Significance of Fabry-Perot Cavities for Space Gravitational Wave Antenna DECIGO
Abstract
1. Introduction
2. Overview of DECIGO
2.1. Design of DECIGO
2.2. Science Target of DECIGO
3. Sensitivity in Gravitational Wave Detectors
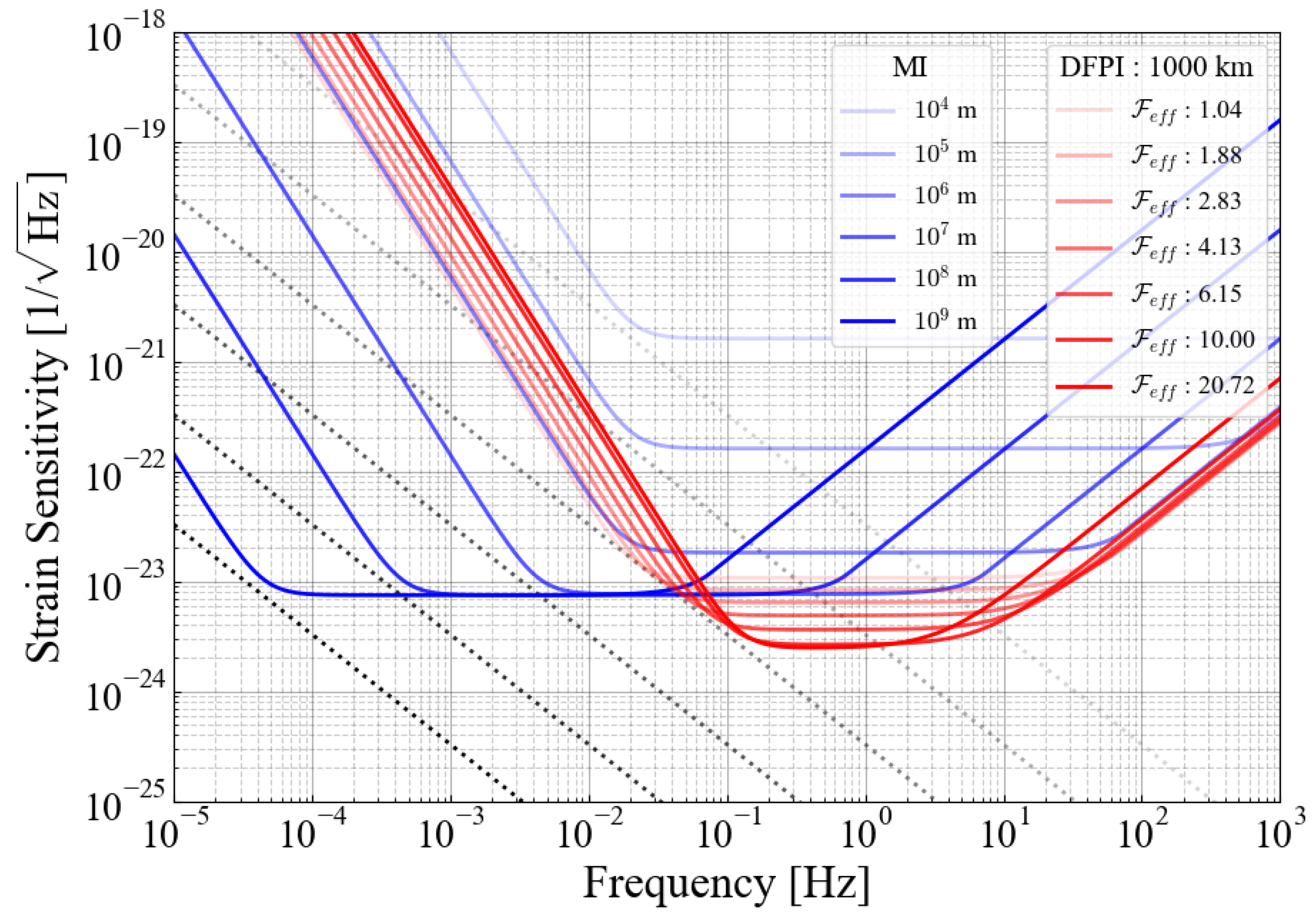
3.1. Michelson Interferometer
3.2. Differential Fabry-Perot Interferometer
3.3. Sensitivity of Gravitational Wave Detector Cluster
3.4. Typical Noise Power Spectral Density
4. Beneficial Effect of Employing Fabry-Perot Cavities on DECIGO
4.1. Primordial Gravitational Waves
4.1.1. Wave Form
4.1.2. Signal-to-Noise Ratio
4.1.3. Comparison of Sensitivity
4.1.4. Result
4.2. Gravitational Waves from Coalescence of Binary Star System
4.2.1. Wave Form
4.2.2. Signal-to-Noise Ratio
4.2.3. Comparison of Sensitivity
4.2.4. Results
5. Summary and Prospects
Author Contributions
Funding
Data Availability Statement
Acknowledgments
Conflicts of Interest
References
- Abbott, B.P.; Abbott, R.; Abbott, T.D.; Abernathy, M.R.; Acernese, F.; Ackley, K.; Adams, C.; Adams, T.; Addesso, P.; Adhikari, R.X.; et al. Observation of Gravitational Waves from a Binary Black Hole Merger. Phys. Rev. Lett. 2016, 116, 061102. [Google Scholar] [CrossRef] [PubMed]
- Abbott, R.; Abbott, T.D.; Acernese, F.; Ackley, K.; Adams, C.; Adhikari, N.; Adhikari, R.X.; Adya, V.B.; Affeldt, C.; Agarwal, D.; et al. GWTC-3: Compact Binary Coalescences Observed by LIGO and Virgo during the Second Part of the Third Observing Run. Phys. Rev. X 2023, 13, 041039. [Google Scholar] [CrossRef]
- Collaboration, T.L.S.; Aasi, J.; Abbott, B.P.; Abbott, R.; Abbott, T.; Abernathy, M.R.; Ackley, K.; Adams, C.; Adams, T.; Addesso, P.; et al. Advanced LIGO. Class. Quantum Gravity 2015, 32, 074001. [Google Scholar] [CrossRef]
- Acernese, F.; Agathos, M.; Agatsuma, K.; Aisa, D.; Allemandou, N.; Allocca, A.; Amarni, J.; Astone, P.; Balestri, G.; Ballardin, G.; et al. Advanced Virgo: A second-generation interferometric gravitational wave detector. Class. Quantum Gravity 2014, 32, 024001. [Google Scholar] [CrossRef]
- Punturo, M.; Abernathy, M.; Acernese, F.; Allen, B.; Andersson, N.; Arun, K.; Barone, F.; Barr, B.; Barsuglia, M.; Beker, M.; et al. The Einstein Telescope: A third-generation gravitational wave observatory. Class. Quantum Gravity 2010, 27, 194002. [Google Scholar] [CrossRef]
- Abbott, B.P.; Abbott, R.; Abbott, T.D.; Abernathy, M.; Ackley, K.; Adams, C.; Addesso, P.; Adhikari, R.X.; Adya, V.; Affeldt, C.; et al. Exploring the sensitivity of next generation gravitational wave detectors. Class. Quantum Gravity 2017, 34, 044001. [Google Scholar] [CrossRef]
- Buikema, A.; Cahillane, C.; Mansell, G.; Blair, C.; Abbott, R.; Adams, C.; Adhikari, R.; Ananyeva, A.; Appert, S.; Arai, K.; et al. Sensitivity and performance of the Advanced LIGO detectors in the third observing run. Phys. Rev. 2020, 102, 062003. [Google Scholar] [CrossRef]
- Michimura, Y.; Ando, M.; Capocasa, E.; Enomoto, Y.; Flaminio, R.; Haino, S.; Hayama, K.; Hirose, E.; Itoh, Y.; Kinugawa, T.; et al. The Fifteenth Marcel Grossmann Meeting; World Scientific: London, UK, 2022. [Google Scholar] [CrossRef]
- Amaro-Seoane, P.; Aoudia, S.; Babak, S.; Binétruy, P.; Berti, E.; Bohé, A.; Caprini, C.; Colpi, M.; Cornish, N.J.; Danzmann, K.; et al. Low-frequency gravitational-wave science with eLISA/NGO. Class. Quantum Gravity 2012, 29, 124016. [Google Scholar] [CrossRef]
- Amaro-Seoane, P.; Audley, H.; Babak, S.; Baker, J.; Barausse, E.; Bender, P.; Berti, E.; Binetruy, P.; Born, M.; Bortoluzzi, D.; et al. Laser Interferometer Space Antenna. arXiv 2017, arXiv:1702.00786. [Google Scholar]
- Seto, N.; Kawamura, S.; Nakamura, T. Possibility of Direct Measurement of the Acceleration of the Universe Using 0.1 Hz Band Laser Interferometer Gravitational Wave Antenna in Space. Phys. Rev. Lett. 2001, 87, 221103. [Google Scholar] [CrossRef]
- Kawamura, S.; Ando, M.; Seto, N.; Sato, S.; Musha, M.; Kawano, I.; Yokoyama, J.; Tanaka, T.; Ioka, K.; Akutsu, T.; et al. Current status of space gravitational wave antenna DECIGO and B-DECIGO. Prog. Theor. Exp. Phys. 2021, 2021, 05A105. [Google Scholar] [CrossRef]
- Martens, W.; Joffre, E. Trajectory Design for the ESA LISA Mission. J. Astronaut. Sci. 2021, 68, 402–443. [Google Scholar] [CrossRef]
- Joffre, E.; Wealthy, D.; Fernandez, I.; Trenkel, C.; Voigt, P.; Ziegler, T.; Martens, W. LISA: Heliocentric formation design for the laser interferometer space antenna mission. Adv. Space Res. 2021, 67, 3868–3879. [Google Scholar] [CrossRef]
- Clohessy, W.; Wiltshire, R. Terminal guidance system for satellite rendezvous. J. Aerosp. Sci. 1960, 27, 653–658. [Google Scholar] [CrossRef]
- Allen, B. Stochastic gravity-wave background in inflationary-universe models. Phys. Rev. D 1988, 37, 2078–2085. [Google Scholar] [CrossRef] [PubMed]
- Sahni, V. Energy density of relic gravity waves from inflation. Phys. Rev. D 1990, 42, 453–463. [Google Scholar] [CrossRef] [PubMed]
- Achúcarro, A.; Biagetti, M.; Braglia, M.; Cabass, G.; Caldwell, R.; Castorina, E.; Chen, X.; Coulton, W.; Flauger, R.; Fumagalli, J.; et al. Inflation: Theory and Observations. arXiv 2022, arXiv:2203.08128. [Google Scholar]
- Ade, P.A.R.; Aghanim, N.; Armitage-Caplan, C.; Arnaud, M.; Ashdown, M.; Atrio-Barandela, F.; Aumont, J.; Baccigalupi, C.; Banday, A.J.; Barreiro, R.B.; et al. Planck2013 results. XXII. Constraints on inflation. Astron. Astrophys. 2014, 571, A22. [Google Scholar]
- Ade, P.A.R.; Aghanim, N.; Arnaud, M.; Arroja, F.; Ashdown, M.; Aumont, J.; Baccigalupi, C.; Ballardini, M.; Banday, A.J.; Barreiro, R.B.; et al. Planck2015 results: XX. Constraints on inflation. Astron. Astrophys. 2016, 594, A20. [Google Scholar]
- Akrami, Y.; Arroja, F.; Ashdown, M.; Aumont, J.; Baccigalupi, C.; Ballardini, M.; Banday, A.J.; Barreiro, R.B.; Bartolo, N.; Basak, S.; et al. Planck2018 results: X. Constraints on inflation. Astron. Astrophys. 2020, 641, A10. [Google Scholar]
- Guth, A.H.; Kaiser, D.I.; Nomura, Y. Inflationary paradigm after Planck 2013. Phys. Lett. 2014, 733, 112–119. [Google Scholar] [CrossRef]
- Chowdhury, D.; Martin, J.; Ringeval, C.; Vennin, V. Assessing the scientific status of inflation after Planck. Phys. Rev. D 2019, 100, 083537. [Google Scholar] [CrossRef]
- Kuroyanagi, S.; Tsujikawa, S.; Chiba, T.; Sugiyama, N. Implications of the B-mode polarization measurement for direct detection of inflationary gravitational waves. Phys. Rev. D 2014, 90, 063513. [Google Scholar] [CrossRef]
- Kuroyanagi, S.; Hiramatsu, T.; Yokoyama, J. Reheating signature in the gravitational wave spectrum from self-ordering scalar fields. J. Cosmol. Astropart. Phys. 2016, 2016, 023. [Google Scholar] [CrossRef]
- Seto, N. Quest for circular polarization of a gravitational wave background and orbits of laser interferometers in space. Phys. Rev. D 2007, 75, 061302. [Google Scholar] [CrossRef]
- Schutz, B.F. Determining the Hubble constant from gravitational wave observations. Nature 1986, 323, 310–311. [Google Scholar] [CrossRef]
- Abbott, B.P.; Abbott, R.; Abbott, T.D.; Acernese, F.; Ackley, K.; Adams, C.; Adams, T.; Addesso, P.; Adhikari, R.X.; Adya, V.B.; et al. A gravitational-wave standard siren measurement of the Hubble constant. Nature 2017, 551, 85–88. [Google Scholar]
- Chen, H.-Y.; Fishbach, M.; Holz, D.E. A two per cent Hubble constant measurement from standard sirens within five years. Nature 2018, 562, 545–547. [Google Scholar] [CrossRef]
- Maselli, A.; Marassi, S.; Branchesi, M. Binary white dwarfs and decihertz gravitational wave observations: From the Hubble constant to supernova astrophysics. Astron. Astrophys. 2020, 635, A120. [Google Scholar] [CrossRef]
- Kinugawa, T.; Takeda, H.; Tanikawa, A.; Yamaguchi, H. Probe for Type Ia Supernova Progenitor in Decihertz Gravitational Wave Astronomy. Astrophys. J. 2022, 938, 52. [Google Scholar] [CrossRef]
- Yagi, K.; Tanaka, T. DECIGO/BBO as a Probe to Constrain Alternative Theories of Gravity. Prog. Theor. Phys. 2010, 123, 1069–1078. [Google Scholar] [CrossRef]
- Saito, R.; Yokoyama, J. Gravitational-Wave Background as a Probe of the Primordial Black-Hole Abundance. Phys. Rev. Lett. 2009, 102, 161101. [Google Scholar] [CrossRef] [PubMed]
- Hou, S.; Li, P.; Yu, H.; Biesiada, M.; Fan, X.-L.; Kawamura, S.; Zhu, Z.-H. Lensing rates of gravitational wave signals displaying beat patterns detectable by DECIGO and B-DECIGO. Phys. Rev. D 2021, 103, 044005. [Google Scholar] [CrossRef]
- Piórkowska-Kurpas, A.; Hou, S.; Biesiada, M.; Ding, X.; Cao, S.; Fan, X.; Kawamura, S.; Zhu, Z.-H. Inspiraling Double Compact Object Detection and Lensing Rate: Forecast for DECIGO and B-DECIGO. Astrophys. J. 2021, 908, 196. [Google Scholar] [CrossRef]
- Svelto, O.; Hanna, D.C. Principles of Lasers; Springer: Heidelberg, Germany, 2010; Volume 1. [Google Scholar]
- Abich, K.; Abramovici, A.; Amparan, B.; Baatzsch, A.; Okihiro, B.B.; Barr, D.C.; Bize, M.P.; Bogan, C.; Braxmaier, C.; Burke, M.J.; et al. In-Orbit Performance of the GRACE Follow-on Laser Ranging Interferometer. Phys. Rev. Lett. 2019, 123, 031101. [Google Scholar] [CrossRef] [PubMed]
- Iwaguchi, S.; Ishikawa, T.; Ando, M.; Michimura, Y.; Komori, K.; Nagano, K.; Akutsu, T.; Musha, M.; Yamada, R.; Watanabe, I.; et al. Quantum Noise in a Fabry-Perot Interferometer Including the Influence of Diffraction Loss of Light. Galaxies 2021, 9, 9. [Google Scholar] [CrossRef]
- Ishikawa, T.; Iwaguchi, S.; Michimura, Y.; Ando, M.; Yamada, R.; Watanabe, I.; Nagano, K.; Akutsu, T.; Komori, K.; Musha, M.; et al. Improvement of the Target Sensitivity in DECIGO by Optimizing Its Parameters for Quantum Noise Including the Effect of Diffraction Loss. Galaxies 2021, 9, 14. [Google Scholar] [CrossRef]
- Prince, T.A.; Tinto, M.; Larson, S.L.; Armstrong, J.W. LISA optimal sensitivity. Phys. Rev. D 2002, 66, 122002. [Google Scholar] [CrossRef]
- Maggiore, M. Gravitational Waves: Volume 1: Theory and Experiments; Oxford University Press: New York, YN, USA, 2007; ISBN 9780198570745. [Google Scholar]
- Aghanim, N.; Akrami, Y.; Ashdown, M.; Aumont, J.; Baccigalupi, C.; Ballardini, M.; Banday, A.J.; Barreiro, R.B.; Bartolo, N.; Basak, S.; et al. Planck2018 results: VI. Cosmological parameters. Astron. Astrophys. 2020, 641, A6. [Google Scholar]
- Mingarelli, C.M.F.; Taylor, S.R.; Sathyaprakash, B.S.; Farr, W.M. Understanding Ωgw(f) in Gravitational Wave Experiments. arXiv 2019, arXiv:1911.09745. [Google Scholar]
- Sathyaprakash, B.S.; Schutz, B.F. Physics, astrophysics and cosmology with gravitational waves. Living Rev. Relativ. 2009, 12, 1–141. [Google Scholar] [CrossRef] [PubMed]
- Tobar, M.E.; Suzuki, T.; Kuroda, K. Detecting free-mass common-mode motion induced by incident gravitational waves. Phys. Rev. D 1999, 59, 102002. [Google Scholar] [CrossRef]
- Maggiore, M.; Nicolis, A. Detection strategies for scalar gravitational waves with interferometers and resonant spheres. Phys. Rev. D 2000, 62, 024004. [Google Scholar] [CrossRef]
- Allen, B.; Romano, J.D. Detecting a stochastic background of gravitational radiation: Signal processing strategies and sensitivities. Phys. Rev. D 1999, 59, 102001. [Google Scholar] [CrossRef]
- Farmer, A.J.; Phinney, E.S. The gravitational wave background from cosmological compact binaries. Mon. Not. R. Astron. Soc. 2003, 346, 1197–1214. [Google Scholar] [CrossRef]
- Kawasaki, Y.; Shimizu, R.; Ishikawa, T.; Nagano, K.; Iwaguchi, S.; Watanabe, I.; Wu, B.; Yokoyama, S.; Kawamura, S. Optimization of Design Parameters for Gravitational Wave Detector DECIGO Including Fundamental Noises. Galaxies 2022, 10, 25. [Google Scholar] [CrossRef]
- Poisson, E.; Will, C.M. Gravitational waves from inspiraling compact binaries: Parameter estimation using second-post-Newtonian waveforms. Phys. Rev. D 1995, 52, 848–855. [Google Scholar] [CrossRef]
- Moore, C.J.; Cole, R.H.; Berry, C.P.L. Gravitational-wave sensitivity curves. Class. Quantum Gravity 2014, 32, 015014. [Google Scholar] [CrossRef]
- Yamada, R.; Enomoto, Y.; Nishizawa, A.; Nagano, K.; Kuroyanagi, S.; Kokeyama, K.; Komori, K.; Michimura, Y.; Naito, T.; Watanabe, I.; et al. Optimization of quantum noise by completing the square of multiple interferometer outputs in quantum locking for gravitational wave detectors. Phys. Lett. A 2020, 384, 126626. [Google Scholar] [CrossRef]
- Yamada, R.; Enomoto, Y.; Watanabe, I.; Nagano, K.; Michimura, Y.; Nishizawa, A.; Komori, K.; Naito, T.; Morimoto, T.; Iwaguchi, S.; et al. Reduction of quantum noise using the quantum locking with an optical spring for gravitational wave detectors. Phys. Lett. A 2021, 402, 127365. [Google Scholar] [CrossRef]
- Ishikawa, T.; Kawasaki, Y.; Tsuji, K.; Yamada, R.; Watanabe, I.; Wu, B.; Iwaguchi, S.; Shimizu, R.; Umemura, K.; Nagano, K.; et al. First-step experiment for sensitivity improvement of DECIGO: Sensitivity optimization for simulated quantum noise by completing the square. Phys. Rev. D 2023, 107, 022007. [Google Scholar] [CrossRef]
- Tsuji, K.; Ishikawa, T.; Komori, K.; Nagano, K.; Enomoto, Y.; Michimura, Y.; Umemura, K.; Shimizu, R.; Wu, B.; Iwaguchi, S.; et al. Optimization of Quantum Noise in Space Gravitational-Wave Antenna DECIGO with Optical-Spring Quantum Locking Considering Mixture of Vacuum Fluctuations in Homodyne Detection. Galaxies 2023, 11, 111. [Google Scholar] [CrossRef]









| Meaning | Symbol | Value |
|---|---|---|
| Arm Length | L | 1000 km |
| Laser Power | P | 10 W |
| Wavelength | 515 nm | |
| Finesse | 10 | |
| Mirror Mass | m | 100 kg |
| Mirror Radius | R | m |
| Meaning | Symbol | Value | DECIGO (Default) |
|---|---|---|---|
| Laser Power | P | W | 10 W |
| Mirror Radius | R | m | m |
| Arm Length | L | Free | 1000 km |
| Amplitude Reflectance * | 0 to 1 | (Finesse: 10) |
Disclaimer/Publisher’s Note: The statements, opinions and data contained in all publications are solely those of the individual author(s) and contributor(s) and not of MDPI and/or the editor(s). MDPI and/or the editor(s) disclaim responsibility for any injury to people or property resulting from any ideas, methods, instructions or products referred to in the content. |
© 2024 by the authors. Licensee MDPI, Basel, Switzerland. This article is an open access article distributed under the terms and conditions of the Creative Commons Attribution (CC BY) license (https://creativecommons.org/licenses/by/4.0/).
Share and Cite
Tsuji, K.; Ishikawa, T.; Umemura, K.; Kawasaki, Y.; Iwaguchi, S.; Shimizu, R.; Ando, M.; Kawamura, S. Significance of Fabry-Perot Cavities for Space Gravitational Wave Antenna DECIGO. Galaxies 2024, 12, 13. https://doi.org/10.3390/galaxies12020013
Tsuji K, Ishikawa T, Umemura K, Kawasaki Y, Iwaguchi S, Shimizu R, Ando M, Kawamura S. Significance of Fabry-Perot Cavities for Space Gravitational Wave Antenna DECIGO. Galaxies. 2024; 12(2):13. https://doi.org/10.3390/galaxies12020013
Chicago/Turabian StyleTsuji, Kenji, Tomohiro Ishikawa, Kurumi Umemura, Yuki Kawasaki, Shoki Iwaguchi, Ryuma Shimizu, Masaki Ando, and Seiji Kawamura. 2024. "Significance of Fabry-Perot Cavities for Space Gravitational Wave Antenna DECIGO" Galaxies 12, no. 2: 13. https://doi.org/10.3390/galaxies12020013
APA StyleTsuji, K., Ishikawa, T., Umemura, K., Kawasaki, Y., Iwaguchi, S., Shimizu, R., Ando, M., & Kawamura, S. (2024). Significance of Fabry-Perot Cavities for Space Gravitational Wave Antenna DECIGO. Galaxies, 12(2), 13. https://doi.org/10.3390/galaxies12020013

