Pericranial Muscle Stiffness, Pain Thresholds, and Tenderness during a Treatment Cycle of OnabotulinumtoxinA for Chronic Migraine Prevention
Abstract
1. Introduction
2. Methods
2.1. Study Population and Study Design
2.2. Inclusion and Exclusion Criteria
2.3. Treatment
2.4. Demographic and Clinical Characteristics
2.5. Muscle Stiffness
2.6. Pressure Pain Thresholds
2.7. Pericranial Tenderness via Manual Palpation
2.8. Headache and Neck Pain Assessment
2.9. Statistics
3. Results
3.1. Study Sample
3.2. Muscle Stiffness
3.3. Pressure Pain Thresholds
3.4. Pericranial Tenderness by Manual Palpation
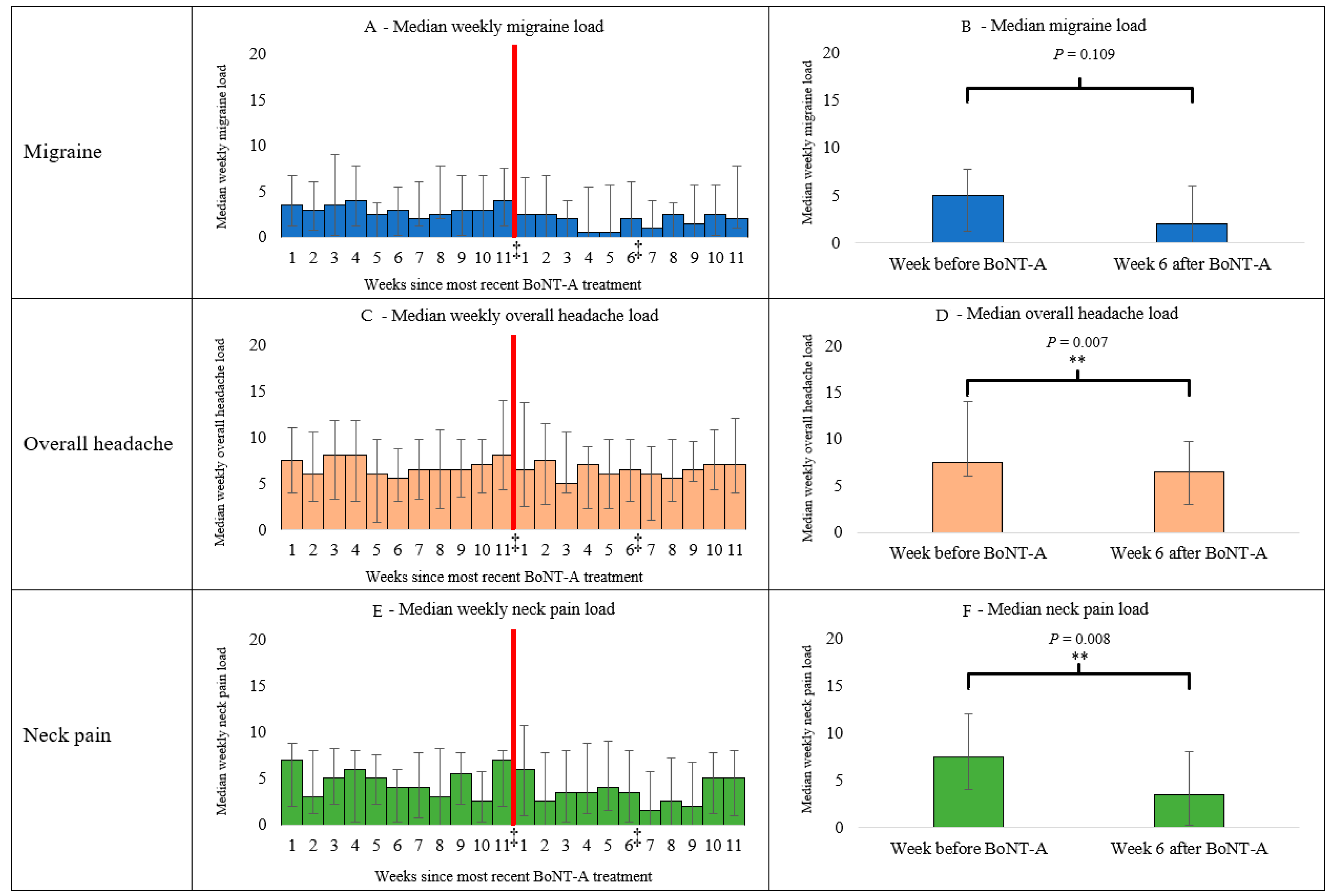
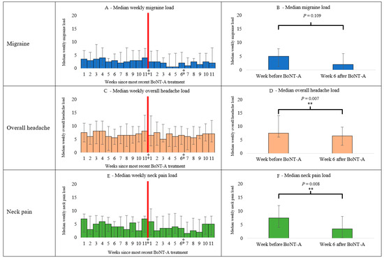
3.5. Headache and Neck Pain
3.5.1. Migraine
3.5.2. Overall Headache
3.5.3. Neck Pain
4. Discussion
Limitations
5. Conclusions
Author Contributions
Funding
Institutional Review Board Statement
Informed Consent Statement
Data Availability Statement
Acknowledgments
Conflicts of Interest
References
- Aurora, S.K.; Dodick, D.; Turkel, C.; DeGryse, R.; Silberstein, S.; Lipton, R.; Diener, H.; Brin, M. OnabotulinumtoxinA for treatment of chronic migraine: Results from the double-blind, randomized, placebo-controlled phase of the PREEMPT 1 trial. Cephalalgia 2010, 30, 793–803. [Google Scholar] [CrossRef] [PubMed]
- Diener, H.C.; Dodick, D.; Aurora, S.; Turkel, C.; DeGryse, R.; Lipton, R.; Silberstein, S.; Brin, M. OnabotulinumtoxinA for treatment of chronic migraine: Results from the double-blind, randomized, placebo-controlled phase of the PREEMPT 2 trial. Cephalalgia 2010, 30, 804–814. [Google Scholar] [CrossRef] [PubMed]
- Aurora, S.K.; Winner, P.; Freeman, M.C.; Spierings, E.L.; Heiring, J.O.; DeGryse, R.E.; VanDenburgh, A.M.; Nolan, M.E.; Turkel, C.C. OnabotulinumtoxinA for treatment of chronic migraine: Pooled analyses of the 56-week PREEMPT clinical program. Headache 2011, 51, 1358–1373. [Google Scholar] [CrossRef] [PubMed]
- Katsuki, M.; Matsumori, Y.; Kawahara, J.; Yamagishi, C.; Koh, A.; Kawamura, S.; Kashiwagi, K.; Kito, T.; Oguri, M.; Mizuno, S.; et al. Headache education by leaflet distribution during COVID-19 vaccination and school-based on-demand e-learning: Itoigawa Geopark Headache Awareness Campaign. Headache 2023, 63, 429–440. [Google Scholar] [CrossRef]
- Burstein, R.; Zhang, X.; Levy, D.; Aoki, K.R.; Brin, M.F. Selective inhibition of meningeal nociceptors by botulinum neurotoxin type A: Therapeutic implications for migraine and other pains. Cephalalgia 2014, 34, 853–869. [Google Scholar] [CrossRef]
- Burstein, R.; Blumenfeld, A.M.; Silberstein, S.D.; Adams, A.M.; Brin, M.F. Mechanism of Action of OnabotulinumtoxinA in Chronic Migraine: A Narrative Review. Headache 2020, 60, 1259–1272. [Google Scholar] [CrossRef] [PubMed]
- Durham, P.L.; Cady, R.; Cady, R. Regulation of calcitonin gene-related peptide secretion from trigeminal nerve cells by botulinum toxin type A: Implications for migraine therapy. Headache 2004, 44, 35–42; discussion 42–43. [Google Scholar] [CrossRef] [PubMed]
- Schueler, M.; Neuhuber, W.L.; De Col, R.; Messlinger, K. Innervation of rat and human dura mater and pericranial tissues in the parieto-temporal region by meningeal afferents. Headache 2014, 54, 996–1009. [Google Scholar] [CrossRef]
- Zhang, X.; Strassman, A.M.; Novack, V.; Brin, M.F.; Burstein, R. Extracranial injections of botulinum neurotoxin type A inhibit intracranial meningeal nociceptors’ responses to stimulation of TRPV1 and TRPA1 channels: Are we getting closer to solving this puzzle? Cephalalgia 2016, 36, 875–886. [Google Scholar] [CrossRef]
- Ashina, S.; Bendtsen, L.; Lyngberg, A.C.; Lipton, R.B.; Hajiyeva, N.; Jensen, R. Prevalence of neck pain in migraine and tension-type headache: A population study. Cephalalgia 2015, 35, 211–219. [Google Scholar] [CrossRef]
- Al-Khazali, H.M.; Younis, S.; Al-Sayegh, Z.; Ashina, S.; Ashina, M.; Schytz, H.W. Prevalence of neck pain in migraine: A systematic review and meta-analysis. Cephalalgia 2022, 42, 663–673. [Google Scholar] [CrossRef]
- Hvedstrup, J.; Kolding, L.T.; Ashina, M.; Schytz, H.W. Increased neck muscle stiffness in migraine patients with ictal neck pain: A shear wave elastography study. Cephalalgia 2020, 40, 565–574. [Google Scholar] [CrossRef]
- Giffin, N.J.; Ruggiero, L.; Lipton, R.B.; Silberstein, S.D.; Tvedskov, J.F.; Olesen, J.; Altman, J.; Goadsby, P.J.; Macrae, A. Premonitory symptoms in migraine: An electronic diary study. Neurology 2003, 60, 935–940. [Google Scholar] [CrossRef]
- Lampl, C.; Rudolph, M.; Deligianni, C.I.; Mitsikostas, D.D. Neck pain in episodic migraine: Premonitory symptom or part of the attack? J. Headache Pain 2015, 16, 566. [Google Scholar] [CrossRef]
- Wissel, J.; Ganapathy, V.; Ward, A.B.; Borg, J.; Ertzgaard, P.; Herrmann, C.; Haggstrom, A.; Sakel, M.; Ma, J.; Dimitrova, R.; et al. OnabotulinumtoxinA Improves Pain in Patients With Post-Stroke Spasticity: Findings From a Randomized, Double-Blind, Placebo-Controlled Trial. J. Pain Symptom Manag. 2016, 52, 17–26. [Google Scholar] [CrossRef] [PubMed]
- Tsui, J.K.; Stoessl, A.J.; Eisen, A.; Calne, S.; Calne, D. Double-blind study of botulinum toxin in spasmodic torticollis. Lancet 1986, 2, 245–247. [Google Scholar] [CrossRef] [PubMed]
- Brin, M.F.; Fahn, S.; Moskowitz, C.; Friedman, A.; Shale, H.M.; Greene, P.E.; Blitzer, A.; List, T.; Lange, D.; Lovelace, R.E.; et al. Localized injections of botulinum toxin for the treatment of focal dystonia and hemifacial spasm. Mov. Disord. 1987, 2, 237–254. [Google Scholar] [CrossRef] [PubMed]
- Do, T.P.; Hvedstrup, J.; Schytz, H.W. Botulinum toxin: A review of the mode of action in migraine. Acta Neurol. Scand. 2018, 137, 442–451. [Google Scholar] [CrossRef] [PubMed]
- Headache Classification Committee of the International Headache Society (IHS). The International Classification of Headache Disorders, 3rd edition. Cephalalgia 2018, 38, 1–211. [Google Scholar] [CrossRef] [PubMed]
- Bendtsen, L.; Jensen, R.; Olesen, J. Decreased pain detection and tolerance thresholds in chronic tension-type headache. Arch Neurol. 1996, 53, 373–376. [Google Scholar] [CrossRef] [PubMed]
- Ashina, S.; Jensen, R.; Bendtsen, L. Pain sensitivity in pericranial and extracranial regions. Cephalalgia 2003, 23, 456–462. [Google Scholar] [CrossRef] [PubMed]
- Bendtsen, L.; Jensen, R.; Jensen, N.; Olesen, J. Pressure-controlled palpation: A new technique which increases the reliability of manual palpation. Cephalalgia 1995, 15, 205–210. [Google Scholar] [CrossRef] [PubMed]
- Tassorelli, C.; Diener, H.-C.; Dodick, D.W.; Silberstein, S.D.; Lipton, R.B.; Ashina, M.; Becker, W.J.; Ferrari, M.D.; Goadsby, P.J.; Pozo-Rosich, P.; et al. Guidelines of the International Headache Society for controlled trials of preventive treatment of chronic migraine in adults. Cephalalgia 2018, 38, 815–832. [Google Scholar] [CrossRef] [PubMed]
- Hvedstrup, J.; Amin, F.M.; Hougaard, A.; Ashina, H.; Christensen, C.E.; Larsson, H.B.W.; Ashina, M.; Schytz, H.W. Volume of the rectus capitis posterior minor muscle in migraine patients: A cross-sectional structural MRI study. J. Headache Pain 2020, 21, 57. [Google Scholar] [CrossRef] [PubMed]
- de Tommaso, M.; Delussi, M.; Ricci, K.; Montemurno, A.; Carbone, I.; Vecchio, E. Effects of OnabotulintoxinA on Habituation of Laser Evoked Responses in Chronic Migraine. Toxins 2016, 8, 163. [Google Scholar] [CrossRef] [PubMed]
- Gazerani, P.; Au, S.; Dong, X.; Kumar, U.; Arendt-Nielsen, L.; Cairns, B.E. Botulinum neurotoxin type A (BoNTA) decreases the mechanical sensitivity of nociceptors and inhibits neurogenic vasodilation in a craniofacial muscle targeted for migraine prophylaxis. Pain 2010, 151, 606–616. [Google Scholar] [CrossRef] [PubMed]
- Gfrerer, L.; Xu, W.; Austen, W.; Ashina, S.; Melo-Carrillo, A.; Longhi, M.S.; Adams, A.M.; Houle, T.; Brin, M.F.; Burstein, R. OnabotulinumtoxinA alters inflammatory gene expression and immune cells in chronic headache patients. Brain 2022, 145, 2436–2449. [Google Scholar] [CrossRef] [PubMed]
- Ruscheweyh, R.; Athwal, B.; Gryglas-Dworak, A.; Frattale, I.; Latysheva, N.; Ornello, R.; Pozo-Rosich, P.; Sacco, S.; Ferrus, M.T.; Stark, C.D. Wear-Off of OnabotulinumtoxinA Effect over the Treatment Interval in Chronic Migraine: A Retrospective Chart Review With Analysis of Headache Diaries. Headache 2020, 60, 1673–1682. [Google Scholar] [CrossRef]
- Khan, F.A.; Mohammed, A.E.; Poongkunran, M.; Chimakurthy, A.; Pepper, M. Wearing Off Effect of OnabotulinumtoxinA Near the End of Treatment Cycle for Chronic Migraine: A 4-Year Clinical Experience. Headache 2020, 60, 430–440. [Google Scholar] [CrossRef]
- Ornello, R.; Ahmed, F.; Negro, A.; Miscio, A.M.; Santoro, A.; Alpuente, A.; Russo, A.; Silvestro, M.; Cevoli, S.; Brunelli, N.; et al. Is There a Gender Difference in the Response to onabotulinumtoxinA in Chronic Migraine? Insights from a Real-Life European Multicenter Study on 2879 Patients. Pain Ther. 2021, 10, 1605–1618. [Google Scholar] [CrossRef]



| Demographic (SD) | Tests (Elastography, PPT, TS) (n = 22) | Headache Calendar (n = 18) | Non-Completers (n = 20) |
|---|---|---|---|
| Age (years) | 44 (10) | 43 (10) | 43 (10) |
| Female sex | 91% | 89% | 100% |
| Low level of physical activity * | 64% | 67% | 55% |
| BMI | 28 (5) | 28 (6) | 27 (6) |
| Unilateral Migraine | 68% | ||
| Percentage of days with neck pain | 45% | ||
| Migraine history | |||
| Years since diagnosis | 23 (12) | 22 (11) | 20 (10) |
| Number of BoNT-A treatments | 12 (8) | 11 (7) | 13 (9) |
| Causes | Number of Patients (% of Non-Completers) |
|---|---|
| Changed their mind | 7 (35%) |
| Non-sufficient adherence to the study | 7 (35%) |
| Changed migraine preventive treatment | 2 (10%) |
| Debut of secondary disease | 2 (10%) |
| Symptom exacerbation after PPT and TTS measurements | 2 (10%) |
Disclaimer/Publisher’s Note: The statements, opinions and data contained in all publications are solely those of the individual author(s) and contributor(s) and not of MDPI and/or the editor(s). MDPI and/or the editor(s) disclaim responsibility for any injury to people or property resulting from any ideas, methods, instructions or products referred to in the content. |
© 2024 by the authors. Licensee MDPI, Basel, Switzerland. This article is an open access article distributed under the terms and conditions of the Creative Commons Attribution (CC BY) license (https://creativecommons.org/licenses/by/4.0/).
Share and Cite
Dalby, S.W.; Hvedstrup, J.; Carlsen, L.N.; Ashina, S.; Bendtsen, L.; Schytz, H.W. Pericranial Muscle Stiffness, Pain Thresholds, and Tenderness during a Treatment Cycle of OnabotulinumtoxinA for Chronic Migraine Prevention. Diagnostics 2024, 14, 330. https://doi.org/10.3390/diagnostics14030330
Dalby SW, Hvedstrup J, Carlsen LN, Ashina S, Bendtsen L, Schytz HW. Pericranial Muscle Stiffness, Pain Thresholds, and Tenderness during a Treatment Cycle of OnabotulinumtoxinA for Chronic Migraine Prevention. Diagnostics. 2024; 14(3):330. https://doi.org/10.3390/diagnostics14030330
Chicago/Turabian StyleDalby, Sebastian Worsaae, Jeppe Hvedstrup, Louise Ninett Carlsen, Sait Ashina, Lars Bendtsen, and Henrik Winther Schytz. 2024. "Pericranial Muscle Stiffness, Pain Thresholds, and Tenderness during a Treatment Cycle of OnabotulinumtoxinA for Chronic Migraine Prevention" Diagnostics 14, no. 3: 330. https://doi.org/10.3390/diagnostics14030330
APA StyleDalby, S. W., Hvedstrup, J., Carlsen, L. N., Ashina, S., Bendtsen, L., & Schytz, H. W. (2024). Pericranial Muscle Stiffness, Pain Thresholds, and Tenderness during a Treatment Cycle of OnabotulinumtoxinA for Chronic Migraine Prevention. Diagnostics, 14(3), 330. https://doi.org/10.3390/diagnostics14030330

