A Note on Distance-Based Entropy of Dendrimers
Abstract
1. Introduction
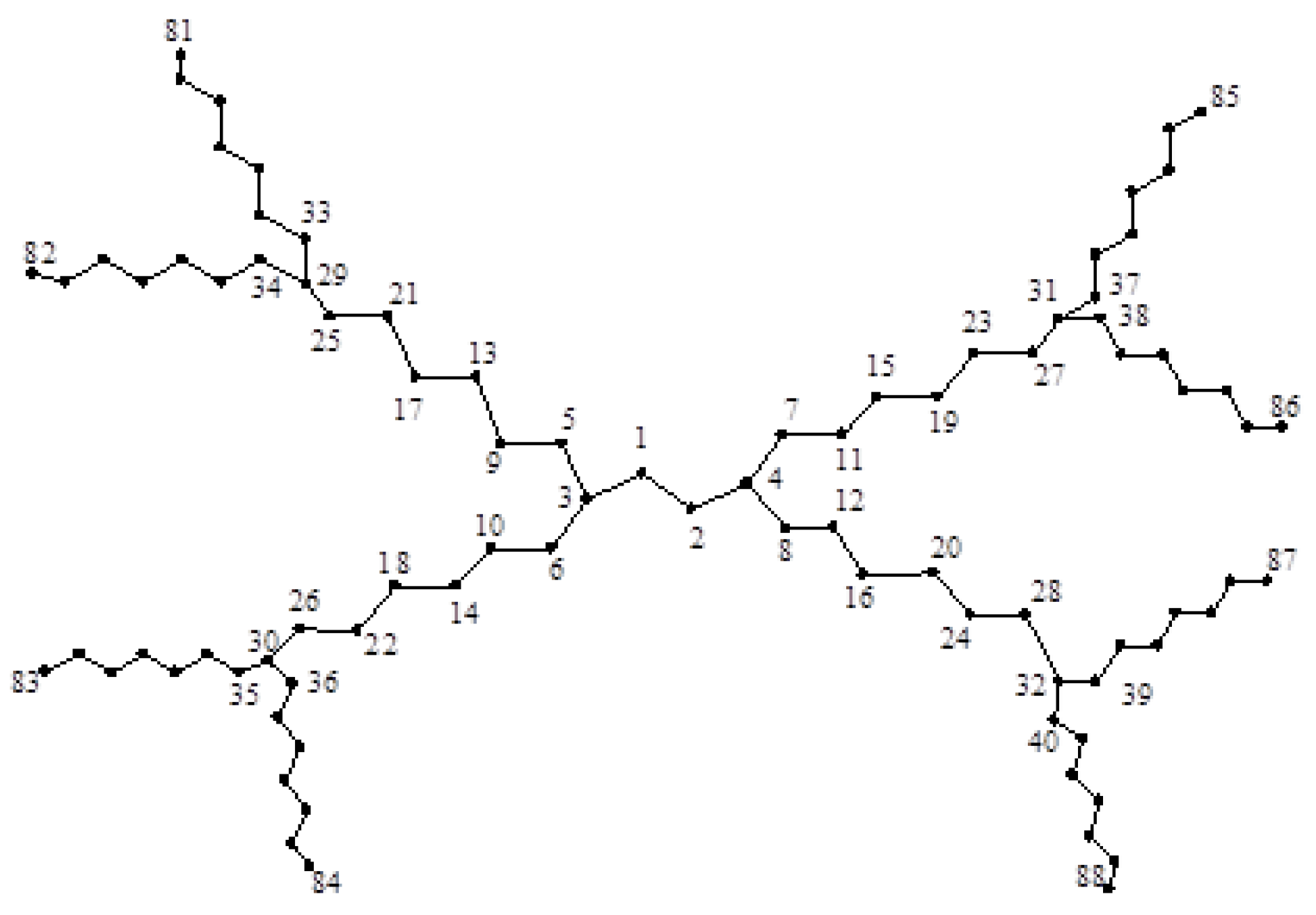
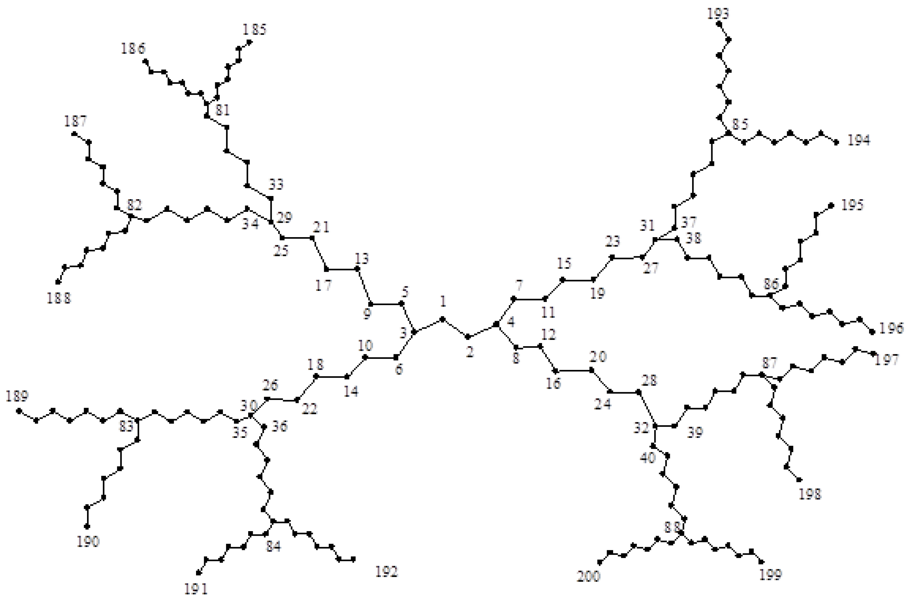
2. Definition and Examples
3. General Results on the Ecc-Entropy of Dendrimers
4. Numerical Results
5. Conclusions
Author Contributions
Funding
Conflicts of Interest
References
- Ghorbani, M.; Dehmer, M.; Zangi, S. Graph operations based on using distance-based graph entropies. Appl. Math. Comput. 2018, 333, 547–555. [Google Scholar] [CrossRef]
- Ghorbani, M.; Dehmer, M.; Zangi, S. On certain aspects of graph entropies of fullerenes. MATCH Commun. Math. Comput. Chem. 2019, 81, 163–174. [Google Scholar]
- Ashrafi, A.R.; Ghorbani, M. Eccentric Connectivity Index of Fullerenes. In Novel Molecular Structure Descriptors–Theory and Applications II; Gutman, I., Furtula, B., Eds.; MCM: Kragujevac, Serbia, 2008; pp. 183–192. [Google Scholar]
- Bonchev, D.; Trinajestić, N. Information theory, distance matrix and molecular branching. J. Chem. Phys. 1977, 67, 4517–4533. [Google Scholar] [CrossRef]
- Dehmer, M.; Emmert-Streib, F.; Shi, Y. Graph distance measures based on topological indices revisited. Appl. Math. Comput. 2015, 266, 623–633. [Google Scholar] [CrossRef]
- Dehmer, M.; Mehler, A. A new method of measuring similarity for a special class of directed graphs. Tatra Mt. Math. Publ. 2007, 36, 39–59. [Google Scholar]
- Dehmer, M.; Mowshowitz, A. Generalized graph entropies. Complexity 2011, 17, 45–50. [Google Scholar] [CrossRef]
- Dehmer, M.; Mowshowitz, A.; Emmert-Streib, F. Connections between classical and parametric network entropies. PLoS ONE 2011, 6, e15733. [Google Scholar] [CrossRef] [PubMed]
- Dehmer, M.; Sivakumar, L.; Varmuza, K. Uniquely discriminating molecular structures using novel eigenvalue-based descriptors. MATCH Commun. Math. Comput. Chem. 2012, 67, 147–172. [Google Scholar]
- Dehmer, M. Strukturelle Analyse web-basierter Dokumente. In Multimedia und Telekooperation, Deutscher Universitäts Verlag; Springer: Wiesbaden, Germany, 2006. [Google Scholar]
- Dehmer, M.; Varmuza, K.; Borgert, S.; Emmert-Streib, F. On entropy-based molecular descriptors: Statistical analysis of real and synthetic chemical structures. J. Chem. Inf. Model. 2009, 49, 1655–1663. [Google Scholar] [CrossRef] [PubMed]
- Gutman, I.; Furtula, B.; Katanić, V. Randić index and information. AKCE Int. J. Graphs Comb. 2018, 18. [Google Scholar] [CrossRef]
- Kazemi, R. Entropy of weighted graphs with the degree-based topological indices as weights. MATCH Commun. Math. Comput. Chem. 2016, 76, 69–80. [Google Scholar]
- Li, X.; Qin, Z.; Wei, M.; Gutman, I. Novel inequalities for generalized graph entropies graph energies and topological indices. Appl. Math. Comput. 2015, 259, 470–479. [Google Scholar] [CrossRef]
- Dehmer, M.; Emmert-Streib, F.; Shi, Y. Interrelations of graph distance measures based on topological indices. PLoS ONE 2014, 9, e94985. [Google Scholar] [CrossRef] [PubMed]
- Shannon, C.E.; Weaver, W. The Mathematical Theory of Communication; University of Illinois Press: Urbana, IL, USA, 1949. [Google Scholar]
- Morzy, M.; Kajdanowicz, T.; Kazienko, P. On Measuring the Complexity of Networks: Kolmogorov Complexity versus Entropy. Complexity 2017, 2017, 3250301. [Google Scholar] [CrossRef]
- Zenil, H.; Kiani, N.A.; Tegnér, J. Low-algorithmic-complexity entropy-deceiving graphs. Phys. Rev. E 2017, 96, 012308. [Google Scholar] [CrossRef] [PubMed]
- Aslam, A.; Nadeem, M.F.; Zahid, Z.; Zafar, S.; Gao, W. Computing certain topological indices of the line graphs of subdivision graphs of some rooted product graphs. Mathematics 2019, 7, 393. [Google Scholar] [CrossRef]
- Aslam, A.; Ahmad, S.; Binyamin, M.A.; Gao, W. Calculating topological indices of certain OTIS Interconnection networks. Open Chem. 2019, 17, 220–228. [Google Scholar] [CrossRef]
- Bonchev, D.; Buck, G.A. Quantitative measures of network complexity. In Complexity in Chemistry, Biology, and Ecology; Springer: New York, NY, USA, 2005; pp. 191–235. [Google Scholar]
- Škrekovski, R.; Dimitrov, D.; Zhong, J.M.; Wu, H.L.; Gao, W. Remarks on multiplicative atom-bond connectivity index. IEEE Access 2019, 7, 76806–76811. [Google Scholar] [CrossRef]
- Zenil, H.; Kiani, N.A.; Tegnér, J. A Review of graph and network complexity from an algorithmic information perspective. Entropy 2018, 20, 551. [Google Scholar] [CrossRef]
- Zenil, H.; Kiani, N.A.; Shang, M.; Tegnér, J. Algorithmic complexity and reprogrammability of chemical structure networks. Parallel Process. Lett. 2018, 28, 1850005. [Google Scholar] [CrossRef]














| Molecule | AcentFac | S | ecc-ent | deg-ecc-ent |
|---|---|---|---|---|
| octane | 0.397898 | 111 | 2.969845 | 2.969175 |
| 2-methyl 1-heptane | 0.377916 | 109.84 | 2.9648 | 2.916803 |
| 3-methyl-heptane | 0.371002 | 111.26 | 2.968892 | 2.936056 |
| 4-methyl-heptane | 0.371504 | 109.32 | 2.96638 | 2.947337 |
| 3-ethyl-hexane | 0.362472 | 109.43 | 2.973525 | 2.961035 |
| 2,2-dimethyl-hexane | 0.339426 | 103.42 | 2.971335 | 2.852746 |
| 2,3-dimethyl-hexane | 0.348247 | 108.02 | 2.977217 | 2.905118 |
| 2,4-dimethyl-hexane | 0.344223 | 106.98 | 2.973525 | 3.433438 |
| 2,5-dimethyl-hexane | 0.35683 | 105.72 | 2.971335 | 2.887762 |
| 3,3-dimethyl-hexane | 0.322596 | 104.74 | 2.977217 | 2.897582 |
| 3,4-dimethyl-hexane | 0.340 345 | 106.59 | 2.977217 | 2.925864 |
| 2-methyl-3-ethyl-pentane | 0.332433 | 106.06 | 2.967307 | 2.936529 |
| 3-methyl-3-ethyl-pentane | 0.306 899 | 101.48 | 2.968919 | 2.935986 |
| 2,2,3-trimethyl-pentane | 0.300816 | 101.31 | 2.967307 | 2.84966 |
| 2,2,4-trimethyl-pentane | 0.30537 | 104.09 | 2.96772 | 2.7696979 |
| 2,3,3-trimethyl-pentane | 0.293177 | 102.06 | 2.968919 | 2.88075 |
| 2,3,4-trimethyl-pentane | 0.317422 | 102.39 | 2.967307 | 2.883862 |
| 2,2,3,3-tetramethylbutane | 0.255294 | 93.06 | 2.980826 | 2.8366 |
| Step | Vertex | No. | ||
|---|---|---|---|---|
| 1 | 2 | 2 | ||
| 2 | 2 | |||
| 2 | 3 | |||
| 4 | 2 | |||
| 4 | 2 | |||
| 4 | 2 | |||
| 4 | 3 | |||
| 2 | 8 | 2 | ||
| 8 | 2 | |||
| 8 | 2 | |||
| 8 | 3 | |||
| ⋮ | ||||
| i | 2 | |||
| 2 | ||||
| 2 | ||||
| 3 | ||||
| ⋮ | ||||
| n | 2 | |||
| 2 | ||||
| 2 | ||||
| 1 |
| Step | Vertex | No. | ||
|---|---|---|---|---|
| 1 | 2 | 2 | ||
| 2 | 3 | |||
| 4 | 2 | |||
| 4 | 2 | |||
| ⋮ | ⋮ | ⋮ | ⋮ | |
| 4 | 2 | |||
| 4 | 3 | |||
| 2 | 8 | 2 | ||
| 8 | 2 | |||
| ⋮ | ⋮ | ⋮ | ⋮ | |
| 8 | 2 | |||
| 8 | 3 | |||
| ⋮ | ||||
| i | 2 | |||
| 2 | ||||
| 2 | ||||
| ⋮ | ⋮ | ⋮ | ⋮ | |
| 3 | ||||
| ⋮ | ||||
| n | 2 | |||
| 2 | ||||
| 2 | ||||
| ⋮ | ⋮ | ⋮ | ⋮ | |
| 1 |
| Step | Vertex | No. | ||
|---|---|---|---|---|
| 1 | 2 | 2 | ||
| 2 | 3 | |||
| 2 | 2 | |||
| 8 | 2 | |||
| 2 | 2 | |||
| 6 | 3 | |||
| 6 | 3 | |||
| 2 | 2 | |||
| 2 | 3 | |||
| ⋮ | ⋮ | ⋮ | ⋮ | |
| 2 | 2 | |||
| 4 | 2 | |||
| 2 | 4 | 2 | ||
| 4 | 3 | |||
| 8 | 2 | |||
| 8 | 3 | |||
| 4 | 2 | |||
| 8 | 2 | |||
| ⋮ | ||||
| i | 2 | |||
| 3 | ||||
| 2 | ||||
| 3 | ||||
| 2 | ||||
| 2 | ||||
| ⋮ | ||||
| n | 2 | |||
| 3 | ||||
| 2 | ||||
| 3 | ||||
| 2 | ||||
| 1 |
© 2019 by the authors. Licensee MDPI, Basel, Switzerland. This article is an open access article distributed under the terms and conditions of the Creative Commons Attribution (CC BY) license (http://creativecommons.org/licenses/by/4.0/).
Share and Cite
Ghorbani, M.; Dehmer, M.; Zangi, S.; Mowshowitz, A.; Emmert-Streib, F. A Note on Distance-Based Entropy of Dendrimers. Axioms 2019, 8, 98. https://doi.org/10.3390/axioms8030098
Ghorbani M, Dehmer M, Zangi S, Mowshowitz A, Emmert-Streib F. A Note on Distance-Based Entropy of Dendrimers. Axioms. 2019; 8(3):98. https://doi.org/10.3390/axioms8030098
Chicago/Turabian StyleGhorbani, Modjtaba, Matthias Dehmer, Samaneh Zangi, Abbe Mowshowitz, and Frank Emmert-Streib. 2019. "A Note on Distance-Based Entropy of Dendrimers" Axioms 8, no. 3: 98. https://doi.org/10.3390/axioms8030098
APA StyleGhorbani, M., Dehmer, M., Zangi, S., Mowshowitz, A., & Emmert-Streib, F. (2019). A Note on Distance-Based Entropy of Dendrimers. Axioms, 8(3), 98. https://doi.org/10.3390/axioms8030098

