On Exotic Objects Made of Dark Energy and Dark Matter: Mass-to-Radius Profiles and Tidal Love Numbers
Abstract
:1. Introduction
2. Theoretical Framework: Notation and Setup
2.1. Hydrostatic Equilibrium
2.2. Tidal Love Numbers
3. Equation-of-State and Numerical Results
3.1. Equations-of-State
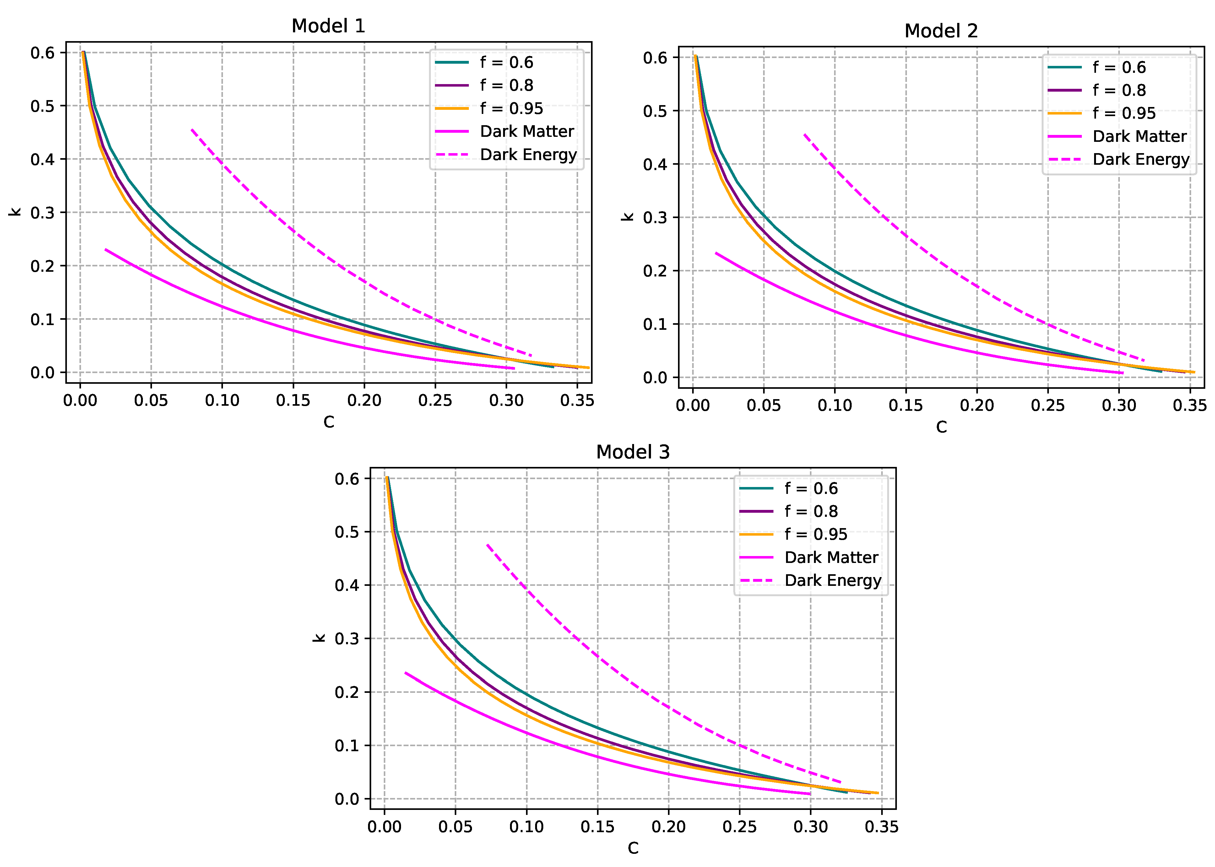
3.2. Discussion of the Results
4. Summary and Conclusions
Author Contributions
Funding
Data Availability Statement
Acknowledgments
Conflicts of Interest
References
- Freedman, W.L.; Turner, M.S. Measuring and understanding the universe. Rev. Mod. Phys. 2003, 75, 1433–1447. [Google Scholar] [CrossRef]
- Zwicky, F. The redshift of extragalactic nebulae. Helv. Phys. Acta 2009, 6, 110–127. [Google Scholar]
- Rubin, V.C.; Ford, W.K., Jr. Rotation of the Andromeda Nebula from a Spectroscopic Survey of Emission Regions. Astrophys. J. 1970, 159, 379–403. [Google Scholar] [CrossRef]
- Paolo, C.D.; Salucci, P.; Erkurt, A. The universal rotation curve of low surface brightness galaxies—IV. The interrelation between dark and luminous matter. Mon. Not. R. Astron. Soc. 2019, 490, 5451–5477. [Google Scholar]
- Shen, T.W.; Abidin, Z.Z.; Hashim, N. A comprehensive analysis using 9 dark matter halo models on the spiral galaxy NGC 4321. Indian J. Phys. 2022, 96, 671–687. [Google Scholar]
- Salucci, P.; Paolo, C.D. Fundamental Properties of the Dark and the Luminous Matter from the Low Surface Brightness Discs. Universe 2021, 7, 344. [Google Scholar] [CrossRef]
- de Martino, I.; Chakrabarty, S.S.; Cesare, V.; Gallo, A.; Ostorero, L.; Diaferio, A. Dark matters on the scale of galaxies. Universe 2020, 6, 107. [Google Scholar] [CrossRef]
- Aghanim, N. et al. [Planck]. Planck 2018 results. VI. Cosmological parameters. Astron. Astrophys. 2020, 641, A6, Erratum in Astron. Astrophys. 2021, 652, C4. [Google Scholar]
- Abbott, T.M.C. et al. [DES]. First Cosmology Results using Type Ia Supernovae from the Dark Energy Survey: Constraints on Cosmological Parameters. Astrophys. J. Lett. 2019, 872, L30. [Google Scholar] [CrossRef]
- Wang, B.; Qi, J.Z.; Zhang, J.F.; Zhang, X. Cosmological Model-independent Constraints on Spatial Curvature from Strong Gravitational Lensing and SN Ia Observations. Astrophys. J. 2020, 898, 100. [Google Scholar] [CrossRef]
- Brout, D.; Scolnic, D.; Popovic, B.; Riess, A.G.; Zuntz, J.; Kessler, R.; Carr, A.; Davis, T.M.; Hinton, S.; Jones, D.; et al. The Pantheon+ Analysis: Cosmological Constraints. Astrophys. J. 2022, 938, 110. [Google Scholar] [CrossRef]
- Diao, J.W.; Pan, Y.; Xu, W. Testing the Coincidence Problem with Strong Gravitational Lens, Type Ia Supernovae and Hubble Parameter Observational Data. Res. Astron. Astrophys. 2022, 22, 115019. [Google Scholar] [CrossRef]
- Riess, A.G. et al. [Supernova Search Team]. Observational evidence from supernovae for an accelerating universe and a cosmological constant. Astron. J. 1998, 116, 1009–1038. [Google Scholar] [CrossRef]
- Perlmutter, S. et al. [Supernova Cosmology Project]. Measurements of Ω and Λ from 42 high redshift supernovae. Astrophys. J. 1999, 517, 565–586. [Google Scholar] [CrossRef]
- Shapiro, S.L.; Teukolsky, S.A. Black Holes, White Dwarfs, and Neutron Stars: The Physics of Compact Objects; Wiley: New York, NY, USA, 1983; p. 645. [Google Scholar]
- Lattimer, J.M.; Prakash, M. Neutron Star Observations: Prognosis for Equation of State Constraints. Phys. Rept. 2007, 442, 109–165. [Google Scholar] [CrossRef]
- Weber, F. Strange quark matter and compact stars. Prog. Part. Nucl. Phys. 2005, 54, 193–288. [Google Scholar] [CrossRef]
- Alcock, C.; Farhi, E.; Olinto, A. Strange stars. Astrophys. J. 1986, 310, 261–272. [Google Scholar] [CrossRef]
- Alcock, C.; Olinto, A. Exotic Phases of Hadronic Matter and their Astrophysical Application. Ann. Rev. Nucl. Part. Sci. 1988, 38, 161–184. [Google Scholar] [CrossRef]
- Madsen, J. Physics and astrophysics of strange quark matter. Lect. Notes Phys. 1999, 516, 162–203. [Google Scholar]
- Yue, Y.L.; Cui, X.H.; Xu, R.X. Is psr b0943+10 a low-mass quark star? Astrophys. J. Lett. 2006, 649, L95–L98. [Google Scholar] [CrossRef]
- Leahy, D.; Ouyed, R. Supernova SN2006gy as a first ever Quark Nova? Mon. Not. R. Astron. Soc. 2008, 387, 1193. [Google Scholar] [CrossRef]
- Kaup, D.J. Klein-Gordon Geon. Phys. Rev. 1968, 172, 1331–1342. [Google Scholar] [CrossRef]
- Ruffini, R.; Bonazzola, S. Systems of selfgravitating particles in general relativity and the concept of an equation of state. Phys. Rev. 1969, 187, 1767–1783. [Google Scholar] [CrossRef]
- Colpi, M.; Shapiro, S.L.; Wasserman, I. Boson Stars: Gravitational Equilibria of Selfinteracting Scalar Fields. Phys. Rev. Lett. 1986, 57, 2485–2488. [Google Scholar] [CrossRef] [PubMed]
- Kusmartsev, F.V.; Mielke, E.W.; Schunck, F.E. Gravitational stability of boson stars. Phys. Rev. D 1991, 43, 3895–3901. [Google Scholar] [CrossRef]
- Eby, J.; Kouvaris, C.; Nielsen, N.G.; Wijewardhana, L.C.R. Boson Stars from Self-Interacting Dark Matter. JHEP 2016, 2, 28. [Google Scholar] [CrossRef]
- Croon, D.; Fan, J.; Sun, C. Boson Star from Repulsive Light Scalars and Gravitational Waves. JCAP 2019, 4, 8. [Google Scholar] [CrossRef]
- Evstafyeva, T.; Sperhake, U.; Helfer, T.; Croft, R.; Radia, M.; Ge, B.X.; Lim, E.A. Unequal-mass boson-star binaries: Initial data and merger dynamics. Class. Quant. Grav. 2023, 40, 085009. [Google Scholar] [CrossRef]
- Siemonsen, N.; East, W.E. Generic initial data for binary boson stars. arXiv 2023, arXiv:2306.17265. [Google Scholar]
- Schunck, F.E.; Mielke, E.W. General relativistic boson stars. Class. Quant. Grav. 2003, 20, R301–R356. [Google Scholar] [CrossRef]
- Liebling, S.L.; Palenzuela, C. Dynamical boson stars. Living Rev. Rel. 2023, 26, 1. [Google Scholar] [CrossRef]
- Leung, S.C.; Chu, M.C.; Lin, L.M. Dark-matter admixed neutron stars. Phys. Rev. D 2011, 84, 107301. [Google Scholar] [CrossRef]
- Mukhopadhyay, P.; Schaffner-Bielich, J. Quark stars admixed with dark matter. Phys. Rev. D 2016, 93, 083009. [Google Scholar] [CrossRef]
- Panotopoulos, G.; Lopes, I. Radial oscillations of strange quark stars admixed with condensed dark matter. Phys. Rev. D 2017, 96, 083013. [Google Scholar] [CrossRef]
- Lopes, I.; Panotopoulos, G. Dark matter admixed strange quark stars in the Starobinsky model. Phys. Rev. D 2018, 97, 024030. [Google Scholar] [CrossRef]
- Panotopoulos, G.; Lopes, I. Millisecond pulsars modeled as strange quark stars admixed with condensed dark matter. Int. J. Mod. Phys. D 2018, 27, 1850093. [Google Scholar] [CrossRef]
- Panotopoulos, G.; Lopes, I. Radial oscillations of strange quark stars admixed with fermionic dark matter. Phys. Rev. D 2018, 98, 083001. [Google Scholar] [CrossRef]
- Rahman, N.; Molla, S.; Kalam, M. Possible existence of dark matter admixed pulsar. Eur. Phys. J. Plus 2020, 135, 637. [Google Scholar] [CrossRef]
- Das, A.; Malik, T.; Nayak, A.C. Dark matter admixed neutron star properties in light of gravitational wave observations: A two fluid approach. Phys. Rev. D 2022, 105, 123034. [Google Scholar] [CrossRef]
- Emma, M.; Schianchi, F.; Pannarale, F.; Sagun, V.; Dietrich, T. Numerical Simulations of Dark Matter Admixed Neutron Star Binaries. Particles 2022, 5, 273–286. [Google Scholar] [CrossRef]
- Routaray, P.; Das, H.C.; Sen, S.; Kumar, B.; Panotopoulos, G.; Zhao, T. Radial oscillations of dark matter admixed neutron stars. Phys. Rev. D 2023, 107, 103039. [Google Scholar] [CrossRef]
- Lopes, L.L.; Das, H.C. Strange stars within bosonic and fermionic admixed dark matter. JCAP 2023, 5, 34. [Google Scholar] [CrossRef]
- Singh, K.N.; Ali, A.; Rahaman, F.; Nasri, S. Compact stars with exotic matter. Phys. Dark Univ. 2020, 29, 100575. [Google Scholar] [CrossRef]
- Tello-Ortiz, F.; Malaver, M.; Rincón, X.; Gomez-Leyton, Y. Relativistic anisotropic fluid spheres satisfying a non-linear equation of state. Eur. Phys. J. C 2020, 80, 371. [Google Scholar] [CrossRef]
- Panotopoulos, G.; Rincón, x.; Lopes, I. Radial oscillations and tidal Love numbers of dark energy stars. Eur. Phys. J. Plus 2020, 135, 856. [Google Scholar] [CrossRef]
- Panotopoulos, G.; Rincón, x.; Lopes, I. Slowly rotating dark energy stars. Phys. Dark Univ. 2021, 34, 100885. [Google Scholar] [CrossRef]
- Perivolaropoulos, L.; Skara, F. Challenges for ΛCDM: An update. New Astron. Rev. 2022, 95, 101659. [Google Scholar] [CrossRef]
- Peebles, P.J.E. Anomalies in physical cosmology. Annals Phys. 2022, 447, 169159. [Google Scholar] [CrossRef]
- Spergel, D.N.; Steinhardt, P.J. Observational evidence for selfinteracting cold dark matter. Phys. Rev. Lett. 2000, 84, 3760–3763. [Google Scholar] [CrossRef]
- Suárez, A.; Robles, V.H.; Matos, T. A Review on the Scalar Field/Bose–Einstein Condensate Dark Matter Model. Astrophys. Space Sci. Proc. 2014, 38, 107–142. [Google Scholar]
- Li, B.; Rindler-Daller, T.; Shapiro, P.R. Cosmological Constraints on Bose–Einstein–Condensed Scalar Field Dark Matter. Phys. Rev. D 2014, 89, 083536. [Google Scholar] [CrossRef]
- Pourhassan, B.; Kahya, E.O. Extended Chaplygin gas model. Results Phys. 2014, 4, 101–102. [Google Scholar] [CrossRef]
- Pourhassan, B.; Kahya, E.O. FRW cosmology with the extended Chaplygin gas. Adv. High Energy Phys. 2014, 2014, 231452. [Google Scholar] [CrossRef]
- Kamenshchik, A.Y.; Moschella, U.; Pasquier, V. An Alternative to quintessence. Phys. Lett. B 2001, 511, 265–268. [Google Scholar] [CrossRef]
- Bento, M.C.; Bertolami, O.; Sen, A.A. Generalized Chaplygin gas, accelerated expansion and dark energy matter unification. Phys. Rev. D 2002, 66, 043507. [Google Scholar] [CrossRef]
- Love, A.E.H. The yielding of the Earth to disturbing forces. Proc. R. Soc. Lond. Ser. A Contain. Pap. Math. Phys. Character 1909, 82, 73–88. [Google Scholar] [CrossRef]
- Love, A.E.H. Some problems of geodynamics. Nature 1912, 89, 471. [Google Scholar]
- Flanagan, E.E.; Hinderer, T. Constraining neutron star tidal Love numbers with gravitational wave detectors. Phys. Rev. D 2008, 77, 021502. [Google Scholar] [CrossRef]
- Hinderer, T. Tidal Love numbers of neutron stars. Astrophys. J. 2008, 677, 1216–1220. [Google Scholar] [CrossRef]
- Damour, T.; Nagar, A. Relativistic tidal properties of neutron stars. Phys. Rev. D 2009, 80, 084035. [Google Scholar] [CrossRef]
- Binnington, T.; Poisson, E. Relativistic theory of tidal Love numbers. Phys. Rev. D 2009, 80, 084018. [Google Scholar] [CrossRef]
- Hinderer, T.; Lackey, B.D.; Lang, R.N.; Read, J.S. Tidal deformability of neutron stars with realistic equations of state and their gravitational wave signatures in binary inspiral. Phys. Rev. D 2010, 81, 123016. [Google Scholar] [CrossRef]
- Postnikov, S.; Prakash, M.; Lattimer, J.M. Tidal Love Numbers of Neutron and Self-Bound Quark Stars. Phys. Rev. D 2010, 82, 024016. [Google Scholar] [CrossRef]
- Acernese, F. et al. [VIRGO]. Advanced Virgo: A second-generation interferometric gravitational wave detector. Class. Quant. Grav. 2015, 32, 024001. [Google Scholar] [CrossRef]
- Aasi, J. et al. [LIGO Scientific]. Advanced LIGO. Class. Quant. Grav. 2015, 32, 074001. [Google Scholar] [CrossRef]
- Abbott, B.P. et al. [LIGO Scientific and Virgo]. GW170817: Observation of Gravitational Waves from a Binary Neutron Star Inspiral. Phys. Rev. Lett. 2017, 119, 161101. [Google Scholar] [CrossRef]
- Abbott, R. et al. [LIGO Scientific, VIRGO and KAGRA]. GWTC-3: Compact Binary Coalescences Observed by LIGO and Virgo During the Second Part of the Third Observing Run. arXiv 2021, arXiv:2111.03606. [Google Scholar]
- Aso, Y. et al. [KAGRA]. Interferometer design of the KAGRA gravitational wave detector. Phys. Rev. D 2013, 88, 043007. [Google Scholar] [CrossRef]
- Saleem, M.; Rana, J.; Gayathri, V.; Vijaykumar, A.; Goyal, S.; Sachdev, S.; Suresh, J.; Sudhagar, S.; Mukherjee, A.; Gaur, G.; et al. The science case for LIGO-India. Class. Quant. Grav. 2022, 39, 025004. [Google Scholar] [CrossRef]
- Punturo, M.; Abernathy, M.; Acernese, F.; Allen, B.; Andersson, N.; Arun, K.; Barone, F.; Barr, B.; Barsuglia, M.; Beker, M.; et al. The Einstein Telescope: A third-generation gravitational wave observatory. Class. Quant. Grav. 2010, 27, 194002. [Google Scholar] [CrossRef]
- Evans, M.; Adhikari, R.X.; Afle, C.; Ballmer, S.W.; Biscoveanu, S.; Borhanian, S.; Brown, D.A.; Chen, Y.; Eisenstein, R.; Gruson, A.; et al. A Horizon Study for Cosmic Explorer: Science, Observatories, and Community. arXiv 2021, arXiv:2109.09882. [Google Scholar]
- Amaro-Seoane, P. et al. [LISA]. Laser Interferometer Space Antenna. arXiv 2021, arXiv:1702.00786. [Google Scholar]
- Barausse, E.; Berti, E.; Hertog, T.; Hughes, S.A.; Jetzer, P.; Pani, P.; Sotiriou, T.P.; Tamanini, N.; Witek, H.; Yagi, K.; et al. Prospects for Fundamental Physics with LISA. Gen. Rel. Grav. 2020, 52, 81. [Google Scholar] [CrossRef]
- Abbott, B.P. et al. [LIGO Scientific and Virgo]. GW170817: Measurements of neutron star radii and equation of state. Phys. Rev. Lett. 2018, 121, 161101. [Google Scholar] [CrossRef] [PubMed]
- Landry, P.; Essick, R.; Chatziioannou, K. Nonparametric constraints on neutron star matter with existing and upcoming gravitational wave and pulsar observations. Phys. Rev. D 2020, 101, 123007. [Google Scholar] [CrossRef]
- Gupta, P.K.; Puecher, A.; Pang, P.T.H.; Janquart, J.; Koekoek, G.; Den, C.B.V. Determining the equation of state of neutron stars with Einstein Telescope using tidal effects and r-mode excitations from a population of binary inspirals. arXiv 2022, arXiv:2205.01182. [Google Scholar]
- Coupechoux, J.F.; Chierici, R.; Hansen, H.; Margueron, J.; Somasundaram, R.; Sordini, V. Impact of O4 future detections on the determination of the dense matter equations of state. Phys. Rev. D 2023, 107, 124006. [Google Scholar] [CrossRef]
- Narikawa, T.; Uchikata, N.; Tanaka, T. Gravitational-wave constraints on the GWTC-2 events by measuring the tidal deformability and the spin-induced quadrupole moment. Phys. Rev. D 2021, 104, 084056. [Google Scholar] [CrossRef]
- Vaglio, M.; Pacilio, C.; Maselli, A.; Pani, P. Bayesian parameter estimation on boson-star binary signals with a coherent inspiral template and spin-dependent quadrupolar corrections. Phys. Rev. D 2023, 108, 023021. [Google Scholar] [CrossRef]
- Oppenheimer, J.R.; Volkoff, G.M. On massive neutron cores. Phys. Rev. 1939, 55, 374–381. [Google Scholar] [CrossRef]
- Tolman, R.C. Static solutions of Einstein’s field equations for spheres of fluid. Phys. Rev. 1939, 55, 364–373. [Google Scholar] [CrossRef]
- Sandin, F.; Ciarcelluti, P. Effects of mirror dark matter on neutron stars. Astropart. Phys. 2009, 32, 278–284. [Google Scholar] [CrossRef]
- Ciarcelluti, P.; Sandin, F. Have neutron stars a dark matter core? Phys. Lett. B 2011, 695, 19–21. [Google Scholar] [CrossRef]
- Leung, K.L.; Chu, M.c.; Lin, L.M. Tidal deformability of dark matter admixed neutron stars. Phys. Rev. D 2022, 105, 123010. [Google Scholar] [CrossRef]
- Boehmer, C.G.; Harko, T. Can dark matter be a Bose–Einstein condensate? JCAP 2007, 6, 25. [Google Scholar] [CrossRef]
- Pires, M.O.C.; de Souza, J.C.C. Galactic cold dark matter as a Bose–Einstein condensate of WISPs. JCAP 2012, 11, 24, Erratum in JCAP 2013, 11, E01. [Google Scholar]
- Souza, J.C.C.; Ujevic, M. Constraining condensate dark matter in galaxy clusters. Gen. Rel. Grav. 2015, 47, 100. [Google Scholar] [CrossRef]
- Harko, T. Bose–Einstein condensation of dark matter solves the core/cusp problem. JCAP 2011, 5, 22. [Google Scholar] [CrossRef]
- Bose, S. Plancks gesetz und lichtquantenhypothese. Z. Phys. 1924, 26, 178. [Google Scholar] [CrossRef]
- Einstein, A. Sitzungsber. Kgl. Preuss. Akad. Wiss. 261, 1924.
- Einstein, A. Sitzungsber. Kgl. Preuss. Akad. Wiss. 3, 1925.
- Dalfovo, F.; Giorgini, S.; Pitaevskii, L.P.; Stringari, S. Theory of Bose–Einstein condensation in trapped gases. Rev. Mod. Phys. 1999, 71, 463–512. [Google Scholar] [CrossRef]
- Pethick, C.J.; Smith, H. Bose–Einstein Condensation in Dilute Gases; Cambridge University Press: Cambridge, UK, 2008. [Google Scholar]
- Li, X.Y.; Harko, T.; Cheng, K.S. Condensate dark matter stars. JCAP 2012, 6, 1. [Google Scholar] [CrossRef]
- Chavanis, P.H. Phase transitions between dilute and dense axion stars. Phys. Rev. D 2018, 98, 023009. [Google Scholar] [CrossRef]
- Fan, J. Ultralight Repulsive Dark Matter and BEC. Phys. Dark Univ. 2016, 14, 84–94. [Google Scholar] [CrossRef]
- Lopes, I.; Panotopoulos, G. Radial oscillations of boson stars made of ultralight repulsive dark matter. Nucl. Phys. B 2020, 961, 115266. [Google Scholar] [CrossRef]
- Ji, S.U.; Sin, S.J. Late time phase transition and the galactic halo as a bose liquid: 2. The Effect of visible matter. Phys. Rev. D 1994, 50, 3655–3659. [Google Scholar] [CrossRef] [PubMed]
- Schive, H.Y.; Chiueh, T.; Broadhurst, T. Cosmic Structure as the Quantum Interference of a Coherent Dark Wave. Nature Phys. 2014, 10, 496–499. [Google Scholar] [CrossRef]
- Hui, L.; Ostriker, J.P.; Tremaine, S.; Witten, E. Ultralight scalars as cosmological dark matter. Phys. Rev. D 2017, 95, 043541. [Google Scholar] [CrossRef]
- Bernal, T.; Fernández-Hernxaxndez, L.M.; Matos, T.; Rodríguez-Meza, M.A. Rotation curves of high-resolution LSB and SPARC galaxies with fuzzy and multistate (ultralight boson) scalar field dark matter. Mon. Not. R. Astron. Soc. 2018, 475, 1447–1468. [Google Scholar] [CrossRef]
- Meinert, J.; Hofmann, R. Axial Anomaly in Galaxies and the Dark Universe. Universe 2021, 7, 198. [Google Scholar] [CrossRef]
- Panotopoulos, G.; Lopes, I. Dark stars in Starobinsky’s model. Phys. Rev. D 2018, 97, 024025. [Google Scholar] [CrossRef]
- Panotopoulos, G.; Lopes, I.; Rincón, X. Lagrangian formulation for an extended cosmological equation-of-state. Phys. Dark Univ. 2021, 31, 100751. [Google Scholar] [CrossRef]
- Arzoumanian, Z. et al. [NANOGrav]. The NANOGrav 11-year Data Set: High-precision timing of 45 Millisecond Pulsars. Astrophys. J. Suppl. 2018, 235, 37. [Google Scholar] [CrossRef]
- Buchdahl, H.A. General Relativistic Fluid Spheres. Phys. Rev. 1959, 116, 1027. [Google Scholar] [CrossRef]
- Chen, H.Y.; Chatziioannou, K. Distinguishing Binary Neutron Star from Neutron Star–Black Hole Mergers with Gravitational Waves. Astrophys. J. Lett. 2020, 893, L41. [Google Scholar] [CrossRef]
- Chen, A.; Johnson-McDaniel, N.K.; Dietrich, T.; Dudi, R. Distinguishing high-mass binary neutron stars from binary black holes with second- and third-generation gravitational wave observatories. Phys. Rev. D 2020, 101, 103008. [Google Scholar] [CrossRef]
- Fasano, M.; Wong, K.W.K.; Maselli, A.; Berti, E.; Ferrari, V.; Sathyaprakash, B.S. Distinguishing double neutron star from neutron star-black hole binary populations with gravitational wave observations. Phys. Rev. D 2020, 102, 023025. [Google Scholar] [CrossRef]
- Coupechoux, J.F.; Arbey, A.; Chierici, R.; Hansen, H.; Margueron, J.; Sordini, V. Discriminating same-mass neutron stars and black holes gravitational waveforms. Phys. Rev. D 2022, 105, 064063. [Google Scholar] [CrossRef]









Disclaimer/Publisher’s Note: The statements, opinions and data contained in all publications are solely those of the individual author(s) and contributor(s) and not of MDPI and/or the editor(s). MDPI and/or the editor(s) disclaim responsibility for any injury to people or property resulting from any ideas, methods, instructions or products referred to in the content. |
© 2023 by the authors. Licensee MDPI, Basel, Switzerland. This article is an open access article distributed under the terms and conditions of the Creative Commons Attribution (CC BY) license (https://creativecommons.org/licenses/by/4.0/).
Share and Cite
Sepúlveda, C.; Panotopoulos, G. On Exotic Objects Made of Dark Energy and Dark Matter: Mass-to-Radius Profiles and Tidal Love Numbers. Galaxies 2023, 11, 101. https://doi.org/10.3390/galaxies11050101
Sepúlveda C, Panotopoulos G. On Exotic Objects Made of Dark Energy and Dark Matter: Mass-to-Radius Profiles and Tidal Love Numbers. Galaxies. 2023; 11(5):101. https://doi.org/10.3390/galaxies11050101
Chicago/Turabian StyleSepúlveda, Camila, and Grigoris Panotopoulos. 2023. "On Exotic Objects Made of Dark Energy and Dark Matter: Mass-to-Radius Profiles and Tidal Love Numbers" Galaxies 11, no. 5: 101. https://doi.org/10.3390/galaxies11050101
APA StyleSepúlveda, C., & Panotopoulos, G. (2023). On Exotic Objects Made of Dark Energy and Dark Matter: Mass-to-Radius Profiles and Tidal Love Numbers. Galaxies, 11(5), 101. https://doi.org/10.3390/galaxies11050101

