The Use of 18F-Fluoride Positron Emission Tomography/Computed Tomography Scanning to Identify Sources of Pain after Posterior Lumbar Interbody Fusion—An Analysis in Patients with and without Symptoms
Abstract
1. Introduction
2. Materials and Methods
2.1. Patients
2.2. Procedure of 18F-Fluoride PET/CT
2.3. Analysis of Diagnostic CT Scans
2.4. Analysis of 18F-Fluoride PET Scans
2.5. Patient-Reported Outcome Measures (PROMs)
- Back pain and/or leg pain was quantified by Visual Analogue Scale (VAS) [26]. Patients were asked to express the amount of pain in their back, right and left leg ranging from 0 (no pain) to 100 (worst pain). The score for back pain was used as a measure in this study.
- The EuroQol (EQ)-5D measures health-related quality of life in five domains (i.e., mobility, self-care, usual activities, pain/discomfort and anxiety/depression) [27]. The EQ-5D index score was calculated based on a Dutch value set, representative of the Dutch population with regard to age and gender [28].
2.6. Statistical Evaluation
3. Results
3.1. Relation between PROMs and CT Findings
3.2. PET Findings Versus PROM Scores
3.3. PET Findings Versus CT Findings
3.4. Bone Metabolism Profile on PET after Successful Spinal Fusion
4. Discussion
Author Contributions
Funding
Institutional Review Board Statement
Informed Consent Statement
Data Availability Statement
Conflicts of Interest
Appendix A

References
- Taylor, R.S.; Taylor, R.J. The economic impact of failed back surgery syndrome. Br. J. Pain 2012, 6, 174–181. [Google Scholar] [CrossRef] [PubMed]
- Durand, G.; Girodon, J.; Debiais, F. Medical management of failed back surgery syndrome in Europe: Evaluation modalities and treatment proposals. Neurochirurgie 2015, 61 (Suppl. S1), S57–S65. [Google Scholar] [CrossRef] [PubMed]
- Raizman, N.M.; O‘Brien, J.R.; Poehling-Monaghan, K.L.; Yu, W.D. Pseudarthrosis of the spine. J. Am. Acad. Orthop. Surg. 2009, 17, 494–503. [Google Scholar] [CrossRef] [PubMed]
- Heggeness, M.H.; Esses, S.I. Classification of pseudarthroses of the lumbar spine. Spine 1991, 16 (Suppl. S8), S449–S454. [Google Scholar] [CrossRef] [PubMed]
- Rothman, R.H.; Booth, R. Failures of spinal fusion. Orthop. Clin. North Am. 1975, 6, 299–304. [Google Scholar] [CrossRef] [PubMed]
- Brans, B.; Weijers, R.; Halders, S.; Wierts, R.; Peters, M.; Punt, I.; Willems, P. Assessment of bone graft incorporation by 18 F-fluoride positron-emission tomogra-phy/computed tomography in patients with persisting symptoms after posterior lumbar interbody fusion. EJNMMI Res. 2012, 2, 42. [Google Scholar] [CrossRef] [PubMed]
- Fischer, D.R.; Zweifel, K.; Treyer, V.; Hesselmann, R.; Johayem, A.; Stumpe KD, M.; Strobel, K. Assessment of successful incorporation of cages after cervical or lumbar intercorporal fusion with [(18)F]fluoride positron-emission tomography/computed tomography. Eur. Spine J. Off. Publ. Eur. Spine Soc. Eur. Spinal Deform. Soc. Eur. Sect. Cerv. Spine Res. Soc. 2011, 20, 640–648. [Google Scholar] [CrossRef] [PubMed]
- Gamie, S.; El-Maghraby, T. The role of PET/CT in evaluation of Facet and Disc abnormalities in patients with low back pain using (18)F-Fluoride. Nucl. Med. Rev. Cent. East. Eur. 2008, 11, 17–21. [Google Scholar]
- Peters, M.; Willems, P.; Weijers, R.; Wierts, R.; Jutten, L.; Urbach, C.; Brans, B. Pseudarthrosis after lumbar spinal fusion: The role of (1)(8)F-fluoride PET/CT. Eur. J. Nucl. Med. Mol. Imaging 2015, 42, 1891–1898. [Google Scholar] [CrossRef]
- Pouldar, D.; Bakshian, S.; Matthews, R.; Rao, V.; Manzano, M.; Dardashti, S. Utility of 18F sodium fluoride PET/CT imaging in the evaluation of postoperative pain following surgical spine fusion. Musculoskelet. Surg. 2017, 101, 159–166. [Google Scholar] [CrossRef]
- Quon, A.; Dodd, R.; Iagaru, A.; de Abreu, M.R.; Hennemann, S.; Neto, J.M.A.; Sprinz, C. Initial investigation of (1)(8)F-NaF PET/CT for identification of vertebral sites amenable to surgical revision after spinal fusion surgery. Eur. J. Nucl. Med. Mol. Imaging 2012, 39, 1737–1744. [Google Scholar] [CrossRef] [PubMed]
- Seifen, T.; Rodrigues, M.; Rettenbacher, L.; Piotrowski, W.; Holzmannhofer, J.; Coy, M.M.; Pirich, C. The value of (18)F-fluoride PET/CT in the assessment of screw loosening in patients after intervertebral fusion stabilization. Eur. J. Nucl. Med. Mol. Imaging 2015, 42, 272–277. [Google Scholar] [CrossRef] [PubMed]
- Segall, G.; Delbeke, D.; Stabin, M.G.; Even-Sapir, E.; Fair, J.; Sajdak, R.; Smith, G.T. SNM practice guideline for sodium 18F-fluoride PET/CT bone scans 1.0. J. Nucl. Med. Off. Publ. Soc. Nucl. Med. 2010, 51, 1813–1820. [Google Scholar] [CrossRef] [PubMed]
- Lim, R.; Fahey, F.H.; Drubach, L.A.; Connolly, L.P.; Treves, S.T. Early experience with fluorine-18 sodium fluoride bone PET in young patients with back pain. J. Pediatr. Orthop. 2007, 27, 277–282. [Google Scholar] [CrossRef] [PubMed]
- Ovadia, D.; Metser, U.; Lievshitz, G.; Yaniv, M.; Wientroub, S.; Even-Sapir, E. Back pain in adolescents: Assessment with integrated 18F-fluoride positron-emission tomography-computed tomography. J. Pediatr. Orthop. 2007, 27, 90–93. [Google Scholar] [CrossRef]
- Strobel, K.; Fischer, D.R.; Tamborrini, G.; Kyburz, D.; Stumpe, K.D.; Hesselmann, R.G.; Ciurea, A. 18F-fluoride PET/CT for detection of sacroiliitis in ankylosing spondylitis. Eur. J. Nucl. Med. Mol. Imaging 2010, 37, 1760–1765. [Google Scholar] [CrossRef] [PubMed]
- Fischer, D.R.; Maquieira, G.J.; Espinosa, N.; Zanetti, M.; Hesselmann, R.; Johayem, A.; Strobel, K. Therapeutic impact of [(18)F]fluoride positron-emission tomography/computed tomography on patients with unclear foot pain. Skelet. Radiol. 2010, 39, 987–997. [Google Scholar] [CrossRef] [PubMed]
- Kobayashi, N.; Inaba, Y.; Tezuka, T.; Ike, H.; Kubota, S.; Kawamura, M.; Saito, T. Evaluation of local bone turnover in painful hip by 18F-fluoride positron emission tomography. Nucl. Med. Commun. 2016, 37, 399–405. [Google Scholar] [CrossRef] [PubMed]
- Kobayashi, N.; Inaba, Y.; Yukizawa, Y.; Ike, H.; Kubota, S.; Inoue, T.; Saito, T. Use of 18F-fluoride positron emission tomography as a predictor of the hip osteo-arthritis progression. Mod. Rheumatol. 2015, 25, 925–930. [Google Scholar] [CrossRef]
- Rauscher, I.; Beer, A.J.; Schaeffeler, C.; Souvatzoglou, M.; Crönlein, M.; Kirchhoff, C.; Eiber, M. Evaluation of 18F-fluoride PET/MR and PET/CT in patients with foot pain of unclear cause. J. Nucl. Med. Off. Publ. Soc. Nucl. Med. 2015, 56, 430–435. [Google Scholar] [CrossRef]
- Brenner, W.; Vernon, C.; Conrad, E.U.; Eary, J.F. Assessment of the metabolic activity of bone grafts with (18)F-fluoride PET. Eur. J. Nucl. Med. Mol. Imaging 2004, 31, 1291–1298. [Google Scholar] [CrossRef] [PubMed]
- Rigoard, P.; Blond, S.; David, R.; Mertens, P. Pathophysiological characterisation of back pain generators in failed back surgery syndrome (part B). Neurochirurgie 2015, 61 (Suppl. S1), S35–S44. [Google Scholar] [CrossRef] [PubMed]
- Peters, M.J.; Wierts, R.; Jutten, E.M.; Halders, S.G.; Willems, P.C.; Brans, B. Evaluation of a short dynamic 18F-fluoride PET/CT scanning method to assess bone metabolic activity in spinal orthopedics. Ann. Nucl. Med. 2015, 29, 799–809. [Google Scholar] [CrossRef]
- Fairbank, J.C.; Couper, J.; Davies, J.B.; O‘Brien, J.P. The Oswestry low back pain disability questionnaire. Physiotherapy 1980, 66, 271–273. [Google Scholar] [PubMed]
- Ghogawala, Z.; Resnick, D.K.; Watters, W.C., 3rd; Mummaneni, P.V.; Dailey, A.T.; Choudhri, T.F.; Kaiser, M.G. Guideline update for the performance of fusion procedures for degenera-tive disease of the lumbar spine. Part 2: Assessment of functional outcome following lumbar fusion. J. Neurosurg. Spine 2014, 21, 7–13. [Google Scholar] [CrossRef] [PubMed]
- Zanoli, G.; Stromqvist, B.; Jonsson, B. Visual analog scales for interpretation of back and leg pain intensity in patients operated for degenerative lumbar spine disorders. Spine 2001, 26, 2375–2380. [Google Scholar] [CrossRef] [PubMed]
- Lamers, L.M.; Stalmeier, P.F.; McDonnell, J.; Krabbe, P.F.; van Busschbach, J.J. Measuring the quality of life in economic evaluations: The Dutch EQ-5D tariff. Ned. Tijdschr. Voor Geneeskd. 2005, 149, 1574–1578. [Google Scholar]
- Lamers, L.M.; McDonnell, J.; Stalmeier, P.F.; Krabbe, P.F.; Busschbach, J.J. The Dutch tariff: Results and arguments for an effective design for national EQ-5D valuation studies. Health Econ. 2006, 15, 1121–1132. [Google Scholar] [CrossRef]
- Hudyana, H.; Maes, A.; Vandenberghe, T.; Fidlers, L.; Sathekge, M.; Nicolai, D.; Van de Wiele, C. Accuracy of bone SPECT/CT for identifying hardware loosening in patients who underwent lumbar fusion with pedicle screws. Eur. J. Nucl. Med. Mol. Imaging 2016, 43, 349–354. [Google Scholar] [CrossRef]
- Mutuleanu, M.D.; Paun, D.L.; Lazar, A.M.; Petroiu, C.; Trifanescu, O.G.; Anghel, R.M.; Gherghe, M. Quantitative vs. Qualitative SPECT-CT Diagnostic Accuracy in Bone Lesion Evaluation-A Review of the Literature. Diagnostics 2023, 13, 2971. [Google Scholar] [CrossRef]
- Ritt, P. Recent Developments in SPECT/CT. Semin Nucl. Med. 2022, 52, 276–285. [Google Scholar] [CrossRef] [PubMed]
- Katal, S.; Eibschutz, L.S.; Saboury, B.; Gholamrezanezhad, A.; Alavi, A. Advantages and Applications of Total-Body PET Scanning. Diagnostics 2022, 12, 426. [Google Scholar] [CrossRef] [PubMed]




| PROMs | |||||
|---|---|---|---|---|---|
| CT Parameter | Score | Number of Patients | ODI [Mean ± Stdev] | VAS [Mean ± Stdev] | EQ-5D [Mean ± Stdev] |
| fusion | 0 | 14 | 61.57 ± 25.39 | 47.86 ± 25.17 | 66.57 ± 26.21 |
| 1 | 9 | 85.71 ± 14.40 | 71.43 ± 24.28 | 86.13 ± 7.97 | |
| 2 | 13 | 61.79 ± 24.48 | 49.23 ± 32.59 | 74.00 ± 21.46 | |
| p-value | 0.052 | 0.164 | 0.179 | ||
| subsidence | 0 | 6 | 59.45 ± 18.06 | 40.83 ± 28.00 | 72.85 ± 14.29 |
| 1 | 20 | 62.83 ± 27.31 | 52.50 ± 32.79 | 68.96 ± 28.19 | |
| 2 | 6 | 73.00 ± 21.19 | 52.50 ± 15.41 | 72.73 ± 23.52 | |
| p-value | 0.597 | 0.624 | 0.829 | ||
| screw loosening | 0 | 32 | 62.92 ± 24.02 | 48.75 ± 29.65 | 70.70 ± 23.71 |
| 1 | 2 | 82.00 ± 16.97 | 55.00 ± 21.21 | 70.51 ± 41.71 | |
| p-value | 0.321 | 0.699 | 0.856 | ||
| facet joint status | 1 | 21 | 69.97 ± 22.58 | 54.52 ± 28.54 | 73.70 ± 21.75 |
| 0 | 15 | 59.73 ± 26.01 | 46.33 ± 30.91 | 68.88 ± 26.89 | |
| p-value | 0.309 | 0.465 | 0.800 | ||
| PET Parameter | |||||||
|---|---|---|---|---|---|---|---|
| PROMs | Category | Number of Patients | EndUP [Mean ± Stdev] | Inter [Mean ± Stdev] | EndLOW [Mean ± Stdev] | Screw [mean ± Stdev] | Facet Joint [Mean ± Stdev] |
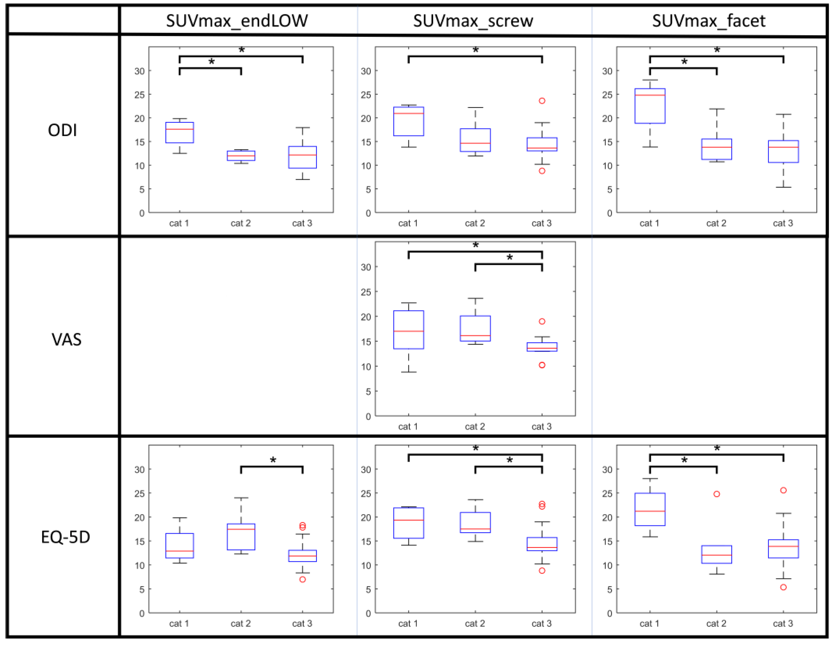
| ODI | 1 | 6 | 13.50 ± 4.83 | 12.51 ± 4.14 | 16.89 ± 3.15 | 19.32 ± 3.79 | 22.54 ± 5.56 |
| 2 | 10 | 14.01 ± 1.70 | 15.27 ± 3.83 | 11.93 ± 1.09 | 15.96 ± 3.56 | 13.96 ± 3.44 | |
| 3 | 20 | 13.98 ± 4.55 | 12.61 ± 4.56 | 12.23 ± 3.04 | 14.43 ± 3.24 | 13.27 ± 4.11 | |
| p-value | 0.806 | 0.189 | 0.046 | 0.049 | 0.024 | ||
| VAS | 1 | 17 | 13.54 ± 3.14 | 13.93 ± 4.32 | 13.44 ± 3.52 | 16.69 ± 4.19 | 15.65 ± 6.48 |
| 2 | 4 | 16.37 ± 5.20 | 14.81 ± 6.32 | 12.99 ± 0.61 | 17.56 ± 4.13 | 16.18 ± 3.51 | |
| 3 | 15 | 13.69 ± 4.23 | 12.44 ± 3.96 | 11.94 ± 2.97 | 13.78 ± 2.13 | 13.41 ± 3.38 | |
| p-value | 0.572 | 0.740 | 0.430 | 0.038 | 0.594 | ||
| EQ-5D | 1 | 4 | 13.74 ± 3.06 | 12.37 ± 2.36 | 14.00 ± 4.08 | 18.72 ± 3.85 | 21.56 ± 5.01 |
| 2 | 6 | 15.63 ± 4.84 | 17.56 ± 4.90 | 15.30 ± 2.81 | 18.52 ± 3.18 | 13.55 ± 5.88 | |
| 3 | 26 | 13.55 ± 3.74 | 12.63 ± 4.05 | 11.99 ± 2.76 | 14.41 ± 3.22 | 14.00 ± 4.29 | |
| p-value | 0.568 | 0.115 | 0.017 | 0.006 | 0.028 | ||
| PET Parameter | |||||||
|---|---|---|---|---|---|---|---|
| CT Parameter | Category | Number of Patients | EndUP [Mean ± Stdev] | Inter [Mean ± Stdev] | EndLOW [Mean ± Stdev] | Screw [mean ± Stdev] | Facet Joint [Mean ± Stdev] |
| fusion | 0 | 14 | 16.27 ± 4.21 | 14.34 ± 5.72 | 15.86 ± 3.68 | 16.94 ± 3.78 | 16.17 ± 5.93 |
| 1 | 9 | 13.36 ± 2.65 | 13.61 ± 1.99 | 10.67 ± 1.59 | 14.00 ± 0.92 | 14.10 ± 2.17 | |
| 2 | 13 | 11.70 ± 3.07 | 12.64 ± 5.50 | 11.50 ± 2.68 | 14.91 ± 4.43 | 13.33 ± 5.52 | |
| p-value | 0.015 | 0.513 | 0.001 | 0.170 | 0.451 | ||
| subsidence | 0 | 6 | 12.32 ± 4.02 | 12.05 ± 6.36 | 10.56 ± 2.38 | 13.39 ± 4.77 | 9.96 ± 3.27 |
| 1 | 20 | 13.73 ± 3.54 | 13.31 ± 3.71 | 13.27 ± 3.20 | 15.67 ± 3.22 | 15.64 ± 5.10 | |
| 2 | 6 | 15.77 ± 5.55 | 15.18 ± 8.07 | 16.34 ± 4.67 | 17.75 ± 4.51 | 15.85 ± 6.21 | |
| p-value | 0.551 | 0.920 | 0.039 | 0.129 | 0.038 | ||
| screw loosening | 0 | 32 | 13.84 ± 4.02 | 13.57 ± 5.12 | 13.13 ± 3.66 | 13.41 ± 3.46 | 15.02 ± 5.29 |
| 1 | 2 | 13.88 ± 2.88 | 11.88 ± 1.73 | 15.05 ± 4.09 | 11.24 ± 3.15 | 10.89 ± 3.99 | |
| p-value | 0.856 | 0.471 | 0.556 | 0.077 | 0.257 | ||
| facet joint status | 1 | 21 | 13.39 ± 3.69 | 13.71 ± 5.71 | 12.07 ± 3.60 | 15.05 ± 3.70 | 8.92 ± 3.42 |
| 2 | 15 | 14.71 ± 4.16 | 13.40 ± 4.61 | 14.47 ± 3.32 | 16.30 ± 3.72 | 12.17 ± 6.22 | |
| p-value | 0.309 | 0.590 | 0.007 | 0.545 | 0.001 | ||
Disclaimer/Publisher’s Note: The statements, opinions and data contained in all publications are solely those of the individual author(s) and contributor(s) and not of MDPI and/or the editor(s). MDPI and/or the editor(s) disclaim responsibility for any injury to people or property resulting from any ideas, methods, instructions or products referred to in the content. |
© 2024 by the authors. Licensee MDPI, Basel, Switzerland. This article is an open access article distributed under the terms and conditions of the Creative Commons Attribution (CC BY) license (https://creativecommons.org/licenses/by/4.0/).
Share and Cite
Peters, M.J.M.; Brans, B.T.; Broos, W.A.M.; Jutten, E.M.C.; Mottaghy, F.M.; Schijns, O.; Weijers, R.E.; Willems, P.C. The Use of 18F-Fluoride Positron Emission Tomography/Computed Tomography Scanning to Identify Sources of Pain after Posterior Lumbar Interbody Fusion—An Analysis in Patients with and without Symptoms. Diagnostics 2024, 14, 1327. https://doi.org/10.3390/diagnostics14131327
Peters MJM, Brans BT, Broos WAM, Jutten EMC, Mottaghy FM, Schijns O, Weijers RE, Willems PC. The Use of 18F-Fluoride Positron Emission Tomography/Computed Tomography Scanning to Identify Sources of Pain after Posterior Lumbar Interbody Fusion—An Analysis in Patients with and without Symptoms. Diagnostics. 2024; 14(13):1327. https://doi.org/10.3390/diagnostics14131327
Chicago/Turabian StylePeters, Marloes J. M., Boudewijn T. Brans, Wouter A. M. Broos, Elisabeth M. C. Jutten, Felix M. Mottaghy, Olaf Schijns, René E. Weijers, and Paul C. Willems. 2024. "The Use of 18F-Fluoride Positron Emission Tomography/Computed Tomography Scanning to Identify Sources of Pain after Posterior Lumbar Interbody Fusion—An Analysis in Patients with and without Symptoms" Diagnostics 14, no. 13: 1327. https://doi.org/10.3390/diagnostics14131327
APA StylePeters, M. J. M., Brans, B. T., Broos, W. A. M., Jutten, E. M. C., Mottaghy, F. M., Schijns, O., Weijers, R. E., & Willems, P. C. (2024). The Use of 18F-Fluoride Positron Emission Tomography/Computed Tomography Scanning to Identify Sources of Pain after Posterior Lumbar Interbody Fusion—An Analysis in Patients with and without Symptoms. Diagnostics, 14(13), 1327. https://doi.org/10.3390/diagnostics14131327

