc. 2012, 426, 2797–2812. [Google Scholar]
- Lilly, S.J.; Carollo, C.M.; Pipino, A.; Renzini, A.; Peng, Y. Gas Regulation of Galaxies: The Evolution of the Cosmic Specific Star Formation Rate, the Metallicity-Mass-Star-formation Rate Relation, and the Stellar Content of Halos. Astrophys. J. 2013, 772. [Google Scholar] [CrossRef]
- Lilly, S.J.; Peng, Y.; Renzini, A.; Carollo, C.M. A Simple Continuity Approach to Galaxy Evolution. Astron. Soc. Pac. Conf. Ser. 2013, 477, 11–20. [Google Scholar]
- Merlin, E.; Chiosi, C. Formation and evolution of early-type galaxies. II. Models with quasi-cosmological initial conditions. Astron. Astrophys. 2006, 457, 437–453. [Google Scholar] [CrossRef]
- Merlin, E.; Chiosi, C. Simulating the formation and evolution of galaxies: Multi-phase description of the interstellar medium, star formation, and energy feedback. Astron. Astrophys. 2007, 473, 733–745. [Google Scholar]
- Merlin, E. Simulating the Formation and Evolution of Galaxies. Methods and Results. Ph.D. Thesis, University of Padova, Padova, Italy, 2009. [Google Scholar]
- Merlin, E.; Buonomo, U.; Grassi, T.; Piovan, L.; Chiosi, C. EvoL: The new Padova Tree-SPH parallel code for cosmological simulations. I. Basic code: Gravity and hydrodynamics. Astron. Astrophys. 2010, 513. [Google Scholar] [CrossRef]
- Tollerud, E.J.; Bullock, J.S.; Graves, G.J.; Wolf, J. From Galaxy Clusters to Ultra-faint Dwarf Spheroidals: A Fundamental Curve Connecting Dispersion-supported Galaxies to Their Dark Matter Halos. Astrophys. J. 2011, 726. [Google Scholar] [CrossRef]
- Springel, V. The cosmological simulation code GADGET-2. Mon. Not. R. Astron. Soc. 2005, 364, 1105–1134. [Google Scholar]
- Springel, V.; White, S.D.M.; Jenkins, A.; Frenk, C.S.; Yoshida, N.; Gao, L.; Navarro, J.; Thacker, R.; Croton, D.; Helly, J.; et al. Simulations of the formation, evolution and clustering of galaxies and quasars. Nature 2005, 435, 629–636. [Google Scholar]
- Springel, V. E pur si muove: Galilean-invariant cosmological hydrodynamical simulations on a moving mesh. Mon. Not. R. Astron. Soc. 2010, 401, 791–851. [Google Scholar]
- Springel, V. Smoothed Particle Hydrodynamics in Astrophysics. Annu. Rev. Astron. Astrophys. Annu. Rev. Astron. Astrophys. 2010, 391, 391–430. [Google Scholar]
- Lacey, C.; Cole, S. Merger rates in hierarchical models of galaxy formation. Mon. Not. R. Astron. Soc. 1993, 262, 627–649. [Google Scholar]
- Benson, A.J. GALACTICUS: A semi-analytic model of galaxy formation. N. Astron. 2012, 17, 175–197. [Google Scholar]
- De Lucia, G.; Springel, V.; White, S.D.M.; Croton, D.; Kauffmann, G. The formation history of elliptical galaxies. Mon. Not. R. Astron. Soc. 2006, 366, 499–509. [Google Scholar]
- Almeida, C.; Baugh, C.M.; Lacey, C.G. The structural and photometric properties of early-type galaxies in hierarchical models. Mon. Not. R. Astron. Soc. 2007, 376, 1711–1726. [Google Scholar]
- De Lucia, G.; Blaizot, J. The hierarchical formation of the brightest cluster galaxies. Mon. Not. R. Astron. Soc. 2007, 375, 2–14. [Google Scholar]
- González, J.E.; Lacey, C.G.; Baugh, C.M.; Frenk, C.S.; Benson, A.J. Testing model predictions of the cold dark matter cosmology for the sizes, colours, morphologies and luminosities of galaxies with the SDSS. Mon. Not. R. Astron. Soc. 2009, 397, 1254–1274. [Google Scholar]
- Parry, O.H.; Eke, V.R.; Frenk, C.S. Galaxy morphology in the ΛCDM cosmology. Mon. Not. R. Astron. Soc. 2009, 396, 1972–1984. [Google Scholar] [CrossRef]
- De Lucia, G.; Fontanot, F.; Wilman, D.; Monaco, P. Times, environments and channels of bulge formation in a Lambda cold dark matter cosmology. Mon. Not. R. Astron. Soc. 2011, 414, 1439–1454. [Google Scholar]
- Bundy, K.; Ellis, R.S.; Conselice, C.J. The Mass Assembly Histories of Galaxies of Various Morphologies in the GOODS Fields. Astrophys. J. 2005, 625, 621–632. [Google Scholar]
- Bundy, K.; Ellis, R.S.; Conselice, C.J.; Taylor, J.E.; Cooper, M.C.; Willmer, C.N.A.; Weiner, B.J.; Coil, A.L.; Noeske, K.G.; Eisenhardt, P.R.M. The Mass Assembly History of Field Galaxies: Detection of an Evolving Mass Limit for Star-Forming Galaxies. Astrophys. J. 2006, 651, 120–141. [Google Scholar]
- Bundy, K.; Treu, T.; Ellis, R.S. The Mass Assembly History of Spheroidal Galaxies: Did Newly Formed Systems Arise via Major Mergers? Astrophys. J. Lett. 2007, 665, 5–8. [Google Scholar]
- Barnes, J.; Hut, P. A Hierarchical O(NlogN) Force-Calculation Algorithm. Nature 1986, 324, 446–449. [Google Scholar]
- Monaghan, J.J. Smoothed particle hydrodynamics. Annu. Rev. Astron. Astrophys. 1992, 30, 543–574. [Google Scholar]
- Carraro, G.; Lia, C.; Chiosi, C. Galaxy formation and evolution—I. The Padua tree-sph code (pd-sph). Mon. Not. R. Astron. Soc. 1998, 297, 1021–1040. [Google Scholar]
- Buonomo, F.; Carraro, G.; Chiosi, C.; Lia, C. Galaxy formation and evolution - II. Energy balance, star formation and feedback. Mon. Not. R. Astron. Soc. 2000, 312, 371–379. [Google Scholar] [CrossRef]
- Lia, C.; Portinari, L.; Carraro, G. Star formation and chemical evolution in smoothed particle hydrodynamics simulations: A statistical approach. Mon. Not. R. Astron. Soc. 2002, 330, 821–836. [Google Scholar] [CrossRef]
- Hinshaw, G.; Weiland, J.L.; Hill, R.S.; Odegard, N.; Larson, D.; Bennett, C.L.; Dunkley, J.; Gold, B.; Greason, M.R.; Jarosik, N.; et al. Five-Year Wilkinson Microwave Anisotropy Probe Observations: Data Processing, Sky Maps, and Basic Results. Astrophys. J. Suppl. 2009, 180, 225–245. [Google Scholar]
- Bertschinger, E. COSMICS: Cosmological Initial Conditions and Microwave Anisotropy Codes. ArXiv E-Prints 1995. arXiv:astro-ph/9506070. [Google Scholar]
- Katz, N.; Gunn, J.E. Dissipational galaxy formation. I—Effects of gasdynamics. Astrophys. J. 1991, 337, 365–381. [Google Scholar] [CrossRef]
- Kawata, D. Galaxy Formation from a Low-Spin Density Perturbation in a CDM Universe. Publ. Astron. Soc. Jpn. 1999, 51, 931–941. [Google Scholar]
- White, S.D.M. Angular momentum growth in protogalaxies. Astrophys. J. 1984, 286, 38–41. [Google Scholar] [CrossRef]
- Press, W.H.; Schechter, P. Formation of Galaxies and Clusters of Galaxies by Self-Similar Gravitational Condensation. Astrophys. J. 1974, 187, 425–438. [Google Scholar] [CrossRef]
- Sheth, R.K.; Mo, H.J.; Tormen, G. Ellipsoidal collapse and an improved model for the number and spatial distribution of dark matter haloes. Mon. Not. R. Astron. Soc. 2001, 323, 1–12. [Google Scholar] [CrossRef]
- Warren, S.; Lawrence, A.; Almaini, O.; Cirasuolo, M.; Foucaud, S.; Hambly, N.; Hewett, P.; Jameson, R.; Leggett, S.; Lodieu, N.; et al. Early Science Results from the UKIDSS ESO Public Survey. Messenger 2006, 126, 7–10. [Google Scholar]
- Power, C.; Knebe, A. The impact of box size on the properties of dark matter haloes in cosmological simulations. Mon. Not. R. Astron. Soc. 2006, 370, 691–701. [Google Scholar] [CrossRef]
- Bryan, G.L.; Norman, M.L. Statistical Properties of X-Ray Clusters: Analytic and Numerical Comparisons. Astrophys. J. 1998, 495. [Google Scholar] [CrossRef]
- Churches, D.K.; Nelson, A.H.; Edmunds, M.G. Numerical simulations of the formation and chemical evolution of galaxies. Mon. Not. R. Astron. Soc. 2001, 327, 610–622. [Google Scholar] [CrossRef]
- Lada, C.J.; Lada, E.A. Embedded Clusters in Molecular Clouds. Ann. Rev. Astron. Astrophs. 2003, 41, 57–115. [Google Scholar] [CrossRef]
- Krumholz, M.R.; Tan, J.C. Slow Star Formation in Dense Gas: Evidence and Implications. Astrophys. J. 2007, 654, 304–315. [Google Scholar] [CrossRef]
- Sutherland, R.S.; Dopita, M.A. Cooling functions for low-density astrophysical plasmas. Astrophys. J. Suppl. 1993, 88, 253–327. [Google Scholar] [CrossRef]
- Hollenbach, D.; McKee, C.F. Molecule formation and infrared emission in fast interstellar shocks. I. Physical processes. Astrophys. J. Suppl. 1979, 41, 555–592. [Google Scholar] [CrossRef]
- Caimmi, R.; Secco, L. Evolution of galaxies—One-zone model with a birth-rate stellar function depending on gas density and temperature. Astrophys. Space Sci. 1986, 119, 315–336. [Google Scholar]
- Theis, C.; Burkert, A.; Hensler, G. Chemo-dynamical evolution of massive spherical galaxies. Astron. Astrophys. 1992, 265, 465–477. [Google Scholar]
- Hollenbach, D. Heating and cooling of molecular clouds and their surfaces. Astrophys. Lett. Commun. 1988, 26, 191–205. [Google Scholar]
- Ikeuchi, S.; Ostriker, J.P. Evolution of the intergalactic medium—What happened during the epoch Z = 3–10? Astrphys. J. 1986, 301, 522–543. [Google Scholar] [CrossRef]
- Dyson, J.E.; Williams, D.A. The Physics of the Interstellar Medium, 2nd ed.; Dyson, J.E., Williams, D.A., Eds.; Series: The Graduate Series in Astronomy; Institute of Physics Publishing: Bristol, UK, 1997. [Google Scholar]
- Thornton, K.; Gaudlitz, M.; Janka, H.-T.; Steinmetz, M. Energy Input and Mass Redistribution by Supernovae in the Interstellar Medium. Astrophys. J. 1998, 500, 95–119. [Google Scholar] [CrossRef]
- Cho, H.; Kang, H. Feedback from multiple supernova explosions inside a wind-blown bubble. Nature 2008, 13, 163–177. [Google Scholar] [CrossRef]
- Greggio, L.; Renzini, A. The binary model for type I supernovae—Theoretical rates. Astron. Astrophys. 1983, 118, 217–222. [Google Scholar]
- Grassi, T.; Krstic, P.; Merlin, E.; Buonomo, U.; Piovan, L.; Chiosi, C. ROBO: A model and a code for studying the interstellar medium. Astron. Astrophys. 2011, 533. [Google Scholar] [CrossRef]
- Grassi, T.; Merlin, E.; Piovan, L.; Buonomo, U.; Chiosi, C. MaNN: Multiple Artificial Neural Networks for modelling the Interstellar Medium. ArXiv E-Prints 2011. arXiv:1103.0509. [Google Scholar]
- Gallazzi, A.; Charlot, S.; Brinchmann, J.; White, S.D.M.; Tremonti, C.A. The ages and metallicities of galaxies in the local universe. Mon. Not. R. Astron. Soc. 2005, 362, 41–58. [Google Scholar] [CrossRef]
- Cappellari, M.; McDermid, R.M.; Alatalo, K.; Blitz, L.; Bois, M.; Bournaud, F.; Bureau, M.; Crocker, A.F.; Davies, R.L.; Davis, T.A.; et al. Systematic variation of the stellar initial mass function in early-type galaxies. Nature 2012, 484, 485–488. [Google Scholar] [CrossRef] [PubMed]
- Scodeggio, M. Internal Color Gradients and the Color-Magnitude Relation of Early-Type Galaxies. Astron. J. 2001, 121, 2413–2419. [Google Scholar] [CrossRef]
- La Barbera, F.; de Carvalho, R.R.; de la Rosa, I.G.; Gal, R.R.; Swindle, R.; Lopes, P.A.A. Spider. IV. Optical and Near-infrared Color Gradients in Early-type Galaxies: New Insight into Correlations with Galaxy Properties. Astron. J. 2010, 140, 1528–1556. [Google Scholar] [CrossRef]
- La Barbera, F.; Ferreras, I.; de Carvalho, R.R.; Lopes, P.A.A.; Pasquali, A.; de la Rosa, I.G.; de Lucia, G. On the Radial Stellar Content of Early-type Galaxies as a Function of Mass and Environment. Astrophys. J. Lett. 2011, 740. [Google Scholar] [CrossRef]
- Spolaor, M.; Proctor, R.N.; Forbes, D.A.; Couch, W.J. The Mass-Metallicity Gradient Relation of Early-Type Galaxies. Astrophys. J. Lett. 2009, 691, 138–141. [Google Scholar] [CrossRef]
- Chiosi, C. Gas and iron content of galaxy clusters. Astron. Astrophys. 2000, 364, 423–442. [Google Scholar]
- Moretti, A.; Portinari, L.; Chiosi, C. Chemical evolution of the intra-cluster medium. Astron. Astrophys. 2003, 408, 431–453. [Google Scholar] [CrossRef]
- Sersic, J.L. Atlas de Galaxias Australes; Observatorio Astronomico: Cordoba, Argentina, 1968. [Google Scholar]
- Hernquist, L. An analytical model for spherical galaxies and bulges. Astrophys. J. 1990, 356, 359–364. [Google Scholar] [CrossRef]
- Caon, N.; Capaccioli, M.; D’Onofrio, M. On the Shape of the Light Profiles of Early Type Galaxies. Mon. Not. R. Astron. Soc. 1993, 265, 1013–1021. [Google Scholar] [CrossRef]
- Ferrarese, L.; Côté, P.; Jordán, A.; Peng, E.W.; Blakeslee, J.P.; Piatek, S.; Mei, S.; Merritt, D.; Milosavljević, M.; Tonry, J.L.; et al. The ACS Virgo Cluster Survey. VI. Isophotal Analysis and the Structure of Early-Type Galaxies. Astrophys. J. Suppl. 2006, 164, 334–434. [Google Scholar] [CrossRef]
- Navarro, J.F.; Frenk, C.S.; White, S.D.M. The structure of cold dark matter haloes. Astrophys. J 1996, 462. [Google Scholar] [CrossRef]
- Padmanabhan, N.; Seljak, U.; Strauss, M.A.; Blanton, M.R.; Kauffmann, G.; Schlegel, D.J.; Tremonti, C.; Bahcall, N.A.; Bernardi, M.; Brinkmann, J.; et al. Stellar and dynamical masses of ellipticals in the Sloan Digital Sky Survey. New Astron. 2004, 9, 329–342. [Google Scholar] [CrossRef]
- Bertin, G.; Liseikina, T.; Pegoraro, A. Slow evolution of elliptical galaxies induced by dynamical friction. I. Capture of a system of satellites. Astron. Astrophys. 2003, 405, 73–88. [Google Scholar] [CrossRef]
- Gnedin, O.Y.; Kravtsov, A.V.; Klypin, A.A.; Nagai, D. Response of Dark Matter Halos to Condensation of Baryons: Cosmological Simulations and Improved Adiabatic Contraction Model. Astrophys. J. 2004, 616, 16–26. [Google Scholar] [CrossRef]
- Côté, P.; Ferrarese, L.; Jordán, A.; Blakeslee, J.P.; Chen, C.-W.; Infante, L.; Merritt, D.; Mei, S.; Peng, E.W.; Tonry, J.L.; et al. The ACS Fornax Cluster Survey. II. The Central Brightness Profiles of Early-Type Galaxies: A Characteristic Radius on Nuclear Scales and the Transition from Central Luminosity Deficit to Excess. Astrophys. J. 2007, 671, 1456–1465. [Google Scholar] [CrossRef]
- Carraro, G.; Chiosi, C.; Girardi, L.; Lia, C. Dwarf elliptical galaxies: Structure, star formation and colour-magnitude diagrams. Mon. Not. R. Astron. Soc. 2001, 327, 69–79. [Google Scholar] [CrossRef]
- Pasetto, S.; Chiosi, C.; Carraro, G. Morphological evolution of dwarf galaxies in the Local Group. Astron. Astrophys. 2003, 405, 931–949. [Google Scholar] [CrossRef]
- Pasetto, S.; Grebel, E.K.; Berczik, P.; Chiosi, C.; Spurzem, R. Orbital evolution of the Carina dwarf galaxy and self-consistent determination of star formation history. Astron. Astrophys. 2011, 525. [Google Scholar] [CrossRef]
- Magorrian, J.; Tremaine, S.; Richstone, D.; Bender, R.; Bower, G.; Dressler, A.; Faber, S.M.; Gebhardt, K.; Green, R.; Grillmair, C.; et al. The Demography of Massive Dark Objects in Galaxy Centers. Astron. J. 1998, 115, 2285–2305. [Google Scholar] [CrossRef]
- Ferrarese, L.; Merritt, D. A Fundamental Relation between Supermassive Black Holes and Their Host Galaxies. Astrophys. J. Lett. 2000, 539, 9–12. [Google Scholar] [CrossRef]
- Powell, L.C.; Slyz, A.; Devriendt, J. The impact of supernova-driven winds on stream-fed protogalaxies. Mon. Not. R. Astron. Soc. 2011, 414, 3671–3689. [Google Scholar] [CrossRef]
- Fabian, A.C. Observational Evidence of Active Galactic Nuclei Feedback. Annu. Rev. Astron. Astrophys. 2012, 50, 455–489. [Google Scholar] [CrossRef]
- Croton, D.J.; Springel, V.; White, S.D.M.; de Lucia, G.; Frenk, C.S.; Gao, L.; Jenkins, A.; Kauffmann, G.; Navarro, J.F.; Yoshida, N. The many lives of active galactic nuclei: Cooling flows, black holes and the luminosities and colours of galaxies. Mon. Not. R. Astron. Soc. 2006, 365, 11–28. [Google Scholar] [CrossRef]
- Bower, R.G.; Benson, A.J.; Malbon, R.; Helly, J.C.; Frenk, C.S.; Baugh, C.M.; Cole, S.; Lacey, C.G. Breaking the hierarchy of galaxy formation. Mon. Not. R. Astron. Soc. 2006, 370, 645–655. [Google Scholar] [CrossRef]
- Cattaneo, A.; Dekel, A.; Devriendt, J.; Guiderdoni, B.; Blaizot, J. Modelling the galaxy bimodality: Shutdown above a critical halo mass. Mon. Not. R. Astron. Soc. 2006, 370, 1651–1665. [Google Scholar] [CrossRef]
- Somerville, R.S.; Hopkins, P.F.; Cox, T.J.; Robertson, B.E.; Hernquist, L. A semi-analytic model for the co-evolution of galaxies, black holes and active galactic nuclei. Mon. Not. R. Astron. Soc. 2008, 391, 481–506. [Google Scholar] [CrossRef]
- Bell, E.F.; Baugh, C.M.; Cole, S.; Frenk, C.S.; Lacey, C.G. The properties of spiral galaxies: Confronting hierarchical galaxy formation models with observations. Mon. Not. R. Astron. Soc. 2003, 343, 367–384. [Google Scholar] [CrossRef]
- Panter, B.; Jimenez, R.; Heavens, A.F.; Charlot, S. The star formation histories of galaxies in the Sloan Digital Sky Survey. Mon. Not. R. Astron. Soc. 2007, 378, 1550–1564. [Google Scholar] [CrossRef]
- Tremonti, C.A.; Heckman, T.M.; Kauffmann, G.; Brinchmann, J.; Charlot, S.; White, S.D.M.; Seibert, M.; Peng, E.W.; Schlegel, D.J.; Uomoto, A.; et al. The Origin of the Mass-Metallicity Relation: Insights from 53,000 Star-forming Galaxies in the Sloan Digital Sky Survey. Astrophys. J. 2004, 613, 898–913. [Google Scholar] [CrossRef]
- Woosley, S.E.; Heger, A.; Weaver, T.A. The evolution and explosion of massive stars. Rev. Mod. Phys. 2002, 74, 1015–1071. [Google Scholar]
- Begelman, M.C.; Volonteri, M.; Rees, M.J. Formation of supermassive black holes by direct collapse in pre-galactic haloes. Mon. Not. R. Astron. Soc. 2006, 370, 289–298. [Google Scholar]
- Spitzer, L. Dynamical Evolution of Globular Clusters; Princeton University Press: Princeton, NJ, USA, 1987; p. 191. [Google Scholar]
- Bromm, V.; Larson, R.B. The First Stars. Annu. Rev. Astron. Astrophys. 2004, 42, 79–118. [Google Scholar]
- Winter, L.M.; Mushotzky, R.F.; Reynolds, C.S. XMM-Newton Archival Study of the Ultraluminous X-Ray Population in Nearby Galaxies. Astrophys. J. 2006, 649, 730–752. [Google Scholar]
- Kaviraj, S.; Schawinski, K.; Devriendt, J.E.G.; Ferreras, I.; Khochfar, S.; Yoon, S.-J.; Yi, S.K.; Deharveng, J.-M.; Boselli, A.; Barlow, T.; et al. UV-Optical Colors As Probes of Early-Type Galaxy Evolution. Astrophys. J. Suppl. 2007, 173, 619–642. [Google Scholar] [CrossRef]
- Gnedin, O.Y. On the origin of globular cluster bimodality. In Proceedings of the IAU Symposium 266, Rio de Janeiro, Brazil, 10–14 August 2010; de Grijs, R., Lépine, J.R.D., Eds.; pp. 250–257.
- Muratov, A.L.; Gnedin, O.Y. Modeling the Metallicity Distribution of Globular Clusters. Astrophys. J. 2010, 718, 1266–1288. [Google Scholar]
- Mancini, C.; Matute, I.; Cimatti, A.; Daddi, E.; Dickinson, M.; Rodighiero, G.; Bolzonella, M.; Pozzetti, L. Searching for massive galaxies at z ≥ 3.5 in GOODS-North. Astron. Astrophys. 2009, 500, 705–723. [Google Scholar] [CrossRef]
- Valentinuzzi, T.; Fritz, J.; Poggianti, B.M.; Cava, A.; Bettoni, D.; Fasano, G.; D’Onofrio, M.; Couch, W.J.; Dressler, A.; Moles, M.; et al. Superdense Massive Galaxies in Wings Local Clusters. Astrophys. J. 2010, 712, 226–237. [Google Scholar] [CrossRef]
- Karim, A.; Schinnerer, E.; Martínez-Sansigre, A.; Sargent, M.T.; van der Wel, A.; Rix, H.-W.; Ilbert, O.; Smolčić, V.; Carilli, C.; Pannella, M.; et al. The Star Formation History of Mass-selected Galaxies in the COSMOS Field. Astrophys. J. 2011, 730. [Google Scholar] [CrossRef]
- Chiosi, C.; Merlin, E.; Piovan, L. The origin of the mass-radius relation of early-type galaxies. ArXiv E-Prints 2012. arXiv:1206.2532. [Google Scholar]
- Bernardi, M.; Shankar, F.; Hyde, J.B.; Mei, S.; Marulli, F.; Sheth, R.K. Galaxy luminosities, stellar masses, sizes, velocity dispersions as a function of morphological type. Mon. Not. R. Astron. Soc. 2010, 404, 2087–2122. [Google Scholar]
- Shen, S.; Mo, H.J.; White, S.D.M.; Blanton, M.R.; Kauffmann, G.; Voges, W.; Brinkmann, J.; Csabai, I. The size distribution of galaxies in the Sloan Digital Sky Survey. Mon. Not. R. Astron. Soc. 2003, 343, 978–994. [Google Scholar]
- Guo, Y.; McIntosh, D.H.; Mo, H.J.; Katz, N.; van den Bosch, F.C.; Weinberg, M.; Weinmann, S.M.; Pasquali, A.; Yang, X. Structural properties of central galaxies in groups and clusters. Mon. Not. R. Astron. Soc. 2009, 398, 1129–1149. [Google Scholar]
- Van Dokkum, P.G.; Whitaker, K.E.; Brammer, G.; Franx, M.; Kriek, M.; Labbé, I.; Marchesini, D.; Quadri, R.; Bezanson, R.; Illingworth, G.D.; et al. The Growth of Massive Galaxies Since z = 2. Astrophys. J. 2010, 709, 1018–1041. [Google Scholar]
- Woo, J.; Courteau, S.; Dekel, A. Scaling relations and the fundamental line of the local group dwarf galaxies. Mon. Not. R. Astron. Soc. 2008, 390, 1453–1469. [Google Scholar]
- Fan, L.; Lapi, A.; Bressan, A.; Bernardi, M.; de Zotti, G.; Danese, L. Cosmic Evolution of Size and Velocity Dispersion for Early-Type Galaxies. Astrophys. J. 2010, 718, 1460–1475. [Google Scholar]
- Gott, J.R., III; Rees, M.J. A theory of galaxy formation and clustering. Astron. Astrophys. 1975, 45, 365–376. [Google Scholar]
- Blumenthal, G.R.; Faber, S.M.; Primack, J.R.; Rees, M.J. Formation of galaxies and large-scale structure with cold dark matter. Nature 1984, 311, 517–525. [Google Scholar]
- Girardi, L.; Bressan, A.; Bertelli, G.; Chiosi, C. Evolutionary tracks and isochrones for low- and intermediate-mass stars: From 0.15 to 7 Msun, and from Z = 0.0004 to 0.03. Astron. Astrophys. Suppl. 2000, 141, 371–383. [Google Scholar] [CrossRef]
- Girardi, L.; Bertelli, G.; Bressan, A.; Chiosi, C.; Groenewegen, M.A.T.; Marigo, P.; Salasnich, B.; Weiss, A. Theoretical Isochrones in Several Photometric Systems. I. Johnson-Cousins-Glass, HST/WFPC2, HST/NICMOS, Washington, and ESO Imaging Survey Filter Sets. Astron. Astrophys. 2002, 391, 195–212. [Google Scholar] [CrossRef]
- Tantalo, R.; Chinellato, S.; Merlin, E.; Piovan, L.; Chiosi, C. Formation and evolution of early-type galaxies: Spectro-photometry from cosmo-chemo-dynamical simulations. Astron. Astrophys. 2010, 518. [Google Scholar] [CrossRef]
- Guiderdoni, B.; Rocca-Volmerange, B. A model of spectrophotometric evolution for high-redshift galaxies. Astron. Astrophys. 1987, 186, 1–21. [Google Scholar]
- Guiderdoni, B.; Rocca-Volmerange, B. Apparent magnitudes of high-redshift galaxies in UBVRI and space telescope photometric systems. Astron. Astrophys. Suppl. 1988, 74, 185–210. [Google Scholar]
- Rocca-Volmerange, B.; Guiderdoni, B. Star formation in nuclei of S0/E galaxies. Astron. Astrophys. 1987, 175, 15–22. [Google Scholar]
- Rocca-Volmerange, B.; Guiderdoni, B. An atlas of synthetic spectra of galaxies. Astron. Astrophys. Suppl. 1988, 75, 93–106. [Google Scholar]
- Rocca-Volmerange, B. An evolutionary model of star formation for elliptical galaxies. Mon. Not. R. Astron. Soc. 1989, 236, 47–56. [Google Scholar]
- Hubble, E. Effects of Red Shifts on the Distribution of Nebulae. Proc. Natl. Acad. Sci. USA 1936, 22, 621–627. [Google Scholar]
- Weinberg, S. Gravitation and Cosmology: Principles and Applications of the General Theory of Relativity; John Wiley & Sons: Hoboken, NJ, USA, 1972; p. 688. [Google Scholar]
- Hogg, D.W. Distance measures in cosmology. ArXiv E-Prints 1999. arXiv:astro-ph:9905116. [Google Scholar]
- Kolb, E.W.; Turner, M.S. The pocket cosmology. Eur. Phys. J. C 2000, 15, 125–132. [Google Scholar]
- Oke, J.B.; Sandage, A. Energy Distributions, K Corrections, and the Stebbins-Whitford Effect for Giant Elliptical Galaxies. Astrophys. J. 1968, 154, 21–32. [Google Scholar]
- Piovan, L.; Tantalo, R.; Chiosi, C. Shells of dust around AGB stars: Effects on the integrated spectrum of Single Stellar Populations. Astron. Astrophys. 2003, 408, 559–579. [Google Scholar]
- Piovan, L.; Tantalo, R.; Chiosi, C. Modelling galaxy spectra in presence of interstellar dust—I. The model of interstellar medium and the library of dusty single stellar populations. Mon. Not. R. Astron. Soc. 2006, 366, 923–944. [Google Scholar]
- Piovan, L.; Tantalo, R.; Chiosi, C. Modelling galaxy spectra in presence of interstellar dust—II. From the ultraviolet to the far-infrared. Mon. Not. R. Astron. Soc. 2006, 370, 1454–1478. [Google Scholar]
- Piovan, L.; Chiosi, C.; Merlin, E.; Grassi, T.; Tantalo, R.; Buonomo, U.; Cassarà, L.P. Formation and Evolution of the Dust in Galaxies. I. The Condensation Efficiencies. ArXiv E-Prints 2011. arXiv:1107.4541. [Google Scholar]
- Piovan, L.; Chiosi, C.; Merlin, E.; Grassi, T.; Tantalo, R.; Buonomo, U.; Cassarà, L.P. Formation and Evolution of the Dust in Galaxies. II. The Solar Neighbourhood. ArXiv E-Prints 2011. arXiv:1107.4561. [Google Scholar]
- Piovan, L.; Chiosi, C.; Merlin, E.; Grassi, T.; Tantalo, R.; Buonomo, U.; Cassarà, L.P. Formation and Evolution of the Dust in Galaxies. III. The Disk of the Milky Way. ArXiv E-Prints 2011. ArXiv E-Prints. [Google Scholar]
- Draine, B.T.; Lee, H.M. Optical properties of interstellar graphite and silicate grains. Astrophys. J. 1984, 285, 89–108. [Google Scholar]
- Cardelli, J.A.; Clayton, G.C.; Mathis, J.S. The relationship between infrared, optical, and ultraviolet extinction. Astrophys. J. 1989, 345, 245–256. [Google Scholar] [CrossRef]
- Steidel, C.C.; Giavalisco, M.; Dickinson, M.; Adelberger, K.L. Spectroscopy of Lyman Break Galaxies in the Hubble Deep Field. Astron. J. 1996, 112. [Google Scholar] [CrossRef]
- Steidel, C.C.; Adelberger, K.L.; Shapley, A.E.; Pettini, M.; Dickinson, M.; Giavalisco, M. Lyman Break Galaxies at Redshift z ∼ 3: Survey Description and Full Data Set. Astrophys. J. 2003, 592, 728–754. [Google Scholar] [CrossRef]
- Scoville, N.; Aussel, H.; Benson, A.; Blain, A.; Calzetti, D.; Capak, P.; Ellis, R.S.; El-Zant, A.; Finoguenov, A.; Giavalisco, M.; et al. Large Structures and Galaxy Evolution in COSMOS at z < 1.1. Astrophys. J. Suppl. 2007, 172, 150–181. [Google Scholar]
- Giavalisco, M.; Dickinson, M.; Ferguson, H.C.; Ravindranath, S.; Kretchmer, C.; Moustakas, L.A.; Madau, P.; Fall, S.M.; Gardner, J.P.; Livio, M.; et al. The Rest-Frame Ultraviolet Luminosity Density of Star-forming Galaxies at Redshifts z ≥ 3.5. Astrophys. J. Lett. 2004, 600, 103–106. [Google Scholar] [CrossRef]
- Capak, P.; Aussel, H.; Ajiki, M.; McCracken, H.J.; Mobasher, B.; Scoville, N.; Shopbell, P.; Taniguchi, Y.; Thompson, D.; Tribiano, S.; et al. The First Release COSMOS Optical and Near-IR Data and Catalog. Astrophys. J. Suppl. 2007, 172, 99–116. [Google Scholar] [CrossRef]
- Mobasher, B.; Capak, P.; Scoville, N.Z.; Dahlen, T.; Salvato, M.; Aussel, H.; Thompson, D.J.; Feldmann, R.; Tasca, L.; le Fevre, O. Photometric Redshifts of Galaxies in COSMOS. Astrophys. J. Suppl. 2007, 172, 117–131. [Google Scholar] [CrossRef]
- Grazian, A.; Fontana, A.; de Santis, C.; Nonino, M.; Salimbeni, S.; Giallongo, E.; Cristiani, S.; Gallozzi, S.; Vanzella, E. The GOODS-MUSIC sample: A multicolour catalog of near-IR selected galaxies in the GOODS-South field. Astron. Astrophys. 2006, 449, 951–968. [Google Scholar] [CrossRef]
- Kormendy, J. Brightness distributions in compact and normal galaxies. II—Structure parameters of the spheroidal component. Astrophys. J. 1977, 218, 333–346. [Google Scholar] [CrossRef]
- Hamabe, M.; Kormendy, J. Correlations Between R/1/4—Law Parameters for Bulges and Elliptical Galaxies. In IAU Symposium 127, Structure and Dynamics of Elliptical Galaxies; de Zeeuw, T., Ed.; Reidel: Dordrecht, The Netherlands, 1987; p. 379. [Google Scholar]
- Aragon-Salamanca, A.; Ellis, R.S.; Couch, W.J.; Carter, D. Evidence for systematic evolution in the properties of galaxies in distant clusters. Mon. Not. R. Astron. Soc. 1993, 262, 764–794. [Google Scholar] [CrossRef]
- Bender, R.; Ziegler, B.; Bruzual, G. The Redshift Evolution of the Stellar Populations in Elliptical Galaxies. Astrophys. J. Lett. 1996, 463. [Google Scholar] [CrossRef]
- Van Dokkum, P.G.; Franx, M. The Fundamental Plane in CL 0024 at z ∼ 0.4: Implications for the evolution of the mass-to-light ratio. Mon. Not. R. Astron. Soc. 1996, 281, 985–1000. [Google Scholar] [CrossRef]
- Jorgensen, I.; Hjorth, J. The Fundamental Plane at z = 0.18. In Galaxy Scaling Relations: Origins, Evolution and Applications; da Costa, L.N., Renzini, A., Eds.; Springer: Berlin, Germany, 1997; p. 175. [Google Scholar]
- Ziegler, B.L.; Bender, R. The Mgb-σ relation of elliptical galaxies at z ≈ 0.37. Mon. Not. R. Astron. Soc. 1997, 291, 527–543. [Google Scholar] [CrossRef]
- Bender, R.; Saglia, R.P.; Ziegler, B.; Belloni, P.; Greggio, L.; Hopp, U.; Bruzual, G. Exploring Cluster Elliptical Galaxies as Cosmological Standard Rods. Astrophys. J. 1998, 493. [Google Scholar] [CrossRef]
- Van Dokkum, P.G.; Franx, M.; Kelson, D.D.; Illingworth, G.D. Luminosity Evolution of Early-Type Galaxies to z∼0.83: Constraints on Formation Epoch and Omega. Astrophys. J. Lett. 1998, 504. [Google Scholar] [CrossRef]
- White, S.D.M.; Rees, M.J. Core condensation in heavy halos—A two-stage theory for galaxy formation and clustering. Mon. Not. R. Astron. Soc. 1978, 183, 341–358. [Google Scholar] [CrossRef]
- La Barbera, F.; Busarello, G.; Merluzzi, P.; Massarotti, M.; Capaccioli, M. On the Invariant Distribution of Galaxies in the re-μe Plane out to z ∼ 0.64. Astrophys. J. 2003, 595, 127–136. [Google Scholar] [CrossRef]
- Bernardi, M.; Sheth, R.K.; Annis, J.; Burles, S.; Eisenstein, D.J.; Finkbeiner, D.P.; Hogg, D.W.; Lupton, R.H.; Schlegel, D.J.; SubbaRao, M.; et al. Early-Type Galaxies in the Sloan Digital Sky Survey. II. Correlations between Observables. Astron. J. 2003, 125, 1849–1865. [Google Scholar] [CrossRef]
- Bernardi, M.; Sheth, R.K.; Annis, J.; Burles, S.; Eisenstein, D.J.; Finkbeiner, D.P.; Hogg, D.W.; Lupton, R.H.; Schlegel, D.J.; SubbaRao, M.; et al. Early-Type Galaxies in the Sloan Digital Sky Survey. I. The Sample. Astron. J. 2003, 125, 1817–1848. [Google Scholar] [CrossRef]
- York, D.G.; Adelman, J.; Anderson, J.E., Jr.; Anderson, S.F.; Annis, J.; Bahcall, N.A.; Bakken, J.A.; Barkhouser, R.; Bastian, S.; Berman, E.; et al. The Sloan Digital Sky Survey: Technical Summary. Astron. J. 2000, 120, 1579–1587. [Google Scholar] [CrossRef]
- Stoughton, C.; Lupton, R.H.; Bernardi, M.; Blanton, M.R.; Burles, S.; Castander, F.J.; Connolly, A.J.; Eisenstein, D.J.; Frieman, J.A.; Hennessy, G.S.; et al. Sloan Digital Sky Survey: Early Data Release. Astron. J. 2002, 123, 485–548. [Google Scholar] [CrossRef]
- Bernardi, M.; Sheth, R.K.; Annis, J.; Burles, S.; Eisenstein, D.J.; Finkbeiner, D.P.; Hogg, D.W.; Lupton, R.H.; Schlegel, D.J.; SubbaRao, M.; et al. Early-Type Galaxies in the Sloan Digital Sky Survey. III. The Fundamental Plane. Astron. J. 2003, 125, 1866–1881. [Google Scholar] [CrossRef]
© 2014 by the authors; licensee MDPI, Basel, Switzerland. This article is an open access article distributed under the terms and conditions of the Creative Commons Attribution license (http://creativecommons.org/licenses/by/3.0/).
Share and Cite
Chiosi, C.; Merlin, E.; Piovan, L.; Tantalo, R. Monolithic View of Galaxy Formation and Evolution. Galaxies 2014, 2, 300-381. https://doi.org/10.3390/galaxies2030300
Chiosi C, Merlin E, Piovan L, Tantalo R. Monolithic View of Galaxy Formation and Evolution. Galaxies. 2014; 2(3):300-381. https://doi.org/10.3390/galaxies2030300
Chicago/Turabian StyleChiosi, Cesare, Emiliano Merlin, Lorenzo Piovan, and Rosaria Tantalo. 2014. "Monolithic View of Galaxy Formation and Evolution" Galaxies 2, no. 3: 300-381. https://doi.org/10.3390/galaxies2030300
APA StyleChiosi, C., Merlin, E., Piovan, L., & Tantalo, R. (2014). Monolithic View of Galaxy Formation and Evolution. Galaxies, 2(3), 300-381. https://doi.org/10.3390/galaxies2030300
