Correlation between Histopathological Prognostic Tumor Characteristics and [18F]FDG Uptake in Corresponding Metastases in Newly Diagnosed Metastatic Breast Cancer
Abstract
1. Introduction
2. Methods
2.1. Patients and Study Design
2.2. Metastasis Biopsy and Histopathological Characteristics
2.3. [18F]FDG-PET/CT Imaging
2.4. [18F]FDG-PET Analysis
2.5. Statistical Analysis
3. Results
3.1. Patients
3.2. [18F]FDG Uptake and Non-Malignancy
3.3. [18F]FDG Uptake and Hormone and HER2 Receptor Status
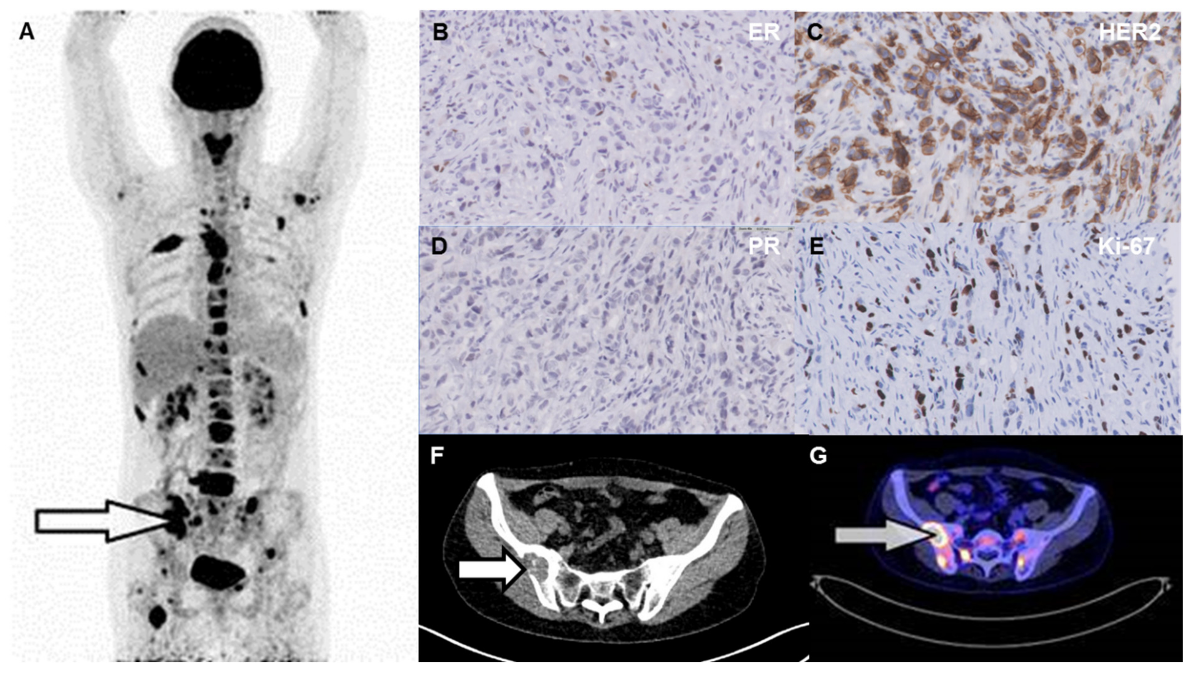
3.4. [18F]FDG Uptake and Ki-67 Proliferation Index
3.5. [18F]FDG Uptake and Histological Subtype
4. Discussion
Supplementary Materials
Author Contributions
Funding
Institutional Review Board Statement
Informed Consent Statement
Data Availability Statement
Acknowledgments
Conflicts of Interest
References
- DeSantis, C.E.; Ma, J.; Gaudet, M.M.; Newman, L.A.; Miller, K.D.; Goding Sauer, A.; Jemal, A.; Siegel, R.L. Breast cancer statistics, 2019. CA Cancer J. Clin. 2019, 69, 438–451. [Google Scholar] [CrossRef]
- Gennari, A.; André, F.; Barrios, C.H.; Cortés, J.; de Azambuja, E.; DeMichele, A.; Dent, R.; Fenlon, D.; Gligorov, J.; Hurvitz, S.A.; et al. ESMO Clinical Practice Guideline for the diagnosis, staging and treatment of patients with metastatic breast cancer. Ann. Oncol. 2021, 32, 1475–1495. [Google Scholar] [CrossRef] [PubMed]
- van Es, S.C.; Velleman, T.; Elias, S.G.; Bensch, F.; Brouwers, A.H.; Glaudemans, A.W.; Kwee, T.C.; Woltman-van Iersel, M.; Maduro, J.H.; Oosting, S.F.; et al. Assessment of bone lesions with 18F-FDG-PET compared with 99mTc bone scintigraphy leads to clinically relevant differences in metastatic breast cancer management. J. Nucl. Med. 2021, 62, 177–183. [Google Scholar] [CrossRef] [PubMed]
- Vogsen, M.; Naghavi-Behzad, M.; Harbo, F.G.; Jakobsen, N.M.; Gerke, O.; Asmussen, J.T.; Nissen, H.J.; Dahlsgaard-Wallenius, S.E.; Braad, P.E.; Jensen, J.D.; et al. 2-[18F]FDG-PET/CT is a better predictor of survival than conventional CT: A prospective study of response monitoring in metastatic breast cancer. Sci. Rep. 2023, 13, 5552. [Google Scholar] [CrossRef] [PubMed]
- Uğurluer, G.; Yavuz, S.; Çalıkuşu, Z.; Seyrek, E.; Kibar, M.; Serin, M.; Ersöz, C.; Demircan, O. Correlation between 18F-FDG Positron-Emission Tomography 18F-FDG Uptake Levels at Diagnosis and Histopathologic and Immunohistochemical Factors in Patients with Breast Cancer. J. Breast Health 2016, 12, 112–118. [Google Scholar] [CrossRef] [PubMed]
- Finessi, M.; Bisi, G.; Deandreis, D. Hyperglycemia and 18F-FDG PET/CT, issues and problem solving: A literature review. Acta Diabetol. 2020, 57, 253–262. [Google Scholar] [CrossRef] [PubMed]
- Qu, Y.H.; Long, N.; Ran, C.; Sun, J. The correlation of 18F-FDG PET/CT metabolic parameters, clinicopathological factors, and prognosis in breast cancer. Clin. Transl. Oncol. 2021, 23, 620–627. [Google Scholar] [CrossRef]
- Groheux, D.; Giacchetti, S.; Moretti, J.L.; Porcher, R.; Espié, M.; Lehmann-Che, J.; De Roquancourt, A.; Hamy, A.S.; Cuvier, C.; Vercellino, L.; et al. Correlation of high 18F-FDG uptake to clinical, pathological and biological prognostic factors in breast cancer. Eur. J. Nucl. Med. Mol. Imaging 2011, 38, 426–435. [Google Scholar] [CrossRef] [PubMed]
- Mavi, A.; Cermik, T.F.; Urhan, M.; Puskulcu, H.; Basu, S.; Jian, Q.Y.; Zhuang, H.; Czerniecki, B.; Alavi, A. The effects of estrogen, progesterone, and C-erbB-2 receptor states on 18F-FDG uptake of primary breast cancer lesions. J. Nucl. Med. 2007, 48, 1266–1272. [Google Scholar] [CrossRef]
- Osborne, J.R.; Port, E.; Gonen, M.; Doane, A.; Yeung, H.; Gerald, W.; Cook, J.B.; Larson, S. 18F-FDG PET of locally invasive breast cancer and association of estrogen receptor status with standardized uptake value: Microarray and immunohistochemical analysis. J. Nucl. Med. 2010, 51, 543–550. [Google Scholar] [CrossRef]
- Shimoda, W.; Hayashi, M.; Murakami, K.; Oyama, T.; Sunagawa, M. The relationship between FDG uptake in PET scans and biological behavior in breast cancer. Breast Cancer 2007, 14, 260–268. [Google Scholar] [CrossRef]
- Tchou, J.; Sonnad, S.S.; Bergey, M.R.; Basu, S.; Tomaszewski, J.; Alavi, A.; Schnall, M. Degree of tumor FDG uptake correlates with proliferation index in triple negative breast cancer. Mol. Imaging Biol. 2010, 12, 657–662. [Google Scholar] [CrossRef]
- Cardoso, F.; Kyriakides, S.; Ohno, S.; Penault-Llorca, F.; Poortmans, P.; Rubio, I.T.; Zackrisson, S.; Senkus, E. Early breast cancer: ESMO Clinical Practice Guidelines for diagnosis, treatment and follow-up. Ann. Oncol. 2019, 30, 1194–1220. [Google Scholar] [CrossRef] [PubMed]
- Zhang, J.; Jia, Z.; Zhou, M.; Ragaz, J.; Zhang, Y.-P.; Wang, B.-Y.; Wang, Z.-H.; Hu, X.-C.; Zhang, Y.-J. The SUVmax for (18)F-FDG correlates with molecular subtype and survival of previously untreated metastatic breast cancer. Clin. Nucl. Med. 2013, 38, 256–262. [Google Scholar] [CrossRef]
- Van Es, S.C.; van der Vegt, B.; Bensch, F.; Gerritse, S.; van Helden, E.J.; Boon, E.; Angus, L.; Overbosch, J.; Menke-van der Houven, C.W.; Verheul, H.M.; et al. Decalcification of breast cancer bone metastases with EDTA does not affect, E.R.; PR, and HER2 results. Am. J. Surg. Pathol. 2019, 43, 1355–1360. [Google Scholar] [CrossRef] [PubMed]
- Federatie Medisch Specialisten. Richtlijnendatabase. Borstkanker—Receptorbepaling. Available online: https://richtlijnendatabase.nl/richtlijn/borstkanker/pathologie/receptorbepaling.html (accessed on 30 March 2021).
- Wolff, A.C.; Elizabeth Hale Hammond, M.; Allison, K.H.; Harvey, B.E.; Mangu, P.B.; Bartlett, J.M.; Bilous, M.; Ellis, I.O.; Fitzgibbons, P.; Hanna, W.; et al. Human epidermal growth factor receptor 2 testing in breast cancer: American Society of Clinical Oncology/College of American Pathologists Clinical Practice Guideline focused update. J. Clin. Oncol. 2018, 36, 2105–2122. [Google Scholar] [CrossRef] [PubMed]
- Koopman, T.; Buikema, H.J.; Hollema, H.; de Bock, G.H.; van der Vegt, B. Digital image analysis of Ki67 proliferation index in breast cancer using virtual dual staining on whole tissue sections: Clinical validation and inter-platform agreement. Breast Cancer Res. Treat. 2018, 169, 33–42. [Google Scholar] [CrossRef]
- Penault-Llorca, F.; Radosevic-Robin, N. Ki67 assessment in breast cancer: An update. Pathology 2017, 49, 166–171. [Google Scholar] [CrossRef]
- Untch, M.; Gerber, B.; Harbeck, N.; Jackisch, C.; Marschner, N.; Möbus, V.; Von Minckwitz, G.; Loibl, S.; Beckmann, M.W.; Blohmer, J.U.; et al. 13th St. Gallen international breast cancer conference 2013: Primary therapy of early breast cancer evidence, controversies, consensus—Opinion of a German team of experts (Zurich 2013). Breast Care 2013, 8, 221–229. [Google Scholar] [CrossRef]
- Boellaard, R.; Delgado-Bolton, R.; Oyen, W.J.G.; Giammarile, F.; Tatsch, K.; Eschner, W.; Verzijlbergen, F.J.; Barrington, S.F.; Pike, L.C.; Weber, W.A.; et al. FDG PET/CT: EANM procedure guidelines for tumour imaging: Version 2.0. Eur. J. Nucl. Med. Mol. Imaging 2015, 42, 328–354. [Google Scholar] [CrossRef]
- Kitajima, K.; Fukushima, K.; Miyoshi, Y.; Nishimukai, A.; Hirota, S.; Igarashi, Y.; Katsuura, T.; Maruyama, K.; Hirota, S. Association between 18F-FDG uptake and molecular subtype of breast cancer. Eur. J. Nucl. Med. Mol. Imaging 2015, 42, 1371–1377. [Google Scholar] [CrossRef]
- Arslan, E.; Çermik, T.F.; Trabulus, F.D.C.; Talu, E.C.K.; Başaran, Ş. Role of 18F-FDG PET/CT in evaluating molecular subtypes and clinicopathological features of primary breast cancer. Nucl. Med. Commun. 2018, 39, 680–690. [Google Scholar] [CrossRef] [PubMed]
- Elias, S.G.; Adams, A.; Wisner, D.J.; Esserman, L.J.; van’t Veer, L.J.; Mali, W.P.T.M.; Gilhuijs, K.G.A.; Hylton, N.M. Imaging features of HER2 overexpression in breast cancer: A systematic review and meta-analysis. Cancer Epidemiol. Biomarkers Prev. 2014, 23, 1464–1483. [Google Scholar] [CrossRef]
- Kwon, H.W.; Lee, J.H.; Pahk, K.; Park, K.H.; Kim, S. Clustering subtypes of breast cancer by combining immunohistochemistry profiles and metabolism characteristics measured using FDG PET/CT. Cancer Imaging 2021, 21, 1–11. [Google Scholar] [CrossRef] [PubMed]
- Madani, S.H.; Payandeh, M.; Sadeghi, M.; Motamed, H.; Sadeghi, E. The correlation between Ki-67 with other prognostic factors in breast cancer: A study in Iranian patients. Indian J. Med. Paediatr. Oncol. 2016, 37, 95–99. [Google Scholar] [CrossRef] [PubMed]
- Inwald, E.C.; Klinkhammer-Schalke, M.; Hofstädter, F.; Zeman, F.; Koller, M.; Gerstenhauer, M.; Ortmann, O. Ki-67 is a prognostic parameter in breast cancer patients: Results of a large population-based cohort of a cancer registry. Breast Cancer Res. Treat. 2013, 139, 539–552. [Google Scholar] [CrossRef]
- Mohamadien, N.R.A.; Sayed, M.H.M. Correlation between semiquantitative and volumetric 18F-FDG PET/computed tomography parameters and Ki-67 expression in breast cancer. Nucl. Med. Commun. 2021, 42, 656–664. [Google Scholar] [CrossRef]
- Buck, A.; Schirrmeister, H.; Kühn, T.; Shen, C.; Kalker, T.; Kotzerke, J.; Dankerl, A.; Glatting, G.; Reske, S.; Mattfeldt, T. FDG uptake in breast cancer: Correlation with biological and clinical prognostic parameters. Eur. J. Nucl. Med. Mol. Imaging 2002, 29, 1317–1323. [Google Scholar] [CrossRef]
- Chalkidou, A.; Landau, D.B.; Odell, E.W.; Cornelius, V.R.; O’Doherty, M.J.; Marsden, P.K. Correlation between Ki-67 immunohistochemistry and 18F-fluorothymidine uptake in patients with cancer: A systematic review and meta-analysis. Eur. J. Cancer 2012, 48, 3499–3513. [Google Scholar] [CrossRef]
- Moon, H.; Noh, W.C.; Kim, H.A.; Kim, E.K.; Park, K.W.; Lee, S.S.; Choi, J.H.; Han, K.W.; Byun, B.H.; Lim, I.; et al. The relationship between estrogen receptor, progesterone receptor and human epidermal growth factor receptor 2 expression of breast cancer and the retention index in dual phase 18F-FDG PET/CT. Nucl. Med. Mol. Imaging 2016, 50, 246–254. [Google Scholar] [CrossRef]
- Groheux, D.; Majdoub, M.; Tixier, F.; Le Rest, C.C.; Martineau, A.; Merlet, P.; Espié, M.; De Roquancourt, A.; Hindié, E.; Hatt, M.; et al. Do clinical, histological or immunohistochemical primary tumour characteristics translate into different 18F-FDG PET/CT volumetric and heterogeneity features in stage II/III breast cancer? Eur. J. Nucl. Med. Mol. Imaging 2015, 42, 1682–1691. [Google Scholar] [CrossRef]
- Ulaner, G.; Jhaveri, K.; Chardarlapaty, S.; Hatzoglou, V.; Riedl, C.; Lewis, J.; Mauguen, A. Head-to-head evaluation of 18F-FES and 18F-FDG PET/CT in metastatic invasive lobular breast cancer. J. Nucl. Med. 2021, 62, 326–331. [Google Scholar] [CrossRef]
- Kurland, B.F.; Gadi, V.K.; Specht, J.M.; Allison, K.H.; Livingston, R.B.; Rodler, E.T.; Peterson, L.M.; Schubert, E.K.; Chai, X.; Mankoff, D.A.; et al. Feasibility study of FDG PET as an indicator of early response to aromatase inhibitors and trastuzumab in a heterogeneous group of breast cancer patients. EJNMMI Res. 2012, 2, 34. [Google Scholar] [CrossRef]





| Patient Characteristic | Number (%) n = 188 |
|---|---|
| Sex | |
| Female | 186 (99) |
| Male | 2 (1) |
| Age, years | |
| Mean (SD) | 59 ± 11 |
| Previous adjuvant therapies * | |
| None | 52 (28) |
| Yes (including endocrine and/or chemotherapy and/or targeted) | 136 (72) |
| Biopsy site of metastasis | |
| Bone | 93 (50) |
| Lymph node | 45 (24) |
| Liver | 25 (13) |
| Lung | 8 (4) |
| Skin | 9 (5) |
| Other † | 8 (4) |
| Biopsy characteristics | |
| Biopsy containing tumor cells | 182 (97) |
| ER status (n = 182) | |
| Positive | 133 (73) |
| Negative | 49 (27) |
| Median % [range] ¶ | 100 [0–100] |
| PR status (n = 182) | |
| Positive | 112 (62) |
| Negative | 70 (38) |
| Median % [range] § | 30 [0–100] |
| HER2 status (n = 182) | |
| Positive | 29 (16) |
| Negative | 153 (84) |
| IHC 0 | 68 (37) |
| IHC 1+ | 71 (39) |
IHC 2+
| 20 (11) |
| IHC 3+ | 22 (12) |
IHC unknown
| 1 (1) |
| Molecular subtypes (n = 182) | |
| ER-positive/HER2-negative | 121 (66) |
| HER2-positive | 29 (16) |
| |
| |
| TNBC | 32 (18) |
| Histology (n = 182) | |
| Invasive carcinoma NST | 146 (80) |
| Invasive lobular carcinoma | 31 (17) |
| Other ǁ | 5 (3) |
| Ki-67 proliferation index (n = 112) | |
| Ki-67 low (<20%) | 46 (41) |
| Ki-67 high (≥20%) | 66 (59) |
| Median % [range] | 26 [1–97] |
Disclaimer/Publisher’s Note: The statements, opinions and data contained in all publications are solely those of the individual author(s) and contributor(s) and not of MDPI and/or the editor(s). MDPI and/or the editor(s) disclaim responsibility for any injury to people or property resulting from any ideas, methods, instructions or products referred to in the content. |
© 2024 by the authors. Licensee MDPI, Basel, Switzerland. This article is an open access article distributed under the terms and conditions of the Creative Commons Attribution (CC BY) license (https://creativecommons.org/licenses/by/4.0/).
Share and Cite
Boers, J.; Eisses, B.; Zwager, M.C.; van Geel, J.J.L.; Bensch, F.; de Vries, E.F.J.; Hospers, G.A.P.; Glaudemans, A.W.J.M.; Brouwers, A.H.; den Dekker, M.A.M.; et al. Correlation between Histopathological Prognostic Tumor Characteristics and [18F]FDG Uptake in Corresponding Metastases in Newly Diagnosed Metastatic Breast Cancer. Diagnostics 2024, 14, 416. https://doi.org/10.3390/diagnostics14040416
Boers J, Eisses B, Zwager MC, van Geel JJL, Bensch F, de Vries EFJ, Hospers GAP, Glaudemans AWJM, Brouwers AH, den Dekker MAM, et al. Correlation between Histopathological Prognostic Tumor Characteristics and [18F]FDG Uptake in Corresponding Metastases in Newly Diagnosed Metastatic Breast Cancer. Diagnostics. 2024; 14(4):416. https://doi.org/10.3390/diagnostics14040416
Chicago/Turabian StyleBoers, Jorianne, Bertha Eisses, Mieke C. Zwager, Jasper J. L. van Geel, Frederike Bensch, Erik F. J. de Vries, Geke A. P. Hospers, Andor W. J. M. Glaudemans, Adrienne H. Brouwers, Martijn A. M. den Dekker, and et al. 2024. "Correlation between Histopathological Prognostic Tumor Characteristics and [18F]FDG Uptake in Corresponding Metastases in Newly Diagnosed Metastatic Breast Cancer" Diagnostics 14, no. 4: 416. https://doi.org/10.3390/diagnostics14040416
APA StyleBoers, J., Eisses, B., Zwager, M. C., van Geel, J. J. L., Bensch, F., de Vries, E. F. J., Hospers, G. A. P., Glaudemans, A. W. J. M., Brouwers, A. H., den Dekker, M. A. M., Elias, S. G., Kuip, E. J. M., van Herpen, C. M. L., Jager, A., van der Veldt, A. A. M., Oprea-Lager, D. E., de Vries, E. G. E., van der Vegt, B., Menke-van der Houven van Oordt, W. C., & Schröder, C. P., on behalf of the IMPACT-Metastatic Breast Consortium. (2024). Correlation between Histopathological Prognostic Tumor Characteristics and [18F]FDG Uptake in Corresponding Metastases in Newly Diagnosed Metastatic Breast Cancer. Diagnostics, 14(4), 416. https://doi.org/10.3390/diagnostics14040416

