Development and Efficacy of Lateral Flow Point-of-Care Testing Devices for Rapid and Mass COVID-19 Diagnosis by the Detections of SARS-CoV-2 Antigen and Anti-SARS-CoV-2 Antibodies
Abstract
:1. Timeline of COVID-19 Pandemic
2. Severe Acute Respiratory Syndrome Coronavirus 2 (SARS-CoV-2)
3. Molecular Tests for COVID-19
3.1. NAATs
3.2. Antigen Tests
3.3. Antibody Tests
4. LFIA, LFA, or LFT
5. The Use of LFIA for Mass COVID-19 Testing
6. Commercial LFIA Strips for the Rapid COVID-19 Detection
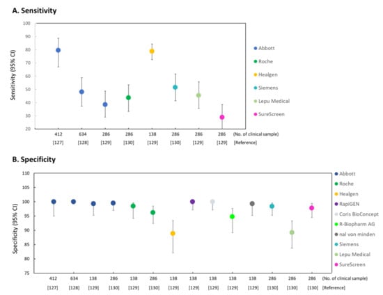
6.1. Detections for SARS-CoV-2 Antigen
6.2. Detections for COVID-19 Antibody
7. Advanced LFIA-Based Devices Developed for the COVID-19 Detection
8. Conclusions
Author Contributions
Funding
Institutional Review Board Statement
Informed Consent Statement
Data Availability Statement
Acknowledgments
Conflicts of Interest
Abbreviations
References
- Huang, C.; Wang, Y.; Li, X.; Ren, L.; Zhao, J.; Hu, Y.; Zhang, L.; Fan, G.; Xu, J.; Gu, X.; et al. Clinical features of patients infected with 2019 novel coronavirus in Wuhan, China. Lancet 2020, 395, 497–506. [Google Scholar] [CrossRef] [Green Version]
- Wuhan Municipal Health Commission. Wuhan Municipal Health Department’s Message about Our City’s Present Pneumonia Situation. Available online: Wjw.wuhan.gov.cn (accessed on 9 January 2020).
- Chiappelli, F. 2019-nCoV–Towards a 4th generation vaccine. Bioinformation 2020, 16, 139–144. [Google Scholar] [CrossRef] [PubMed] [Green Version]
- Illmer, A.; Wang, Y.; Wong, T. Wuhan Lockdown: A Year of China’s Fight against the Covid Pandemic. The British Broadcasting Corporation (BBC). Available online: https://www.bbc.com/news/world-asia-china-55628488 (accessed on 20 January 2021).
- Ghinai, I.; McPherson, T.D.; Hunter, J.C.; Kirking, H.L.; Christiansen, D.; Joshi, K.; Rubin, R.; Morales-Estrada, S.; Black, S.R.; Pacilli, M.; et al. Illinois COVID-19 Investigation Team. First known person-to-person transmission of severe acute respiratory syndrome coronavirus 2 (SARS-CoV-2) in the USA. Lancet 2020, 395, 1137–1144. [Google Scholar] [CrossRef]
- World Health Organization (WHO). WHO Director-General’s Opening Remarks at the Media Briefing on COVID-19. 2020. Available online: https://www.who.int/news/item/30-01-2020-statement-on-the-second-meeting-of-the-international-health-regulations-(2005)-emergency-committee-regarding-the-outbreak-of-novel-coronavirus-(2019-ncov) (accessed on 11 March 2020).
- Cucinotta, D.; Vanelli, M. WHO Declares COVID-19 a Pandemic. Acta Biomed. 2020, 91, 157–160. [Google Scholar] [CrossRef]
- Donmez, B.B. Coronavirus: Global Death Toll Climbs Over 10,000. 2020. Available online: https://www.aa.com.tr/en/health/coronavirus-global-death-toll-climbs-over-10-000/1772686 (accessed on 20 March 2020).
- Staff, T. Netanyahu Announces Fresh Nationwide Lockdown for End of Passover. The Times of ISRAEL. 2020. Available online: https://www.timesofisrael.com/netanyahu-announces-fresh-nationwide-lockdown-for-end-of-passover/ (accessed on 13 April 2020).
- Du, L.; Cortez, M.F. Pandemic Tops 10 Million Cases, 500,000 Deaths as Momentum Grows. 2020. Available online: https://www.bloomberg.com/news/articles/2020-06-28/global-covid-19-cases-hit-10-million-as-pandemic-gains-momentum (accessed on 28 June 2020).
- Perico, L.; Benigni, A.; Casiraghi, F.; Ng, L.F.P.; Renia, L.; Remuzzi, G. Immunity, endothelial injury and complement-induced coagulopathy in COVID-19. Nat. Rev. Nephrol. 2020, 17, 46–64. [Google Scholar] [CrossRef]
- Shyr, Z.A.; Gorshkov, K.; Chen, C.Z.; Zheng, W. Drug Discovery Strategies for SARS-CoV-2. J. Pharmacol. Exp. Ther. 2020, 375, 127–138. [Google Scholar] [CrossRef]
- World Health Organization (WHO). Coronavirus Disease (COVID-19). Prequalification of Medical Products (IVDs, Medicines, Vaccines and Immunization Devices, Vector Control). 2020. Available online: https://extranet.who.int/pqweb/vaccines/covid-19-vaccines (accessed on 21 October 2020).
- Nebehay, S. WHO Approves Sinovac COVID Vaccine, the Second Chinese-Made Dose Listed. 2021. Available online: https://www.reuters.com/business/healthcare-pharmaceuticals/who-approves-sinovac-covid-19-vaccine-2nd-chinese-made-dose-listed-2021-06-01/ (accessed on 2 June 2021).
- Mwenda, M.; Saasa, N.; Sinyange, N.; Busby, G.; Chipimo, P.J.; Hendry, J.; Kapona, O.; Yingst, S.; Hines, J.Z.; Minchella, P.; et al. Detection of B.1.351 SARS-CoV-2 Variant Strain—Zambia, December 2020. MMWR Morb. Mortal. Wkly. Rep. 2021, 70, 280–282. [Google Scholar] [CrossRef]
- Galloway, S.E.; Paul, P.; MacCannell, D.R.; Johansson, M.A.; Brooks, J.T.; MacNeil, A.; Slayton, R.B.; Tong, S.; Silk, B.J.; Armstrong, G.L.; et al. Emergence of SARS-CoV-2 B.1.1.7 Lineage—United States, December 29, 2020–January 12, 2021. MMWR Morb. Mortal. Wkly. Rep. 2021, 70, 95–99. [Google Scholar] [CrossRef]
- Cascella, M.; Rajnik, M.; Aleem, A.; Dulebohn, S.C.; Di Napoli, R. Features, Evaluation, and Treatment of Coronavirus (COVID-19); StatPearls Publishing: Treasure Island, FL, USA, 2021. [Google Scholar]
- Arif, T.B. The 501.V2 and B.1.1.7 variants of coronavirus disease 2019 (COVID-19): A new time-bomb in the making? Infect. Control. Hosp. Epidemiol. 2021, 1–2. [Google Scholar] [CrossRef]
- Kutlu, O. Global Coronavirus Cases Surpass 100 Million. Anadolu Agency. 2021. Available online: https://www.aa.com.tr/en/latest-on-coronavirus-outbreak/global-coronavirus-cases-surpass-100-million/2123926 (accessed on 26 January 2021).
- Leite, J.; Viotti, B.M.; Aragaki, C. Brazil Hits 10 Million Covid Cases with New Strain Taking Hold. 2021. Available online: https://www.bloomberg.com/news/articles/2021-02-18/brazil-hits-10-million-covid-cases-with-new-strain-taking-hold (accessed on 19 February 2020).
- Carlos, R.; Cruz, D.C.; McLernon, L.M.; Schnirring, L.; Soucheray, S.; Center for Infectious Disease Research and Policy (CIDRAP). India’s COVID-19 Surge Pushes It over 20 Million Cases. 2021. Available online: https://www.cidrap.umn.edu/news-perspective/2021/05/indias-covid-19-surge-pushes-it-over-20-million-cases (accessed on 4 May 2021).
- Coronaviridae Study Group of the International Committee on Taxonomy of Viruses. The species Severe acute respiratory syndrome-related coronavirus: Classifying 2019-nCoV and naming it SARS-CoV-2. Nat. Microbiol. 2020, 5, 536–544. [Google Scholar] [CrossRef] [PubMed] [Green Version]
- Jia, J.S.; Lu, X.; Yuan, Y.; Xu, G.; Jia, J.; Christakis, N.A. Population flow drives spatio-temporal distribution of COVID-19 in China. Nature 2020, 582, 389–394. [Google Scholar] [CrossRef] [PubMed]
- Chan, J.F.-W.; Yuan, S.; Kok, K.-H.; To, K.K.-W.; Chu, H.; Yang, J.; Xing, F.; Liu, J.; Yip, C.C.-Y.; Poon, R.W.-S.; et al. A familial cluster of pneumonia associated with the 2019 novel coronavirus indicating person-to-person transmission: A study of a family cluster. Lancet 2020, 395, 514–523. [Google Scholar] [CrossRef] [Green Version]
- World Health Organization (WHO). Statement on the second meeting of the International Health Regulations. Emergency Committee regarding the outbreak of novel coronavirus (2019-nCoV). 2020. Available online: https://www.who.int/news/item/30-01-2020-statement-on-the-second-meeting-of-the-international-health-regulations-(2005)-emergency-committee-regarding-the-outbreak-of-novel-coronavirus-(2019-ncov) (accessed on 30 January 2020).
- Machhi, J.; Herskovitz, J.; Senan, A.M.; Dutta, D.; Nath, B.; Oleynikov, M.D.; Blomberg, W.R.; Meigs, D.D.; Hasan, M.; Patel, M.; et al. The Natural History, Pathobiology, and Clinical Manifestations of SARS-CoV-2 Infections. J. Neuroimmune Pharmacol. 2020, 15, 359–386. [Google Scholar] [CrossRef]
- Perlman, S. Another Decade, Another Coronavirus. N. Engl. J. Med. 2020, 382, 760–762. [Google Scholar] [CrossRef]
- Andersen, K.G.; Rambaut, A.; Lipkin, W.I.; Holmes, E.C.; Garry, R.F. The proximal origin of SARS-CoV-2. Nat. Med. 2020, 26, 450–452. [Google Scholar] [CrossRef] [Green Version]
- Zhou, P.; Yang, X.-L.; Wang, X.-G.; Hu, B.; Zhang, L.; Zhang, W.; Si, H.-R.; Zhu, Y.; Li, B.; Huang, C.-L.; et al. A pneumonia outbreak associated with a new coronavirus of probable bat origin. Nature 2020, 579, 270–273. [Google Scholar] [CrossRef] [Green Version]
- Benvenuto, D.; Giovannetti, M.; Ciccozzi, A.; Spoto, S.; Angeletti, S.; Ciccozzi, M. The 2019-new coronavirus epidemic: Evidence for virus evolution. J. Med. Virol. 2020, 92, 455–459. [Google Scholar] [CrossRef] [Green Version]
- Cyranoski, D. Mystery deepens over animal source of coronavirus. Nature 2020, 579, 18–19. [Google Scholar] [CrossRef] [PubMed] [Green Version]
- Zhang, T.; Wu, Q.; Zhang, Z. Probable Pangolin Origin of SARS-CoV-2 Associated with the COVID-19 Outbreak. Curr. Biol. 2020, 30, 1346.e2–1351.e2. [Google Scholar] [CrossRef]
- Wu, C.; Liu, Y.; Yang, Y.; Zhang, P.; Zhong, W.; Wang, Y.; Wang, Q.; Xu, Y.; Li, M.; Li, X.; et al. Analysis of therapeutic targets for SARS-CoV-2 and discovery of potential drugs by computational methods. Acta Pharm. Sin. B 2020, 10, 766–788. [Google Scholar] [CrossRef] [PubMed]
- Aronson, J.K. Coronaviruses—A general introduction. Centre for Evidence-Based Medicine, Nuffield Department of Primary Care Health Sciences, University of Oxford. 2020. Available online: https://www.cebm.net/covid-19/coronaviruses-a-general-introduction/ (accessed on 24 May 2020).
- Huang, Y.; Yang, C.; Xu, X.-F.; Xu, W.; Liu, S.-W. Structural and functional properties of SARS-CoV-2 spike protein: Potential antivirus drug development for COVID-19. Acta Pharmacol. Sin. 2020, 41, 1141–1149. [Google Scholar] [CrossRef]
- Wang, Q.; Zhang, Y.; Wu, L.; Niu, S.; Song, C.; Zhang, Z.; Lu, G.; Qiao, C.; Hu, Y.; Yuen, K.-Y.; et al. Structural and Functional Basis of SARS-CoV-2 Entry by Using Human ACE2. Cell 2020, 181, 894.e9–904.e9. [Google Scholar] [CrossRef] [PubMed]
- El Sahly, H.M. Genomic Characterization of the 2019 Novel Coronavirus. The New England Journal of Medicine. 2021. Available online: https://www.jwatch.org/na50823/2020/02/06/genomic-characterization-2019-novel-coronavirus (accessed on 17 February 2021).
- Letko, M.; Marzi, A.; Munster, V. Functional assessment of cell entry and receptor usage for SARS-CoV-2 and other lineage B betacoronaviruses. Nat. Microbiol. 2020, 5, 562–569. [Google Scholar] [CrossRef] [Green Version]
- Lan, J.; Ge, J.; Yu, J.; Shan, S.; Zhou, H.; Fan, S.; Zhang, Q.; Shi, X.; Wang, Q.; Zhang, L.; et al. Structure of the SARS-CoV-2 spike receptor-binding domain bound to the ACE2 receptor. Nature 2020, 581, 215–220. [Google Scholar] [CrossRef] [Green Version]
- Yan, R.; Zhang, Y.; Li, Y.; Xia, L.; Guo, Y.; Zhou, Q. Structural basis for the recognition of SARS-CoV-2 by full-length human ACE2. Science 2020, 367, 1444–1448. [Google Scholar] [CrossRef] [Green Version]
- Coutard, B.; Valle, C.; De Lamballerie, X.; Canard, B.; Seidah, N.; Decroly, E. The spike glycoprotein of the new coronavirus 2019-nCoV contains a furin-like cleavage site absent in CoV of the same clade. Antivir. Res. 2020, 176, 104742. [Google Scholar] [CrossRef]
- Riaz, S. Molecular Association of Coronavirus with Diabetes Mellitus Type 2 in Pakistan. J. Diabet Res. Rev. Rep. 2020, 2, 1–11. [Google Scholar] [CrossRef]
- Yurkovetskiy, L.; Wang, X.; Pascal, K.E.; Tomkins-Tinch, C.; Nyalile, T.P.; Wang, Y.; Baum, A.; Diehl, W.E.; Dauphin, A.; Carbone, C.; et al. Structural and Functional Analysis of the D614G SARS-CoV-2 Spike Protein Variant. Cell 2020, 183, 739.e8–751.e8. [Google Scholar] [CrossRef] [PubMed]
- Medicalxpress. New, More Infectious Strain of COVID-19 Now Dominates Global Cases of Virus: Study. 2020. Available online: https://medicalxpress.com/news/2020-07-infectious-strain-covid-dominates-global.html (accessed on 2 July 2020).
- Chand, M.; Hopkins, S.; Dabrera, G.; Achison, C.; Barclay, W.; Ferguson, N.; Volz, E.; Loman, N.; Rambaut, A.; Barrett, J. Investigation of novel SARS-COV-2 variant: Variant of Concern 202012/01 (PDF) (Report). Public Health England. 2020. Available online: https://assets.publishing.service.gov.uk/government/uploads/system/uploads/attachment_data/file/959361/Technical_Briefing_VOC202012-2_Briefing_2.pdf (accessed on 21 December 2020).
- Tegally, H.; Wilkinson, E.; Lessells, R.J.; Giandhari, J.; Pillay, S.; Msomi, N.; Mlisana, K.; Bhiman, J.N.; von Gottberg, A.; Walaza, S.; et al. Sixteen novel lineages of SARS-CoV-2 in South Africa. Nat. Med. 2021, 27, 440–446. [Google Scholar] [CrossRef]
- Aiyar, Y.; Chandru, V.; Chatterjee, M.; Desai, S.; Fernandez, A.; Gupta, A.; Kang, G.; Khanna, T.; Mazumdar-Shaw, K.; Mor, N.; et al. India’s resurgence of COVID-19: Urgent actions needed. Lancet 2021, 397, 2232–2234. [Google Scholar] [CrossRef]
- Iacobucci, G. Covid-19: Local councils initiate surge vaccination to tackle B.1.617.2 variant. BMJ 2021, 373, n1361. [Google Scholar] [CrossRef]
- Bernal, J.L.; Andrews, N.; Gower, C.; Gallagher, E.; Simmons, R.; Thelwall, S.; Stowe, J.; Tessier, E.; Groves, N.; Dabrera, G.; et al. Effectiveness of COVID-19 vaccines against the B.1.617.2 variant. medRxiv 2021. [CrossRef]
- Machado, B.A.S.; Hodel, K.V.S.; Barbosa-Júnior, V.G.; Soares, M.B.P.; Badaró, R. The Main Molecular and Serological Methods for Diagnosing COVID-19: An Overview Based on the Literature. Viruses 2020, 13, 40. [Google Scholar] [CrossRef] [PubMed]
- El Jaddaoui, I.; Allali, M.; Raoui, S.; Sehli, S.; Habib, N.; Chaouni, B.; Al Idrissi, N.; Benslima, N.; Maher, W.; Benrahma, H.; et al. A review on current diagnostic techniques for COVID-19. Expert Rev. Mol. Diagn. 2021, 21, 141–160. [Google Scholar] [CrossRef]
- U.S. Centers for Disease Control and Prevention (CDC). Testing for COVID-19. 2021. Available online: https://www.cdc.gov/coronavirus/2019-ncov/symptoms-testing/testing.html (accessed on 2 July 2021).
- U.S. Centers for Disease Control and Prevention (CDC). Interim Guidance for Antigen Testing for SARS-CoV-2. 2021. Available online: https://www.cdc.gov/coronavirus/2019-ncov/lab/resources/antigen-tests-guidelines.html (accessed on 14 June 2021).
- U.S. Centers for Disease Control and Prevention (CDC). Overview of Testing for SARS-CoV-2 (COVID-19). 2021. Available online: https://www.cdc.gov/coronavirus/2019-ncov/hcp/testing-overview.html (accessed on 17 March 2021).
- U.S. Centers for Disease Control and Prevention (CDC). Coronavirus Disease 2019 (COVID-19) Guidelines for Clinical Specimens. 2020. Available online: https://www.cdc.gov/coronavirus/2019-nCoV/lab/guidelines-clinical-specimen (accessed on 21 March 2020).
- Li, C.; Zhao, C.; Bao, J.; Tang, B.; Wang, Y.; Gu, B. Laboratory diagnosis of coronavirus disease-2019 (COVID-19). Clin. Chim. Acta 2020, 510, 35–46. [Google Scholar] [CrossRef]
- World Health Organization (WHO). Coronavirus Disease (COVID-19) Technical Guidance: Laboratory Testing for 2019-nCoV in Humans. 2020. Available online: https://web.archive.org/web/20200315044138/https:/www.who.int/emergencies/diseases/novel-coronavirus-2019/technical-guidance/laboratory-guidance (accessed on 15 March 2020).
- World Health Organization (WHO). Laboratory Testing for 2019 Novel Coronavirus (2019-nCoV) in suspected human cases. Available online: https://www.who.int/publications/i/item/10665-331501 (accessed on 19 March 2020).
- U.S. National Institutes of Health (NIH). Testing for SARS-CoV-2 Infection. NIH VOVID-19 TREATMENT guidelines. 2021. Available online: https://www.covid19treatmentguidelines.nih.gov/overview/sars-cov-2-testing/ (accessed on 21 April 2021).
- Hojat, K.; Duppenthaler, A.; Aebi, C. Impact of the Availability of an Influenza Virus Rapid Antigen Test on Diagnostic Decision Making in a Pediatric Emergency Department. Pediatr. Emerg. Care 2013, 29, 696–698. [Google Scholar] [CrossRef]
- Jang, J.W.; Cho, C.H.; Nam, M.-H.; Yoon, S.Y.; Lee, C.K.; Lim, C.S.; Kim, W.J. Clinical Performance Evaluation of the Sofia RSV FIA Rapid Antigen Test for Diagnosis of Respiratory Syncytial Virus Infection. J. Clin. Microbiol. 2014, 53, 684–686. [Google Scholar] [CrossRef] [Green Version]
- U.S. Food and Drug Administration (FDA). In Vitro Diagnostic EUA. 2020. Available online: https://www.fda.gov/medical-devices/coronavirus-disease2019-covid-19-emergency-use-authorizations-medical-devices/vitro-diagnostics-euas (accessed on 28 August 2020).
- Bouassa, R.-S.M.; Veyer, D.; Péré, H.; Bélec, L. Analytical performances of the point-of-care SIENNA™ COVID-19 Antigen Rapid Test for the detection of SARS-CoV-2 nucleocapsid protein in nasopharyngeal swabs: A prospective evaluation during the COVID-19 second wave in France. Int. J. Infect. Dis. 2021, 106, 8–12. [Google Scholar] [CrossRef] [PubMed]
- Pilarowski, G.; Lebel, P.; Sunshine, S.; Liu, J.; Crawford, E.; Marquez, C.; Rubio, L.; Chamie, G.; Martinez, J.; Peng, J.; et al. Performance characteristics of a rapid SARS-CoV-2 antigen detection assay at a public plaza testing site in San Francisco. medRxiv 2020, 4. [Google Scholar] [CrossRef]
- Peeling, R.W.; Olliaro, P.L.; Boeras, D.I.; Fongwen, N. Scaling up COVID-19 rapid antigen tests: Promises and challenges. Lancet Infect. Dis. 2021, 21, e290–e295. [Google Scholar] [CrossRef]
- Pavelka, M.; Van-Zandvoort, K.; Abbott, S.; Sherratt, K.; Majdan, M.; Jarčuška, P.; Krajčí, M.; Flasche, S.; Funk, S.; CMMID COVID-19 working group; et al. The impact of population-wide rapid antigen testing on SARS-CoV-2 prevalence in Slovakia. Science 2021, 372, 635–641. [Google Scholar] [CrossRef]
- Guglielmi, G. Fast coronavirus tests: What they can and can’t do. Nature 2020, 585, 496–498. [Google Scholar] [CrossRef]
- Gambino, C.M.; Sasso, B.L.; Colomba, C.; Giglio, R.V.; Agnello, L.; Bivona, G.; Ciaccio, M. Comparison of a rapid immunochromatographic test with a chemiluminescence immunoassay for detection of anti-SARS-CoV-2 IgM and IgG. Biochem. Med. 2020, 30. [Google Scholar] [CrossRef]
- Mekonnen, D.; Mengist, H.M.; Derbie, A.; Nibret, E.; Munshea, A.; He, H.; Li, B.; Jin, T. Diagnostic accuracy of serological tests and kinetics of severe acute respiratory syndrome coronavirus 2 antibody: A systematic review and meta-analysis. Rev. Med Virol. 2020, 31, e2181. [Google Scholar] [CrossRef]
- Bastos, M.L.; Tavaziva, G.; Abidi, S.K.; Campbell, J.R.; Haraoui, L.-P.; Johnston, J.C.; Lan, Z.; Law, S.; MacLean, E.; Trajman, A.; et al. Diagnostic accuracy of serological tests for covid-19: Systematic review and meta-analysis. BMJ 2020, 370, m2516. [Google Scholar] [CrossRef] [PubMed]
- Espejo, A.P.; Akgun, Y.; Al Mana, A.; Tjendra, Y.; Millan, N.C.; Gomez-Fernandez, C.; Cray, C. Review of Current Advances in Serologic Testing for COVID-19. Am. J. Clin. Pathol. 2020, 154, 293–304. [Google Scholar] [CrossRef] [PubMed]
- Guo, L.; Ren, L.; Yang, S.; Xiao, M.; Chang, D.; Yang, F.; Cruz, C.S.D.; Wang, Y.; Wu, C.; Xiao, Y.; et al. Profiling Early Humoral Response to Diagnose Novel Coronavirus Disease (COVID-19). Clin. Infect. Dis. 2020, 71, 778–785. [Google Scholar] [CrossRef] [Green Version]
- Zhao, J.; Yuan, Q.; Wang, H.; Liu, W.; Liao, X.; Su, Y.; Wang, X.; Yuan, J.; Li, T.; Li, J.; et al. Antibody Responses to SARS-CoV-2 in Patients with Novel Coronavirus Disease 2019. Clin. Infect. Dis. 2020, 71, 2027–2034. [Google Scholar] [CrossRef]
- Burbelo, P.D.; Riedo, F.X.; Morishima, C.; Rawlings, S.; Smith, D.; Das, S.; Strich, J.R.; Chertow, D.S.; Davey Jr, R.T.; Cohen, J.I. Detection of Nucleocapsid Antibody to SARS-CoV-2 is More Sensitive than Antibody to Spike Protein in COVID-19 Patients. medRxiv 2020, 1. [Google Scholar] [CrossRef]
- Feng, Y. Clinical Value of SARS-CoV2 IgM and IgG Antibodies in Diagnosis of COVID-19 in Suspected Cases. J. Inflamm. Res. 2020, 13, 1089–1094. [Google Scholar] [CrossRef]
- U.S. Food and Drug Administration (FDA). Coronavirus (COVID-19) Update: FDA Authorizes First Point-of-Care Antibody Test for COVID-19. 2020. Available online: https://www.fda.gov/news-events/press-announcements/coronavirus-covid-19-update-fda-authorizes-first-point-care-antibody-test-covid-19 (accessed on 23 September 2020).
- Da Silva, S.J.R.; Da Silva, C.T.A.; Guarines, K.M.; Mendes, R.P.G.; Pardee, K.M.; Kohl, A.; Pena, L. Clinical and Laboratory Diagnosis of SARS-CoV-2, the Virus Causing COVID-19. ACS Infect. Dis. 2020, 6, 2319–2336. [Google Scholar] [CrossRef]
- Sheikhzadeh, E.; Eissa, S.; Ismail, A.; Zourob, M. Diagnostic techniques for COVID-19 and new developments. Talanta 2020, 220, 121392. [Google Scholar] [CrossRef]
- Yadav, S.; Sadique, M.A.; Ranjan, P.; Kumar, N.; Singhal, A.; Srivastava, A.K.; Khan, R. SERS Based Lateral Flow Immunoassay for Point-of-Care Detection of SARS-CoV-2 in Clinical Samples. ACS Appl. Bio Mater. 2021, 4, 2974–2995. [Google Scholar] [CrossRef]
- Liu, H.; Dai, E.; Xiao, R.; Zhou, Z.; Zhang, M.; Bai, Z.; Shao, Y.; Qi, K.; Tu, J.; Wang, C.; et al. Development of a SERS-based lateral flow immunoassay for rapid and ultra-sensitive detection of anti-SARS-CoV-2 IgM/IgG in clinical samples. Sens. Actuators B Chem. 2020, 329, 129196. [Google Scholar] [CrossRef] [PubMed]
- Koczula, K.M.; Gallotta, A. Lateral flow assays. Essays Biochem. 2016, 60, 111–120. [Google Scholar] [CrossRef]
- Kohn, J. An immunochromatographic technique. Immunology 1968, 15, 863–865. [Google Scholar] [PubMed]
- Andryukov, B.G. Six decades of lateral flow immunoassay: From determining metabolic markers to diagnosing COVID-19. AIMS Microbiol. 2020, 6, 280–304. [Google Scholar] [CrossRef]
- Laderman, E.I.; Whitworth, E.; Dumaual, E.; Jones, M.; Hudak, A.; Hogrefe, W.; Carney, J.; Groen, J. Rapid, Sensitive, and Specific Lateral-Flow Immunochromatographic Point-of-Care Device for Detection of Herpes Simplex Virus Type 2-Specific Immunoglobulin G Antibodies in Serum and Whole Blood. Clin. Vaccine Immunol. 2008, 15, 159–163. [Google Scholar] [CrossRef] [Green Version]
- O’Farrell, B. Evolution in Lateral Flow–Based Immunoassay Systems. Lateral Flow Immunoassay 2008, 1–33. [Google Scholar] [CrossRef]
- He, Y.; Zhang, S.; Zhang, X.; Baloda, M.; Gurung, A.S.; Xu, H.; Zhang, X.; Liu, G. Ultrasensitive nucleic acid biosensor based on enzyme–gold nanoparticle dual label and lateral flow strip biosensor. Biosens. Bioelectron. 2011, 26, 2018–2024. [Google Scholar] [CrossRef] [PubMed]
- Ang, G.Y.; Yu, C.Y.; Yean, C.Y. Ambient temperature detection of PCR amplicons with a novel sequence-specific nucleic acid lateral flow biosensor. Biosens. Bioelectron. 2012, 38, 151–156. [Google Scholar] [CrossRef] [PubMed]
- Liu, A.; Anfossi, L.; Shen, L.; Li, C.; Wang, X. Non-competitive immunoassay for low-molecular-weight contaminant detection in food, feed and agricultural products: A mini-review. Trends Food Sci. Technol. 2018, 71, 181–187. [Google Scholar] [CrossRef]
- Xing, K.-Y.; Shan, S.; Liu, D.-F.; Lai, W.-H. Recent advances of lateral flow immunoassay for mycotoxins detection. TrAC Trends Anal. Chem. 2020, 133, 116087. [Google Scholar] [CrossRef]
- Singh, J.; Sharma, S.; Nara, S. Evaluation of gold nanoparticle based lateral flow assays for diagnosis of enterobacteriaceae members in food and water. Food Chem. 2015, 170, 470–483. [Google Scholar] [CrossRef]
- Sun, Y.; Kuo, C.; Lu, C.; Lin, C. Review of recent advances in improved lateral flow immunoassay for the detection of pathogenic Escherichia coli O157: H7 in foods. J. Food Saf. 2020, 41. [Google Scholar] [CrossRef]
- Tominaga, T.; Ishii, M. Detection of microorganisms with lateral flow test strips. Methods Microbiol. 2020, 47, 351–394. [Google Scholar] [CrossRef]
- Ye, Y.; Su, W.; Zhang, J.; Huang, Y.; Chen, W. Development of a combined immunochromatographic lateral flow assay for accurate and rapid Escherichia coli O157:H7 detection. Lett. Appl. Microbiol. 2020, 71, 311–319. [Google Scholar] [CrossRef]
- Sperling, R.; Gil, P.R.; Zhang, F.; Zanella, M.; Parak, W.J. Biological applications of gold nanoparticles. Chem. Soc. Rev. 2008, 37, 1896–1908. [Google Scholar] [CrossRef] [PubMed]
- Yuan, Z.; Hu, C.-C.; Chang, H.-T.; Lu, C. Gold nanoparticles as sensitive optical probes. Analyst 2016, 141, 1611–1626. [Google Scholar] [CrossRef] [Green Version]
- Kang, H.; Buchman, J.T.; Rodriguez, R.S.; Ring, H.L.; He, J.; Bantz, K.C.; Haynes, C.L. Stabilization of Silver and Gold Nanoparticles: Preservation and Improvement of Plasmonic Functionalities. Chem. Rev. 2018, 119, 664–699. [Google Scholar] [CrossRef]
- Borse, V.B.; Konwar, A.N.; Jayant, R.D.; Patil, P.O. Perspectives of characterization and bioconjugation of gold nanoparticles and their application in lateral flow immunosensing. Drug Deliv. Transl. Res. 2020, 10, 878–902. [Google Scholar] [CrossRef] [PubMed]
- Chen, H.; Wang, X.; Sutrisno, L.; Zeng, T.; Kawazoe, N.; Yang, Y.; Chen, G. Folic Acid–Functionalized Composite Scaffolds of Gelatin and Gold Nanoparticles for Photothermal Ablation of Breast Cancer Cells. Front. Bioeng. Biotechnol. 2020, 8. [Google Scholar] [CrossRef]
- Petrakova, A.V.; Urusov, A.E.; Zherdev, A.; Dzantiev, B.B. Gold nanoparticles of different shape for bicolor lateral flow test. Anal. Biochem. 2018, 568, 7–13. [Google Scholar] [CrossRef]
- Mattiuzzi, C.; Henry, B.M.; Lippi, G. Making sense of rapid antigen testing in severe acute respiratory syndrome coronavirus 2 (SARS-CoV-2) diagnostics. Diagnosis 2020, 8, 27–31. [Google Scholar] [CrossRef]
- Yu, S.; Nimse, S.B.; Kim, J.; Song, K.-S.; Kim, T. Development of a Lateral Flow Strip Membrane Assay for Rapid and Sensitive Detection of the SARS-CoV-2. Anal. Chem. 2020, 92, 14139–14144. [Google Scholar] [CrossRef]
- Xiong, E.; Jiang, L.; Tian, T.; Hu, M.; Yue, H.; Huang, M.; Lin, W.; Jiang, Y.; Zhu, D.; Zhou, X. Simultaneous Dual-Gene Diagnosis of SARS-CoV-2 Based on CRISPR/Cas9-Mediated Lateral Flow Assay. Angew. Chem. Int. Ed. 2020, 60, 5307–5315. [Google Scholar] [CrossRef]
- Littlejohns, P. The UK Is Trialling Lateral Flow Testing for Covid-19—How Does It Work? NS Medical Devices. 2020. Available online: https://www.nsmedicaldevices.com/news/lateral-flow-test-covid-19/ (accessed on 6 November 2020).
- European Centre for Disease Prevention and Control (CDC). Population-Wide Testing of SARS-CoV-2: Country Experiences and Potential Approaches in the EU/EEA and the United Kingdom. 2020. Available online: https://www.ecdc.europa.eu/en/publications-data/population-wide-testing-sars-cov-2-country-experiences-and-potential-approaches (accessed on 19 August 2020).
- GOV.UK. Guidance: First Wave of Non-Machine Based Lateral Flow Technology (LFT) Assessment. 2021. Available online: https://welltreedx.com/main/first-wave-of-lateral-flow-test-and-non-machine-based-lft-assessment/ (accessed on 11 January 2021).
- GOV.UK. Oxford University and PHE Confirm High-Sensitivity of Lateral Flow Tests. 2020. Available online: https://www.gov.uk/government/news/oxford-university-and-phe-confirm-high-sensitivity-of-lateral-flow-tests (accessed on 11 November 2020).
- Peto, T.; Affron, D.; Afrough, B.; Agasu, A.; Ainsworth, M.; Allanson, A.; Allen, K.; Allen, C.; Archer, L.; Ashbridge, N.; et al. COVID-19: Rapid antigen detection for SARS-CoV-2 by lateral flow assay: A national systematic evaluation of sensitivity and specificity for mass-testing. EClinicalMedicine 2021, 36, 100924. [Google Scholar] [CrossRef]
- Iacobucci, G. Covid-19: Government ramps up “Moonshot” mass testing. BMJ 2020, 371. [Google Scholar] [CrossRef]
- Iacobucci, G.; Coombes, R. Covid-19: Government plans to spend £100bn on expanding testing to 10 million a day. BMJ 2020, 370. [Google Scholar] [CrossRef] [PubMed]
- Liverpool City Council. Mass Testing FAQs. 2020. Available online: https://liverpool.gov.uk/communities-and-safety/emergency-planning/coronavirus/how-to-get-tested/mass-testing-faqs/ (accessed on 11 November 2020).
- Iacobucci, G. Covid-19: Government rolls out twice weekly rapid testing to all in England. BMJ 2021, 373, n902. [Google Scholar] [CrossRef] [PubMed]
- Community Testing: A Guide for Local Delivery. 2021. Available online: www.gov.uk/government/publications/community-testing-explainer/community-testing-a-guide-for-local-delivery#what-the-community-testingprogramme-is (accessed on 24 February 2021).
- Wise, J. Covid-19: Lateral flow tests miss over half of cases, Liverpool pilot data show. BMJ 2020, 371, m4848. [Google Scholar] [CrossRef]
- Preliminary Report from the Joint PHE Porton Down and University of Oxford SARS-CoV-2 Test Development and Validation Cell: Rapid Evaluation of Lateral Flow Viral Antigen Detection Devices (LFDs) for Mass Community Testing. 2020. Available online: https://www.ox.ac.uk/sites/files/oxford/media_wysiwyg/UK%20evaluation_PHE%20Porton%20Down%20%20University%20of%20Oxford_final.pdf (accessed on 8 November 2020).
- Gill, M.; Gray, M. Mass testing for covid-19 in the UK. BMJ 2020, 371, m4487. [Google Scholar] [CrossRef]
- Wise, J. Covid-19: Concerns persist about purpose, ethics, and effect of rapid testing in Liverpool. BMJ 2020, 371, m4690. [Google Scholar] [CrossRef]
- Wise, J. Covid-19: Safety of lateral flow tests questioned after they are found to miss half of cases. BMJ 2020, 371, m4744. [Google Scholar] [CrossRef] [PubMed]
- Deeks, J.J.; Raffle, A.E. Lateral flow tests cannot rule out SARS- CoV-2 infection. BMJ 2020, 371, m4787. [Google Scholar] [CrossRef]
- Mahase, E. Covid-19: Lateral flow tests in care homes failed to stop outbreaks, finds study. BMJ 2021, 373, n1025. [Google Scholar] [CrossRef]
- Dinnes, J.; Deeks, J.J.; Adriano, A.; Berhane, S.; Davenport, C.; Dittrich, S.; Emperador, D.; Takwoingi, Y.; Cunningham, J.; Beese, S.; et al. Rapid, point-of-care antigen and molecular-based tests for diagnosis of SARS-CoV-2 infection. Cochrane Database Syst. Rev. 2020, 2020, CD013705. [Google Scholar] [CrossRef]
- Hayer, J.; Kasapic, D.; Zemmrich, C. Real-world clinical performance of commercial SARS-CoV-2 rapid antigen tests in suspected COVID-19: A systematic meta-analysis of available data as of November 20, 2020. Int. J. Infect. Dis. 2021, 108, 592–602. [Google Scholar] [CrossRef]
- Wen, T.; Huang, C.; Shi, F.-J.; Zeng, X.-Y.; Lu, T.; Ding, S.-N.; Jiao, Y.-J. Development of a lateral flow immunoassay strip for rapid detection of IgG antibody against SARS-CoV-2 virus. Analyst 2020, 145, 5345–5352. [Google Scholar] [CrossRef] [PubMed]
- Torjesen, I. Covid-19: How the UK is using lateral flow tests in the pandemic. BMJ 2021, 372, n287. [Google Scholar] [CrossRef] [PubMed]
- Fenollar, F.; Bouam, A.; Ballouche, M.; Fuster, L.; Prudent, E.; Colson, P.; Tissot-Dupont, H.; Million, M.; Drancourt, M.; Raoult, D.; et al. Evaluation of the Panbio COVID-19 Rapid Antigen Detection Test Device for the Screening of Patients with COVID-19. J. Clin. Microbiol. 2021, 59. [Google Scholar] [CrossRef]
- Bulilete, O.; Lorente, P.; Leiva, A.; Carandell, E.; Oliver, A.; Rojo, E. Evaluation of the Panbio™ rapid antigen test for SARS-CoV-2 in primary health care centers and test sites. medRxiv 2020. [CrossRef]
- Linares, M.; Pérez-Tanoira, R.; Carrero, A.; Romanyk, J.; Pérez-García, F.; Gómez-Herruz, P.; Arroyo, T.; Cuadros, J. Panbio antigen rapid test is reliable to diagnose SARS-CoV-2 infection in the first 7 days after the onset of symptoms. J. Clin. Virol. 2020, 133, 104659. [Google Scholar] [CrossRef] [PubMed]
- Albert, E.; Torres, I.; Bueno, F.; Huntley, D.; Molla, E.; Fernández-Fuentes, M.; Martínez, M.; Poujois, S.; Forqué, L.; Valdivia, A.; et al. Field evaluation of a rapid antigen test (Panbio™ COVID-19 Ag Rapid Test Device) for COVID-19 diagnosis in primary healthcare centres. Clin. Microbiol. Infect. 2020, 27, 472.e7–472.e10. [Google Scholar] [CrossRef] [PubMed]
- Torres, I.; Poujois, S.; Albert, E.; Colomina, J.; Navarro, D. Evaluation of a rapid antigen test (Panbio™ COVID-19 Ag rapid test device) for SARS-CoV-2 detection in asymptomatic close contacts of COVID-19 patients. Clin. Microbiol. Infect. 2021, 27, 636.e1–636.e4. [Google Scholar] [CrossRef] [PubMed]
- Corman, V.M.; Haage, V.C.; Bleicker, T.; Schmidt, M.L.; Mühlemann, B.; Zuchowski, M.; Jo, W.K.; Tscheak, P.; Möncke-Buchner, E.; Müller, M.A.; et al. Comparison of seven commercial SARS-CoV-2 rapid point-of-care antigen tests: A single-centre laboratory evaluation study. Lancet Microbe 2021, 2, e311–e319. [Google Scholar] [CrossRef]
- Baro, B.; Rodo, P.; Ouchi, D.; Bordoy, A.E.; Amaro, E.N.S.; Salsench, S.V.; Molinos, S.; Alemany, A.; Ubals, M.; Corbacho-Monné, M.; et al. Performance characteristics of five antigen-detecting rapid diagnostic test (Ag-RDT) for SARS-CoV-2 asymptomatic infection: A head-to-head benchmark comparison. J. Infect. 2021, 82, 269–275. [Google Scholar] [CrossRef]
- Meng, Q.-B.; Peng, J.-J.; Wei, X.; Yang, J.-Y.; Li, P.-C.; Qu, Z.-W.; Xiong, Y.-F.; Wu, G.-J.; Hu, Z.-M.; Yu, J.-C.; et al. Clinical application of combined detection of SARS-CoV-2-specific antibody and nucleic acid. World J. Clin. Cases 2020, 8, 4360–4369. [Google Scholar] [CrossRef]
- Wu, J.-L.; Tseng, W.-P.; Lin, C.-H.; Lee, T.-F.; Chung, M.-Y.; Huang, C.-H.; Chen, S.-Y.; Hsueh, P.-R.; Chen, S.-C. Four point-of-care lateral flow immunoassays for diagnosis of COVID-19 and for assessing dynamics of antibody responses to SARS-CoV-2. J. Infect. 2020, 81, 435–442. [Google Scholar] [CrossRef]
- Chen, S.-Y.; Lee, Y.-L.; Lin, Y.-C.; Lee, N.-Y.; Liao, C.-H.; Hung, Y.-P.; Lu, M.-C.; Wu, J.-L.; Tseng, W.-P.; Lin, C.-H.; et al. Multicenter evaluation of two chemiluminescence and three lateral flow immunoassays for the diagnosis of COVID-19 and assessment of antibody dynamic responses to SARS-CoV-2 in Taiwan. Emerg. Microbes Infect. 2020, 9, 2157–2168. [Google Scholar] [CrossRef] [PubMed]
- Dortet, L.; Emeraud, C.; Vauloup-Fellous, C.; Khecharem, M.; Ronat, J.-B.; Fortineau, N.; Roque-Afonso, A.-M.; Naas, T. Rapid Determination of SARS-CoV-2 antibodies using a bedside, point-of-Care, serological test. Emerg. Microbes Infect. 2020, 9, 2212–2221. [Google Scholar] [CrossRef]
- Pérez-García, F.; Pérez-Tanoira, R.; Romanyk, J.; Arroyo, T.; Gómez-Herruz, P.; Cuadros-González, J. Alltest rapid lateral flow immunoassays is reliable in diagnosing SARS-CoV-2 infection from 14 days after symptom onset: A prospective single-center study. J. Clin. Virol. 2020, 129, 104473. [Google Scholar] [CrossRef] [PubMed]
- Nicol, T.; Lefeuvre, C.; Serri, O.; Pivert, A.; Joubaud, F.; Dubée, V.; Kouatchet, A.; Ducancelle, A.; Lunel-Fabiani, F.; Le Guillou-Guillemette, H. Assessment of SARS-CoV-2 serological tests for the diagnosis of COVID-19 through the evaluation of three immunoassays: Two automated immunoassays (Euroimmun and Abbott) and one rapid lateral flow immunoassay (NG Biotech). J. Clin. Virol. 2020, 129, 104511. [Google Scholar] [CrossRef] [PubMed]
- Charpentier, C.; Ichou, H.; Damond, F.; Bouvet, E.; Chaix, M.-L.; Ferré, V.; Delaugerre, C.; Mahjoub, N.; Larrouy, L.; Le Hingrat, Q.; et al. Performance evaluation of two SARS-CoV-2 IgG/IgM rapid tests (Covid-Presto and NG-Test) and one IgG automated immunoassay (Abbott). J. Clin. Virol. 2020, 132, 104618. [Google Scholar] [CrossRef]
- Chen, Z.; Zhang, Z.; Zhai, X.; Li, Y.; Lin, L.; Zhao, H.; Bian, L.; Li, P.; Yu, L.; Wu, Y.; et al. Rapid and Sensitive Detection of anti-SARS-CoV-2 IgG, Using Lanthanide-Doped Nanoparticles-Based Lateral Flow Immunoassay. Anal. Chem. 2020, 92, 7226–7231. [Google Scholar] [CrossRef]
- Wang, D.; He, S.; Wang, X.; Yan, Y.; Liu, J.; Wu, S.; Liu, S.; Lei, Y.; Chen, M.; Li, L.; et al. Rapid lateral flow immunoassay for the fluorescence detection of SARS-CoV-2 RNA. Nat. Biomed. Eng. 2020, 4, 1150–1158. [Google Scholar] [CrossRef] [PubMed]
- Wang, C.; Yang, X.; Gu, B.; Liu, H.; Zhou, Z.; Shi, L.; Cheng, X.; Wang, S. Sensitive and Simultaneous Detection of SARS-CoV-2-Specific IgM/IgG Using Lateral Flow Immunoassay Based on Dual-Mode Quantum Dot Nanobeads. Anal. Chem. 2020, 92, 15542–15549. [Google Scholar] [CrossRef]
- Milenia Biotec. Lateral Flow Test Development for COVID-19 based on Nucleic Acid Detection. 2020. Available online: https://www.milenia-biotec.com/en/covid-19-rapid-test-development/ (accessed on 26 October 2020).
- Zhang, F.; Abudayyeh, O.O.; Gootenberg, J.S. A protocol for detection of COVID-19 using CRISPR diagnostics. 2020. Available online: https://www.broadinstitute.org/files/publications/special/COVID-19%20detection%20(updated).pdf (accessed on 21 March 2020).
- Joung, J.; Ladha, A.; Saito, M.; Segel, M.; Bruneau, R.; Huang, M.L.W.; Kim, N.G.; Yu, X.; Li, J.; Walker, B.D.; et al. Point-of-care testing for COVID-19 using SHERLOCK diagnostics. medRxiv 2020. [Google Scholar] [CrossRef]
- Broughton, J.P.; Deng, X.; Yu, G.; Fasching, C.L.; Servellita, V.; Singh, J.; Miao, X.; Streithorst, J.A.; Granados, A.; Sotomayor-Gonzalez, A.; et al. CRISPR–Cas12-based detection of SARS-CoV-2. Nat. Biotechnol. 2020, 38, 870–874. [Google Scholar] [CrossRef] [Green Version]
- Khlebtsov, B.; Khlebtsov, N. Surface-Enhanced Raman Scattering-Based Lateral-Flow Immunoassay. Nanomaterials 2020, 10, 2228. [Google Scholar] [CrossRef]
- Kukushkin, V.; Ivanov, N.M.; Novoseltseva, A.A.; Gambaryan, A.S.; Yaminsky, I.V.; Kopylov, A.M.; Zavyalova, E.G. Highly sensitive detection of influenza virus with SERS aptasensor. PLoS ONE 2019, 14, e0216247. [Google Scholar] [CrossRef] [Green Version]
- Liu, D.; Shen, H.; Zhang, Y.; Shen, D.; Zhu, M.; Song, Y.; Zhu, Z.; Yang, C.J. A microfluidic-integrated lateral flow recombinase polymerase amplification (MI-IF-RPA) assay for rapid COVID-19 detection. Lab Chip 2021, 21, 2019–2026. [Google Scholar] [CrossRef] [PubMed]
- Xiao, M.; Xie, K.; Dong, X.; Wang, L.; Huang, C.; Xu, F.; Xiao, W.; Jin, M.; Huang, B.; Tang, Y. Ultrasensitive detection of avian influenza A (H7N9) virus using surface-enhanced Raman scattering-based lateral flow immunoassay strips. Anal. Chim. Acta 2018, 1053, 139–147. [Google Scholar] [CrossRef] [PubMed]
- Lateral Flow Assays Market by Application (Clinical Testing (Pregnancy, Infectious Diseases (Mosquito, Influenza, STI, Hepatitis, TB) Cardiac Marker Lipid Test) Veterinary, Food Safety), Product, Technique, End User—Global Forecast to 2025. 2020. Available online: https://www.marketsandmarkets.com/Market-Reports/lateral-flow-assay-market-167205133.html (accessed on 20 November 2020).
- The Business Research Company. Global COVID 19 Rapid Test Kits Market Size, Share, Trends, Strategies. 2020. Available online: https://www.thebusinessresearchcompany.com/report-preview1.aspx?Rid=covid%2019%20rapid%20test%20kits%20market (accessed on 27 December 2020).
- GlobeNewswire News Room. Rapid Test Kit Market for COVID-19 to Reach USD 3.91 Billion by 2027. Reports and Data. 2020. Available online: https://www.globenewswire.com/news-release/2020/04/28/2023339/0/en/Rapid-Test.-Kit-Market.-For.-COVID-19-To-Reach-USD-3-91-Billion-By-2027-Reports-and-Data.html (accessed on 28 April 2020).
- GlobeNewswire News Room. COVID-19 Rapid Test Kits Manufacturing to Increase Due to Testing of People with Mild Symptoms. 2020. Available online: https://www.globenewswire.com/news-release/2020/09/03/2088347/0/en/COVID-19-Rapid-Test.-Kits-Manufacturing-To-Increase-Due-To-Testing-Of-People-With-Mild-Symptoms.html (accessed on 3 September 2020).
- Rubin, R. The Challenges of Expanding Rapid Tests to Curb COVID-19. JAMA 2020, 324, 1813–1815. [Google Scholar] [CrossRef] [PubMed]




| Product Marks | Company | Detection Target (Protein Labeled) | No. of Clinical Samples Detected | Sensitivity & Specificity | References |
|---|---|---|---|---|---|
| Wondfo SARS-CoV-2 Antibody Test | Wondfo Biotech Co., Ltd., Guangzhou, China | Total antibody (Spike) | 346 serum samples (74 patients reported at least one COVID- 19-compatible symptom | Sensitivity: 91% (86–95%) Specificity: 100% (98–100%) after 21 days after COVID-19 symptom onset | [133] |
| 74 patients (16 positive, 58 negative) | IgM-IgG Sensitivity: 91% (72–99%) Specificity: 100% (72–100%) during 15–21 days after COVID-19 symptom onset | [132] | |||
| ASK COVID-19 IgG/IgM Rapid Test | TONYAR Biotech Inc. Taiwan | IgG/IgM (Spike) | 346 serum samples (74 patients reported at least one COVID- 19-compatible symptom | Sensitivity: 97% (95–99%) Specificity: 100% (98–100.0%) after 21 days after COVID-19 symptom onset | [133] |
| 74 patients (16 positive, 58 negative) | Sensitivity: 87% (66–97%) Specificity: 100% (72–100%) during 15–21 days after COVID-19 symptom onset | [132] | |||
| Dynamiker 2019-nCoV IgG/IgM Rapid Test | Dynamiker Biotechnology Co., Ltd., Tianjin, China | IgG/IgM (Nucleocapsid) | 346 serum samples (74 patients reported at least one COVID- 19-compatible symptom | Sensitivity: 90% (84–94%) Specificity: 100% (98–100%) after 21 days after COVID-19 symptom onset | [133] |
| 74 patients (16 positive, 58 negative) | Sensitivity: 87% (66–97%) Specificity: 100% (72–100%) during 15–21 days after COVID-19 symptom onset | [132] | |||
| AllTest 2019-nCoV IgG/IgM Rapid Test | AllTest Biotech Co., Ltd. Hangzhou, China | IgG/IgM (Nucleocapsid) | 74 patients (16 positive, 58 negative) | Sensitivity: 96% (78–100%) Specificity: 100% (72–100%) during 15–21 days after COVID-19 symptom onset | [132] |
| 251 patients 100 (randomly selected group; negative control) 90 (PCR was positive for SARS-CoV-2; positive subject) 61 samples with clinical diagnosis of pneumonia of unknown etiology that were negative for SARS-CoV-2 by PCR | IgM and IgG Sensitivity: 88% (76–96%) Data collected from the group of PCR positive and after 14 days after COVID-19 symptom onset Specificity: 100% (97–100%) (data collected from randomly selected group; 100 patients) | [135] | |||
| NG-Test® IgG-IgM COVID All-in-One cassette | NG Biotech Laboratoires, Guipry, France | IgG/IgM (Nucleocapsid) | 293 sera 50 negative samples 141 positive samples 102 collected for assay specificity | IgM Sensitivity: 72% (54–85%) (10–14 days) Sensitivity: 100% (96–100%) (>14 days) Specificity: 95% (91–98%) IgG Sensitivity: 69% (51–83%) (10–14 days) Sensitivity: 100% (96–100%) (>14 days) Specificity: 98% (94–99%) IgM or IgG Sensitivity: 72% (54–85%) (10–14 days) Sensitivity: 100% (96–100%) (>14 days) Specificity: 95% (91–98%) | [136] |
| 262 sera 54 negative samples 88 positive samples 120 samples collected for assay specificity | IgM Sensitivity: 100% (10–14 days) Sensitivity: 97% (>14 days) Specificity: 87% IgG Sensitivity: 96% (10–14 days) Sensitivity: 97% (>14 days) Specificity: 95% | [137] | |||
| 151 patients (256 sera) 101 positive patients 22 negative patients (Health) 28 patients collected for assay specificity | IgM-IgG after 14 days after COVID-19 symptom onset Sensitivity: 92% (82–97%) Specificity: 100% (91–100%) after 21 days after COVID-19 symptom onset Sensitivity: 99% (94–100%) Specificity: 100% (91–100%) | [134] | |||
| COVID-Presto® test rapid COVID-19 IgG/IgM | AAZ, Boulogne-Billancourt, France | IgG/IgM (Nucleocapsid) | 262 sera 54 negative samples 88 positive samples 120 samples collected for assay specificity | IgM Sensitivity: 88% (10–14 days) Sensitivity: 76% (>14 days) Specificity: 100% IgG Sensitivity: 94% (10–14 days) Sensitivity: 100% (>14 days) Specificity: 92% | [137] |
| INNOVA SARS-CoV-2 Rapid Antigen Lateral Flow Qualitative Test Kit | Biotechnology Co., Tangshan, China | IgG/IgM (Nucleocapsid) | 652 suspected COVID-19 patients and 206 non-COVID-19 patients in Wuhan (China) | IgM-IgG Sensitivity: 95.8% Specificity: 98.5% Accuracy: 97.1% Of the 415 suspected COVID-19 patients with negative nucleic acid test results, 366 had positive IgM/IgG tests with a positive detection rate of 88.2% | [131] |
| Signal Detecting | Assay Format | Targets for Detection | Sensitivity or Limits of Detection | Specimens | Remarks | References |
|---|---|---|---|---|---|---|
| Fluorescent signal | LFA membrane and fluorescent reader (fluorescent signal) | Viral genes of RNA-dependent RNA polymerase (RdRp), ORF3a (open reading frame 3a), N (nucleocapsid) | 10 copies/test dependent on target Cy5-labeled PCR products | Nasopharyngeal swabs (RT-PCR product) | 162 clinical samples (62 positive, 100 negative) 94–100% positive agreement 96–100% negative agreement | [101] |
| Lanthanide-Doped Nanoparticles-Based LFA (fluorescent signal) | IgG | Not mentioned | Serum | 19 clinical samples (7 positive, 12 negative) | [138] | |
| Europium-chelate-based fluorescent nanoparticles LFA (fluorescent signal) | Viral mRNA of open reading frame 1ab (ORF1ab), E (envelope protein), and N (nucleocapsid) mRNA | Not mentioned | Throat swabs Sputum (Viral RNA) DNA–RNA hybrids | 734 samples (593 throat swabs and 141 sputa; 249 positive, 485 negative) Sensitivities of 100% Specificities of 99% | [139] | |
| LFA-based on dual-mode quantum dot nanobeads (colorimetric and fluorescent signals) | SARS-CoV-2 IgM and IgG | Positive serum was determined to be 1:106 dilution by fluorescence values. | Serum | 57 clinical samples (16 positive, 41 negative) Sensitivities of 100% Specificities of 100% | [140] | |
| Colorimetric signal | CRISPR/Cas9-mediated LFA (colorimetric signal) | Viral open reading frame 1ab (Orf1ab) E (envelope protein) | 100 RNA copies per reaction (25 μL). | Nasopharyngeal swabs Multiplex reverse transcription-recombinase polymerase amplification (RT-RPA). | 64 clinical samples (35 positive, 29 negative) 100% negative predictive agreement (NPA) 97.14% positive predictive agreement (PPA). | [102] |
| CRISPR/Cas12-based DETECTR assay (colorimetric signal) | Viral E gene N gene Human RNase P gene as a control | Not mentioned | Nasopharyngeal swabs | 78 clinical samples (36 positive, 42 negative) 95% positive predictive agreement; 100% negative predictive agreement | [141] | |
| Amplicon detection via the LFT Milenia “HybriDetect” | LFT for COVID-19 based on nucleic acid detection | 10 RNA copies per reaction | Saliva Nasopharyngeal swabs | Not mentioned | [144] | |
| Microfluidic-integrated lateral flow recombinase polymerase amplification (MI-IF-RPA) assay (colorimetric signal) | LFT for COVID-19 based on nucleic acid detection | 1 copy RNA per μL, or 30 copies per sample | Throat/nasopharyngeal swabs | 54 clinically confirmed patient samples (37 positive and 17 negative COVID-19) Sensitivity of 97% Specificity of 100% | [147] | |
| Raman signal | Surface-enhanced Raman scattering (SERS)-based LFIA (Raman signal) | SARS-CoV-2 IgM and IgG | 105–106 folds diluted serum (800 times higher than that of standard AuNP-based LFIA) | Serum | 68 clinical samples (19 positive, 49 negative) High sensitivity and specificity; both are dependent on the target concentration applied. | [80] |
Publisher’s Note: MDPI stays neutral with regard to jurisdictional claims in published maps and institutional affiliations. |
© 2021 by the authors. Licensee MDPI, Basel, Switzerland. This article is an open access article distributed under the terms and conditions of the Creative Commons Attribution (CC BY) license (https://creativecommons.org/licenses/by/4.0/).
Share and Cite
Hsieh, W.-Y.; Lin, C.-H.; Lin, T.-C.; Lin, C.-H.; Chang, H.-F.; Tsai, C.-H.; Wu, H.-T.; Lin, C.-S. Development and Efficacy of Lateral Flow Point-of-Care Testing Devices for Rapid and Mass COVID-19 Diagnosis by the Detections of SARS-CoV-2 Antigen and Anti-SARS-CoV-2 Antibodies. Diagnostics 2021, 11, 1760. https://doi.org/10.3390/diagnostics11101760
Hsieh W-Y, Lin C-H, Lin T-C, Lin C-H, Chang H-F, Tsai C-H, Wu H-T, Lin C-S. Development and Efficacy of Lateral Flow Point-of-Care Testing Devices for Rapid and Mass COVID-19 Diagnosis by the Detections of SARS-CoV-2 Antigen and Anti-SARS-CoV-2 Antibodies. Diagnostics. 2021; 11(10):1760. https://doi.org/10.3390/diagnostics11101760
Chicago/Turabian StyleHsieh, Wen-Yeh, Cheng-Han Lin, Tzu-Ching Lin, Chao-Hsu Lin, Hui-Fang Chang, Chin-Hung Tsai, Hsi-Tien Wu, and Chih-Sheng Lin. 2021. "Development and Efficacy of Lateral Flow Point-of-Care Testing Devices for Rapid and Mass COVID-19 Diagnosis by the Detections of SARS-CoV-2 Antigen and Anti-SARS-CoV-2 Antibodies" Diagnostics 11, no. 10: 1760. https://doi.org/10.3390/diagnostics11101760
APA StyleHsieh, W.-Y., Lin, C.-H., Lin, T.-C., Lin, C.-H., Chang, H.-F., Tsai, C.-H., Wu, H.-T., & Lin, C.-S. (2021). Development and Efficacy of Lateral Flow Point-of-Care Testing Devices for Rapid and Mass COVID-19 Diagnosis by the Detections of SARS-CoV-2 Antigen and Anti-SARS-CoV-2 Antibodies. Diagnostics, 11(10), 1760. https://doi.org/10.3390/diagnostics11101760

