Numerical Research on Pressure Fluctuation Characteristics of Small-Scale and High-Speed Automotive Pump
Abstract
1. Introduction
2. Numerical Considerations
2.1. Geometric Model
2.2. Numerical Methods
2.3. Mesh Generation and Validation
2.4. Time Step Size Validation
2.5. Validation of Calculation Results
3. Results and Discussions
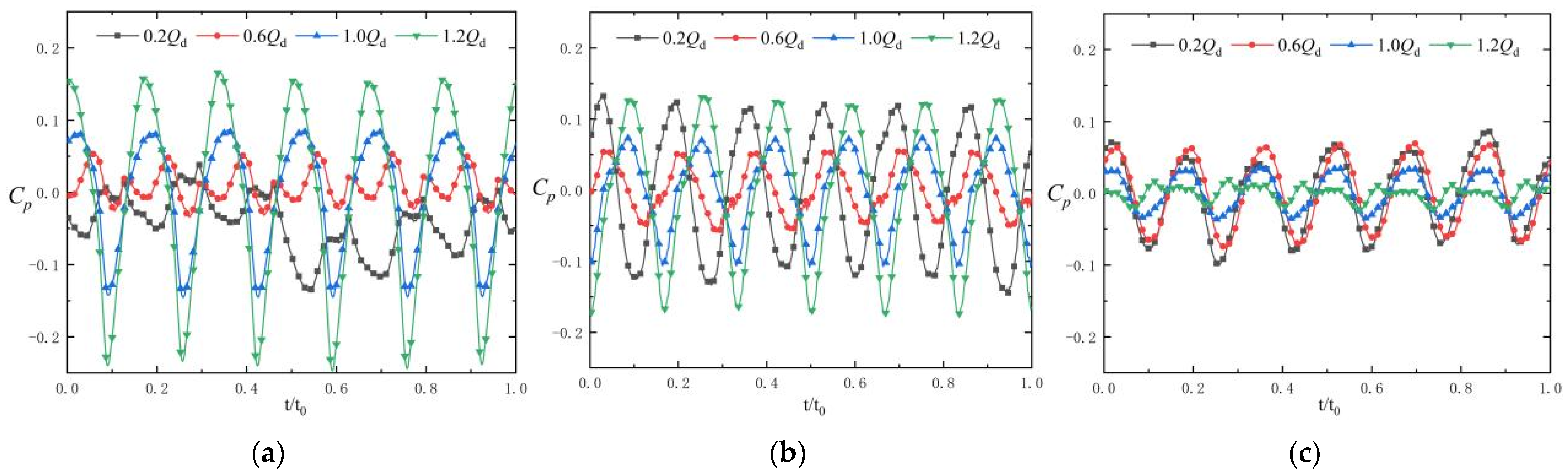
3.1. Pressure Fluctuations at the Impeller Outlet
3.2. Pressure Fluctuations at the Volute
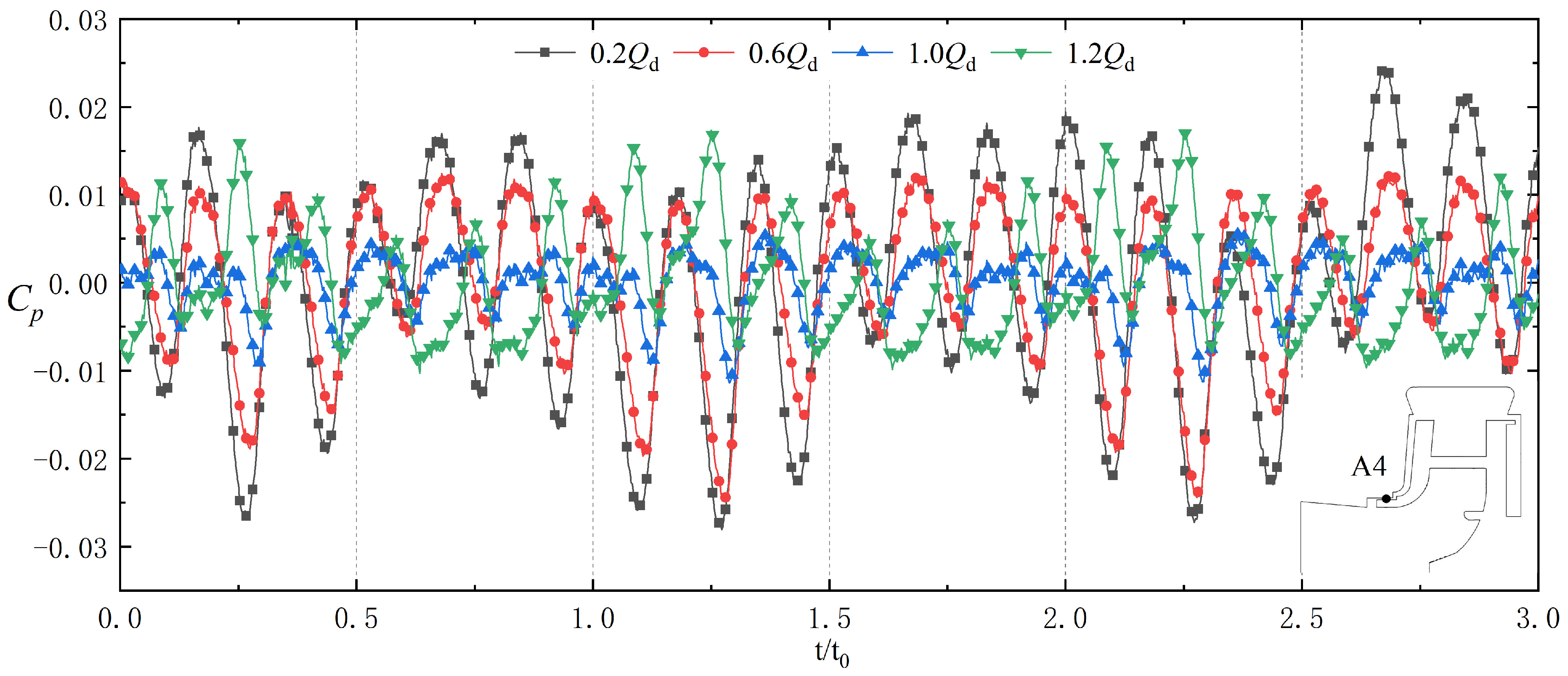
3.3. Pressure Fluctuations in the Clearance Flow Region
4. Conclusions
- (1)
- The pressure fluctuation characteristics are mainly dominated by the rotor–stator interaction between the impeller and the tongue in the main flow area of the pump. A comparison of the pressure fluctuations of the impeller and the volute shows that the pressure fluctuation intensity in the near-field region of the tongue is high and exhibits no attenuation, while the pressure fluctuation intensity of the far-field region of the tongue is weakened and exhibits significant attenuation.
- (2)
- The pressure fluctuations in the front cavity are mainly dominated by the rotor–stator interaction between the impeller and the tongue. The pressure amplitude, as well as the intensity of pressure fluctuations, increases with an increase in the radial distance.
- (3)
- The complex internal flow in the wear ring leads to a periodic weakening of the pressure fluctuations. The pressure fluctuations are mainly dominated by the rotor–stator interaction between the impeller and the tongue, and at the same time, they are impacted by the combined effect of the rotor–stator interaction of the wear ring and the unsteady flow characteristics.
- (4)
- Compared with other centrifugal pumps, the near-field region of the tongue at the impeller outlet of small-scale, high-speed automotive pumps contains greater high-frequency energy, particularly at large flow rates. The intensity of pressure fluctuations in the near-field region of the tongue is higher, whereas the attenuation of pressure fluctuations in the far-field region of the tongue is greater.
Author Contributions
Funding
Data Availability Statement
Acknowledgments
Conflicts of Interest
Glossary
| Nomenclature | |
| Cp | Pressure fluctuation coefficient (-) |
| D1 | Impeller inlet diameter (mm) |
| D2 | Impeller outlet diameter (mm) |
| fBPF | Blade passing frequency (Hz) |
| fn | Rotating frequency (Hz) |
| H | Head (m) |
| Hd | Design head (m) |
| Q | Flow rate (L/min) |
| Qd | Design flow rate (L/min) |
| n | Rotation speed (r/min) |
| η | Efficiency (%) |
| p | Static pressure (Pa) |
| Time average static pressures | |
| ρ | Density (kg/m3) |
| u2 | Impeller circumferential velocity (m/s) |
| T | Initial moment (s) |
| Z | Number of blade (-) |
| Δt | Time step size (s) |
| Abbreviations | |
| CFD | Computational fluid dynamics |
| MRF | Multiple Reference Frame |
| TS | Time step |
| FFT | Fast Fourier transformation |
References
- Tsukamoto, H.; Uno, M.; Nagal, Y.; Fukuno, H.; Hamafuku, N.; Okamura, T. Pressure fluctuation downstream of a diffuser pump impeller. Trans. Jpn. Soc. Mech. Eng. Ser. 1995, 61, 2149–2156. [Google Scholar] [CrossRef]
- Baun, D.O.; Köstner, L.; Flack, R.D. Effect of relative impeller-to-volute position on hydraulic efficiency and static radial force distribution in a circular volute centrifugal pump. J. Fluids Eng. 2000, 122, 598–605. [Google Scholar] [CrossRef]
- Li, W.; Wu, P.; Yang, Y.; Shi, W.; Li, W. Investigation of the cavitation performance in an engine cooling water pump at different temperature. Proc. Inst. Mech. Eng. Part A 2021, 235, 1094–1102. [Google Scholar] [CrossRef]
- Ni, Y.Y.; Wang, X.; Pan, Z.Y. Numerical analysis and experimental investigation on impeller-volute match characteristics. J. Mech. Sci. Technol. 2022, 36, 5491–5500. [Google Scholar] [CrossRef]
- Shim, H.S.; Kim, K.Y. Effects of the number of blades on impeller-volute interaction and flow instability of a centrifugal pump. Proc. Inst. Mech. Eng. Part A 2022, 236, 1500–1517. [Google Scholar] [CrossRef]
- Zhang, Y.L.; Li, J.F.; Wang, T.; Xiao, J.J.; Jia, X.Q.; Zhang, L. Pressure distribution on the inner wall of the volute casing of a centrifugal pump. Sci. Technol. Nucl. Install. 2022, 2022, 3563459. [Google Scholar] [CrossRef]
- Shi, F.; Tsukamoto, H. Numerical study of pressure fluctuations caused by impeller-diffuser interaction in a diffuser pump stage. J. Fluids Eng. 2001, 123, 466–474. [Google Scholar] [CrossRef]
- Chen, X.P.; Zhou, X.J.; Li, Y. Rotational stall and pressure fluctuations in centrifugal pump impellers with transient flow rates. Phys. Fluids 2025, 37, 035209. [Google Scholar] [CrossRef]
- Tu, Y.S.; Zhao, X.Y.; Lu, L.F.; Zhou, W.J.; Li, S.W.; Dai, J.; Wang, Z.Z.; Zheng, Y.; Yang, C.X. Flow characteristics and pressure pulsation analysis of cavitation induced in a double-volute centrifugal pump. Water 2025, 17, 445. [Google Scholar] [CrossRef]
- Ye, D.X.; Wu, J.C.; Liu, A.L.; Chen, J.L.; Zhai, F.L.; Lai, X.D. Investigation of unsteady pressure pulsations of reactor coolant pump passage under flow coast-down. Machines 2023, 11, 55. [Google Scholar] [CrossRef]
- Ye, W.X.; Geng, C.; Luo, X.W. Unstable flow characteristics in vaneless region with emphasis on the rotor-stator interaction for a pump turbine at pump mode using large runner blade lean. Renew. Energy 2022, 185, 1343–1361. [Google Scholar] [CrossRef]
- González, J.; Parrondo, J.; Santolaria, C.; Blanco, E. Steady and unsteady radial forces for a centrifugal pump with impeller to tongue gap variation. J. Fluids Eng. 2006, 128, 454–462. [Google Scholar] [CrossRef]
- Oro, J.M.F.; Perotti, R.B.; Vega, M.G.; González, J. Effect of the radial gap size on the deterministic flow in a centrifugal pump due to impeller-tongue interactions. Energy 2023, 278, 127820. [Google Scholar]
- Barrio, R.; Blanco, E.; Parrondo, J.; González, J.; Fernández, J. The effect of impeller cutback on the fluid-dynamic pulsations and load at the blade-passing frequency in a centrifugal pump. J. Fluids Eng. 2008, 130, 111102. [Google Scholar] [CrossRef]
- Li, D.L.; Zhang, N.; Jiang, J.X.; Gao, B.; Alubokin, A.A.; Zhou, W.L. Numerical investigation on the unsteady vortical structure and pressure pulsations of a centrifugal pump with the vaned diffuser. Int. J. Heat Fluid Flow 2022, 2022, 109050. [Google Scholar] [CrossRef]
- Zhang, N.; Jiang, J.X.; Gao, B.; Liu, X.K. DDES analysis of unsteady flow evolution and pressure pulsation at off-design condition of a centrifugal pump. Renew. Energy 2020, 153, 193–204. [Google Scholar] [CrossRef]
- Zheng, L.L.; Chen, X.P.; Zhang, W.; Zhu, Z.C.; Qu, J.L.; Wang, M.M.; Ma, X.J.; Cheng, X.L. Investigation on characteristics of pressure fluctuation in a centrifugal pump with clearance flow. J. Mech. Sci. Technol. 2020, 34, 3657–3666. [Google Scholar] [CrossRef]
- Lu, J.X.; Luo, Z.Y.; Chen, Q.; Liu, X.B.; Zhu, B.S. Study on pressure pulsation induced by cavitation at the tongue of the volute in a centrifugal pump. Arabian J. Sci. Eng. 2022, 47, 16033–16048. [Google Scholar] [CrossRef]
- Zhang, N.; Li, D.L.; Ni, D.; Li, Z. Unsteady pressure pulsations in pumps—A review. Energies 2023, 16, 150. [Google Scholar] [CrossRef]
- Zheng, L.L.; Chen, X.P.; Qu, J.L.; Ma, X.J. A review of pressure fluctuations in centrifugal pumps without or with clearance flow. Processes 2023, 11, 856. [Google Scholar] [CrossRef]
- Si, Q.R.; Shen, C.H.; He, X.K.; Li, H.; Huang, K.L.; Yuan, J.P. Numerical and experimental study on the flow-induced noise characteristics of high-speed centrifugal pumps. Appl. Sci. 2020, 10, 3105. [Google Scholar] [CrossRef]
- Shen, C.H.; Zhang, H.Y.; Si, Q.R.; Xia, S.J.; Huang, K.L.; Yuan, J.P. Numerical simulation of unstable flow in cooling pump of internal combustion engine. In Proceedings of the 2019 5th International Conference on Energy Equipment Science and Engineering, Harbin, China, 29 November–1 December 2019. [Google Scholar]
- Li, W.; Wang, C.; Shi, W.D.; Zhao, X.F.; Yang, Y.F.; Pei, B. Numerical calculation and optimization designs in engine cooling water pump. J. Mech. Sci. Technol. 2017, 31, 2319–2329. [Google Scholar]
- Si, Q.R.; Lu, R.; Shen, C.H.; Xia, S.J.; Sheng, G.C.; Yuan, J.P. An intelligent CFD-based optimization system for fluid machinery: Automotive electronic pump case application. Appl. Sci. 2020, 10, 366. [Google Scholar] [CrossRef]
- Li, W.; Zhao, X.F.; Li, W.Q.; Shi, W.D.; Ji, L.L.; Zhou, L. Numerical prediction and performance experiment in an engine cooling water pump with different blade outlet widths. Math. Probl. Eng. 2017, 2017, 8945712. [Google Scholar] [CrossRef]
- Tan, L.B.; Yuan, Y.J.; Zhang, M. Hydraulic performance prediction and optimization of an engine cooling water pump using computational fluid dynamic analysis. PLoS ONE 2021, 16, 0253309. [Google Scholar] [CrossRef] [PubMed]
- Li, W.; Ji, L.L.; Ma, L.L.; Yang, Y.F.; Zhou, L.; Agarwal, R.K. Numerical and experimental study of variable speed automobile engine cooling water pump. Sci. Prog. 2020, 103, 0036850420925227. [Google Scholar] [CrossRef] [PubMed]
- Sonawat, A.; Kim, S.; Ma, S.B.; Kim, S.J.; Lee, J.B.; Yu, M.S.; Kim, J.H. Investigation of unsteady pressure fluctuations and methods for its suppression for a double suction centrifugal pump. Energy 2022, 252, 124020. [Google Scholar] [CrossRef]
- Chen, X.P.; Zhang, Z.G.; Huang, J.M.; Zhou, X.J.; Zhu, Z.C. Numerical investigation on energy change field in a centrifugal pump as turbine under different flow rates. Renew. Energy 2024, 230, 120804. [Google Scholar] [CrossRef]
- Zhou, X.W. Reaearch on Hydraulic Structure and Motor Design on Electronic Water Pump. Master’s Thesis, Zhejiang Sci-Tech University, Hangzhou, China, 2019. (In Chinese). [Google Scholar]
- Zhang, N.; Yang, M.G.; Gao, B.; Li, Z.; Ni, D. Experimental and numerical analysis of unsteady pressure pulsation in a centrifugal pump with slope volute. J. Mech. Sci. Technol 2015, 29, 4231–4238. [Google Scholar] [CrossRef]
- Feng, J.J.; Ge, Z.G.; Yang, H.H.; Zhu, G.J.; Li, C.H.; Luo, X.Q. Rotating stall characteristics in the vaned diffuser of a centrifugal pump. Ocean Eng. 2021, 229, 108955. [Google Scholar] [CrossRef]
- Ma, X.J.; Zheng, L.L.; Qu, J.L.; Wang, M.M. Numerical study of unsteady pressure fluctuation at impeller outlet of a centrifugal pump. Sci. Technol. Nucl. Install. 2022, 2022, 1758382. [Google Scholar] [CrossRef]
- Parrondo-Gayo, J.L.; González-Pérez, J.; Fernández-Francos, J.N. The effect of the operating point on the pressure fluctuations at the blade passage frequency in the volute of a centrifugal pump. J. Fluids Eng. 2002, 124, 784–790. [Google Scholar] [CrossRef]
- Jiang, J.; Zhang, N.; Liu, X.; Gao, B.; Cao, P. Effect of the staggered impeller on reducing unsteady pressure pulsations of a centrifugal pump. Energy Sci. Eng 2022, 10, 194–207. [Google Scholar] [CrossRef]
- Si, Q.R.; Yuan, J.P.; Yuan, S.Q.; Wang, W.J.; Zhu, L.; Bois, G. Numerical investigation of pressure fluctuation in centrifugal pump volute based on SAS model and experimental validation. Adv. Mech. Eng. 2014, 2014, 972081. [Google Scholar] [CrossRef]
- Zheng, L.L.; Chen, X.P.; Dou, H.S.; Zhang, W.; Zhu, Z.C.; Cheng, X.L. Effects of clearance flow on the characteristics of centrifugal pump under low flow rate. J. Mech. Sci. Technol. 2020, 34, 189–200. [Google Scholar] [CrossRef]
- Zhang, Y.; Gao, B.; Alubokin, A.A.; Li, G.P. Effects of the hydrofoil blade on the pressure pulsation and jet-wake flow in a centrifugal pump. Energy Sci. Eng. 2021, 9, 588–601. [Google Scholar] [CrossRef]























| Parameters | Sign | Value |
|---|---|---|
| Flow rate (L/min) | Qd | 100 |
| Head (m) | Hd | 6.5 |
| Efficiency (%) | η | 49.7 |
| Rotation speed (r/min) | nd | 5140 |
| Number of blades (-) | Z | 6 |
| Impeller inlet diameter (mm) | D1 | 26 |
| Impeller outlet diameter (mm) | D2 | 46 |
Disclaimer/Publisher’s Note: The statements, opinions and data contained in all publications are solely those of the individual author(s) and contributor(s) and not of MDPI and/or the editor(s). MDPI and/or the editor(s) disclaim responsibility for any injury to people or property resulting from any ideas, methods, instructions or products referred to in the content. |
© 2025 by the authors. Licensee MDPI, Basel, Switzerland. This article is an open access article distributed under the terms and conditions of the Creative Commons Attribution (CC BY) license (https://creativecommons.org/licenses/by/4.0/).
Share and Cite
Zheng, L.; Chen, X.; Qu, J.; Ma, X. Numerical Research on Pressure Fluctuation Characteristics of Small-Scale and High-Speed Automotive Pump. Machines 2025, 13, 584. https://doi.org/10.3390/machines13070584
Zheng L, Chen X, Qu J, Ma X. Numerical Research on Pressure Fluctuation Characteristics of Small-Scale and High-Speed Automotive Pump. Machines. 2025; 13(7):584. https://doi.org/10.3390/machines13070584
Chicago/Turabian StyleZheng, Lulu, Xiaoping Chen, Jinglei Qu, and Xiaojie Ma. 2025. "Numerical Research on Pressure Fluctuation Characteristics of Small-Scale and High-Speed Automotive Pump" Machines 13, no. 7: 584. https://doi.org/10.3390/machines13070584
APA StyleZheng, L., Chen, X., Qu, J., & Ma, X. (2025). Numerical Research on Pressure Fluctuation Characteristics of Small-Scale and High-Speed Automotive Pump. Machines, 13(7), 584. https://doi.org/10.3390/machines13070584

