Diagnostic and Prognostic Value of Angiogenic Status in Hereditary Hemorrhagic Telangiectasia
Abstract
1. Introduction
2. Materials and Methods
2.1. Patients and Demographic Characteristics
2.2. Determination of Angiogenic Factors by Immunoassays
2.3. Statistical Analysis
3. Results
3.1. Demographic Characteristics
3.2. Relationship Between Plasmatic Biomarker Levels and Diagnosis
3.3. Relationship Between Plasmatic Biomarkers, Epistaxis, and Hereditary Hemorrhagic Telangiectasia Severity
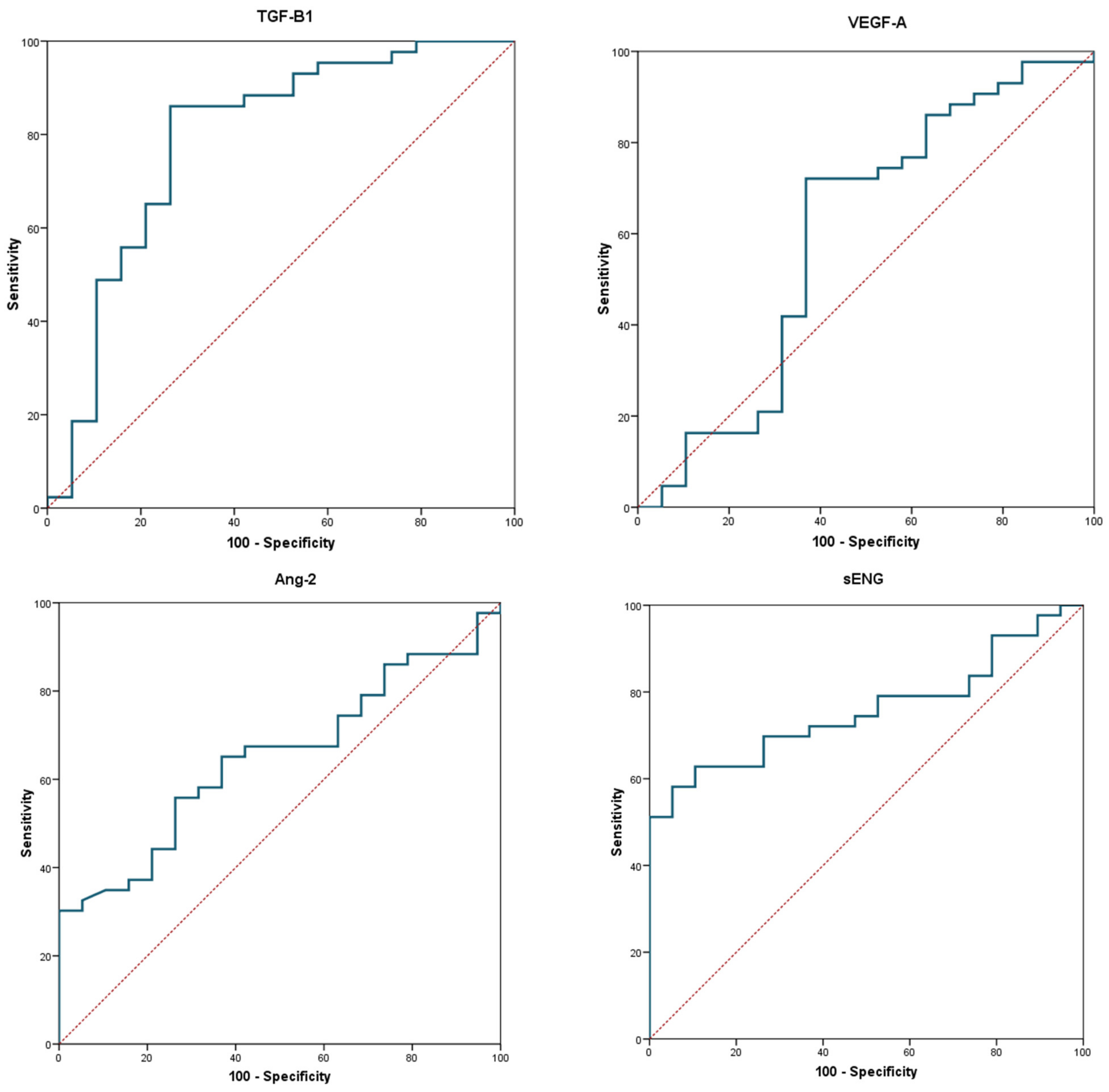
3.4. Diagnostic Validity of the Angiogenic Markers Studied
3.4.1. Patients with Hereditary Hemorrhagic Telangiectasia and Controls
3.4.2. Hereditary Hemorrhagic Telangiectasia Type 1 and Controls
3.4.3. Hereditary Hemorrhagic Telangiectasia Type 2 and Controls
4. Discussion
Author Contributions
Funding
Institutional Review Board Statement
Informed Consent Statement
Data Availability Statement
Conflicts of Interest
References
- Snodgrass, R.O.; Chico, T.J.A.; Arthur, H.M. Hereditary Haemorrhagic Telangiectasia, an Inherited Vascular Disorder in Need of Improved Evidence-Based Pharmaceutical Interventions. Genes 2021, 12, 174. [Google Scholar] [CrossRef] [PubMed]
- Botella, L.M.; Albiñana, V.; Ojeda-Fernandez, L.; Recio-Poveda, L.; Bernabéu, C. Research on potential biomarkers in hereditary hemorrhagic telangiectasia. Front. Genet. 2015, 6, 115. [Google Scholar] [CrossRef] [PubMed]
- Sadick, H.; Hage, J.; Goessler, U.; Bran, G.; Riedel, F.; Bugert, P.; Hoermann, K. Does the genotype of HHT patients with mutations of the ENG and ACVRL1 gene correlate to different expression levels of the angiogenic factor VEGF? Int. J. Mol. Med. 2008, 22, 575–580. [Google Scholar] [CrossRef] [PubMed][Green Version]
- Ardelean, D.S.; Letarte, M. Anti-angiogenic therapeutic strategies in hereditary hemorrhagic telangiectasia. Front. Genet. 2015, 6, 35. [Google Scholar] [CrossRef] [PubMed]
- Arthur, H.M.; Ure, J.; Smith, A.J.; Renforth, G.; Wilson, D.I.; Torsney, E.; Charlton, R.; Parums, D.V.; Jowett, T.; Marchuk, D.A.; et al. Endoglin, an ancillary TGFbeta receptor, is required for extraembryonic angiogenesis and plays a key role in heart development. Dev. Biol. 2000, 217, 42–53. [Google Scholar] [CrossRef]
- Mahmoud, M.; Allinson, K.R.; Zhai, Z.; Oakenfull, R.; Ghandi, P.; Adams, R.H.; Fruttiger, M.; Arthur, H.M. Pathogenesis of arteriovenous malformations in the absence of endoglin. Circ. Res. 2010, 106, 1425–1433. [Google Scholar] [CrossRef]
- Abdalla, S.A.; Letarte, M. Hereditary haemorrhagic telangiectasia: Current views on genetics and mechanisms of disease. J. Med. Genet. 2006, 43, 97–110. [Google Scholar] [CrossRef]
- Fernandez-L, A.; Garrido-Martin, E.M.; Sanz-Rodriguez, F.; Ramirez, J.R.; Morales-Angulo, C.; Zarrabeitia, R.; Perez-Molino, A.; Bernabéu, C.; Botella, L.M. Therapeutic action of tranexamic acid in hereditary haemorrhagic telangiectasia (HHT): Regulation of ALK- 1/endoglin pathway in endothelial cells. Thromb. Haemost. 2007, 97, 254–262. [Google Scholar] [CrossRef]
- Ruiz-Llorente, L.; Gallardo-Vara, E.; Rossi, E.; Smadja, D.M.; Botella, L.M.; Bernabeu, C. Endoglin and alk1 as therapeutic targets for hereditary hemorrhagic telangiectasia. Expert. Opin. Ther. Targets 2017, 21, 933–947. [Google Scholar] [CrossRef]
- Gale, N.W.; Thurston, G.; Hackett, S.F.; Renard, R.; Wang, Q.; McClain, J.; Martin, C.; Witte, C.; Witte, M.H.; Jackson, D.; et al. Angiopoietin-2 is required for postnatal angiogenesis and lymphatic patterning, and only the latter role is rescued by Angiopoietin-1. Dev. Cell 2002, 3, 411–423. [Google Scholar] [CrossRef]
- Fernández-L, A.; Sanz-Rodriguez, F.; Blanco, F.J.; Bernabéu, C.; Botella, L.M. Hereditary hemorrhagic telangiectasia, a vascular dysplasia affecting the TGF-beta signaling pathway. Clin. Med. Res. 2006, 4, 66–78. [Google Scholar] [CrossRef] [PubMed]
- Wetzel-Strong, S.E.; Weinsheimer, S.; Nelson, J.; Pawlikowska, L.; Clark, D.; Starr, M.D.; Liu, Y.; Kim, H.; Faughnan, M.E.; Nixon, A.B.; et al. Pilot investigation of circulating angiogenic and inflammatory biomarkers associated with vascular malformations. Orphanet. J. Rare Dis. 2021, 16, 372. [Google Scholar] [CrossRef] [PubMed]
- Albiñana, V.; Zafra, M.P.; Colau, J.; Zarrabeitia, R.; Recio-Poveda, L.; Olavarrieta, L.; Pérez-Pérez, J.; Botella, L.M. Mutation affecting the proximal promoter of Endoglin as the origin of hereditary hemorrhagic telangiectasia type 1. BMC Med. Genet. 2017, 18, 20. [Google Scholar] [CrossRef] [PubMed]
- McAllister, K.A.; Grogg, K.M.; Johnson, D.W.; Gallione, C.J.; Baldwin, M.A.; Jackson, C.E.; Helmbold, E.A.; Markel, D.S.; McKinnon, W.C.; Murrell, J.; et al. Endoglin, a TGF-beta binding protein of endothelial cells, is the gene for hereditary haemorrhagic telangiectasia type 1. Nat. Genet. 1994, 8, 345–351. [Google Scholar] [CrossRef] [PubMed]
- Rossi, E.; Bernabeu, C.; Smadja, D.M. Endoglin as an Adhesion Molecule in Mature and Progenitor Endothelial Cells: A Function Beyond TGF-β. Front. Med. 2019, 6, 10. [Google Scholar] [CrossRef]
- Hu, N.; Jiang, D.; Huang, E.; Liu, X.; Li, R.; Liang, X.; Kim, S.H.; Chen, X.; Gao, J.-L.; Zhang, H.; et al. BMP9-regulated angiogenic signaling plays an important role in the osteogenic differentiation of mesenchymal progenitor cells. J. Cell Sci. 2013, 126, 532–541. [Google Scholar] [CrossRef]
- Ojeda-Fernandez, L.; Barrios, L.; Rodriguez-Barbero, A.; Recio-Poveda, L.; Bernabeu, C.; Botella, L.M. Reduced plasma levels of Ang-2 and sEng as novel biomarkers in hereditary hemorrhagic telangiectasia (HHT). Clin. Chim. Acta 2010, 411, 494–499. [Google Scholar] [CrossRef]
- Vasan, R.S. Biomarkers of cardiovascular disease: Molecular basis and practical considerations. Circulation 2006, 113, 2335–2362. [Google Scholar] [CrossRef]
- Faughnan, M.E.; Mager, J.J.; Hetts, S.W.; Palda, V.A.; Lang-Robertson, K.; Buscarini, E.; Deslandres, E.; Kasthuri, R.S.; Lausman, A.; Poetker, D.; et al. Second International Guidelines for the Diagnosis and Management of Hereditary Hemorrhagic Telangiectasia. Ann. Intern. Med. 2020, 173, 989–1001. [Google Scholar] [CrossRef]
- Cirulli, A.; Liso, A.; D’ovidio, F.; Mestice, A.; Pasculli, G.; Gallitelli, M.; Rizzi, R.; Specchia, G.; Sabbà, C. Vascular endothelial growth factor serum levels are elevated in patients with hereditary hemorrhagic telangiectasia. Acta Haematol. 2003, 110, 29–32. [Google Scholar] [CrossRef]
- Sadick, H.; Riedel, F.; Naim, R.; Goessler, U.; Hörmann, K.; Hafner, M.; Lux, A. Patients with hereditary hemorrhagic telangiectasia have increased plasma levels of vascular endothelial growth factor and transforming growth factor-beta1 as well as high ALK1 tissue expression. Haematologica 2005, 90, 818–828. [Google Scholar] [PubMed]
- Giordano, P.; Lenato, G.M.; Pierucci, P.; Suppressa, P.; Altomare, M.; Del Vecchio, G.; Di Bitonto, G.; De Mattia, D.; Guanti, G.; Sabbà, C. Effects of VEGF on phenotypic severity in children with hereditary hemorrhagic telangiectasia. J. Pediatr. Hematol. Oncol. 2009, 31, 577–582. [Google Scholar] [CrossRef] [PubMed]
- Liu, D.; Frohne, A.; Koenighofer, M.; Frei, K.; Lucas, T.; Riss, D.; Parzefall, T. Plasma VEGF—A candidate biomarker for response to treatment with bevacizumab in HHT patients. Rhinology 2020, 58, 18–24. [Google Scholar] [CrossRef]
- Schliemann, C.; Bieker, R.; Thoennissen, N.; Gerss, J.; Liersch, R.; Kessler, T.; Büchner, T.; Berdel, W.E.; Mesters, R.M. Circulating angiopoietin-2 is a strong prognostic factor in acute myeloid leukemia. Leukemia 2007, 21, 1901–1906. [Google Scholar] [CrossRef]
- Cunha, S.I.; Magnusson, P.U.; Dejana, E.; Lampugnani, M.G. Deregulated TGF-β/BMP Signaling in Vascular Malformations. Circ. Res. 2017, 121, 981–999. [Google Scholar] [CrossRef]
- Letarte, M.; McDonald, M.-L.; Li, C.; Kathirkamathamby, K.; Vera, S.; Pecebarbara, N.; Kumar, S. Reduced endothelial secretion and plasma levels of transforming growth factor-beta1 in patients with hereditary hemorrhagic telangiectasia type 1. Cardiovasc. Res. 2005, 68, 155–164. [Google Scholar] [CrossRef]
- Kawasaki, K.; Freimuth, J.; Meyer, D.S.; Lee, M.M.; Tochimoto-Okamoto, A.; Benzinou, M.; Clermont, F.F.; Wu, G.; Roy, R.; Letteboer, T.G.W.; et al. Genetic variants of Adam17 differentially regulate TGFβ signaling to modify vascular pathology in mice and humans. Proc. Natl. Acad. Sci. USA 2014, 111, 7723–7728. [Google Scholar] [CrossRef]
- Zhang, D.; Zhou, F.; Zhao, X.; Liu, B.; Chen, J.; Yang, J. Endoglin is a conserved regulator of vasculogenesis in zebrafish-implications for hereditary haemorrhagic telangiectasia. Biosci. Rep. 2019, 39, BSR20182320. [Google Scholar] [CrossRef]
- Venkatesha, S.; Toporsian, M.; Lam, C.; Hanai, J.-I.; Mammoto, T.; Kim, Y.M.; Bdolah, Y.; Lim, K.-H.; Yuan, H.-T.; Libermann, T.A.; et al. Soluble endoglin contributes to the pathogenesis of preeclampsia. Nat. Med. 2006, 12, 642–649. [Google Scholar] [CrossRef]
- Sanz-Rodriguez, F.; Fernandez-L, A.; Zarrabeitia, R.; Perez-Molino, A.; Ramírez, J.R.; Coto, E.; Bernabeu, C.; Botella, L.M. Mutation analysis in Spanish patients with hereditary hemorrhagic telangiectasia: Deficient endoglin up-regulation in activated monocytes. Clin. Chem. 2004, 50, 2003–2011. [Google Scholar] [CrossRef]
- Giordano, P.; Lenato, G.M.; Suppressa, P.; Lastella, P.; Dicuonzo, F.; Chiumarulo, L.; Sangerardi, M.; Piccarreta, P.; Valerio, R.; Scardapane, A.; et al. Hereditary hemorrhagic telangiectasia: Arteriovenous malformations in children. J. Pediatr. 2013, 163, 179–186.e863. [Google Scholar] [CrossRef] [PubMed]
- McDonald, J.; Wooderchak-Donahue, W.; VanSant Webb, C.; Whitehead, K.; Stevenson, D.A.; Bayrak-Toydemir, P. Hereditary hemorrhagic telangiectasia: Genetics and molecular diagnostics in a new era. Front. Genet. 2015, 6, 1. [Google Scholar] [CrossRef] [PubMed]
- Letteboer, T.G.; Mager, H.J.; Snijder, R.J.; Lindhout, D.; Ploos van Amstel, H.K.; Zanen, P.; Westermann, K.J. Genotype-phenotype relationship for localization and age distribution of telangiectases in hereditary hemorrhagic telangiectasia. Am. J. Med. Genet. A 2008, 146, 2733–2739. [Google Scholar] [CrossRef] [PubMed]
- Gonzalez, C.D.; Cipriano, S.D.; Topham, C.A.; Stevenson, D.A.; Whitehead, K.J.; Vanderhooft, S.; Presson, A.P.; McDonald, J. Localization and age distribution of telangiectases in children and adolescents with hereditary hemorrhagic telangiectasia: A retrospective cohort study. J. Am. Acad. Dermatol. 2019, 81, 950–955. [Google Scholar] [CrossRef]
- Lam, S.; Guthrie, K.S.; Latif, M.A.; Weiss, C.R. Genetic counseling and testing for hereditary hemorrhagic telangiectasia. Clin. Genet. 2022, 101, 275–284. [Google Scholar] [CrossRef]
- Garg, N.; Khunger, M.; Gupta, A.; Kumar, N. Optimal management of hereditary hemorrhagic telangiectasia. J. Blood Med. 2014, 5, 191–206. [Google Scholar] [CrossRef]
- Wooderchak-Donahue, W.L.; Akay, G.; Whitehead, K.; Briggs, E.; Stevenson, D.A.; O’Fallon, B.; Velinder, M.; Farrell, A.; Shen, W.; Bedoukian, E.; et al. Phenotype of CM-AVM2 caused by variants in EPHB4: How much overlap with hereditary hemorrhagic telangiectasia (HHT)? Genet. Med. 2019, 21, 2007–2014. [Google Scholar] [CrossRef]
- Eerola, I.; Boon, L.M.; Mulliken, J.B.; Burrows, P.E.; Dompmartin, A.; Watanabe, S.; Vanwijck, R.; Vikkula, M. Capillary malformation-arteriovenous malformation, a new clinical and genetic disorder caused by RASA1 mutations. Am. J. Hum. Genet. 2003, 73, 1240–1249. [Google Scholar] [CrossRef]
- Zhou, Q.; Gallagher, R.; Ufret-Vincenty, R.; Li, X.; Olson, E.N.; Wang, S. Regulation of angiogenesis and choroidal neovascularization by members of microRNA-23~27~24 clusters. Proc. Natl. Acad. Sci. USA 2011, 108, 8287–8292. [Google Scholar] [CrossRef]
- Zhang, Q.; Kandic, I.; Faughnan, M.E.; Kutryk, M.J. Elevated circulating microRNA-210 levels in patients with hereditary hemorrhagic telangiectasia and pulmonary arteriovenous malformations: A potential new biomarker. Biomarkers 2013, 18, 23–29. [Google Scholar] [CrossRef]
- Steineger, J.; Ueland, T.; Aukrust, P.; Michelsen, A.; Osnes, T.; Heimdal, K.; Dheyauldeen, S. Pentraxin 3 level is elevated in hereditary hemorrhagic telangiectasia and reflects the severity of disease-associated epistaxis. Laryngoscope 2019, 129, E44–E49. [Google Scholar] [CrossRef] [PubMed]
- Chung, M.G. Hereditary hemorrhagic telangiectasia. Handb. Clin. Neurol. 2015, 132, 185–197. [Google Scholar] [PubMed]
- Danesino, C.; Cantarini, C.; Olivieri, C. Hereditary Hemorrhagic Telangiectasia in Pediatric Age: Focus on Genetics and Diagnosis. Pediatr. Rep. 2023, 15, 129–142. [Google Scholar] [CrossRef] [PubMed]
- Mora-Luján, J.M.; Iriarte, A.; Alba, E.; Sánchez-Corral, M.A.; Cerdà, P.; Cruellas, F.; Ordi, Q.; Corbella, X.; Ribas, J.; Castellote, J.; et al. Gender differences in hereditary hemorrhagic telangiectasia severity. Orphanet. J. Rare Dis. 2020, 15, 63. [Google Scholar] [CrossRef]
- Diaz, S.V.J.; Samper, G.J.; Alares, E.E.; Martínez, S.T.; Fariñas, S.C.; López, R.R.; Colodrero, N.P.; Dávalos, P.V.; Patrocinio, A.S.; Capilla, M.R.; et al. Angiogenic status in patients with Hereditary Hemorrhagic Telangiectasia (THH). Diagnostic and pronostic value. In Proceedings of the XXX Congress of the Valencian Society of Pulmonology, Benidorm, Valencia, Spain, 1 April 2023. [Google Scholar]
- Diaz, S.V.J.; Samper, G.J.; Alares, E.E.; Martínez, S.T.; Fariñas, S.C.; López, R.R.; Colodrero, N.P.; Dávalos, P.V.; Patrocinio, A.S.; Capilla, M.R.; et al. Angiogenic markers in patients with Hereditary Hemorrhagic Telangiectasia (THH). Diagnostic and pronostic value. In Proceedings of the Spanish Society of Pulmonology and Thoracic Surgery (SEPAR), Valencia, Spain, 7 June 2024. [Google Scholar]



| (a) Patients and Families with THH1: Mutation in ENG Gene | ||||||||||||
| Family | Sex | Age | Severity | Clinic | VEGFA (pg/mL) | TGFβ1 (pg/mL) | ANG2 (pg/mL) | ENG (pg/mL) | Exon | Change | Type | CR |
| #01 | F | 67 | 2 | E1 P, M, RAE | 24 | 6.910 | 1.543.3 | 301 | In 1 | c.68-2A>T | Splicing | P |
| #01 | F | 68 | 1 | E1, NI | 0.4 | 5.650 | 1.257.2 | 30 | In 1 | c.68-2A>T | Splicing | P |
| #02 | M | 47 | 3 | E1, P, G, S | 27 | 4.083 | 1.004.8 | 186 | Ex 2 | c.145G>T | Missense | P |
| #02 | F | 70 | 4 | E2, P, G, S | 43 | 7.564 | 1.309.1 | 9 | Ex 2 | c.145G>T | Missense | P |
| #02 | M | 44 | 2 | E1, P | 18 | 4.570 | 1.738 | 284 | Ex 2 | c.145G>T | Missense | P |
| #02 | M | 40 | 1 | E1, NI | 299 | 50.707 | 1.237 | -- | Ex 2 | c.145G>T | Missense | P |
| #02 | F | 28 | 2 | E1, P, Ep | 66 | 9.461 | 1.159 | 39 | Ex 2 | c.145G>T | Missense | P |
| #02 | M | 25 | 2 | E1, P | 8 | 7.315 | 2.126 | 192 | Ex 2 | c.145G>T | Missense | P |
| #03 | M | 77 | 4 | E2, P, G, S, ABS | 27 | 3.715 | 1.750 | 139 | Ex 5 | c.657C>G | Missense | P |
| #05 | F | 64 | 0 | E0, NI | 16 | 1.179 | 653 | 561 | Ex 2 | c.207G>A | Missense | B |
| #05 | M | 37 | 0 | E0, NI., E | 25 | 7.093 | 817 | 352 | Ex 2 | c.207G>A | Missense | B |
| #06 | M | 59 | 2 | E1, G | 29 | 10.597 | 709 | 135 | Ex 4 Ex 8 | c.392C>T c.1024C>T | Missense Nonsense | B P |
| #06 | F | 27 | 2 | E1, C, M | 59 | 12.943 | 2.887 | 684 | Ex 4 Ex 8 | c.392C>T c.1024C>T | Missense Nonsense | B P |
| #06 | F | 47 | 2 | E2, NI | 32 | 10.326 | 1.321 | 250 | Ex 4 Ex 8 | c.392C>T c.1024C>T | Missense Nonsense | B P |
| #06 | F | 36 | 1 | E1, NI | 16 | 6.428 | 1.779 | 205 | Ex 4 Ex 8 | c.392C>T c.1024C>T | Missense Nonsense | B P |
| #06 | F | 21 | 2 | E2, P | 5 | 2.054 | 1.913 | 1732 | Ex 4 Ex 8 | c.392C>T c.1024C>T | Missense Nonsense | B P |
| #09 | F | 41 | 3 | E1, P, L | 7 | 8.166 | 1.558 | 119 | Pro/Ex 1 | Pro/Ex1 | Deletion | P |
| #09 | F | 46 | 2 | E1, P, M | 14 | 3.800 | 1.413 | 130 | Pro/Ex 1 | Pro/Ex1 | Deletion | P |
| #14 | F | 24 | 2 | E1, P, S, M | 45 | 1.4030 | 1.131 | 90 | Ex 8 | c.1024C>T | Nonsense | P |
| #14 | M | 52 | 1 | E1, NI | 21 | 9.740 | 913 | 469 | Ex 8 | c.1024C>T | Nonsense | P |
| #15 | M | 35 | 4 | E1, P, G, C | 12 | 1.2259 | 968 | 133 | Ex 9 | c.1202delA | Frameshift | P |
| (b) Patients and Families with THH2: Mutation ACVRL1 Gene | ||||||||||||
| Family | Sex | Age | Severity | Clinic | VEGFA (pg/mL) | TGFβ1 (pg/mL) | ANG2 (pg/mL) | ENG (pg/mL) | Exon | Change | Type | CR |
| #04 | M | 53 | 2 | E1, L | 20.67 | 12.673 | 1.188 | 522 | Ex 7 | c.929T>C | Missense | P |
| #06 | M | 76 | 3 | E1, L, Hp | 8.92 | 3.821 | 1.051 | 2.142 | Ex 7 | c.968A>T | Missense | P |
| #07 | F | 49 | 3 | E1, L, C | 5.96 | 4.628 | 2.291 | 2.198 | Ex 10 | c.1436G>A | Missense | P |
| #10 | F | 54 | 3 | E1, P, L | 15.04 | 4.337 | 2.697 | 1.140 | Ex 10 | c.1436G>A | Missense | P |
| #10 | M | 57 | 1 | E1, NI | 9.48 | 4.615 | 1.177 | 342 | Ex 10 | c.1436G>A | Missense | P |
| #10 | M | 16 | 0 | E0, NI | 8.78 | 1.451 | 3.504 | 2.094 | Ex 10 | c.1436G>A | Missense | P |
| #11 | M | 69 | 5 | E3, P, L | 14.14 | 7.103 | 965 | 1.691 | Ex 4 | c.350delG | Frameshift | P |
| #12 | M | 76 | 3 | E3, NI | 30.29 | 16.526 | 376 | 368.04 | Ex 10 | c.1436G>C | Missense | P |
| #12 | F | 49 | 1 | E1, NI | 18 | 4.415 | 834 | 1.468 | Ex 10 | c.1436G>C | Missense | P |
| #12 | M | 48 | 1 | E1, NI | 20 | 4.760 | 1.315 | 644 | Ex 10 | c.1436G>C | Missense | P |
| #13 | F | 75 | 3 | E1, G, L | 40 | 2.2097 | 1.546 | 1.502 | Ex 3 | c.236_237del | Frameshift | P |
| #13 | F | 53 | 1 | E1, NI | 15 | 8.783 | 5.478 | 1.461 | Ex 3 | c.236_237del | Frameshift | P |
| #13 | F | 29 | 1 | E1, NI | 10 | 6.059 | 1.309 | 582 | Ex 3 | c.236_237del | Frameshift | P |
| #13 | M | 52 | 2 | E1, P | 80 | 1.9605 | 3.376 | 659 | Ex 3 | c.236_237del | Frameshift | P |
| #13 | F | 16 | 1 | E1, NI | 44 | 2.470 | 1.945 | 1.086 | Ex 3 | c.236_237del | Frameshift | P |
| #13 | F | 48 | 4 | E1, P, G, L, M | 11 | 5.947 | 4.309 | 832 | Ex 3 | c.236_237del | Frameshift | P |
| #13 | F | 28 | 1 | E1, NI | 46 | 7.805 | 2.247 | 1.255 | Ex 3 | c.236_237del | Frameshift | P |
| #16 | F | 67 | 2 | E1, P | 31 | 8.635 | 873 | 919 | Ex 7 | c.1031G>A | Missense | P |
| #16 | F | 30 | 4 | E2, G, L, Hp | 39 | 18.550 | 1.595 | 1.237 | Ex 7 | c.1031G>A | Missense | P |
| #17 | M | 57 | 1 | E1, NI | 29 | 5.399 | 540 | 783 | Ex 9 Ex 10 | c.1252G>A * c.1465C>G ** | Missense Missense | USV USV |
| #18 | F | 48 | 1 | E1, NI | 10 | 6.553 | 845 | 952 | Ex 8 | c.1120C>T | Missense | P |
| #18 | F | 54 | 2 | E1, L | 6 | 2.608 | 788 | 1.602 | Ex 8 | c.1120C>T | Missense | P |
| #18 | M | 57 | 1 | E1, NI | 14 | 3.074 | 791 | 1.007 | Ex 8 | c.1120C>T | Missense | P |
| (c) Controls (Age and Gender) | ||||||||||||
| Number | Sex | Age | VEGFA (pg/mL) | TGFβ1 (pg/mL) | ANG2 (pg/mL) | ENG (pg/mL) | ||||||
| 1 | F | 62 | 2.1 | 1205 | 1425 | 1306 | ||||||
| 2 | F | 75 | 41.6 | 2760 | 2358 | 2150 | ||||||
| 3 | M | 65 | 5.8 | 2710 | 1399 | 1046 | ||||||
| 4 | F | 57 | 11.8 | 4666 | 1214 | 885 | ||||||
| 5 | F | 50 | 7.7 | 1793 | 1662 | 1476 | ||||||
| 6 | M | 69 | 8.4 | 0 | 2836 | 1902 | ||||||
| 7 | M | 75 | 6.6 | 382 | 1051 | 1424 | ||||||
| 8 | F | 32 | 11.2 | 3358 | 2777 | 1304 | ||||||
| 9 | F | 27 | 40.7 | 11,575 | 2842 | 1089 | ||||||
| 10 | M | 29 | 0.7 | 898 | 1732 | 1371 | ||||||
| 11 | F | 28 | 11.8 | 1996 | 1105 | 914 | ||||||
| 12 | F | 55 | 124.0 | 21,781 | 1651 | 1922 | ||||||
| 13 | F | 60 | 37.6 | 3343 | 1572 | 1092 | ||||||
| 14 | M | 32 | 3.13 | 3388 | 1622 | 866 | ||||||
| 15 | M | 67 | 22.1 | 943 | 1154 | 641 | ||||||
| 16 | M | 48 | 12.2 | 1956 | 993 | 1017 | ||||||
| 17 | F | 61 | 9.9 | 2434 | 4495 | 782 | ||||||
| 18 | F | 60 | 41.6 | 6804 | 1866 | 1205 | ||||||
| 19 | F | 70 | 61.2 | 6037 | 2088 | 2274 | ||||||
| Patients | (n) | VEFGA (pg/mL) | p-Value | Patients | (n) | ANG2 (pg/mL) | p-Value |
|---|---|---|---|---|---|---|---|
| Median (IR) | Median (IR) | ||||||
| Controls | 19 | 12 (7–41) | 0.225 | Controls | 19 | 1651 (1214–2358) | 0.065 |
| HHT Total | 44 | 19 (11–31) | HHT Total | 44 | 1309 (939–1846) | ||
| Controls | 19 | 12 (7–41) | 0.705 (Controls vs. HHT1) 1.000 (Controls vs. HHT2) 1.000 (HHT1 vs. HHT2) | Controls | 19 | 1651 (1214–2358) | 0.195 (Controls vs. HHT1) 0.495 (Controls vs. HHT2) 1.000 (HHT1 vs. HHT1) |
| Cases HHT1 | 21 | 24 (14–32) | Cases HHT1 | 21 | 1309 (1005–1738) | ||
| Cases HHT2 | 23 | 15 (10–31) | Cases HHT2 | 23 | 1309 (845–2291) | ||
| Patients | (n) | TGFβ1 (pg/mL) | p-Value | Patients | (n) | ENG (pg/mL) | p-Value |
| Median (IR) | Median (IR) | ||||||
| Controls | 19 | 2710 (1205–4666) | <0.001 | Controls | 19 | 1205 (914–1476) | <0.001 |
| HHT Total | 44 | 6731 (4376–10,033) | HHT Total | 44 | 582 (192–1237) | ||
| Controls | 19 | 2710 (1205–4666) | 0.003 Controls vs. HHT1 0.006 Controls vs. HHT2 1.000 (HHT1 vs. HHT1) | Controls | 19 | 1205 (914–1476) | <0.001 Controls vs. HHT1 1.000 Controls vs. HHT2 <0.001 HHT1 vs. HHT1 |
| Cases HHT1 | 21 | 7315 (4570–10,326) | Cases HHT1 | 21 | 189 (124–326) | ||
| Cases HHT2 | 23 | 5947 (4337–8783) | Cases HHT2 | 23 | 1086 (659–1503) |
| AUC | Cut-Off | S | E | |
|---|---|---|---|---|
| TGFbeta-1 | 0.79 (0.65–0.93); p < 0.001 | 3551.4 | 86.0% | 73.7% |
| VEGF-A | 0.60 (0.43–0.77); p = 0.225 | 12.3 | 72.1% | 63.2% |
| ANG2 | 0.65 (0.51–0.79); p = 0.065 | 1359.6 | 44.2% | 73.7% |
| ENG | 0.76 (0.64–0.87); p = 0.001 | 848.9 | 62.8% | 89.5% |
| AUC | Cut-Off | S | E | |
|---|---|---|---|---|
| TGFbeta-1 + ENG | 0.80 (0.69–0.91); p < 0.001 | 0.68 | 74.4% | 84.3% |
| AUC | Cut-Off | S | E | |
|---|---|---|---|---|
| TGFbeta-1 + ENG | 0.96 (0.88–1.00); p < 0.001 | 0.49 | 95.0% | 100% |
Disclaimer/Publisher’s Note: The statements, opinions and data contained in all publications are solely those of the individual author(s) and contributor(s) and not of MDPI and/or the editor(s). MDPI and/or the editor(s) disclaim responsibility for any injury to people or property resulting from any ideas, methods, instructions or products referred to in the content. |
© 2024 by the authors. Licensee MDPI, Basel, Switzerland. This article is an open access article distributed under the terms and conditions of the Creative Commons Attribution (CC BY) license (https://creativecommons.org/licenses/by/4.0/).
Share and Cite
Jaimes-Díaz, S.; Juan-Samper, G.; Torres-Martínez, S.; Escorihuela-Alares, E.; Calabuig-Fariñas, S.; Rodríguez-López, R.; Prieto-Colodrero, N.; Ramon-Capilla, M.; Fernández-Fabrellas, E. Diagnostic and Prognostic Value of Angiogenic Status in Hereditary Hemorrhagic Telangiectasia. Diagnostics 2024, 14, 2783. https://doi.org/10.3390/diagnostics14242783
Jaimes-Díaz S, Juan-Samper G, Torres-Martínez S, Escorihuela-Alares E, Calabuig-Fariñas S, Rodríguez-López R, Prieto-Colodrero N, Ramon-Capilla M, Fernández-Fabrellas E. Diagnostic and Prognostic Value of Angiogenic Status in Hereditary Hemorrhagic Telangiectasia. Diagnostics. 2024; 14(24):2783. https://doi.org/10.3390/diagnostics14242783
Chicago/Turabian StyleJaimes-Díaz, Sherlyne, Gustavo Juan-Samper, Susana Torres-Martínez, Eva Escorihuela-Alares, Silvia Calabuig-Fariñas, Raquel Rodríguez-López, Nieves Prieto-Colodrero, Mercedes Ramon-Capilla, and Estrella Fernández-Fabrellas. 2024. "Diagnostic and Prognostic Value of Angiogenic Status in Hereditary Hemorrhagic Telangiectasia" Diagnostics 14, no. 24: 2783. https://doi.org/10.3390/diagnostics14242783
APA StyleJaimes-Díaz, S., Juan-Samper, G., Torres-Martínez, S., Escorihuela-Alares, E., Calabuig-Fariñas, S., Rodríguez-López, R., Prieto-Colodrero, N., Ramon-Capilla, M., & Fernández-Fabrellas, E. (2024). Diagnostic and Prognostic Value of Angiogenic Status in Hereditary Hemorrhagic Telangiectasia. Diagnostics, 14(24), 2783. https://doi.org/10.3390/diagnostics14242783

