Age Estimation in Brazilian Adults Using the Pulp/Tooth Ratio of the Maxillary Canine and Mandibular Second Premolar
Abstract
1. Introduction
2. Materials and Methods
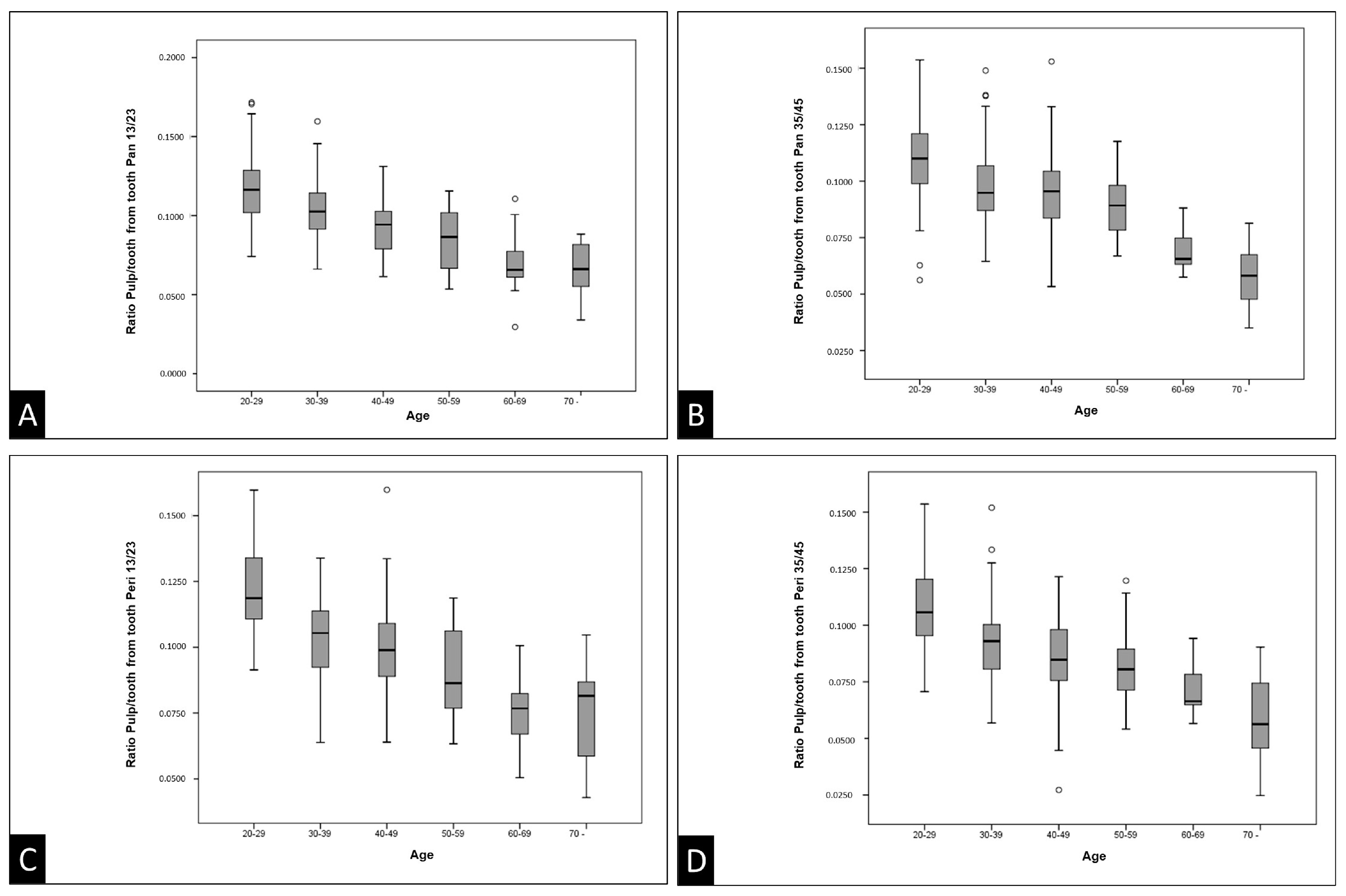
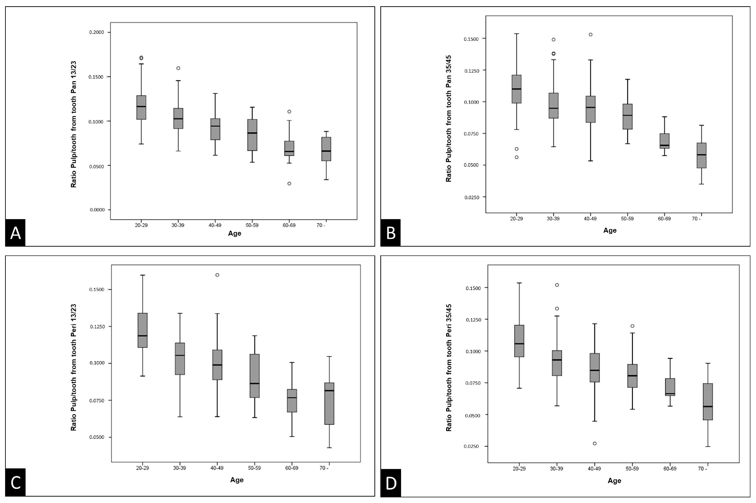
3. Results
4. Discussion
5. Conclusions
Author Contributions
Funding
Institutional Review Board Statement
Informed Consent Statement
Data Availability Statement
Conflicts of Interest
References
- Cameriere, R.; Ferrante, L.; Cingolani, M. Variations in pulp/tooth area ratio as an indicator of age: A preliminary study. J. Forensic Sci. 2004, 49, 317–319. [Google Scholar] [CrossRef]
 - Cameriere, R.; De Luca, S.; Alemán, I.; Ferrante, L.; Cingolani, M. Age estimation by pulp/tooth ratio in lower premolars by orthopantomography. Forensic Sci. Int. 2012, 214, 105–112. [Google Scholar] [CrossRef] [PubMed]
 - Kvaal, S.I.; Kolltveit, K.M.; Thomsen, I.O.; Solheim, T. Age estimation of adults from dental radiographs. Forensic Sci. Int. 1995, 74, 175–185. [Google Scholar] [CrossRef] [PubMed]
 - Marroquin, T.Y.; Karkhanis, S.; Kvaal, S.I.; Vasudavan, S.; Kruger, E.; Tennant, M. Age estimation in adults by dental imaging assessment systematic review. Forensic Sci. Int. 2017, 275, 203–211. [Google Scholar] [CrossRef] [PubMed]
 - Cameriere, R.; Ferrante, L.; Belcastro, M.G.; Bonfiglioli, B.; Rastelli, E.; Cingolani, M. Age estimation by pulp/tooth ratio in canines by peri-apical x-rays. J. Forensic Sci. 2007, 52, 166–170. [Google Scholar] [CrossRef] [PubMed]
 - Cunha, E.; Wasterlain, S. Estimativa da idade por métodos dentários. In Identificação em Medicina Dentária; Imprensa da Universidade de Coimbra: Coimbra, Portugal, 2015. [Google Scholar]
 - Miranda, J.C.; Azevedo, A.C.S.; Rocha, M.; Michel-Crosato, E.; Biazevic, M.G.H. Age estimation in Brazilian adults by Kvaal’s and Cameriere’s methods. Braz. Oral Res. 2020, 34, e051. [Google Scholar] [CrossRef] [PubMed]
 - Mallya, S.; Lam, E. White & Pharoah’s Oral Radiology, 8th ed.; Mosby: St. Louis, MO, USA, 2018. [Google Scholar]
 - Schulze, R.; Krummenauer, F.; Schalldach, F.; d’Hoedt, B. Precision and accuracy of measurements in digital panoramic radiography. Dentomaxillofac. Radiol. 2000, 29, 52–56. [Google Scholar] [CrossRef] [PubMed]
 - Jeevan, M.B.; Kale, A.D.; Angadi, P.V.; Hallikerimath, S. Age estimation by pulp/tooth area ratio in canines: Cameriere’s method assessed in an Indian sample using radiovisiography. Forensic Sci. Int. 2011, 204, 209.e1–209.e5. [Google Scholar] [CrossRef] [PubMed]
 - Azevedo, A.d.C.; Alves, N.Z.; Michel-Crosato, E.; Rocha, M.; Cameriere, R.; Biazevic, M.G. Dental age estimation in a Brazilian adult population using Cameriere’s method. Braz. Oral Res. 2015, 29, S1806-83242015000100215. [Google Scholar] [CrossRef]
 - Lee, J.H.; Lee, C.; Battulga, B.; Na, J.Y.; Hwang, J.J.; Kim, Y.H.; Han, S.S. Morphological analysis of the lower second premolar for age estimation of Korean adults. Forensic Sci. Int. 2017, 281, 186.e1–186.e6. [Google Scholar] [CrossRef]
 - Anastácio, A.C.; Serras, C.; Vargas de Sousa Santos, R.F.; Palmela Pereira, C. Validation of Cameriere’s medical-legal age estimation method using seconds premolars in a Portuguese population. J. Forensic Leg. Med. 2018, 60, 30–34. [Google Scholar] [CrossRef]
 - Aguilera-Muñoz, F.; Garay-Barrientos, A.; Moreno-Lazcano, I.; Navarro-Cáceres, P.; Fonseca, G.M. Dental age estimation by pulp/tooth ratio in mandibular canines: Study in a Chilean sample by Camerierer’s method. Int. J. Morphol. 2020, 38, 322–327. [Google Scholar] [CrossRef]
 - Shah, P.; Venkatesh, R.; More, C. Age estimation in Western Indian population by Cameriere’s and Drusini’s methods. J. Oral Maxillofac. Pathol. 2022, 26, 116–120. [Google Scholar] [CrossRef] [PubMed]
 - Figueiredo, R.T.; Vizioli, S.H.T. Comparative study between the new digital tools used in freehand drawings. Blucher Des. Proc. 2014, 1, 87–91. [Google Scholar]
 - Schmeling, A.; Geserick, G.; Reisinger, W.; Olze, A. Age estimation. Forensic Sci. Int. 2007, 165, 178–181. [Google Scholar] [CrossRef]
 - Yeom, H.-G.; Kim, J.-E.; Huh, K.-H.; Yi, W.-J.; Heo, M.-S.; Lee, S.-S.; Choi, S.-C. Development of a new ball-type phantom for evaluation of the image layer of panoramic radiography. Imaging Sci. Dent. 2018, 48, 255–259. [Google Scholar] [CrossRef]
 - Saxena, S. Age estimation of Indian adults from orthopantomographs. Braz. Oral Res. 2011, 25, 225–229. [Google Scholar] [CrossRef] [PubMed]
 - De Luca, S.; Alemán, I.; Bertoldi, F.; Ferrante, L.; Mastrangelo, P.; Cingolani, M.; Cameriere, R. Age estimation by tooth/pulp ratio in canines by peri-apical x-rays: Reliability in age determination of Spanish and Italian medieval skeletal remains. J. Archaeol. Sci. 2010, 37, 3048–3058. [Google Scholar] [CrossRef]
 - Lavez, G.P.; Terada, A.S.S.D.; Dezem, T.U.; Galo, R.; da Silva, R.H.A. Age estimation using Olze’s method in an adult Brazilian population. J. Forensic Leg. Med. 2017, 52, 241–244. [Google Scholar] [CrossRef]
 - Dehghani, M.; Shadkam, E.; Ahrari, F.; Dehghani, M. Age estimation by canines’ pulp/tooth ratio in an Iranian population using digital panoramic radiography. Forensic Sci. Int. 2018, 285, 44–49. [Google Scholar] [CrossRef]
 - Hisham, S.; Abdullah, N.; Mohamad Noor, M.H.; Franklin, D. Quantification of secondary dentin formation using dental orthopantomographs in a contemporary Malaysian population. Aust. J. Forensic Sci. 2019, 51, S180–S183. [Google Scholar] [CrossRef]
 - Zelic, K.; Pavlovic, S.; Mijucic, J.; Djuric, M.; Djonic, D. Applicability of pulp/tooth ratio method for age estimation. Forensic Sci. Med. Pathol. 2020, 16, 43–48. [Google Scholar] [CrossRef] [PubMed]
 - Babshet, M.; Acharya, A.B.; Naikmasur, V.G. Age estimation in Indians from pulp/tooth area ratio of mandibular canines. Forensic Sci. Int. 2010, 197, 125.e1–125.e4. [Google Scholar] [CrossRef] [PubMed]
 - Cameriere, R.; Brogi, G.; Ferrante, L.; Mirtella, D.; Vultaggio, C.; Cingolani, M.; Fornaciari, G. Reliability in age determination by pulp/tooth ratio in upper canines in skeletal remains. J. Forensic Sci. 2006, 51, 861–864. [Google Scholar] [CrossRef] [PubMed]
 - Juneja, M.; Devi, Y.B.; Rakesh, N.; Juneja, S. Age estimation using pulp/tooth area ratio—A digital image analysis. J. Forensic Dent. Sci. 2014, 6, 160–165. [Google Scholar]
 - Verma, M.; Verma, N.; Sharma, R.; Sharma, A. Dental age estimation methods in adult dentitions: An overview. J. Forensic Dent. Sci. 2019, 11, 57–63. [Google Scholar] [CrossRef]
 - Hill, A.J.; Hewson, I.; Lain, R. The role of the forensic odontologist in disaster victim identification: Lessons for management. Forensic Sci. Int. 2011, 205, 44–47. [Google Scholar] [CrossRef]
 - Hinchliffe, J. Forensic odontology, Part 1. Dental identification. Br. Dent. J. 2011, 210, 219–224. [Google Scholar] [CrossRef]
 - Pretty, I.A. Forensic dentistry: 1. Identification of human remains. Dent. Update 2007, 34, 621–634. [Google Scholar] [CrossRef]
 - Phulari, R.G.S.; Dave, E.J. Evolution of dental age estimation methods in adults over the years from occlusal wear to more sophisticated recent techniques. Egypt. J. Forensic Sci. 2021, 11, 36. [Google Scholar] [CrossRef]
 - Esan, T.A.; Yengopal, V.; Schepartz, L.A. The Demirjian versus the Willems method for dental age estimation in different populations: A meta-analysis of published studies. PLoS ONE 2017, 12, e0186682. [Google Scholar] [CrossRef] [PubMed]
 - Wang, J.; Ji, F.; Zhai, Y.; Park, H.; Tao, J. Is Willems method universal for age estimation: A systematic review and meta-analysis. J. Forensic Leg. Med. 2017, 52, 130–136. [Google Scholar] [CrossRef] [PubMed]
 - Gonçalves do Nascimento, L.; Ribeiro Tinoco, R.L.; Lacerda Protasio, A.P.; Arrais Ribeiro, I.L.; Marques Santiago, B.; Cameriere, R. Age estimation in north east Brazilians by measurement of open apices. J. Forensic Odontostomatol. 2020, 38, 2–11. [Google Scholar] [PubMed]
 - Machado, A.L.R.; Borges, B.S.; Cameriere, R.; Machado, C.E.P.; da Silva, R.H.A. Evaluation of Cameriere and Willems age estimation methods in panoramic radiographs of Brazilian children. J. Forensic Odontostomatol. 2020, 38, 8–15. [Google Scholar]
 - Uenoyama Dezem, T.; Franco, A.; Machado Palhares, C.E.; Deitos, A.R.; Alves da Silva, R.H.; Marques Santiago, B.; Lima Arrais Ribeiro, I.; Daruge Junior, E. Testing the Olze and Timme methods for dental age estimation in radiographs of Brazilian subadults and adults. Acta Stomatol. Croat. 2021, 55, 390–396. [Google Scholar] [CrossRef]
 - Hostiuc, S.; Diaconescu, I.; Rusu, M.C.; Negoi, I. Age estimation using the Cameriere methods of open apices: A meta-analysis. Healthcare 2021, 9, 237. [Google Scholar] [CrossRef]
 - Biggerstaff, R.H.; Phillips, J.R.A. Quantitative comparison of paralleling long-cone and bisection-of-angle periapical radiography. Oral Surg. Oral Med. Oral Pathol. 1976, 41, 673–677. [Google Scholar] [CrossRef]
 - Huh, K.-H.; Lee, S.-S.; Jeon, I.-S.; Yi, W.-J.; Heo, M.-S.; Choi, S.-C. Quantitative analysis of errors in alveolar crest level caused by discrepant projection geometry in digital subtraction radiography: An in vivo study. Oral Surg. Oral Med. Oral Pathol. Oral Radiol. Endod. 2005, 100, 750–755. [Google Scholar] [CrossRef] [PubMed]
 - Jamdade, A.S. Modified bisecting angle technique in eliminating zygomatic superimposition over apices of maxillary molars. Indian J. Dent. Res. 2014, 2, 521–526. [Google Scholar] [CrossRef] [PubMed]
 - Jain, S.; Nagi, R.; Daga, M.; Shandilya, A.; Shukla, A.; Parakh, A.; Laheji, A.; Singh, R. Tooth coronal index and pulp/tooth ratio in dental age estimation on digital panoramic radiographs—A comparative study. Forensic Sci. Int. 2017, 277, 115–121. [Google Scholar] [CrossRef]
 - Coskun, E.; Kocak Topbas, N. Successful dental implantation: Evaluating the accuracy of horizontal and vertical measurements on panoramic radiographs using dental implants as reference objects. Minerva Dent. Oral Sci. 2022, 70, 269–275. [Google Scholar] [CrossRef] [PubMed]
 - Martins, L.A.C.; Nascimento, E.H.L.; Gaêta-Araujo, H.; Oliveira, M.L.; Freitas, D.Q. Mapping of a multilayer panoramic radiography device. Dentomaxillofac. Radiol. 2022, 51, 20210082. [Google Scholar] [CrossRef] [PubMed]
 - Dalessandri, D.; Tonni, I.; Laffranchi, L.; Migliorati, M.; Isola, G.; Visconti, L.; Bonetti, S.; Paganelli, C. 2D vs. 3D radiological methods for dental age determination around 18 years: A systematic review. Appl. Sci. 2020, 10, 3094. [Google Scholar] [CrossRef]
 - Issrani, R.; Prabhu, N.; Sghaireen, M.G.; Ganji, K.K.; Alqahtani, A.M.A.; ALJamaan, T.S.; Alanazi, A.M.; Alanazi, S.H.; Alam, M.K.; Munisekhar, M.S. Cone-beam computed tomography: A new tool on the horizon for forensic dentistry. Int. J. Environ. Res. Public Health 2022, 19, 5352. [Google Scholar] [CrossRef] [PubMed]
 - Merdietio Boedi, R.; Shepherd, S.; Mânica, S.; Franco, A. CBCT in dental age estimation: A systematic review and meta analysis. Dentomaxillofac. Radiol. 2022, 51, 20210335. [Google Scholar] [CrossRef] [PubMed]
 - Merdietio Boedi, R.; Shepherd, S.; Oscandar, F.; Mânica, S.; Franco, A. Regressive changes of crown-root morphology and their volumetric segmentation for adult dental age estimation. J. Forensic Sci. 2022, 67, 1890–1898. [Google Scholar] [CrossRef] [PubMed]
 - Iqbal, A.; Karobari, M.I.; Alam, M.K.; Khattak, O.; Alshammari, S.M.; Adil, A.H.; Noorani, T.Y.; Algarani, H.A.; Alonazi, M.A.; Sirivastava, K.C.; et al. Evaluation of root canal morphology in permanent maxillary and mandibular anterior teeth in saudi subpopulation using two classification systems: A CBCT study. BMC Oral Health 2022, 22, 171. [Google Scholar] [CrossRef] [PubMed]
 - Porto, L.V.M.G.; da Silva Neto, J.C.; dos Anjos Pontual, A.; Catunda, R.Q. Evaluation of volumetric changes of teeth in a Brazilian population by using cone beam computed tomography. J. Forensic Leg. Med. 2015, 36, 4–9. [Google Scholar] [CrossRef]
 - Moreira Andrade, V.; Uenoyama Dezem, T.; Breda de Souza, A.C.; Possante de Almeida, C.A.; Francesquini Junior, L.; Daruge Junior, E. Three-dimensional radiological methods for age estimation in adults by using the pulp/tooth relation: An integrative review. Braz. J. Forensic Sci. Med. Law Bioeth. 2021, 1, 97–110. [Google Scholar] [CrossRef]
 - Asif, M.K.; Nambiar, P.; Mani, S.A.; Ibrahim, N.B.; Khan, I.M.; Sukumaran, P. Dental age estimation employing CBCT scans enhanced with mimics software: Comparison of two different approaches using pulp/tooth volumetric analysis. J. Forensic Leg. Med. 2018, 54, 53–61. [Google Scholar] [CrossRef]
 - Akay, G.; Gungor, K.; Gurcan, S. The applicability of Kvaal methods and pulp/tooth volume ratio for age estimation of the Turkish adult population on cone beam computed tomography images. Aust. J. Forensic Sci. 2019, 51, 251–265. [Google Scholar] [CrossRef]
 - Al-Omoush, S.A.; Alhadidi, A.; Al-Kayed, A.; Saoud, H.; Alsoleihat, F. Do upper third molars provide more accurate age estimation in the adult based on the pulp-to-tooth ratio than lower third molars? A cone-beam CT study. Saudi Dent. J. 2021, 3, 702–706. [Google Scholar] [CrossRef]
 - Vossoughi, M.; Movahhedian, N.; Ghafoori, A. The impact of age mimicry bias on the accuracy of methods for age estimation based on Kvaal’s pulp/tooth ratios: A bootstrap study. Int. J. Leg. Med. 2022, 136, 269–278. [Google Scholar] [CrossRef]
 - Cameriere, R.; De Luca, S.; Egidi, N.; Bacaloni, M.; Maponi, P.; Ferrante, L.; Cingolani, M. Automatic age estimation in adults by analysis of canine pulp/tooth ratio: Preliminary results. J. Forensic Radiol. Imaging 2015, 3, 61–66. [Google Scholar] [CrossRef]
 - Khanagar, S.B.; Al-ehaideb, A.; Maganur, P.C.; Vishwanathaiah, S.; Patil, S.; Baeshen, H.A.; Sarode, S.C.; Bhandi, S. Developments, application, and performance of artificial intelligence in dentistry—A systematic review. J. Dent. Sci. 2021, 16, 508–522. [Google Scholar] [CrossRef]
 - Putra, R.H.; Doi, C.; Yoda, N.; Astuti, E.R.; Sasaki, K. Current applications and development of artificial intelligence for digital dental radiography. Dentomaxillofac. Radiol. 2022, 51, 20210197. [Google Scholar] [CrossRef]
 




| Age | Male | Female | Total | 
|---|---|---|---|
| 20–29 years old | 40 | 44 | 84 | 
| 30–39 years old | 38 | 46 | 84 | 
| 40–49 years old | 22 | 22 | 44 | 
| 50–59 years old | 8 | 10 | 18 | 
| 60–69 years old | 4 | 5 | 9 | 
| 70 years old or older | 5 | 3 | 8 | 
| Total | 117 | 130 | 247 | 
| Author | Radiographic Exam | Equation | 
|---|---|---|
| Cameriere et al. [5] | Periapical | A.E = 99.973 − 532.775 × R13 | 
| Cameriere et al. [2] | Panoramic | A.E = 76.29 − 362.57 × R45 | 
| Azevedo et al. [11] | Periapical | A.E = 94.706 − 465.358 × R13 | 
| Lee et al. [12] | Panoramic | A.E = 97.083 − 487.415 × R45 | 
| Anastácio et al. [13] | Panoramic | A.E = 32.493 − 83.890 × R45 | 
| Measure 1 | Measure 2 | p * | ICC (CI 95%) | |
|---|---|---|---|---|
| Pan T13/23 | ||||
| Tooth area | 19,013 | 18,762 | 0.579 | 0.999 | 
| Pulp area | 2110 | 2081 | 0.606 | 0.997 | 
| Peri T13/23 | ||||
| Tooth area | 22,501 | 22,686 | 0.643 | 0.990 | 
| Pulp area | 2523 | 2552 | 0.239 | 0.996 | 
| Pan T35/45 | ||||
| Tooth area | 15,139 | 15,610 | 0.717 | 0.999 | 
| Pulp area | 1623 | 1619 | 0.116 | 0.998 | 
| Peri T35/45 | ||||
| Tooth area | 15,656 | 15,540 | 0.055 | 0.999 | 
| Pulp area | 1534 | 1449 | 0.557 | 0.995 | 
| Equation | Mean ± SD (Years) | Difference in Years | p * | CI (95%) **  | 
|---|---|---|---|---|
| Cameriere et al. [5] | ||||
| Pan T13/23 | 45.4 ± 12.6 | +9.1 | <0.001 | −13.4 to 31.6 | 
| Peri T13/23 | 43.3 ± 11.4 | +7.0 | <0.001 | −14.5 to 28.5 | 
| Azevedo et al. [11] | ||||
| Peri T13/23 | 45.2 ± 10.0 | +8.9 | <0.001 | −11.7 to 29.5 | 
| Equation | Mean ± SD (Years) | Difference in Years | p * | CI (95%) **  | 
|---|---|---|---|---|
| Cameriere et al. [2] | ||||
| Pan T35/45 | 40.3 ± 7.8 | +4.1 | <0.001 | −16.5 to 24.7 | 
| Peri T35/45 | 42.3 ± 7.6 | +6.1 | <0.001 | −14.7 to 26.9 | 
| Lee et al. [12] | ||||
| Pan T35/45 | 48.7 ± 10.5 | +12.5 | <0.001 | −9.1 to 34.1 | 
| Anastácio et al. [13] | ||||
| Pan T35/45 | 24.2 ± 1.8 | −12.1 | < 0.001 | −11.0 to 35.2 | 
| Radiography/Tooth | n | Mean | SD | Min | Max | 
|---|---|---|---|---|---|
| Pan 13/23 | 247 | 0.1025 | 0.0236 | 0.0295 | 0.1716 | 
| Peri 13/23 | 247 | 0.1064 | 0.0215 | 0.0429 | 0.1598 | 
| Pan 35/45 | 247 | 0.0992 | 0.0214 | 0.0350 | 0.1537 | 
| Peri 35/45 | 247 | 0.0937 | 0.0210 | 0.0247 | 0.1535 | 
| Radiography/Tooth | Brazilian Subpopulation Equation | R2 | MAE | SD | 
|---|---|---|---|---|
| Pan T13/23 | Age = 68.348 − 313.070 × R13/23 | 0.34 | 106.47 | 10.32 | 
| Peri T13/23 | Age = 73.245 − 347.648 × R13/23 | 0.35 | 105.20 | 10.26 | 
| Pan T45/35 | Age = 69.447 − 334.606 × R35/45 | 0.32 | 109.53 | 10.47 | 
| Peri T45/35 | Age = 67.067 − 328.886 × R35/45 | 0.30 | 113.34 | 10.65 | 
Disclaimer/Publisher’s Note: The statements, opinions and data contained in all publications are solely those of the individual author(s) and contributor(s) and not of MDPI and/or the editor(s). MDPI and/or the editor(s) disclaim responsibility for any injury to people or property resulting from any ideas, methods, instructions or products referred to in the content.  | 
© 2024 by the authors. Licensee MDPI, Basel, Switzerland. This article is an open access article distributed under the terms and conditions of the Creative Commons Attribution (CC BY) license (https://creativecommons.org/licenses/by/4.0/).
Share and Cite
Nery-Neto, I.; Guedes, O.A.; Estrela, L.R.d.A.; Cintra, L.T.A.; Estrela, C.R.d.A.; Estrela, C. Age Estimation in Brazilian Adults Using the Pulp/Tooth Ratio of the Maxillary Canine and Mandibular Second Premolar. Diagnostics 2024, 14, 749. https://doi.org/10.3390/diagnostics14070749
Nery-Neto I, Guedes OA, Estrela LRdA, Cintra LTA, Estrela CRdA, Estrela C. Age Estimation in Brazilian Adults Using the Pulp/Tooth Ratio of the Maxillary Canine and Mandibular Second Premolar. Diagnostics. 2024; 14(7):749. https://doi.org/10.3390/diagnostics14070749
Chicago/Turabian StyleNery-Neto, Ismar, Orlando Aguirre Guedes, Lucas Rodrigues de Araújo Estrela, Luciano Tavares Angelo Cintra, Cyntia Rodrigues de Araújo Estrela, and Carlos Estrela. 2024. "Age Estimation in Brazilian Adults Using the Pulp/Tooth Ratio of the Maxillary Canine and Mandibular Second Premolar" Diagnostics 14, no. 7: 749. https://doi.org/10.3390/diagnostics14070749
APA StyleNery-Neto, I., Guedes, O. A., Estrela, L. R. d. A., Cintra, L. T. A., Estrela, C. R. d. A., & Estrela, C. (2024). Age Estimation in Brazilian Adults Using the Pulp/Tooth Ratio of the Maxillary Canine and Mandibular Second Premolar. Diagnostics, 14(7), 749. https://doi.org/10.3390/diagnostics14070749
        
