Research on Phase Current Reconstruction for DPWM2 of Induction Motor Drive System Based on DC-Link Current Sampling
Abstract
1. Introduction
- (1)
- The DC-link current is zero during the period of the zero vector; thus, the DC-link current can only be detected during the active vector [12];
- (2)
- When the switching state changes, it takes some time for the DC-link current to become stable, while the duration of the analog-to-digital conversion should also be considered. Therefore, it is necessary to ensure that the duration of the active vector takes the above into account [11];
- (3)
- The sampling moment may be in the oscillation stage or in the period of zero vector, which can induce serious errors in the sampling current, leading to the failure of phase current reconstruction [13];
- (4)
- When the target voltage vector is located near the sector boundary or in the low-modulation area, the duration of one or two active vectors is too short to sample the DC-link current [14]. In this paper, both the sector boundary and the low-modulation area are considered unmeasured areas.
2. Topology and Control Scheme
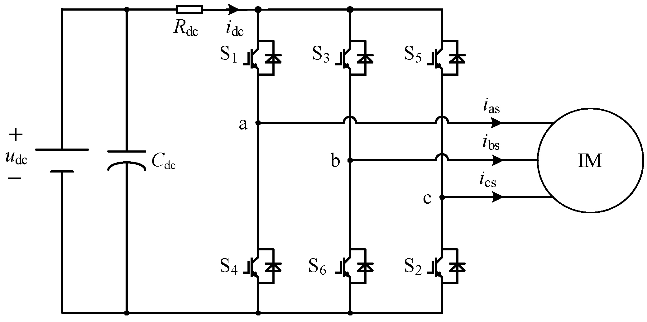
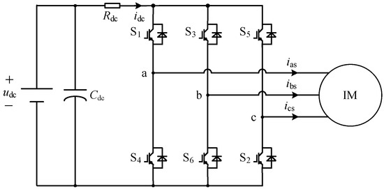
2.1. Topology of IM Fed by Voltage Source Inverter
2.2. Vector Control Scheme for the IM Fed by VSI
3. Switching Signal Generation Method of DPWM2
4. Phase Current Reconstruction Method Based on Single Resistor Sampling
5. Sampling Time Compensation Method for Unmeasured Areas
5.1. Time Compensation Methods in the Area near the Sector Boundary
5.1.1. Target Voltage Vector in Region 1
5.1.2. Target Voltage Vector in Region 2
5.1.3. Target Voltage Vector in Region 3
5.1.4. Target Voltage Vector in Region 4
5.2. Time Compensation Methods in the Area of Low Modulation
5.2.1. Target Voltage Vector in the Area of Low Modulation Belonging to Sector I
5.2.2. Target Voltage Vector in the Area of Low Modulation Belong to Sector II
6. Simulation Results
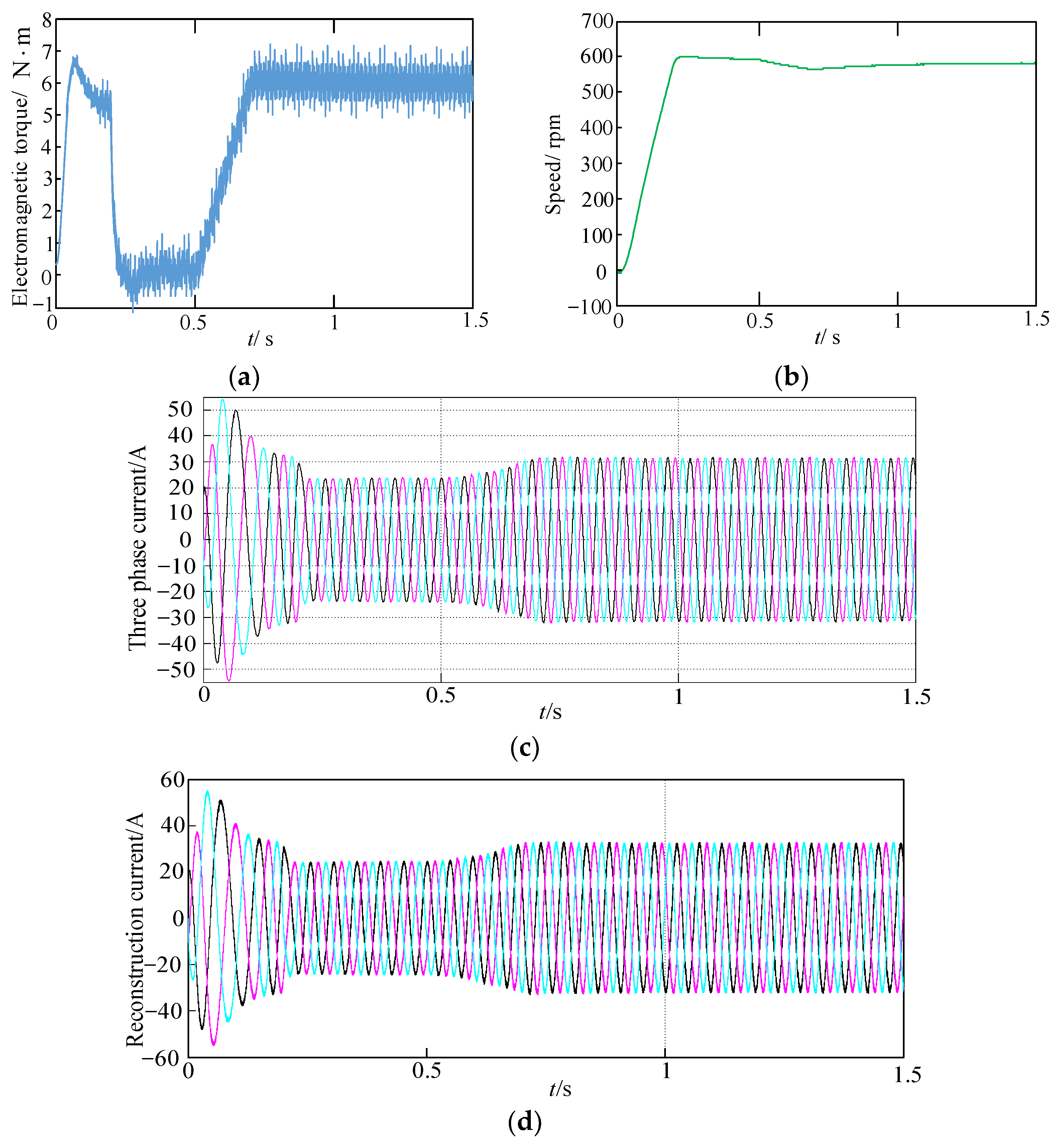
7. Experimental Results
8. Conclusions
- (1)
- Three current samples were completed in different switching states during the carrier rise stage, and the mathematical expressions between the three-phase currents and the measured DC-link current in different sectors were derived;
- (2)
- When the target voltage vector was located near the sector boundary, if the total duration of the active vector was greater than the minimum sampling time, or the half of duration of the first active vector was less than the minimum sampling time, the duration of the active vector in the sampling stage can be broadened by phase shifting without changing the synthetic vector in one carrier period;
- (3)
- If the half duration of the first active vector was less than the minimum sampling time, or the target voltage vector was located in the low modulation areas, a time compensation method combining phase shifting and frequency reduction was proposed, and the accurate reconstruction of three-phase currents can be realized without voltage vector error.
Author Contributions
Funding
Data Availability Statement
Conflicts of Interest
References
- Rajeev, M.; Agarwal, V. Single phase current source inverter with multiloop control for transformerless grid–PV interface. IEEE Trans. Ind. Appl. 2018, 54, 2416–2424. [Google Scholar] [CrossRef]
- Song, P.; Liu, Y.; Liu, C. Research on Parameter Design and Control Method for Current Source Inverter–Fed IM Drive Systems. Machines 2022, 10, 922. [Google Scholar] [CrossRef]
- Dong, Z.; Liu, C.; Song, Z.; Liu, S. Suppression of Dual–Harmonic Components for Five–Phase Series–Winding PMSM. IEEE Trans. Transp. Electrif. 2022, 8, 121–134. [Google Scholar] [CrossRef]
- Song, Z.; Liu, C.; Dong, Z.; Huang, R. Improved Multi-Stage Decoupling Space Vector Modulation for Asymmetrical Multi-Phase PMSM With Series Winding Connection. IEEE Trans. Power Electron. 2022, 37, 10951–10966. [Google Scholar] [CrossRef]
- Arora, S.; Balsara, P.T.; Bhatia, D. Digital Pulsewidth Modulation (DPWM) Using Direct Digital Synthesis. IEEE J. Emerg. Sel. Top. Power Electron. 2022, 10, 4231–4244. [Google Scholar] [CrossRef]
- Hashempour, M.M.; Yang, M.-Y.; Lee, T.-L. An Adaptive Control of DPWM for Clamped-Three-Level Photovoltaic Inverters with Unbalanced Neutral-Point Voltage. IEEE Trans. Ind. Appl. 2018, 54, 6133–6148. [Google Scholar] [CrossRef]
- Charumit, C.; Kinnares, V. Discontinuous SVPWM Techniques of Three-Leg VSI-Fed Balanced Two-Phase Loads for Reduced Switching Losses and Current Ripple. IEEE Trans. Power Electron. 2015, 30, 2191–2204. [Google Scholar] [CrossRef]
- Torres, D.; Zambada, J. Single-Shunt Three-Phase Current Reconstruction Algorithm for Sensorless foc of a Pmsm; Microchip Technology application note AN1299; Microchip Technology Inc.: Chandler, AZ, USA, 2009. [Google Scholar]
- Tcai, A.; Shin, H.-U.; Lee, K.-B. DC-Link Capacitor-Current Ripple Reduction in DPWM-Based Back-to-Back Converters. IEEE Trans. Ind. Electron. 2018, 65, 1897–1907. [Google Scholar] [CrossRef]
- Yan, H.; Xu, Y.; Zhao, W.; Zhang, H.; Gerada, C. DC Drift Error Mitigation Method for Three-Phase Current Reconstruction With Single Hall Current Sensor. IEEE Trans. Magn. 2019, 55, 1–4. [Google Scholar] [CrossRef]
- Song, S.; Xia, Z.; Fang, G.; Ma, R.; Liu, W. Phase Current Reconstruction and Control of Three-Phase Switched Reluctance Machine with Modular Power Converter Using Single DC-Link Current Sensor. IEEE Trans. Power Electron. 2018, 33, 8637–8649. [Google Scholar] [CrossRef]
- Han, J.; Song, J.-H. Phase Current-Balance Control Using DC-Link Current Sensor for Multiphase Converters with Discontinuous Current Mode Considered. IEEE Trans. Ind. Electron. 2016, 63, 4020–4030. [Google Scholar] [CrossRef]
- Gan, C.; Wu, J.; Yang, S.; Hu, Y. Phase Current Reconstruction of Switched Reluctance Motors From DC-Link Current Under Double High-Frequency Pulses Injection. IEEE Trans. Ind. Electron. 2015, 62, 3265–3276. [Google Scholar] [CrossRef]
- Wei, H.; Lu, Y.; Jiang, T.; Li, Y.; Chu, J. Single Resistor Sampling Reconstruction of Permanent Magnet Synchronous Motor Considering Non-Observation Area Compensation. Trans. China Electrotech. Soc. 2018, 33, 2702–2965. [Google Scholar]
- Saritha, B.; Janakiraman, P.A. Sinusoidal Three-Phase Current Reconstruction and Control Using a DC-Link Current Sensor and a Curve-Fitting Observer. IEEE Trans. Ind. Electron. 2015, 54, 2657–2664. [Google Scholar] [CrossRef]
- Cho, Y.; LaBella, T.; Lai, J.-S. A Three-Phase Current Reconstruction Strategy with Online Current Offset Compensation Using a Single Current Sensor. IEEE Trans. Ind. Electron. 2012, 59, 2924–2933. [Google Scholar] [CrossRef]
- Hongrae, K.; Jahns, T.M. Phase Current Reconstruction for AC Motor Drives Using a DC Link Single Current Sensor and Measurement Voltage Vectors. IEEE Trans. Power Electron. 2006, 21, 1413–1419. [Google Scholar]
- Han, G.; Chen, H.; Shi, X.; Wang, Y. Phase current reconstruction strategy for switched reluctance machines with fault-tolerant capability. IET Elect. Power Appl. 2017, 11, 399–411. [Google Scholar] [CrossRef]
- Yikun, G.; Fenglei, N.; Dapeng, Y.; Hong, L. Switching-State Phase Shift Method for Three-Phase-Current Reconstruction With a Single DC-Link Current Sensor. IEEE Trans. Ind. Electron. 2006, 58, 5186–5194. [Google Scholar] [CrossRef]

























| Sector | θ | ma | mb | mc |
|---|---|---|---|---|
| I | 0≤ θ < π/3 | 1 | 1 − Mcos(θ + π/6) | 1 + Mcos(θ + 5π/6) |
| II | π/3 ≤ θ < 2π/3 | −1 − Mcos(θ + 5π/6) | −1 + Msin(θ) | −1 |
| III | 2π/3 ≤ θ < π | 1 + Mcos(θ + π/6) | 1 | 1 − Msin(θ) |
| IV | −π ≤ θ < −2π/3 | −1 | −1 − Mcos(θ + π/6) | −1 + Mcos(θ + 5π/6) |
| V | −2π/3 ≤ θ < −π/3 | 1 − Mcos(θ + 5π/6) | 1 + Msin(θ) | 1 |
| VI | −π/3 ≤ θ < 0 | −1 + Mcos(θ + π/6) | −1 | −1 − Msin(θ) |
| Switching-State | 000 | 100 | 110 | 010 | 011 | 001 | 101 | 111 |
|---|---|---|---|---|---|---|---|---|
| idc | 0 | ias | −ics | ibs | −ias | ics | −ibs | 0 |
| Parameters | Description | Value |
|---|---|---|
| Rs (Ω) | Stator resistance | 0.07 |
| Rr (Ω) | Rotor resistance | 0.05 |
| Ls (mH) | Stator inductance | 4.51 |
| Lr (mH) | Rotor inductance | 4.63 |
| Lm (mH) | Mutual inductance | 4.38 |
| σ | Flux leakage coefficient | 0.088 |
| Pn (kW) | Rated power | 1.2 |
| Un (V) | Rated voltage | 48 |
| fn (Hz) | Rated frequency | 50 |
| J (kg·m2) | Rotational inertia | 0.001 |
| np | Number of pole pairs | 2 |
| Current Acquisition Method | Steady Error | THD of Stator Current | 5th Harmonic | Torque Ripple (N·m) |
|---|---|---|---|---|
| Reconstruction | No | 4.65% | 1.21% | ±0.50 |
| Hall sensors | No | 4.09% | 0.95% | ±0.36 |
Publisher’s Note: MDPI stays neutral with regard to jurisdictional claims in published maps and institutional affiliations. |
© 2022 by the authors. Licensee MDPI, Basel, Switzerland. This article is an open access article distributed under the terms and conditions of the Creative Commons Attribution (CC BY) license (https://creativecommons.org/licenses/by/4.0/).
Share and Cite
Song, P.; Wang, H.; Zhang, J.; Liu, Y.; Deng, T. Research on Phase Current Reconstruction for DPWM2 of Induction Motor Drive System Based on DC-Link Current Sampling. Machines 2022, 10, 1104. https://doi.org/10.3390/machines10111104
Song P, Wang H, Zhang J, Liu Y, Deng T. Research on Phase Current Reconstruction for DPWM2 of Induction Motor Drive System Based on DC-Link Current Sampling. Machines. 2022; 10(11):1104. https://doi.org/10.3390/machines10111104
Chicago/Turabian StyleSong, Pengyun, Huazhang Wang, Junyi Zhang, Yanghui Liu, and Tao Deng. 2022. "Research on Phase Current Reconstruction for DPWM2 of Induction Motor Drive System Based on DC-Link Current Sampling" Machines 10, no. 11: 1104. https://doi.org/10.3390/machines10111104
APA StyleSong, P., Wang, H., Zhang, J., Liu, Y., & Deng, T. (2022). Research on Phase Current Reconstruction for DPWM2 of Induction Motor Drive System Based on DC-Link Current Sampling. Machines, 10(11), 1104. https://doi.org/10.3390/machines10111104

