The Rail Surface Defects Recognition via Operating Service Rail Vehicle Vibrations
Abstract
:1. Introduction
2. The Proposed Optimized VMD and DCNN Methods
2.1. General Procedures of the Proposed Method
- (1)
- Divide the original vibration signal data collected by the axle box four channel sensor at equal intervals, and make the sample data set;
- (2)
- Select K ϵ [2, 15] as the search domain of the VMD mode number and calculate the maximum value of envelope kurtosis under each mode number for each sample so as to determine the optimal mode number of VMD under this sample;
- (3)
- VMD decomposition is carried out for each sample, and the IMF component after decomposition is screened by using the correlation coefficient;
- (4)
- The IMF components with the largest correlation coefficient between the eigenmode components of each order and the original signal are extracted and normalized, and the IMF components screened by multiple sensors are arranged in turn to form a numerical matrix;
- (5)
- Convert the numerical matrix in step 4 into a grayscale image and generate several grayscale images from the time series data of the four rail surface defects according to the above steps, as the data set for DCNN training and testing;
- (6)
- Randomly divide the training set and the test set, use the training set to train the convolutional neural network, and at the same time optimize and adjust the network structure and network parameters according to the training results during the training process;
- (7)
- The test set is used to verify the effectiveness of convolutional neural network and predict the image classification results so as to obtain the defects recognition of rail vibration signal, output the recognition results and analyze the conclusions.
2.2. Determination of the Mode Number of VMD
2.3. The Selection of the Sensitive IMF of VMD
2.4. GRAYSCALE Image Coding Based on VMD
- (1)
- The original vibration signals , , and measured by the four channel sensors are divided into equidistant segments with a distance of ;
- (2)
- VMD the segmented signal;
- (3)
- Screened the IMF component with the largest correlation coefficient;
- (4)
- Assuming the size of the grayscale image to be constructed as (generally , , , etc.), divide the width into 4 equal parts, construct 4 regions of , and fill the IMF components filtered by each sensor signal in turn according to the size of the region;
- (5)
- Encode the numeric matrix into a grayscale image.
2.5. Convolutional Neural Network Construction
3. Validation and Discussion
3.1. Measured Data Set Result Analysis (Four Categories)
3.1.1. Experimental Data
3.1.2. Analysis of the Mode Number of VMD
3.1.3. Image Encoding Result
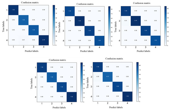
3.1.4. Experimental Result and Analysis
3.2. Measured Data Set Result Analysis (Two Categories)
3.2.1. Experimental Data
3.2.2. Experimental Result and Analysis
3.3. Anti-Noise Performance Test
3.3.1. Anti-Noise Performance Test Results (Four Categories)
3.3.2. Anti-Noise Performance Test Results (Two Categories)
3.3.3. Discussion
4. Conclusions
Author Contributions
Funding
Data Availability Statement
Conflicts of Interest
References
- Faghih-Roohi, S.; Hajizadeh, S.; Núñez, A.; Babuska, R.; De Schutter, B. Deep convolutional neural networks for detection of rail surface defects. In Proceedings of the IEEE International Joint Conference on Neural Networks (IJCNN 2016), Vancouver, BC, Canada, 24–29 July 2016. [Google Scholar]
- Yuan, H.; Chen, H.; Liu, S.; Lin, J.; Luo, X. A deep convolutional neural network for detection of rail surface defect. In Proceedings of the IEEE Vehicle Power and Propulsion Conference (VPPC), Hanoi, Vietnam, 14–17 October 2019. [Google Scholar]
- Yu, H.; Li, Q.; Tan, Y.; Gan, J.; Wang, J.; Geng, Y.A.; Jia, L. A coarse-to-fine model for rail surface defect detection. Proc. IEEE Trans. Instrum. Meas. 2018, 68, 656–666. [Google Scholar] [CrossRef]
- Lyu, P.; Zhang, K.; Yu, W.; Wang, B.; Liu, C. A novel RSG-based intelligent bearing fault diagnosis method for motors in high-noise industrial environment. Adv. Eng. Inform. 2022, 52, 101564. [Google Scholar] [CrossRef]
- Chen, J.C.; Chen, T.L.; Liu, W.J.; Cheng, C.C.; Li, M.G. Combining empirical mode decomposition and deep recurrent neural networks for predictive maintenance of lithium-ion battery. Adv. Eng. Inform. 2021, 50, 101405. [Google Scholar] [CrossRef]
- Mićić, M.; Brajović, L.; Lazarević, L.; Popović, Z. Inspection of RCF rail defects—Review of NDT methods. Mech. Syst. Signal Process. 2023, 182, 109568. [Google Scholar] [CrossRef]
- Guo, Y.; Huang, L.; Liu, Y.; Liu, J.; Wang, G. Establishment of the complete closed mesh model of rail-surface scratch data for online repair. Sensors 2020, 20, 4736. [Google Scholar] [CrossRef]
- Zhuang, L.; Wang, L.; Zhang, Z.; Tsui, K.L. Automated vision inspection of rail surface cracks: A double-layer data-driven framework. Transp. Res. Part C Emerg. Technol. 2018, 92, 258–277. [Google Scholar] [CrossRef]
- Jiang, Y.; Wang, H.; Chen, S.; Tian, G. Visual quantitative detection of rail surface crack based on laser ultrasonic technology. Optik 2021, 237, 166732. [Google Scholar] [CrossRef]
- Ramatlo, D.A.; Long, C.S.; Loveday, P.W.; Wilke, D.N. Physics-based modelling and simulation of reverberating reflections in ultrasonic guided wave inspections applied to welded rail tracks. J. Sound Vib. 2022, 530, 116914. [Google Scholar] [CrossRef]
- Liu, Y.; Tian, G.; Gao, B.; Lu, X.; Li, H.; Chen, X.; Zhang, Y.; Xiong, L. Depth quantification of rolling contact fatigue crack using skewness of eddy current pulsed thermography in stationary and scanning modes. NDT E Int. 2022, 128, 102630. [Google Scholar] [CrossRef]
- Kuang, Y.; Chew, Z.J.; Ruan, T.; Lane, T.; Allen, B.; Nayar, B.; Zhu, M. Magnetic field energy harvesting from the traction return current in rail tracks. Appl. Energy 2021, 292, 116911. [Google Scholar] [CrossRef]
- Ma, X.; Wang, P.; Xu, J.; Chen, R. Parameters Studies on Surface Initiated Rolling Contact Fatigue of Turnout Rails by Three-Level Unreplicated Saturated Factorial Design. Appl. Sci. 2018, 8, 461. [Google Scholar] [CrossRef]
- Hamarat, M.; Papaelias, M.; Silvast, M.; Kaewunruen, S. The Effect of Unsupported Sleepers/Bearers on Dynamic Phenomena of a Railway Turnout System under Impact Loads. Appl. Sci. 2020, 7, 2320. [Google Scholar] [CrossRef]
- Yang, H.; Wu, N.; Zhang, W.; Liu, Z.; Fan, J.; Wang, C. Dynamic Response of Spatial Train-Track-Bridge Interaction System Due to Unsupported Track Using Virtual Work Principle. Appl. Sci. 2022, 12, 6156. [Google Scholar] [CrossRef]
- Sysyn, M.; Przybylowicz, M.; Nabochenko, O.; Liu, J. Mechanism of Sleeper–Ballast Dynamic Impact and Residual Settlements Accumulation in Zones with Unsupported Sleepers. Sustainability 2021, 13, 7740. [Google Scholar] [CrossRef]
- Azizi, M.; Shahravi, M.; Zakeri, J.A. Determination of wheel loading reduction in railway track with unsupported sleepers and rail irregularities. Proc. Inst. Mech. Eng. Part F J. Rail Rapid Transit 2021, 235, 631–643. [Google Scholar] [CrossRef]
- Kozhemyachenko, A.A.; And IB, P.; Favorskaya, A.V. Calculation of the stress state of a railway track with unsupported sleepers using the grid-characteristic method. J. Appl. Mech. Tech. Phys. 2021, 62, 344–350. [Google Scholar] [CrossRef]
- Cho, H.; Park, J. Study of Rail Squat Characteristics through Analysis of Train Axle Box Acceleration Frequency. Appl. Sci. 2021, 11, 7022. [Google Scholar] [CrossRef]
- Chang, C.; Ling, L.; Chen, S.; Zhai, W.; Wang, K.; Wang, G. Dynamic performance evaluation of an inspection wagon for urban railway tracks. Measurement 2021, 170, 108704. [Google Scholar] [CrossRef]
- Xiao, Y.; Yan, Y.; Yu, Y.; Wang, B.; Liang, Y. Research on pose adaptive correction method of indoor rail mounted inspection robot in GIS Substation. Energy Rep. 2022, 8, 696–705. [Google Scholar] [CrossRef]
- Sambo, B.; Bevan, A.; Pislaru, C. A novel application of image processing for the detection of rail. In Proceedings of the International Conference on Railway Engineering (ICRE) 2016, Brussels, Belgium, 12–13 May 2016. [Google Scholar]
- Jie, L.; Siwei, L.; Qingyong, L.; Hanqing, Z.; Shengwei, R. Real-time rail head surface defect detection: A geometrical approach. In Proceedings of the IEEE International Symposium on Industrial Electronics, Seoul, Korea, 5–8 July 2009. [Google Scholar]
- Sayeed, M.; Shahin, M.A. Dynamic response analysis of ballasted railway track–ground system under train moving loads using 3D finite element numerical modelling. Transp. Infrastruct. Geotechnol. 2022, 25, 1–21. [Google Scholar] [CrossRef]
- Piao, G.; Li, J.; Udpa, L.; Qian, J.; Deng, Y. Finite-Element Study of Motion-Induced Eddy Current Array Method for High-Speed Rail Defects Detection. IEEE Trans. Magnet. 2021, 57, 6201010. [Google Scholar] [CrossRef]
- Xie, Q.; Tao, G.; He, B.; Wen, Z. Rail corrugation detection using one-dimensional convolution neural network and data-driven method. Measurement 2022, 200, 111624. [Google Scholar] [CrossRef]
- Peng, L.; Zheng, S.; Li, P.; Wang, Y.; Zhong, Q. A Comprehensive Detection System for Track Geometry Using Fused Vision and Inertia. IEEE Trans. Instrum. Meas. 2021, 70, 5004615. [Google Scholar] [CrossRef]
- Peng, L.; Zheng, S.; Zhong, Q.; Chai, X.; Lin, J. A bagged tree ensemble regression method with multiple correlation coefficients to predict the train body vibrations using rail inspection data. Mech. Syst. Signal Process. 2023, 182, 109543. [Google Scholar] [CrossRef]
- Zhang, C.F.; Liu, S.C.; He, J. The Study of Surface State Identification Based on BP_adaboost Algorithm. In Proceedings of the 2018 37th Chinese Control Conference (CCC), Wuhan, China, 25–27 July 2018; pp. 5865–5870. [Google Scholar]
- Ding, J.; Xiao, D.; Li, X. Gear fault diagnosis based on genetic mutation particle swarm optimization VMD and probabilistic neural network algorithm. IEEE Access 2020, 8, 18456–18474. [Google Scholar] [CrossRef]
- Sun, M.; Wang, Y.; Zhang, X.; Liu, Y.; Wei, Q.; Shen, Y.; Feng, N. Feature selection and classification algorithm for non-destructive detecting of high-speed rail defects based on vibration signals. In Proceedings of the 2014 IEEE International Instrumentation and Measurement Technology Conference (I2MTC) Proceedings, Montevideo, Uruguay, 12–15 May 2014; pp. 819–823. [Google Scholar]
- Zhou, Q. A Detection System for Rail Defects Based on Machine Vision. J. Phys. Conf. Ser. 2021, 1748, 022012. [Google Scholar] [CrossRef]
- Liang, B.; Iwnicki, S.; Ball, A.; Young, A.E. Adaptive noise cancelling and time–frequency techniques for rail surface defect detection. Mech. Syst. Signal Process. 2015, 54, 41–51. [Google Scholar] [CrossRef]
- Cheng, H.; Zhang, Y.; Lu, W.; Yang, Z. A bearing fault diagnosis method based on VMD-SVD and Fuzzy clustering. Int. J. Pattern Recognit. Artif. Intell. 2019, 33, 1950018. [Google Scholar] [CrossRef]
- Huang, N.E.; Shen, Z.; Long, S.R.; Wu, M.C.; Shih, H.H.; Zheng, Q.; Liu, H.H. The empirical mode decomposition and the Hilbert spectrum for nonlinear and non-stationary time series analysis. R. Soc. A Math. Phys. Eng. Sci. 1998, 454, 903–995. [Google Scholar] [CrossRef]
- Dragomiretskiy, K.; Zosso, D. Variational mode decomposition. IEEE Trans. Signal Process. 2014, 62, 531–544. [Google Scholar] [CrossRef]
- Li, H.; Liu, T.; Wu, X.; Chen, Q. An optimized VMD method and its applications in bearing fault diagnosis. Measurement 2020, 166, 108185. [Google Scholar] [CrossRef]
- Zhang, X.; Miao, Q.; Zhang, H.; Wang, L. A parameter-adaptive VMD method based on grasshopper optimization algorithm to analyze vibration signals from rotating machinery. Mech. Syst. Signal Process. 2018, 108, 58–72. [Google Scholar] [CrossRef]
- Kowalik, R. Mechanical Wear Contact between the Wheel and Rail on a Turnout with Variable Stiffness. Energies 2021, 14, 7520. [Google Scholar]
- Kisilowski, J.; Kowalik, R. Railroad Turnout Wear Diagnostics. Sensors 2021, 21, 6697. [Google Scholar] [CrossRef]
- Bojarczak, P.; Nowakowski, W. Application of Deep Learning Networks to Segmentation of Surface of Railway Tracks. Sensors 2021, 21, 4065. [Google Scholar] [CrossRef] [PubMed]
- Milosevic, M.D.G.; Pålsson, B.A.; Nissen, A.; Nielsen, J.C.O.; Johansson, H. Condition Monitoring of Railway Crossing Geometry via Measured and Simulated Track Responses. Sensors 2022, 22, 1012. [Google Scholar] [CrossRef]
- Zheng, D.; Li, L.; Zheng, S.; Chai, X.; Zhao, S.; Tong, Q.; Guo, L. A Defect Detection Method for Rail Surface and Fasteners Based on Deep Convolutional Neural Network. Comput. Intell. Neurosci. 2021, 2021, 2565500. [Google Scholar] [CrossRef]
- Chavez-Garcia, R.O.; Aycard, O. Multiple sensor fusion and classification for moving object detection and tracking. IEEE Trans. Intell. Transp. Syst. 2015, 17, 525–534. [Google Scholar] [CrossRef]
- Liang, M.; Yang, B.; Chen, Y.; Hu, R.; Urtasun, R. Multi-task multi-sensor fusion for 3d object detection. In Proceedings of the IEEE/CVF Conference on Computer Vision and Pattern Recognition, Long Beach, CA, USA, 15–20 June 2019; pp. 7345–7353. [Google Scholar]
- Liu, Z.; Cai, Y.; Wang, H.; Chen, L.; Gao, H.; Jia, Y.; Li, Y. Robust target recognition and tracking of self-driving cars with radar and camera information fusion under severe weather conditions. IEEE Trans. Intell. Transp. Syst. 2021, 23, 6640–6653. [Google Scholar] [CrossRef]
- Liu, J.C.; Quan, H.; Yu, X.; He, K.; Li, Z.H. Rolling bearing fault diagnosis based on parameter optimization VMD and sample entropy. Acta Autom. Sin. 2019, 3, 190345. [Google Scholar]
- Gu, R.; Chen, J.; Hong, R.; Wang, H.; Wu, W. Incipient fault diagnosis of rolling bearings based on adaptive variational mode decomposition and Teager energy operator. Measurement 2020, 149, 106941. [Google Scholar] [CrossRef]
- Chen, X.; Lin, J.; Jin, H.; Huang, Y.; Liu, Z. The psychoacoustics annoyance research based on EEG rhythms for passengers in high-speed railway. Appl. Acoust. 2021, 171, 107575. [Google Scholar] [CrossRef]
- Yanan, S.; Hui, Z.; Li, L.; Hang, Z. Rail surface defect detection method based on YOLOv3 deep learning networks. In Proceedings of the 2018 Chinese Automation Congress (CAC), Xi’an, China, 30 November–2 December 2018; pp. 1563–1568. [Google Scholar]
- Lv, J.; Wang, Y.; Ni, P.; Lin, P.; Hou, H.; Ding, J.; Chang, Y.; Hu, J.; Wang, S.; Bao, Z. Development of a high-throughput SNP array for sea cucumber (Apostichopus japonicus) and its application in genomic selection with MCP regularized deep neural networks. Genomics 2022, 114, 110426. [Google Scholar] [CrossRef]
- Hu, X.; Liu, Y.; Zhao, Z.; Liu, J.; Yang, X.; Sun, C.; Chen, S.; Li, B.; Zhou, C. Real-time detection of uneaten feed pellets in underwater images for aquaculture using an improved YOLO-V4 network. Comput. Electron. Agric. 2021, 185, 106135. [Google Scholar] [CrossRef]




















| Group Number | Number of Convolutional Layers | Activation Function | Convolution Kernel |
|---|---|---|---|
| 1 | 2/3/4/5/6 | Tanh | 3 × 3 |
| 2 | 2/3/4/5/6 | Tanh | 5 × 5 |
| 3 | 2/3/4/5/6 | ReLU | 3 × 3 |
| 4 | 2/3/4/5/6 | ReLU | 5 × 5 |
| Network Layer Type | Parameter s | Output Feature Size |
|---|---|---|
| Input | grayscale image | 3 |
| Conv1 | 64 3 × 3 convolution kernels with stride 1 | |
| Max_pool1 | 2 × 2 pooling kernel with stride 1 | |
| Dropout1 | Neurons are randomly deactivated by 20% | |
| Conv2 | 32 3 × 3 convolution kernels with stride 1 | |
| Max_pool2 | 2 × 2 pooling kernel with stride 1 | |
| Dropout2 | Neurons are randomly deactivated by 20% | |
| Conv3 | 32 3 × 3 convolution kernels with stride 1 | |
| Max_pool3 | 2 × 2 pooling kernel with stride 1 | |
| Dropout3 | Neurons are randomly deactivated by 20% | |
| Conv4 | 16 3 × 3 convolution kernels with stride 1 | |
| Max_pool4 Dropout4 | 2 × 2 pooling kernel with stride 1 Neurons are randomly deactivated by 20% | |
| Conv5 | 16 1 × 1 convolution kernels with stride 1 | |
| Global_average_pool2d | ||
| Dense2 | 4 neurons |
| Acceleration sensor (CTC AC220) | Sensitivity | 10 mV/g |
| Frequency response (±3 dB) | 1.0–25,000 Hz | |
| Frequency response (±10%) | 1.5–7000 Hz | |
| Frequency response (±5%) | 3.0–3000 Hz | |
| Range | ±500 g | |
| Voltage supply (IEPE) | 18–30 VDC | |
| Constant current source | 2–10 mA | |
| Vision sensor (Linear array camera) | Resolution | 8192 × (128 + 64) |
| Line frequency (kHz) | 280 | |
| Sensor type | CMOS | |
| Spectrum | Black and white | |
| Dynamic range | 70 dB | |
| Power supply requirements | 17 W (12~24 VDC) | |
| Dimension | 1D |
| Number | Component of Uncertainty | Uncertainty U (xi) | Distribution | Units of U (xi) |
|---|---|---|---|---|
| 1 | Equipment uncertainties | 0.304 | Normal | mV/g |
| 2 | Operator bias uncertainty | 0.1520 | Normal | mV/g |
| 3 | Calibration uncertainty | 0.1225 | Triangle | mV/g |
| 4 | Acoustical/Environmental uncertainty | 0.4864 | Normal | mV/g |
| 5 | Repeatability (Random) uncertainty | 11.394 | / | mV/g |
| Combined uncertainty, UN = 11.0560 mV/g | ||||
| Coverage factor, k = 2 | ||||
| Expanded uncertainty, U = 22.1120 mV/g | ||||
| Expanded uncertainty rounded up to 2 significant figures, U = 22.1 mV/g | ||||
| Parameters | Sensitivity | Stability | Formula | Accuracy (%) |
|---|---|---|---|---|
| Waveform factor | Bad | Good | 60.82% | |
| Peak factor | Normal | Normal | 61.75% | |
| Impulse factor | Normal | Normal | 53.00% | |
| Skewness | Good | Normal | 60.75% | |
| Envelope kurtosis | Good | Good | 66.25% | |
| Clearance factor | Bad | Good | 28.04% |
| Sample | 1 | 2 | 3 | 4 | 5 | 6 | 7 | 8 | 9 | 10 | 11 | 12 | 13 | 14 | 15 | 16 |
|---|---|---|---|---|---|---|---|---|---|---|---|---|---|---|---|---|
| 13 | 5 | 11 | 5 | 8 | 13 | 12 | 14 | 12 | 9 | 5 | 10 | 7 | 6 | 6 | 11 | |
| Kurtosis | 77 | 32 | 103 | 30 | 55 | 63 | 88 | 89 | 142 | 73 | 210 | 105 | 77 | 65 | 62 | 63 |
| Performance | ||||
|---|---|---|---|---|
| SNR | CH1 | CH2 | CH3 | CH4 |
| Switch | 11.221 | 6.704 | 2.949 | 3.050 |
| Joint | 6.615 | 6.703 | 2.9877 | 3.006 |
| Damage | 0.772 | 1.481 | 2.718 | 3.098 |
| RMSE | CH1 | CH2 | CH3 | CH4 |
| Switch | 0.426 | 0.665 | 0.668 | 0.612 |
| Joint | 0.724 | 0.746 | 0.668 | 0.609 |
| Damage | 1.418 | 1.213 | 0.673 | 0.615 |
| Maximum Information Coefficient Comparison | ||||||||||
|---|---|---|---|---|---|---|---|---|---|---|
| MIC | CH1 | CH2 | CH3 | CH4 | MIC | CH1 | CH2 | CH3 | ||
| CH1 | 1 | 0.81 | 0.78 | 0.75 | CH1 | 1 | 0.90 | 0.88 | ||
| Switch | CH2 | 0.81 | 1 | 0.85 | 0.85 | Damage | CH2 | 0.90 | 1 | 0.90 |
| CH3 | 0.78 | 0.85 | 1 | 0.82 | CH3 | 0.88 | 0.90 | 1 | ||
| CH4 | 0.75 | 0.85 | 0.82 | 1 | CH4 | 0.90 | 0.91 | 0.89 | ||
| MIC | CH1 | CH2 | CH3 | CH4 | MIC | CH1 | CH2 | CH3 | ||
| CH1 | 1 | 0.89 | 0.89 | 0.89 | CH1 | 1 | 1 | 0.99 | ||
| Joint | CH2 | 0.89 | 1 | 0.86 | 0.88 | Normal | CH2 | 1 | 1 | 1 |
| CH3 | 0.89 | 0.86 | 1 | 0.87 | CH3 | 0.99 | 1 | 1 | ||
| CH4 | 0.89 | 0.88 | 0.87 | 1 | CH4 | 1 | 1 | 1 | ||
| Method for Identifying the Surface Condition of Rails | Average Recognition Accuracy |
|---|---|
| VMD + Grayscale image + DCNN (CH1 + CH2 + CH3 + CH4) | 99.75% |
| VMD + Grayscale image + DCNN (CH1) | 99.25% |
| VMD + Grayscale image + DCNN (CH2) | 96.50% |
| VMD + Grayscale image + DCNN (CH3) | 98.50% |
| VMD + Grayscale image + DCNN (CH4) | 99.45% |
| Lightweight Convolutional Network Structure MOLO [50,51] | 95.28% |
| YOLOv3 Deep Learning Algorithm [52] | 97.00% |
| Rail Surface State | Samples/Length | Accuracy |
|---|---|---|
| Switch, Joint, damage, normal (four states) | 240/3,072,000 | 99.75% |
| Switch, Joint, turnout + damage, normal (five states) | 300/3,840,000 | 100.00% |
Publisher’s Note: MDPI stays neutral with regard to jurisdictional claims in published maps and institutional affiliations. |
© 2022 by the authors. Licensee MDPI, Basel, Switzerland. This article is an open access article distributed under the terms and conditions of the Creative Commons Attribution (CC BY) license (https://creativecommons.org/licenses/by/4.0/).
Share and Cite
Zheng, S.; Zhong, Q.; Chen, X.; Peng, L.; Cui, G. The Rail Surface Defects Recognition via Operating Service Rail Vehicle Vibrations. Machines 2022, 10, 796. https://doi.org/10.3390/machines10090796
Zheng S, Zhong Q, Chen X, Peng L, Cui G. The Rail Surface Defects Recognition via Operating Service Rail Vehicle Vibrations. Machines. 2022; 10(9):796. https://doi.org/10.3390/machines10090796
Chicago/Turabian StyleZheng, Shubin, Qianwen Zhong, Xieqi Chen, Lele Peng, and Guiyan Cui. 2022. "The Rail Surface Defects Recognition via Operating Service Rail Vehicle Vibrations" Machines 10, no. 9: 796. https://doi.org/10.3390/machines10090796
APA StyleZheng, S., Zhong, Q., Chen, X., Peng, L., & Cui, G. (2022). The Rail Surface Defects Recognition via Operating Service Rail Vehicle Vibrations. Machines, 10(9), 796. https://doi.org/10.3390/machines10090796

