Clinical Utility of the aMAP Score for Predicting Hepatocellular Carcinoma Development in Patients with Chronic Hepatitis B
Abstract
1. Introduction
2. Methods
2.1. Ethics Statements
2.2. Study Design
2.3. Data Collection and Follow-Up
2.4. Diagnoses and Clinical Evaluations
2.5. HCC Risk Scores and Cutoff Points for Risk Stratification
2.6. Statistical Analysis
3. Results
3.1. Baseline Clinical Characteristics
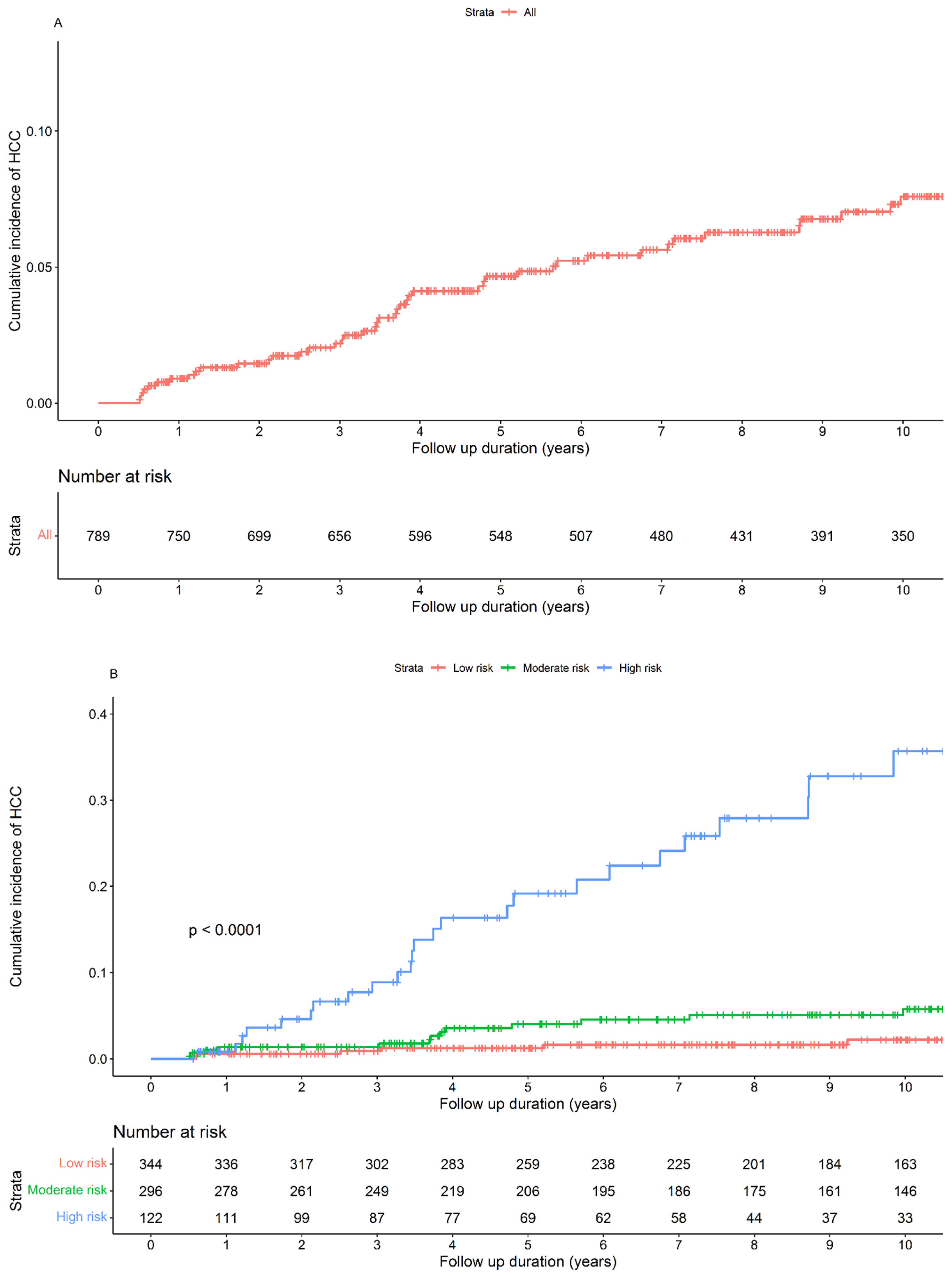
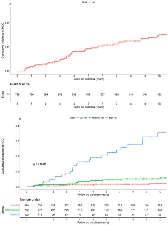
3.2. Cumulative Incidence of HCC Development in the Entire Cohort
3.3. Cumulative Incidence of HCC Development According to the aMAP Score
3.4. Comparison of the Predictive Performance of the aMAP Score and Other Existing HBV-Related HCC Risk Scores
3.5. Predictors of HCC Development
4. Discussion
5. Conclusions
Supplementary Materials
Author Contributions
Funding
Institutional Review Board Statement
Informed Consent Statement
Data Availability Statement
Acknowledgments
Conflicts of Interest
References
- Kaewdech, A.; Sripongpun, P.; Cheewasereechon, N.; Jandee, S.; Chamroonkul, N.; Piratvisuth, T. Validation of the ‘Six-and-Twelve’ Prognostic Score in Transarterial Chemoembolization-Treated Hepatocellular Carcinoma Patients. Clin. Transl. Gastroenterol. 2021, 12, e00310. [Google Scholar] [CrossRef] [PubMed]
- Sung, H.; Ferlay, J.; Siegel, R.L.; Laversanne, M.; Soerjomataram, I.; Jemal, A.; Bray, F. Global Cancer Statistics 2020: GLOBOCAN Estimates of Incidence and Mortality Worldwide for 36 Cancers in 185 Countries. CA Cancer J. Clin. 2021, 71, 209–249. [Google Scholar] [CrossRef] [PubMed]
- Rumgay, H.; Arnold, M.; Ferlay, J.; Lesi, O.; Cabasag, C.J.; Vignat, J.; Laversanne, M.; McGlynn, K.A.; Soerjomataram, I. Global burden of primary liver cancer in 2020 and predictions to 2040. J. Hepatol. 2022, 77, 1598–1606. [Google Scholar] [CrossRef] [PubMed]
- Chonprasertsuk, S.; Vilaichone, R. Epidemiology and treatment of hepatocellular carcinoma in Thailand. Jpn. J. Clin. Oncol. 2017, 47, 294–297. [Google Scholar] [CrossRef] [PubMed][Green Version]
- Zhang, C.H.; Cheng, Y.; Zhang, S.; Fan, J.; Gao, Q. Changing epidemiology of hepatocellular carcinoma in Asia. Liver Int. 2022, 42, 2029–2041. [Google Scholar] [CrossRef] [PubMed]
- Omata, M.; Cheng, A.L.; Kokudo, N.; Kudo, M.; Lee, J.M.; Jia, J.; Tateishi, R.; Han, K.H.; Chawla, Y.K.; Shiina, S.; et al. Asia-Pacific clinical practice guidelines on the management of hepatocellular carcinoma: A 2017 update. Hepatol. Int. 2017, 11, 317–370. [Google Scholar] [CrossRef]
- European Association for the Study of the Liver. EASL Clinical Practice Guidelines: Management of hepatocellular carcinoma. J. Hepatol. 2018, 69, 182–236. [Google Scholar] [CrossRef] [PubMed]
- Heimbach, J.K.; Kulik, L.M.; Finn, R.S.; Sirlin, C.B.; Abecassis, M.M.; Roberts, L.R.; Zhu, A.X.; Murad, M.H.; Marrero, J.A. AASLD guidelines for the treatment of hepatocellular carcinoma. Hepatology 2018, 67, 358–380. [Google Scholar] [CrossRef] [PubMed]
- Papatheodoridis, G.; Dalekos, G.; Sypsa, V.; Yurdaydin, C.; Buti, M.; Goulis, J.; Calleja, J.L.; Chi, H.; Manolakopoulos, S.; Mangia, G.; et al. PAGE-B predicts the risk of developing hepatocellular carcinoma in Caucasians with chronic hepatitis B on 5-year antiviral therapy. J. Hepatol. 2016, 64, 800–806. [Google Scholar] [CrossRef] [PubMed]
- Kim, J.H.; Kim, Y.D.; Lee, M.; Jun, B.G.; Kim, T.S.; Suk, K.T.; Kang, S.H.; Kim, M.Y.; Cheon, G.J.; Kim, D.J.; et al. Modified PAGE-B score predicts the risk of hepatocellular carcinoma in Asians with chronic hepatitis B on antiviral therapy. J. Hepatol. 2018, 69, 1066–1073. [Google Scholar] [CrossRef]
- Wong, G.L.; Chan, H.L.; Wong, C.K.; Leung, C.; Chan, C.Y.; Ho, P.P.; Chung, V.C.; Chan, Z.C.; Tse, Y.K.; Chim, A.M.; et al. Liver stiffness-based optimization of hepatocellular carcinoma risk score in patients with chronic hepatitis B. J. Hepatol. 2014, 60, 339–345. [Google Scholar] [CrossRef] [PubMed]
- Yang, H.I.; Yuen, M.F.; Chan, H.L.; Han, K.H.; Chen, P.J.; Kim, D.Y.; Ahn, S.H.; Chen, C.J.; Wong, V.W.; Seto, W.K.; et al. Risk estimation for hepatocellular carcinoma in chronic hepatitis B (REACH-B): Development and validation of a predictive score. Lancet Oncol. 2011, 12, 568–574. [Google Scholar] [CrossRef] [PubMed]
- Fan, R.; Papatheodoridis, G.; Sun, J.; Innes, H.; Toyoda, H.; Xie, Q.; Mo, S.; Sypsa, V.; Guha, I.N.; Kumada, T.; et al. aMAP risk score predicts hepatocellular carcinoma development in patients with chronic hepatitis. J. Hepatol. 2020, 73, 1368–1378. [Google Scholar] [CrossRef] [PubMed]
- Singal, A.G.; Llovet, J.M.; Yarchoan, M.; Mehta, N.; Heimbach, J.K.; Dawson, L.A.; Jou, J.H.; Kulik, L.M.; Agopian, V.G.; Marrero, J.A.; et al. AASLD practice guidance on prevention, diagnosis, and treatment of hepatocellular carcinoma. Hepatology 2023, 78, 1922–1965. [Google Scholar] [CrossRef] [PubMed]
- Wong, V.W.; Chan, S.L.; Mo, F.; Chan, T.C.; Loong, H.H.; Wong, G.L.; Lui, Y.Y.; Chan, A.T.; Sung, J.J.; Yeo, W.; et al. Clinical scoring system to predict hepatocellular carcinoma in chronic hepatitis B carriers. J. Clin. Oncol. 2010, 28, 1660–1665. [Google Scholar] [CrossRef] [PubMed]
- Johnson, P.J.; Berhane, S.; Kagebayashi, C.; Satomura, S.; Teng, M.; Reeves, H.L.; O’Beirne, J.; Fox, R.; Skowronska, A.; Palmer, D.; et al. Assessment of liver function in patients with hepatocellular carcinoma: A new evidence-based approach-the ALBI grade. J. Clin. Oncol. 2015, 33, 550–558. [Google Scholar] [CrossRef] [PubMed]
- Zhu, R.X.; Seto, W.K.; Lai, C.L.; Yuen, M.F. Epidemiology of Hepatocellular Carcinoma in the Asia-Pacific Region. Gut Liver 2016, 10, 332–339. [Google Scholar] [CrossRef] [PubMed]
- Yuen, M.F.; Tanaka, Y.; Fong, D.Y.; Fung, J.; Wong, D.K.; Yuen, J.C.; But, D.Y.; Chan, A.O.; Wong, B.C.; Mizokami, M.; et al. Independent risk factors and predictive score for the development of hepatocellular carcinoma in chronic hepatitis B. J. Hepatol. 2009, 50, 80–88. [Google Scholar] [CrossRef] [PubMed]
- Bello, K.E.; Mat Jusoh, T.N.A.; Irekeola, A.A.; Abu, N.; Mohd Amin, N.A.Z.; Mustaffa, N.; Shueb, R.H.A. Recent Prevalence of Hepatitis B Virus (HBV) Genotypes and Subtypes in Asia: A Systematic Review and Meta-Analysis. Healthcare 2023, 11, 1011. [Google Scholar] [CrossRef]
- Lai, A.; Sagnelli, C.; Presti, A.L.; Cella, E.; Angeletti, S.; Spoto, S.; Costantino, S.; Sagnelli, E.; Ciccozzi, M. What is changed in HBV molecular epidemiology in Italy? J. Med. Virol. 2018, 90, 786–795. [Google Scholar] [CrossRef]
- Wong, G.L.; Chan, H.L.; Yiu, K.K.; Lai, J.W.; Chan, V.K.; Cheung, K.K.; Wong, E.W.; Wong, V.W. Meta-analysis: The association of hepatitis B virus genotypes and hepatocellular carcinoma. Aliment. Pharmacol. Ther. 2013, 37, 517–526. [Google Scholar] [CrossRef] [PubMed]
- Tan, D.J.H.; Ng, C.H.; Lin, S.Y.; Pan, X.H.; Tay, P.; Lim, W.H.; Teng, M.; Syn, N.; Lim, G.; Yong, J.N.; et al. Clinical characteristics, surveillance, treatment allocation, and outcomes of non-alcoholic fatty liver disease-related hepatocellular carcinoma: A systematic review and meta-analysis. Lancet Oncol. 2022, 23, 521–530. [Google Scholar] [CrossRef] [PubMed]
- Chen, C.J.; Yang, H.I.; Iloeje, U.H.; REVEAL-HBV Study Group. Hepatitis B virus DNA levels and outcomes in chronic hepatitis B. Hepatology 2009, 49, S72–S84. [Google Scholar] [CrossRef] [PubMed]
- Simmons, O.; Fetzer, D.T.; Yokoo, T.; Marrero, J.A.; Yopp, A.; Kono, Y.; Parikh, N.D.; Browning, T.; Singal, A.G. Predictors of adequate ultrasound quality for hepatocellular carcinoma surveillance in patients with cirrhosis. Aliment. Pharmacol. Ther. 2017, 45, 169–177. [Google Scholar] [CrossRef]
- Huang, Z.H.; Lu, G.Y.; Qiu, L.X.; Zhong, G.H.; Huang, Y.; Yao, X.M.; Liu, X.H.; Huang, S.J.; Wu, T.; Yuan, Q.; et al. Risk of hepatocellular carcinoma in antiviral treatment-naïve chronic hepatitis B patients treated with entecavir or tenofovir disoproxil fumarate: A network meta-analysis. BMC Cancer 2022, 22, 287. [Google Scholar] [CrossRef]



| Variable | Non-HCC (n = 738) | HCC (n = 51) | Total (n = 789) | p-Value |
|---|---|---|---|---|
| Age, median (IQR), years | 54.2 (47.7, 61.7) | 56.1 (53.1, 65.5) | 54.6 (47.8, 61.9) | 0.02 |
| Male sex, n (%) | 371 (50.3) | 35 (68.6) | 406 (51.5) | 0.02 |
| Laboratory result | ||||
| HBeAg negativity, n (%) | 486 (83.2) | 30 (71.4) | 516 (82.4) | 0.084 |
| HBV DNA, median (IQR), (IU/mL) | 1691.2 (112, 50,008) | 2161 (112, 2,120,883) | 1691.2 (112, 56,560) | 0.216 |
| Total bilirubin, median (IQR), (mg/dL) | 0.5 (0.4, 0.8) | 0.8 (0.5, 1) | 0.6 (0.4, 0.8) | <0.001 |
| Direct bilirubin, median (IQR), (mg/dL) | 0.2 (0.1, 0.3) | 0.3 (0.2, 0.4) | 0.2 (0.1, 0.3) | <0.001 |
| AST, median (IQR), U/L | 26 (21, 39) | 42.5 (32, 63.8) | 27 (21, 42) | <0.001 |
| ALT, median (IQR), U/L | 25 (17, 43) | 35 (23, 56.5) | 25 (17, 43.2) | 0.002 |
| Albumin, median (IQR), (g/dL) | 4.4 (4.2, 4.6) | 4.2 (3.8, 4.5) | 4.4 (4.1, 4.6) | <0.001 |
| WBCs, median (IQR), ×103/mm3 | 6.2 (5.1, 7.6) | 5.7 (4.9, 6.8) | 6.2 (5.1, 7.5) | 0.071 |
| Hb, median (IQR), (g/dL) | 13.4 (12.3, 14.4) | 13.9 (12.3, 14.6) | 13.4 (12.3, 14.5) | 0.657 |
| Platelet, median (IQR), ×103/mm3 | 216 (177, 260) | 147 (101, 198) | 213 (171, 258) | < 0.001 |
| AFP, median (IQR), (ng/mL) | 2.9 (2, 4.1) | 9.2 (3.7, 29.8) | 3 (2, 4.5) | <0.001 |
| Cirrhosis, n (%) | 208 (28.2) | 48 (94.1) | 256 (32.4) | <0.001 |
| Predictive score | ||||
| ALBI, median (IQR) | −3.1 (−3.3, −2.9) | −2.8 (−3.1, −2.4) | −3.1 (−3.3, −2.9) | <0.001 |
| aMAP, mean (SD) | 50.7 (8.7) | 59 (8.5) | 51 (8.9) | <0.001 |
| REACH-B, median (IQR) | 8 (6, 10) | 10 (8.5, 12) | 8 (7, 10) | <0.001 |
| CU-HCC, median (IQR) | 4 (3, 18) | 18.5 (18, 22) | 4 (3, 18) | <0.001 |
| PAGE-B, median (IQR) | 7 (3, 11) | 13 (8, 17) | 7 (3, 11) | <0.001 |
| mPAGE-B, median (IQR) | 10 (8, 12) | 13 (11, 14) | 10 (9, 12) | <0.001 |
| On-treatment | ||||
| NUC use, n (%) | 365 (49.5) | 51 (100) | 416 (52.7) | <0.001 |
| - Lamivudine, 150 mg | 272 (36.9) | 35 (68.6) | 307 (38.9) | |
| - Adefovir dipivoxil, 10 mg | 5 (0.7) | 1 (2) | 6 (0.8) | |
| - Tenofovir disoproxil, 300 mg | 7 (0.9) | 0 (0) | 7 (0.9) | |
| - Entecavir, 0.5 mg | 61 (8.3) | 14 (27.5) | 75 (9.5) | |
| - Telbivudine, 600 mg | 10 (1.4) | 0 (0) | 10 (1.3) | |
| - Lamivudine, 100 mg | 3 (0.4) | 0 (0) | 3 (0.4) | |
| - Tenofovir alafenamide, 25 mg | 7 (0.9) | 1 (2) | 8 (1) | |
| No NUC use, n (%) | 373 (50.5) | 0(0) | 373 (47.3) | |
| Follow-up time, median (IQR), years | 9.2 (4.5, 12.4) | 3.8 (2.3,7.3) | 8.9 (4.1, 12.3) | <0.001 |
| Score | 3 y AUROC (95% CI) | p-Value * | 5 y AUROC (95% CI) | p-Value * | 10 y AUROC (95% CI) | p-Value * | C-Index (95% CI) | AIC |
|---|---|---|---|---|---|---|---|---|
| aMAP | 0.748 (0.610–0.887) | reference | 0.777 (0.686–0.869) | reference | 0.784 (0.708–0.860) | reference | 0.766 (0.761–0.771) | 638.439 |
| ALBI | 0.820 (0.736–0.895) | 0.342 | 0.710 (0.611–0.806) | 0.203 | 0.710 (0.622–0.789) | 0.059 | 0.686 (0.680–0.692) | 657.163 |
| PAGE-B | 0.717 (0.579–0.856) | 0.331 | 0.750 (0.655–0.842) | 0.214 | 0.760 (0.678–0.842) | 0.179 | 0.737 (0.731–0.742) | 654.338 |
| mPAGE-B | 0.714 (0.585–0.843) | 0.193 | 0.759 (0.669–0.849) | 0.293 | 0.753 (0.679–0.827) | 0.039 | 0.732 (0.727–0.737) | 660.076 |
| REACH-B | 0.571 (0.441–0.701) | 0.023 | 0.720 (0.633–0.808) | 0.105 | 0.712 (0.629–0.795) | 0.027 | 0.696 (0.689–0.702) | 415.170 |
| CU-HCC | 0.804 (0.753–0.854) | 0.296 | 0.823 (0.775–0.871) | 0.250 | 0.830 (0.791–0.870) | 0.216 | 0.826 (0.823–0.829) | 492.898 |
| Cutoff Point | Sensitivity, % (95% CI) | Specificity, % (95% CI) | PPV, % (95% CI) | NPV, % (95% CI) |
|---|---|---|---|---|
| 50 | 84 (71, 93) | 48 (44, 52) | 10 (8, 14) | 98 (96, 99) |
| 60 | 53 (38, 67) | 87 (84, 89) | 22 (15, 31) | 96 (94, 98) |
Disclaimer/Publisher’s Note: The statements, opinions and data contained in all publications are solely those of the individual author(s) and contributor(s) and not of MDPI and/or the editor(s). MDPI and/or the editor(s) disclaim responsibility for any injury to people or property resulting from any ideas, methods, instructions or products referred to in the content. |
© 2024 by the authors. Licensee MDPI, Basel, Switzerland. This article is an open access article distributed under the terms and conditions of the Creative Commons Attribution (CC BY) license (https://creativecommons.org/licenses/by/4.0/).
Share and Cite
Chaiwiriyawong, S.; Assawasuwannakit, S.; Feuangwattana, P.; Sripongpun, P.; Chamroonkul, N.; Piratvisuth, T.; Kaewdech, A. Clinical Utility of the aMAP Score for Predicting Hepatocellular Carcinoma Development in Patients with Chronic Hepatitis B. Diagnostics 2024, 14, 1325. https://doi.org/10.3390/diagnostics14131325
Chaiwiriyawong S, Assawasuwannakit S, Feuangwattana P, Sripongpun P, Chamroonkul N, Piratvisuth T, Kaewdech A. Clinical Utility of the aMAP Score for Predicting Hepatocellular Carcinoma Development in Patients with Chronic Hepatitis B. Diagnostics. 2024; 14(13):1325. https://doi.org/10.3390/diagnostics14131325
Chicago/Turabian StyleChaiwiriyawong, Supakorn, Suraphon Assawasuwannakit, Poorikorn Feuangwattana, Pimsiri Sripongpun, Naichaya Chamroonkul, Teerha Piratvisuth, and Apichat Kaewdech. 2024. "Clinical Utility of the aMAP Score for Predicting Hepatocellular Carcinoma Development in Patients with Chronic Hepatitis B" Diagnostics 14, no. 13: 1325. https://doi.org/10.3390/diagnostics14131325
APA StyleChaiwiriyawong, S., Assawasuwannakit, S., Feuangwattana, P., Sripongpun, P., Chamroonkul, N., Piratvisuth, T., & Kaewdech, A. (2024). Clinical Utility of the aMAP Score for Predicting Hepatocellular Carcinoma Development in Patients with Chronic Hepatitis B. Diagnostics, 14(13), 1325. https://doi.org/10.3390/diagnostics14131325

